Next Article in Journal
The Enigmatic Etiology of Oculo-Auriculo-Vertebral Spectrum (OAVS): An Exploratory Gene Variant Interaction Approach in Candidate Genes
Next Article in Special Issue
Chemical Characterization of Clove, Basil and Peppermint Essential Oils; Evaluating Their Toxicity on the Development Stages of Two-Spotted Spider Mites Grown on Cucumber Leaves
Previous Article in Journal
Three-Country Snapshot of Ornithine Transcarbamylase Deficiency
Previous Article in Special Issue
Valorization of the Hydrolate Byproduct from the Industrial Extraction of Purple Alium sativum Essential Oil as a Source of Nematicidal Products
 
 
Font Type:
Arial Georgia Verdana
Font Size:
Aa Aa Aa
Line Spacing:
Column Width:
Background:
Article

Agricultural Parameters and Essential Oil Content Composition Prediction of Aniseed, Based on Growing Year, Locality and Fertilization Type—An Artificial Neural Network Approach

1
Institute of General and Physical Chemistry, University of Belgrade, Studentski trg 12, 11000 Belgrade, Serbia
2
Faculty of Technology Novi Sad, University of Novi Sad, Bulevar cara Lazara 1, 21000 Novi Sad, Serbia
3
Department of Thermal Engineering and Energy, “Vinča” Institute of Nuclear Sciences—National Institute of the Republic of Serbia, University of Belgrade, Studentski trg 12, 11000 Belgrade, Serbia
4
Institute of Field and Vegetable Crops Novi Sad, Maksima Gorkog 30, 21000 Novi Sad, Serbia
*
Author to whom correspondence should be addressed.
Life 2022, 12(11), 1722; https://doi.org/10.3390/life12111722
Submission received: 7 October 2022 / Revised: 24 October 2022 / Accepted: 25 October 2022 / Published: 27 October 2022

Abstract

Simple Summary

The artificial neural network (ANN) model was developed to predict and optimize the aniseed parameters including: plant height, umbel diameter, number of umbels, number of seeds, 1000-seed weight, yield per plant, plant weight, harvest index, yield per ha, essential oil yield, germination energy, total germination and essential oil content; as well as the content of obtained essential oil, such as: limonene, cis-dihydro carvone, methyl chavicol, carvone, cis-anethole, trans-anethole, β-elemene, α-himachalene, trans-β-farnesene, γ-himachalene, trans-muurola-4(14),5-diene, α-zingiberene, β-himachalene, β-bisabolene, trans-pseudoisoeugenyl 2-methylbutyrate and epoxy-pseudoisoeugenyl 2-methylbutyrate), according to growing year, locality and fertilization type.

Abstract

Predicting yield is essential for producers, stakeholders and international interchange demand. The majority of the divergence in yield and essential oil content is associated with environmental aspects, including weather conditions, soil variety and cultivation techniques. Therefore, aniseed production was examined in this study. The categorical input variables for artificial neural network modelling were growing year (two successive growing years), growing locality (three different locations in Vojvodina Province, Serbia) and fertilization type (six different treatments). The output variables were morphological and quality parameters, with agricultural importance such as plant height, umbel diameter, number of umbels, number of seeds per umbel, 1000-seed weight, seed yield per plant, plant weight, harvest index, yield per ha, essential oil (EO) yield, germination energy, total germination, EO content, as well as the share of EOs compounds, including limonene, cis-dihydro carvone, methyl chavicol, carvone, cis-anethole, trans-anethole, β-elemene, α-himachalene, trans-β-farnesene, γ-himachalene, trans-muurola-4(14),5-diene, α-zingiberene, β-himachalene, β-bisabolene, trans-pseudoisoeugenyl 2-methylbutyrate and epoxy-pseudoisoeugenyl 2-methylbutyrate. The ANN model predicted agricultural parameters accurately, showing r2 values between 0.555 and 0.918, while r2 values for the forecasting of essential oil content were between 0.379 and 0.908. According to global sensitivity analysis, the fertilization type was a more influential variable to agricultural parameters, while the location site was more influential to essential oils content.

1. Introduction

Anise (Pimpinella anisum L.) has been known for centuries as a spice, perfumery and medicinal plant from the Apiaceae family [1]. Its fruit is employed in the pharmaceutical industry and daily nutrition due to its vast benefits and ability to mask odors and flavoring [2,3]. The naturally derived compounds are inherently accepted by the human body and are becoming more prevalent as a therapeutic option against various diseases, including viral infections [3]. The characteristic aroma of aniseed arises from the high content of essential oil (3–4%) with trans-anethole as the main compound [4]. Aniseeds are frequently applied as an aromatic ingredient in traditional flavored wines [2]. In addition, aniseeds are widely engaged as an aromatic plant to provide flavor to various foods including soups [5], poultry [6], pickles [7], salad [8], drinks [9] and confectionery items, giving them a licorice flavor (chewing gum, jelly beans and candy) [10,11]. It can also be applied as a carminative and sedative agent (due to its antioxidant and antimicrobial properties) [12]. Aniseed can be found in seafood dishes to enhance sweet breath and provide digestive support [12,13]. The essential oils of anise seeds are multicomponent blends of volatile oils, typically terpenes and their derivatives, containing nearly 4% of essential oil (E-Anethole conveys 90% of these essential oils, including stragol, anisaldehyde, γ-himachalene, isoeugenol, anisol, p-anisic acid and acetoanisol) [14]. Besides essential oil, aniseeds also contain a significant amount of antioxidants, including phenolic acids and flavonoids [15]. The application of blended fertilizers can significantly improve the biomass and essential oil yield [16]. In addition, the targeted environment and the weather conditions in the growing year can have a substantial impact on essential oil composition [17].
Finding the challenging connection between growing conditions and essential oil composition can be successfully achieved by using mathematical modeling.
The Artificial Neural Network (ANN) was recently recognized as an attractive mathematical method for exploring agricultural production systems [18,19,20]. The ANN model does not require definite model parameters. Nevertheless, it adopts the ability to obtain results from the experimental data and manage the intricate system with nonlinearities and elaborate on the connections between variables [21].
The uses of ANN models cover numerous investigations of agricultural production studies [22]. Lately, the ANN model has been recognized as one of the practical analyses that have been demonstrated to be helpful in drought tolerance indices categorization [23].
The high costs of agricultural production demand to be predicted numerically as much as possible. One of the possible manners of lowering costs is the use of fitting tools that predict agricultural production and variations in kernel properties through breeding. Moreover, the agrotechnology level involved in the cultivation, particularly fertilization with nitrogen, influences seed features that are challenging to prognosticate.
For that reason, the goal of this study was to investigate the probability to accurately predict the plant height, umbel diameter, number of umbels, number of seeds, 1000-seed weight, yield per plant, plant weight, harvest index, yield per ha, EO yield, germination energy, total germination and EO content, as well as the content of obtained EOs, such as limonene, cis-dihydro carvone, methyl chavicol, carvone, cis-anethole, trans-anethole, β-elemene, α-himachalene, trans-β-farnesene, γ-himachalene, trans-muurola-4(14),5-diene, α-zingiberene, β-himachalene, β-bisabolene, trans-pseudoisoeugenyl 2-methylbutyrate and epoxy-pseudoisoeugenyl 2-methylbutyrate throughout agricultural production, as a function of growing year, locality and fertilization type.
In the research by Silitonga et al., [24], the multi-objective optimization (MOO) for adjusting the parameters of agricultural production to maximize the yields was achieved by ANN models associated with ant colony optimization, developed to optimize biodiesel production process parameters.
In accordance with this study, the MOO analysis combined with ANN and genetic algorithm (GA) was implemented in the agricultural process, bearing in mind that there might not be a unique solution due to the contradictory objective functions [18,25,26]. As a part of this study, the solution of the MOO was estimated introducing a Pareto optimal method [18].

2. Materials and Methods

2.1. Experiment Design

The research was carried out during two successive years at three localities in Vojvodina Province, Serbia (detailed information about locations and soil conditions are given in Table 1). The experiment was carried out in the field under different microclimatic and soil conditions. Field experiments were set up as a randomized block design with four replications. An experimental plot size was 5 m2 (consisting of 5 rows, each 3 m long). Sowing was carried out at the optimum time (during April) with a hand seeder. The duration of the vegetation period (in days), as well as climatic conditions, such as growing degree days (GDD), precipitation and insolation, for both investigated years and localities are given in Table 1. Data of meteorological conditions were obtained from the nearest meteorological station for each experimental field (<30 km).
The experiments analyzed the influence of six treatments: control—without fertilizers, Slavol, BactoFil B-10, Royal Ofert, vermicompost and NPK, on different properties of anise. Detailed information about fertilizers is given in Table 2.
The harvest was performed by hand at a full ripening stage. Evaluation of morphological parameters (plant height, umbel diameter, number of umbels, number of seeds, yield per plant, plant weight and harvest index) was performed by sampling 10 randomly selected plants from the central row from each fertilised treatment. Quantity and quality parameters (seed yield per ha, EO yield per ha, EO content, 1000-seed weight, germination energy and total germination) were evaluated by harvesting all plants from three central rows (two outer rows were excluded in order to avoid marginal effect).

2.2. ANN Modelling

A multi-layer perceptron model (MLP) with three layers (input, hidden and output) was implemented to construct the ANN model. This format of the ANN model is approved for its high potential to estimate nonlinear functions [27,28,29,30,31].
Prior to the ANN model computation, normalization of input and output data is essential to enhance the outcome of the ANN [32]. Throughout the construction of the ANN model, input data were frequently inserted in the network [31,32,33]. The training process of the network was replicated 100,000 times, testing the various structures of the ANN model, including a diverse number of neurons in the hidden and the output layers (5–20), alternative activation functions (in particular, logarithmic, tangent hyperbolic, logistic or identity), and with random starting values of weight coefficients and biases. The ANN structure optimization was accomplished by achieving the minimal validation error. The BFGS method was implemented to resolve the unconstrained nonlinear optimization problem throughout the ANN construction [34].
The agricultural production database that was employed for the ANN modelling was stochastically segmented into training, cross-validation and testing data (60%, 20% and 20% of experimental data, accordingly). The training data set was applied during the learning cycle of the ANN calculation, the evaluation of the optimal number of neurons in the hidden layer, as well as for the computing of the weight coefficient of individual neurons in the network [35].
The weight coefficients and biases connected to the hidden and output layers of the ANN model are shown in matrices and vectors W1 and B1, and W2 and B2, individually. The neural network model can be displayed by matrix equation:
Y = f 1 ( W 2 · f 2 ( W 1 · X + B 1 ) + B 2 )
where Y is the matrix of the outputs, f1 and f2 are transfer functions in the hidden and output layers, respectively and X is the matrix of inputs [36].
The elements of matrices W1 and W2 are computed during the learning cycle, in which the elements are constantly introduced by applying an optimization method to minimize the disagreement between the data and the model [34,37,38]. The BFGS algorithm was implemented to enhance the evaluation and stabilize the solution’s convergence [39]. The coefficients of determination were utilized as parameters to monitor the execution of the achieved ANN model.
The ANN model was created to foresee and optimize the parameters such as plant height, umbel diameter, number of umbels, number of seeds, 1000-seed weight, yield per plant, plant weight, harvest index, yield per ha, EO yield, germination energy, total germination and EO content, as well as the content of obtained EOs, such as limonene, cis-dihydro carvone, methyl chavicol, carvone, cis-anethole, trans-anethole, β-elemene, α-himachalene, trans-β-farnesene, γ-himachalene, trans-muurola-4(14),5-diene, α-zingiberene, β-himachalene, β-bisabolene, trans-pseudoisoeugenyl 2-methylbutyrate and epoxy-pseudoisoeugenyl 2-methylbutyrate, according to growing year, locality and fertilization type.

2.3. Global Sensitivity Analysis

Yoon’s global sensitivity formula for the developed ANN model was used to determine the relative influence of the input parameters on output variables, using weight coefficients of the calculated ANN model [40]:
R I i j ( % ) = k = 0 n ( w i k · w k j ) i = 0 m | k = 0 n ( w i k · w k j ) | · 100 %
where w—weight coefficient in ANN model, i—input variable, j—output variable, k—hidden neuron, n—number of hidden neurons, m—number of inputs.

2.4. Error Analysis

The numerical confirmation of the developed model was investigated by applying the coefficient of determination (r2), reduced chi-square (χ2), mean bias error (MBE), root mean square error (RMSE) and mean percentage error (MPE). These frequently used parameters can be obtained according to these equations [41]:
χ 2 = i = 1 N ( x exp , i x p r e , i ) 2 N n
R M S E = [ 1 N · i = 1 N ( x p r e , i x exp , i ) 2 ] 1 / 2
M B E = 1 N · i = 1 N ( x p r e , i x exp , i )
M P E = 100 N · i = 1 N ( | x p r e , i x exp , i | x exp , i )
where xexp,i marks the experimental values and xpre,i present value computed by the model. N and n are the number of observations and constants, respectively.

2.5. Multi-Objective Optimization

The obtained ANN model was utilized for MOO calculation, with the aim to obtain agricultural production conditions which would reach the maximal values of plant height, umbel diameter, number of umbels, number of seeds, 1000-seeds weight, yield per plant, plant weight, harvest index, yield per ha, EO yield, germination energy, total germination and EO content, as well as the content of obtained EOs, such as limonene, cis-dihydro carvone, methyl chavicol, carvone, cis-anethole, trans-anethole, β-elemene, α-himachalene, trans-β-farnesene, γ-himachalene, trans-muurola-4(14),5-diene, α-zingiberene, β-himachalene, β-bisabolene, trans-pseudoisoeugenyl 2-methylbutyrate and epoxy-pseudoisoeugenyl 2-methylbutyrate. The result of the MOO was extracted using a Pareto front, which appeared in the case of one objective function improvement without deteriorating the others [18]. The genetic algorithm (GA) was used to find the solutions to the MOO problem by a stochastic method inspired by natural evolution in applying the mutation, selection, inheritance and crossover [42,43]. For the MOO computation, Matlab R2018b, software (Gamax Laboratory Solutions Kft., Budapest, Hungary) was used, according to the multi-objective function. The primary population was formed by chance and then introduced to a set of points in the design area. The populations of the next generations were determined using distance measures and a non-dominated ranking of the particular points within the existing generation [18,43,44].

3. Results and Discussion

3.1. ANN Model

Supplementary Table S1 presents the agricultural parameters of aniseed, based on growing year, locality and fertilization type, while Supplementary Table S2 shows the quantitative profile of Pimpinella anisum L. essential oil. The supplementary model was determined by utilizing Equation (1). The attained ANN model showed sufficient generalization ability for experimental data prediction. Based on the ANN model performance, the optimal number of neurons in the hidden layer for obtaining plant height, umbel diameter, number of umbels, number of seeds, 1000-seed weight, yield per plant, plant weight, harvest index, yield per ha, EO yield, germination energy, total germination and EO content, as well as the content of obtained Eos was obtained. The prediction number of neurons in the hidden layer was 10 (network MLP 10-10-30) to attain high values of r2 (overall 0.936 for the training period) and as low as a possible sum of squares values (SOS) (Table 3).
Table S3 displays the details of matrix W1 and vector B1 (shown in the bias row), and Supplementary Table S4 displays the details of matrix W2 and vector B2 (bias) for the hidden layer in the ANN, used for calculation in Equation (1). The ANN model showed an insignificant lack of fit tests, which suggests the model satisfactorily predicted the agricultural parameters and essential oil content composition of aniseed based on growing year, locality and fertilization type. The quality of the model fit was tested, and the residual analysis of the developed model is presented in Table 4 and Table 5. A high r2 indicates that the variation was accounted for, and that the data fitted the proposed model satisfactorily [36]. The ANN model was employed to predict experimental variables, quite satisfactorily, for a wide range of the parameters (as observed in Figure 1 and Figure 2, where the experimentally estimated and ANN model predicted values are displayed).
Most of the time, the predicted values were approaching the desired r2 value for the ANN model. Therefore, the SOS achieved by the ANN model is of the same order of magnitude as the experimental errors in Figure 1. Comparison of experimentally obtained values of output variables with ANN predicted values is stated in the articles [34,39,44].
The ANN model is challenging (208 weights-biases) due to the high nonlinearity of the studied system [34,45]. The r2 values within experimental and ANN model outputs of plant height, umbel diameter, number of umbels, number of seeds, 1000-seed weight, yield per plant, plant weight, harvest index, yield per ha, EO yield, germination energy, total germination and EO content, as well as the content of obtained EOs, such as limonene, cis-dihydro carvone, methyl chavicol, carvone, cis-anethole, trans-anethole, β-elemene, α-himachalene, trans-β-farnesene, γ-himachalene, trans-muurola-4(14),5-diene, α-zingiberene, β-himachalene, β-bisabolene, trans-pseudoisoeugenyl 2-methylbutyrate and epoxy-pseudoisoeugenyl 2-methylbutyrate) were: 0.918; 0.581; 0.893; 0.860; 0.760; 0.828; 0.839; 0.699; 0.826; 0.884; 0.849; 0.861; 0.555; 0.807; 0.908; 0.763; 0.803; 0.578; 0.836; 0.575; 0.893; 0.414; 0.803; 0.665; 0.901; 0.864; 0.631; 0.794; 0.379; and 0.893, respectively, throughout the training period.
The character of the ANN model fit is observed in Table 2 and Table 3, where χ2, MBE, RMSE and MPE decrease [41]. The residual analysis of the developed model was additionally conducted. Skewness evaluates the variation of the distribution from normal symmetry. A skewness other than zero indicates the asymmetrical distribution, even though typical distributions are ideally symmetrical. The “peakedness” of distribution is assessed by kurtosis. When the kurtosis is greater than zero, the distribution is flatter or more peaked than predicted; the kurtosis of the normal distribution is zero. A high r2 suggests that the variation was evaluated and that the data fit adequately to the suggested model [46,47,48].
The goodness of fit, among experimental computations and model estimated outputs, described as the ANN model performance (sum of r2 within measured and calculated parameters), are displayed in Table 3.

3.2. Global Sensitivity Analysis—Yoon’s Interpretation Method

In this segment, the impact of input variables on plant height, umbel diameter, number of umbels, number of seeds, 1000-seed weight, yield per plant, plant weight, harvest index, yield per ha, EO yield, germination energy, total germination and EO content, as well as the content of obtained EOs, such as limonene, cis-dihydro carvone, methyl chavicol, carvone, cis-anethole, trans-anethole, β-elemene, α-himachalene, trans-β-farnesene, γ-himachalene, trans-muurola-4(14),5-diene, α-zingiberene, β-himachalene, β-bisabolene, trans-pseudoisoeugenyl 2-methylbutyrate and epoxy-pseudoisoeugenyl 2-methylbutyrate throughout the agricultural production, Yoon’s interpretation method of a generated ANN model was studied. A detailed illustration of the ANN model results is presented in Figure 3 and Figure 4.
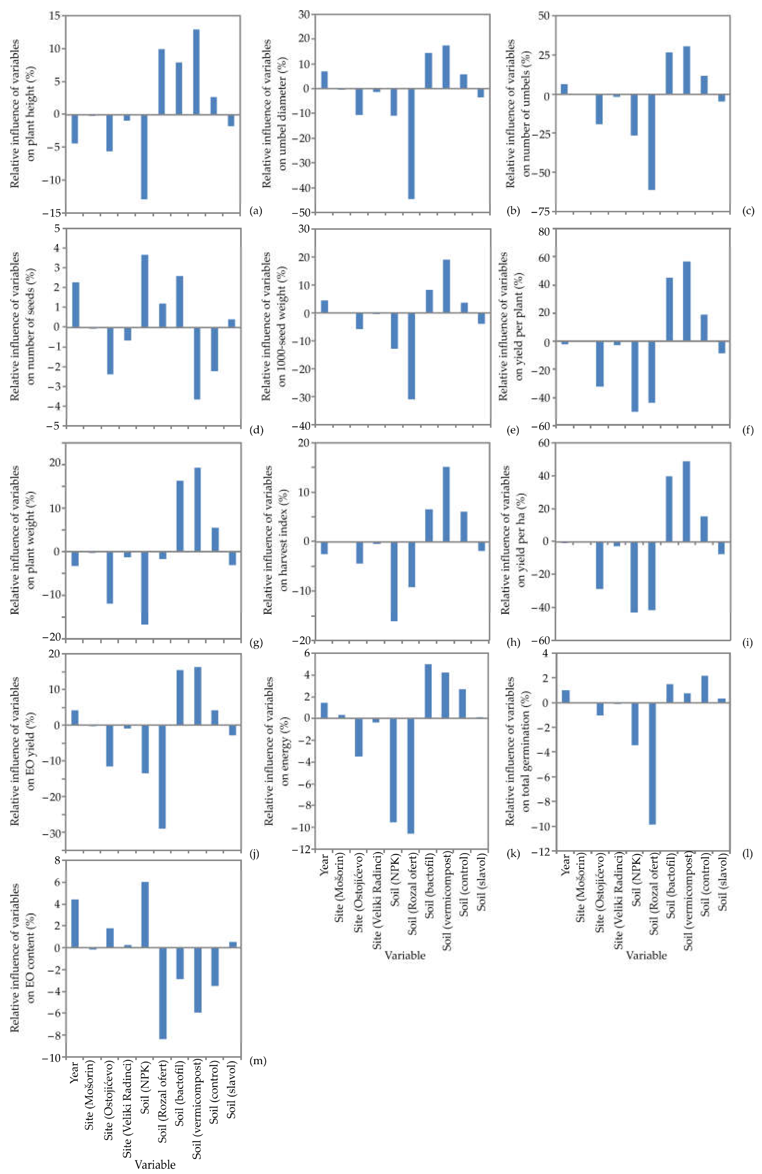
As illustrated in Figure 3, the soil vermicompost and soil BactoFil positively influenced the plant height (relative influences were 12.94% and 7.98%, respectively), umbel diameter (17.69% and 14.35%), number of umbels (26.94% and 25.25%), 1000-seeds weight (19.27% and 8.29%), yield per plant (56.85% and 45.46%), plant weight (19.50% and 16.42%), harvest index (15.30% and 6.59%), yield per ha (48.81% and 39.85%), EO yield (16.36% and 15.62%) and germination energy (5.05% and 4.28%), while the impact of the soil vermicompost on number of seeds (−3.4, %) and EO content (−5.92%) was negative. The most influential parameters negatively affecting 1000-seed weight (−31.18% and −13.93%, respectively), yield per plant (−43.76% and −50.11%), harvest index (−9.16% and −15.95%), yield per ha (−41.44% and −42.86%), germination energy, (−10.62% and −9.59%), EO yield (−29.08% and −13.38%) and total germination (−9.92% and −3.45%) were soil Royal Ofert and soil NPK. Additionally, soil Royal Ofert was the most negatively influential parameter on umbel diameter, number of umbels and EO content, with relative influences of −44.59%, −23.34% and −8.40%, respectively. On the other hand, soil Royal Ofert had a positive influence on the plant height (9.97%). Additionally, soil NPK was the most influential parameter negatively influencing plant height (−12.89%) and plant weight (−16.68%), with quite the opposite trend noticed for number of kernels (3.67%) and EO content (6.05%). According to Figure 3d,f,g,i–k, site Ostojićevo had negative influence on the number of kernels, yield per plant, plant weight, yield per ha, EO yield and germination energy with relative influences of 2.38%, −32.52%, −11.79%, −28.60%, −11.49% and −3.49%, respectively.
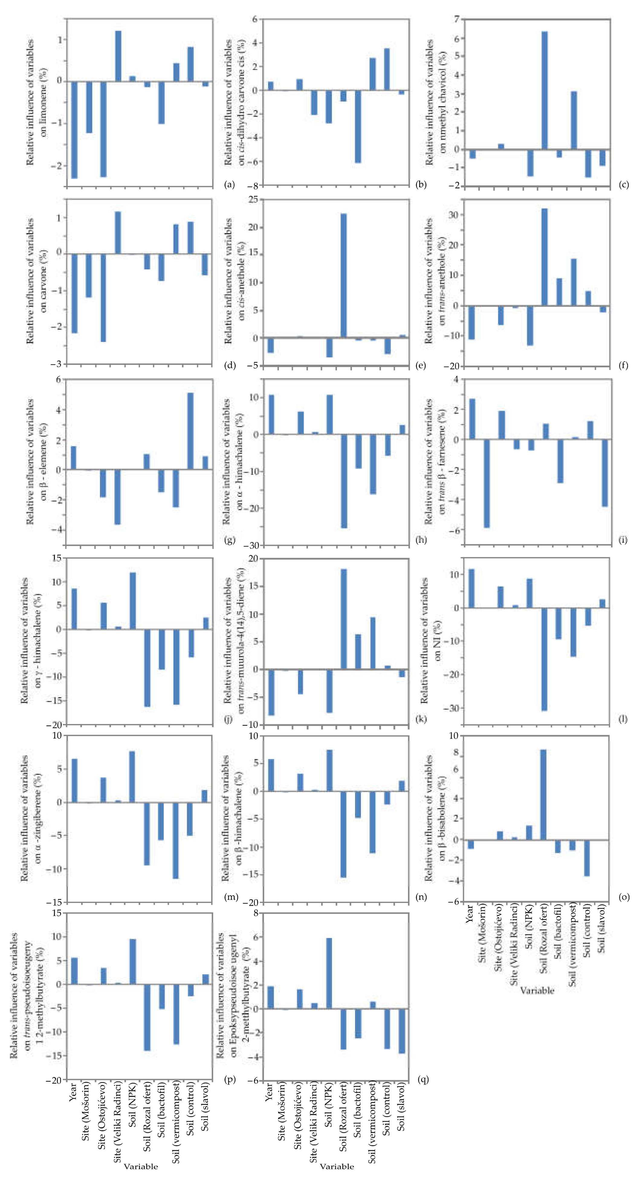
It can be determined from Figure 4 that the soil Royal Ofert, soil vermicompost and soil BactoFil were the most negatively influential variables on α-himachalene (relative influences were −16.36%, −15.86% and −8.46%, respectively), NI (−30.87%, −14.64% and −9.44%), α-zingiberene (−9.48%, −11.50% and −5.07%), γ-himachalene (−15.61%, −11.11% and −4.80%), trans-pseudoisoeugenyl 2-methylbutyrate (−14.01%, −12.61% and −5.15%), while the impact of the soil Royal Ofert and soil vermicompost on methyl chavicol (6.39% and 3.15%), trans-anethole (32.05% and 15.59%) and trans-muurola-4(14),5-diene (18.24%, and 9.58%) was positive. Additionally, soil Royal Ofert had a negative influence on β-himachalene (−25.54%) and epoxy-pseudoisoeugenyl 2-methylbutyrate (−3.40%), and a positive influence on trans-anethole (22.61%) and β-bisabolene (8.73%. The most influential parameters positively affecting α-himachalene (10.89% and 10.86%, respectively), γ-himachalene (12.05% and 8.63%), β-himachalene (7.53 % and 5.76%), α-zingiberene, (7.72% and 6.47%), NI (8.78% and 11.66%), trans-pseudoisoeugenyl 2-methylbutyrate (9.57% and 5.58%) and epoxy-pseudoisoeugenyl 2-methylbutyrate (5.96% and 1.86%), were soil NPK and year, while the opposite trend was noticed for methyl chavicol, carvone, α -anethole and trans-muurola-4(14),5-diene. Furthermore, limonene content was negatively influenced by year (−2.32%) and site Ostojićevo (−2.28), and positively influenced by site Veliki Radnici (1.2%) and control soil (0.83%). Cis-dihydro carvone content was negatively influenced the most by soil BactoFil (−6.13%) and site Veliki radnici (−2.40%), while control soil showed the opposite influence (3.54%). On the other hand, carvone content was negatively influenced by site Ostojićevo (−2.41%), while positively influenced by site Veliki Radnici (1.16%) and control soil (0.88%). The most influential parameters on β -elemene content were site Veliki radnici (−3.64%) and control soil (5.13%). Finally, trans-β farnesene-site content was mostly influenced by site Mošorin (−5.90%), soil Slavol (−4.47%), year (2.73%) and site Ostojićevo (1.91%).

3.3. Multi-Objective Optimization of the Outputs of the ANN

One of the main goals of this research was to optimize the developed ANN output variables throughout agricultural production, synchronously employing the ANN model by varying the input variables. These numerical assignments were solved for the ANN model involving the MOO computation in Matlab. The MOO method was set to obtain the most suitable agricultural parameter combinations by maximizing the ANN model’s output variables. Constraints applied to the optimization method were used in the experimental series of parameters. The number of generations achieved was 495 for the ANN model, while the dimension of the population was set to 100 for all input variables. Thus, the number of points on the Pareto front was 232 for the ANN model. The computed maximums of output variables were reached in the first investigated year at Mošorin, without fertilization for harvest index, using Slavol for cis-dihydro carvone and trans-anethole content; BactoFil for γ-himachalene content; Royal Ofert biohumus for plant height; vermicompost for number of umbels and α-himachalene content; NPK for yield per plant, plant weight, yield per ha, and EO yield, as well as methyl chavicol, trans-β-farnesene, α-zingiberene, β-bisabolene and epoxy-pseudoisoeugenyl 2-methylbutyrate content. In the first investigated year at Veliki Radinci, using Royal Ofert biohumus achieved the maximum of output variables for umbel diameter and EO content. During the same year at Ostojićevo, we used fertilizer Slavol for α-himachalene content; BactoFil for 1000-seeds weight, germination energy and total germination; Royal Ofert biohumus for trans-β-farnesene content; vermicompost for cis-anethole content; and NPK for carvone and limonene content. In the second investigated year, at Veliki Radinci, using NPK, maximums of output variables were reached for the number of seeds. In the same year in Ostojićevo, we used BactoFil for EO compound β-elemene.
The optimal results obtained for plant height, umbel diameter, number of umbels, number of seeds, 1000-seeds weight, yield per plant, plant weight, harvest index, yield per ha, EO yield, germination energy, total germination and EO content, using MO were: 54.389; 6.873; 19.989; 127.251; 5.330; 12.111; 25.683; 50.072; 2281.494; 96.459; 94.752; 96.655; and 4.699, respectively. The optimal content of obtained Eos, such as limonene, cis-dihydro carvone, methyl chavicol, carvone, cis-anethole, trans-anethole, β-elemene, α-himachalene, trans-β-farnesene, γ-himachalene, trans-muurola-4(14),5-diene, α-zingiberene, β-himachalene, β-bisabolene, trans-pseudoisoeugenyl and epoxy-pseudoisoeugenyl 2-methylbutyrate were: 0.242; 0.392; 1.035; 0.154; 0.174; 92.276; 0.126; 0.353; 0.068; 3.590; 1.134; 0.633; 0.240; 0.339; 0.246; and 2.161 respectively.

4. Conclusions

According to the presented results, it can be concluded that a developed empirical artificial neural network model could be successfully employed to predict plant height, umbel diameter, number of umbels, number of kernels, 1000-seeds weight, yield per plant, plant weight, harvest index, yield per ha, EO yield, germination energy, total germination and EO content, as well as the content of obtained EOs, such as limonene, cis-dihydro carvone, methyl chavicol, carvone, cis-anethole, trans-anethole, β-elemene, α-himachalene, trans-β-farnesene, γ-himachalene, trans-muurola-4(14),5-diene, α-zingiberene, β-himachalene, β-bisabolene, trans-pseudoisoeugenyl 2-methylbutyrate and epoxy-pseudoisoeugenyl 2-methylbutyrate using year, breeding site and soil type. The artificial neural network analysis delivered a satisfactory fit to observed data and was adequate to predict the output variables successfully, demonstrating a reasonable predictive ability (overall r2 for plant height, umbel diameter, number of umbels, number of kernels, 1000-seeds weight, yield per plant, plant weight, harvest index, yield per ha, EO yield, germination energy, total germination and EO content, as well as the content of obtained EOs, such as limonene, cis-dihydro carvone, methyl chavicol, carvone, cis-anethole, trans-anethole, β-elemene, α-himachalene, trans-β-farnesene, γ-himachalene, trans-muurola-4(14),5-diene, α-zingiberene, β-himachalene, β-bisabolene, trans-pseudoisoeugenyl 2-methylbutyrate and epoxy-pseudoisoeugenyl 2-methylbutyrate were 0.918; 0.581; 0.893; 0.860; 0.760; 0.828; 0.839; 0.699; 0.826; 0.884; 0.849; 0.861; 0.555; 0.807; 0.908; 0.763; 0.803; 0.578; 0.836; 0.575; 0.893; 0.414; 0.803; 0.665; 0.901; 0.864; 0.631; 0.794; 0.379; and 0.893, respectively). The developed mathematical model gives satisfactory accuracy for potential practical application in agricultural production.

Supplementary Materials

The supporting information can be downloaded from: https://www.mdpi.com/article/10.3390/life12111722/s1, Table S1: Agricultural parameters of aniseed, based on growing year, locality and fertilization type; Table S2: Quantitative profile of Pimpinella anisum L. essential oil (%); Table S3: Details of matrix W1 and vector B1; Table S4: Details of matrix W2 and vector B2.

Author Contributions

Conceptualization, L.P. and M.A.; methodology, O.Š., A.T. and V.T.; software, L.P. and B.L.; validation, M.P., A.T. and V.T; formal analysis, O.Š., A.T. and V.T.; investigation, M.A.; resources, M.A.; data curation, L.P. and B.L.; writing—original draft preparation, L.P., B.L. and M.A.; writing—review and editing, B.L. and O.Š.; visualization, M.P.; supervision, M.P.; project administration, L.P. and M.A.; funding acquisition, L.P. All authors have read and agreed to the published version of the manuscript.

Funding

This research was funded by the Ministry of Education, Science and Technological Development of the Republic of Serbia, grant number 451-03-68/2022-14/200051; 451-03-68/2022-14/200134 and 51-03-68/2022-14/200032.

Institutional Review Board Statement

Not applicable.

Informed Consent Statement

Not applicable.

Data Availability Statement

Not applicable.

Conflicts of Interest

The authors declare no conflict of interest.

References

  1. Elshafie, H.S.; Camele, I. An overview of the biological effects of some mediterranean essential oils on human health. BioMed Res. Int. 2017, 9268468. [Google Scholar] [CrossRef]
  2. Liang, Z.; Zhang, P.; Zeng, X.A.; Fang, Z. The art of flavored wine: Tradition and future. Trends Food Sci. Technol. 2021, 116, 130–145. [Google Scholar] [CrossRef]
  3. Chahande, S.J.; Jachak, R.; Chahande, R.; Pantawane, P. Herbal spices and nanotechnology for the benefit of human health. Biog. Sustain. Nanotechnol. 2022, 107–129. [Google Scholar] [CrossRef]
  4. Aćimović, M.; Tešević, V.; Mara, D.; Stanković, J.; Cvetković, M.; Djuragić, O. Influence of fertilization in total polyphenol content in aniseed postdistillation waste material. Arab. J. Med. Aromat. Plants 2017, 3, 57. Available online: https://revues.imist.ma/index.php/AJMAP/article/view/7990/4509 (accessed on 1 October 2021).
  5. Broers, V.J.V.; Van den Broucke, S.; Taverne, C.; Luminet, O. Default-name and tasting nudges increase salsify soup choice without increasing overall soup choice. Appetite 2019, 138, 204–214. [Google Scholar] [CrossRef] [PubMed]
  6. Raza, Q.S.; Saleemi, M.K.; Gul, S.; Irshad, H.; Fayyaz, A.; Zaheer, I.; Tahir, M.W.; Fatima, Z.; Chohan, T.Z.; Imran, M.; et al. Role of essential oils/volatile oils in poultry production—A review on present, past and future contemplations. Agrobiol. Rec. 2022, 7, 40–56. [Google Scholar] [CrossRef]
  7. Shukla, F.C.; Vaid, J. Studies on the storage stability of oil-based paneer pickle. Int. J. Dairy Technol. 2004, 57, 15–18. [Google Scholar] [CrossRef]
  8. Takahashi, J.A.; Rezende, F.A.G.G.; Moura, M.A.F.; Dominguete, L.C.B.; Sande, D. Edible flowers: Bioactive profile and its potential to be used in food development. Food Res. Int. 2020, 129, 108868. [Google Scholar] [CrossRef]
  9. Jurado, J.M.; Ballesteros, O.; Alcazar, A.; Pablos, F.; Martín, M.J.; Vilchez, J.L.; Navalon, A. Characterization of aniseed-flavoured spirit drinks by headspace solid-phase microextraction gas chromatography–mass spectrometry and chemometrics. Talanta 2007, 72, 506–511. [Google Scholar] [CrossRef]
  10. Mohamed, K.; Koriem, M. Approach to pharmacological and clinical applications of Anisi aetheroleum. Asian Pac. J. Trop. Biomed. 2015, 5, 60–67. [Google Scholar] [CrossRef]
  11. Sontia, B.; Mooney, J.; Gaudet, L.; Touyz, R.M. Pseudohyperaldosteronism, Liquorice, and Hypertension. J. Clin. Hypertens. 2008, 10, 7470. [Google Scholar] [CrossRef] [PubMed]
  12. Balkhyour, M.A.; Hassan, A.H.; Halawani, R.F.; Summan, A.S.; AbdElgawad, H. Effect of Elevated CO2 on Seed Yield, Essential Oil Metabolism, Nutritive Value, and Biological Activity of Pimpinella anisum L. Accessions at Different Seed Maturity Stages. Biology 2021, 10, 979. [Google Scholar] [CrossRef] [PubMed]
  13. Oluwole, O.B.; Ademuyiwa, O. Antioxidants in Spices: A Review of the Antioxidant Components and Properties of Some Common African Spices and Their Role in Human Nutrition and Plant–Microbe Interactions. In Antioxidants in Plant-Microbe Interaction; Singh, H.B., Vaishnav, A., Sayyed, R., Eds.; Springer: Singapore, 2021; pp. 251–289. [Google Scholar] [CrossRef]
  14. Nasır, A.; Yabalak, E. Investigation of antioxidant, antibacterial, antiviral, chemical composition, and traditional medicinal properties of the extracts and essential oils of the Pimpinella species from a broad perspective: A review. J. Essent. Oil Res. 2021, 33, 411–426. [Google Scholar] [CrossRef]
  15. Sun, W.; Shahrajabian, M.H.; Cheng, Q. Anise (Pimpinella anisum L.), a dominant spice and traditional medicinal herb for both food and medicinal purposes. Cogent Biol. 2019, 5, 1673688. [Google Scholar] [CrossRef]
  16. Bistgani, Z.E.; Siadat, S.A.; Bakhshandeh, A.; Pirbalouti, A.G.; Hashemi, M.; Maggi, F.; Morshedloo, M.R. Application of combined fertilizers improves biomass, essential oil yield, aroma profile, and antioxidant properties of Thymus daenensis Celak. Ind. Crops Prod. 2018, 121, 434–440. [Google Scholar] [CrossRef]
  17. Aćimović, M.; Lončar, B.; Pezo, M.; Stanković Jeremić, J.; Cvetković, M.; Rat, M.; Pezo, L. Volatile compounds of Nepeta nuda L. from Rtanj Mountain (Serbia). Horticulturae 2022, 8, 85. [Google Scholar] [CrossRef]
  18. Voća, N.; Pezo, L.; Peter, A.; Šuput, D.; Lončar, B.; Krička, T. Modelling of corn kernel pre-treatment, drying and processing for ethanol production using artificial neural networks. Ind. Crops Prod. 2021, 162, 113293. [Google Scholar] [CrossRef]
  19. Zhang, C.; Di, L.; Hao, P.; Yang, Z.; Lin, L.; Zhao, H.; Guo, L. Rapid in-season mapping of corn and soybeans using machine-learned trusted pixels from Cropland Data Layer. Int. J. Appl. Earth Obs. Geoinf. 2021, 102, 102374. [Google Scholar] [CrossRef]
  20. Javanmardi, S.; Ashtiani, S.H.; Verbeek, F.J.; Martynenko, A. Computer-vision classification of corn seed varieties using deep convolutional neural network. J. Stored Prod. Res. 2021, 92, 101800. [Google Scholar] [CrossRef]
  21. Zhang, J.J.; Ma, Q.; Cui, X.; Guo, H.; Wang, K.; Zhu, D.H. High-throughput corn ear screening method based on two-pathway convolutional neural network. Comput. Electron. Agric. 2020, 175, 105525. [Google Scholar] [CrossRef]
  22. Chouaibi, M.; Daoued, K.B.; Riguane, K.; Rouissi, T.; Ferrari, G. Production of bioethanol from pumpkin peel wastes: Comparison between response surface methodology (RSM) and artificial neural networks (ANN). Ind. Crops Pro. 2020, 155, 112822. [Google Scholar] [CrossRef]
  23. Etminan, A.; Pour-Aboughadareh, A.; Mohammadi, R.; Shooshtari, L.; Yousefiazarkhanian, M.; Moradkhani, H. Determining the best drought tolerance indices using artificial neural network (ANN): Insight into application of intelligent agriculture in agronomy and plant breeding. Cereal Res. Commun. 2019, 47, 170–181. [Google Scholar] [CrossRef]
  24. Silitonga, A.S.; Masjuki, H.H.; Ong, H.C.; Sebayang, A.H.; Dharma, S.; Kusumo, F.; Siswantoro, J.; Milano, J.; Daud, K.; Mahlia, T.M.I.; et al. Evaluation of the engine performance and exhaust emissions of biodiesel-bioethanol-diesel blends using kernel-based extreme learning machine. Energy 2018, 159, 1075–1087. [Google Scholar] [CrossRef]
  25. Lorencin, I.; Anđelić, N.; Mrzljak, V.; Car, Z. Genetic algorithm approach to design of multi-layer perceptron for combined cycle power plant electrical power output estimation. Energies 2019, 12, 4352. [Google Scholar] [CrossRef]
  26. Stajčić, S.; Lato, P.; Čanadanović-Brunet, J.; Ćetković, G.; Mandić, A.; Tumbas Šaponjac, V.; Vulić, J.; Šeregelj, V.; Petrović, J. Encapsulation of bioactive compounds extracted from Cucurbita moschata pumpkin waste: The multi-objective optimisation study. J. Microencapsul. 2022, 39, 380–393. [Google Scholar] [CrossRef] [PubMed]
  27. Bakhshipour, A.; Zare, D. A generalized artificial neural network model for deep-bed drying of paddy. Agric. Eng. 2017, 20. [Google Scholar] [CrossRef]
  28. Hosseinizand, H.; Sokhansanj, S.; Lim, C.J. Studying the drying mechanism of microalgae Chlorella vulgaris and the optimum drying temperature to preserve quality characteristics. Dry. Technol. 2018, 36, 1049–1060. [Google Scholar] [CrossRef]
  29. Oliveira, S.M.; Brandão, T.R.S.; Silva, C.L.M. Influence of Drying Processes and Pretreatments on Nutritional and Bioactive Characteristics of Dried Vegetables: A Review. Food Eng. Rev. 2016, 8, 134–163. [Google Scholar] [CrossRef]
  30. Gao, X.; Yang, S.; Sun, W. A global pathway selection algorithm for the reduction of detailed chemical kinetic mechanisms. Combust. Flame 2016, 167, 238–247. [Google Scholar] [CrossRef]
  31. Helgadóttir, Á.; Suter, M.; Gylfadóttir, T.Ó.; Kristjánsdóttir, T.A.; Lüscher, A. Grass-legume mixtures sustain strong yield advantage over monocultures under cool maritime growing conditions over a period of 5 years. Ann. Bot. 2018, 122, 337–348. [Google Scholar] [CrossRef]
  32. Anwar, Z.; Gulfraz, M.; Irshad, M. Agro-industrial lignocellulosic biomass a key to unlock the future bio-energy: A brief review. J. Radiat. Res. Appl. Sci. 2014, 7, 163–173. [Google Scholar] [CrossRef]
  33. Dakanalis, A.; Carrà, G.; Calogero, R.; Fida, R.; Clerici, M.; Zanetti, M.A.; Riva, G. The developmental effects of media-ideal internalization and self-objectification processes on adolescents’ negative body-feelings, dietary restraint, and binge eating. Eur. Child Adolesc. Psychiatry 2015, 24, 997–1010. [Google Scholar] [CrossRef] [PubMed]
  34. Pezo, L.; Ćurčić, B.; Filipović, V.; Nićetin, M.; Koprivica, G.; Mišljenović, N.; Lević, L. Artificial neural network model of pork meat cubes osmotic dehydration. Hem. Ind. 2013, 67, 465–475. [Google Scholar] [CrossRef]
  35. Adiredjo, A.L.; Navaud, O.; Muños, S.; Langlade, N.B.; Lamaze, T.; Grieu, P. Genetic control of water use efficiency and leaf carbon isotope discrimination in sunflower (Helianthus annuus L.) subjected to two drought scenarios. PLoS ONE 2014, 9, e101218. [Google Scholar] [CrossRef]
  36. Kollo, T.; Von Rosen, D. (Eds.) Advanced Multivariate Statistics with Matrices; Springer: Dordrecht, The Netherlands, 2005. [Google Scholar]
  37. Pavlić, B.; Pezo, L.; Marić, B.; Tukuljac, L.P.; Zeković, Z.; Solarov, M.B.; Teslić, N. Supercritical fluid extraction of raspberry seed oil: Experiments and modelling. J. Supercrit. Fluids. 2020, 157, 104687. [Google Scholar] [CrossRef]
  38. Mohieddin, J.; Yinyin, W.; Ali, A.; Jing, T. Unsupervised Learning and Multipartite Network Models: A Promising Approach for Understanding Traditional Medicine. Front. Pharmacol. 2020, 11, 1319. [Google Scholar] [CrossRef]
  39. Huang, Y. Advances in artificial neural networks–methodological development and application. Algorithms 2009, 2, 973–1007. [Google Scholar] [CrossRef]
  40. Yoon, Y.; Swales, G.; Margavio, T.M. A comparison of discriminant analysis versus artificial neural networks. J. Oper. Res. Soc. 2017, 44, 51–60. [Google Scholar] [CrossRef]
  41. Dragojlović, D.; Pezo, L.; Čolović, D.; Vidosavljević, S.; Pezo, M.L.; Čolović, R.; Kokić, B.; Đuragić, O. Application of soybean oil and glycerol in animal feed production, ANN model. Acta Period. Technol. 2019, 50, 51–58. [Google Scholar] [CrossRef]
  42. Goldberg, D.E. Genetic Algorithms in Search, Optimization and Machine Learning, 1st ed.; Addison-Wesley Longman Publishing Co., Inc.: Boston, MA, USA, 1989. [Google Scholar]
  43. Kantardzic, M. Data Mining: Concepts, Models, Methods, and Algorithms; John Wiley & Sons: Hoboken, NJ, USA, 2011. [Google Scholar]
  44. Khoshnevisan, B.; Rafiee, S.; Omid, M.; Mousazadeh, H. Development of an intelligent system based on ANFIS for predicting wheat grain yield on the basis of energy inputs. Inf. Process. Agric. 2014, 1, 14–22. [Google Scholar] [CrossRef]
  45. Krulj, J.; Markov, S.; Bočarov-Stančić, A.; Pezo, L.; Kojić, J.; Ćurčić, N.; Janić-Hajnal, E.; Bodroža-Solarov, M. The effect of storage temperature and water activity on aflatoxin B1 accumulation in hull-less and hulled spelt grains. J. Sci. Food Agric. 2019, 99, 3703–3710. [Google Scholar] [CrossRef] [PubMed]
  46. Rupp, D.E.; Schmidt, J.; Woods, R.A.; Bidwell, V.J. Analytical assessment and parameter estimation of a low-dimensional groundwater model. J. Hydrol. 2009, 377, 143–154. [Google Scholar] [CrossRef]
  47. Šovljanski, O.; Tomić, A.; Pezo, L.; Ranitović, A.; Markov, S. Prediction of denitrification capacity of alkalotolerant bacterial isolates from soil—An artificial neural network model. J. Serb. Chem. Soc. 2020, 85, 1417–1427. [Google Scholar] [CrossRef]
  48. Najafi, Z.; Zare, K.; Mahmoudi, M.R.; Shokri, S.; Mosavi, A. Inference and Local Influence Assessment in a Multifactor Skew-Normal Linear Mixed Model. Mathematics 2022, 10, 2820. [Google Scholar] [CrossRef]
Figure 1. Comparison of experimentally obtained values of (a) plant height, (b) umbel diameter, (c) number of umbels, (d) number of seeds, (e) 1000-seed weight, (f) yield per plant, (g) plant weight, (h) harvest index, (i) yield per ha, (j) EO yield, (k) germination energy, (l) total germination and (m) EO content, with ANN predicted values.
Figure 1. Comparison of experimentally obtained values of (a) plant height, (b) umbel diameter, (c) number of umbels, (d) number of seeds, (e) 1000-seed weight, (f) yield per plant, (g) plant weight, (h) harvest index, (i) yield per ha, (j) EO yield, (k) germination energy, (l) total germination and (m) EO content, with ANN predicted values.
Life 12 01722 g001
Figure 2. Comparison of experimentally obtained values of (a) limonene, (b) cis-dihydro carvone, (c) methyl chavicol, (d) carvone, (e) cis-anethole, (f) trans-anethole, (g) β-elemene, (h) α-himachalene, (i) trans-β-farnesene, (j) γ-himachalene, (k) trans-muurola-4(14),5-diene, (l) NI, (m) α-zingiberene, (n) β-himachalene, (o) β-bisabolene, (p) trans-pseudoisoeugenyl 2-methylbutyrate and (q) epoxy-pseudoisoeugenyl 2-methylbutyrate, with ANN predicted values.
Figure 2. Comparison of experimentally obtained values of (a) limonene, (b) cis-dihydro carvone, (c) methyl chavicol, (d) carvone, (e) cis-anethole, (f) trans-anethole, (g) β-elemene, (h) α-himachalene, (i) trans-β-farnesene, (j) γ-himachalene, (k) trans-muurola-4(14),5-diene, (l) NI, (m) α-zingiberene, (n) β-himachalene, (o) β-bisabolene, (p) trans-pseudoisoeugenyl 2-methylbutyrate and (q) epoxy-pseudoisoeugenyl 2-methylbutyrate, with ANN predicted values.
Life 12 01722 g002
Figure 3. The relative importance of variables on (a) plant height, (b) umbel diameter, (c) number of umbels, (d) number of seeds, (e) 1000-seed weight, (f) yield per plant, (g) plant weight, (h) harvest index, (i) yield per ha, (j) EO yield, (k) germination energy, (l) total germination and (m) EO content, determined using Yoon’s interpretation method.
Figure 3. The relative importance of variables on (a) plant height, (b) umbel diameter, (c) number of umbels, (d) number of seeds, (e) 1000-seed weight, (f) yield per plant, (g) plant weight, (h) harvest index, (i) yield per ha, (j) EO yield, (k) germination energy, (l) total germination and (m) EO content, determined using Yoon’s interpretation method.
Life 12 01722 g003
Figure 4. The relative importance of variables on (a) limonene, (b) cis-dihydro carvone, (c) methyl chavicol, (d) carvone, (e) cis-anethole, (f) trans-anethole, (g) β-elemene, (h) α-himachalene, (i) trans-β-farnesene, (j) γ-himachalene, (k) trans-muurola-4(14),5-diene, (l) NI, m) α-zingiberene, (n) β-himachalene, (o) β-bisabolene, (p) trans-pseudoisoeugenyl 2-methylbutyrate and (q) epoxy-pseudoisoeugenyl 2-methylbutyrate, determined using Yoon’s interpretation method.
Figure 4. The relative importance of variables on (a) limonene, (b) cis-dihydro carvone, (c) methyl chavicol, (d) carvone, (e) cis-anethole, (f) trans-anethole, (g) β-elemene, (h) α-himachalene, (i) trans-β-farnesene, (j) γ-himachalene, (k) trans-muurola-4(14),5-diene, (l) NI, m) α-zingiberene, (n) β-himachalene, (o) β-bisabolene, (p) trans-pseudoisoeugenyl 2-methylbutyrate and (q) epoxy-pseudoisoeugenyl 2-methylbutyrate, determined using Yoon’s interpretation method.
Life 12 01722 g004
Table 1. Experimental data regarding location.
Table 1. Experimental data regarding location.
LocationOstojićevoVeliki RadinciMošorin
DistrictBanatSremBačka
GSM coordinates45°54′ N, 20°09′ E45°02′ N, 19°40′ E45°18′ N, 20°09′ E
Elevation88 m111 m111 m
Soil pH (in KCl)7.37.17.3
CaCO3 content in the soil (%)8.82.08.4
Soil humus (%)2.22.52.7
Soil total nitrogen (%)0.140.160.18
Soil P2O5 (mg/100 g)17.622.481.6
Soil K2O (mg/100 g)30.321.771.5
Vegetation period (1st year)145 days135 days133 days
Vegetation period (2nd year)112 days118 days118 days
GDD (1st year)2752 °C2413 °C2350 °C
GDD (2nd year)2324 °C2276 °C2234 °C
Precipitation (1st year)193 mm244 mm191 mm
Precipitation (2nd year)166 mm217 mm183 mm
Insolation (1st year)1326 h1041 h1068 h
Insolation (2nd year)1115 h1031 h1076 h
GDD—growing degree days (measure of heat accumulation during anise vegetation).
Table 2. Experimental data regarding treatments.
Table 2. Experimental data regarding treatments.
SlavolBactoFil B-10Royal OfertVermicompostNPK
ProducerAgrounik, SerbiaBioFil KFT, HungaryAltamed, SerbiaPG Ivić, SerbiaElixir Zorka, Serbia
TypeMicrobiologicalBiohumusChemical
Formulation Azotobacter chroococcum, A. vinelandi, Derxia sp. Bacillus megaterium, B. lichenformis, B. subtilisA. vınelandı, Azospırıllum brasılense, A. lıpoferum, B. megaterıum, B. suptılıs, B. cırkulans, B. polymıxa, Pseudomonas fluorescens + natural vitamins and growth stimulatorMade from organic waste from poultry and pig farms inoculated with domestic fly larvaemodified cattle manure with Lumbricus terrestris15:15:15
ApplicationWatering twice during vegetationincorporated in the 5 cm layer of soil before the sowing of anise seeds
Dose7 L/ha1.5 L/ha3 t/ha5 t/ha400 kg/ha
Table 3. ANN model summary (according to performance and errors) for training, testing and validation cycles.
Table 3. ANN model summary (according to performance and errors) for training, testing and validation cycles.
Net. NamePerformanceErrorTraining
Algorithm
Error
Function
Hidden
Activation
Output
Activation
TrainTestValidTrainTestValid
MLP 10-10-300.9360.9310.9251141.0341140.7481134.330BFGS 930SOSExp.Exp.
Table 4. The “goodness of fit” tests for the developed ANN model for agricultural data.
Table 4. The “goodness of fit” tests for the developed ANN model for agricultural data.
χ2RMSEMBEMPEr2SkewKurtMeanStDevVar
Plant height11.9681.4120.0902.4720.9180.6450.0550.0901.4292.043
Umbel diameter0.3330.236−0.0283.0210.581−0.179−0.257−0.0280.2370.056
No. of umbels2.1510.5990.0463.0290.893−0.031−0.8830.0460.6050.367
No. of seeds89.6053.8640.3412.7540.8600.394−0.1640.3413.90415.241
1.000-seed weight0.2500.2040.0274.2150.760−0.210−0.6360.0270.2050.042
Yield per plant1.3260.4700.0874.6570.8280.7410.9740.0870.4690.220
Plant weight4.4660.8630.1903.8830.8390.3000.0380.1900.8530.728
Harvest index10.9221.3490.0442.2130.699−0.1140.5510.0441.3681.870
Yield per ha52,955.71893.94714.0124.7090.8260.6530.84114.01294.2138876.179
EO yield99.9164.081−0.6916.0970.8840.3630.406−0.6914.07916.638
Germination energy84.8853.7610.4433.7640.8490.4560.3380.4433.78814.350
Total germination58.4003.120−0.0252.9610.8610.4200.081−0.0253.16410.011
EO content0.3680.247−0.0514.7440.555−1.5433.841−0.0510.2460.060
Table 5. The “goodness of fit” tests for the developed ANN model for essential oils data.
Table 5. The “goodness of fit” tests for the developed ANN model for essential oils data.
χ2RMSEMBEMPEr2SkewKurtMeanStDevVar
Limonene0.0040.024−0.0110.1200.807−3.69216.648−0.0110.0220.000
cis-dihydro carvone0.0140.048−0.01510.1380.9080.5262.739−0.0150.0460.002
Methyl chavicol0.2040.184−0.01422.7590.763−2.59211.549−0.0140.1860.035
Carvone0.0010.015−0.0070.2400.803−3.87818.412−0.0070.0140.000
trans-anethole0.0060.0310.00126.4680.578−0.9301.4480.0010.0310.001
cis-anethole3.3420.746−0.0850.6240.8360.3770.286−0.0850.7520.565
β-elemene0.0050.029−0.00315.8860.5750.7150.989−0.0030.0290.001
α-himachalene0.0070.033−0.00416.5790.893−0.8431.094−0.0040.0340.001
trans-β-farnesene0.0020.019−0.00316.4970.414−1.2915.865−0.0030.0190.000
γ-himachalene0.5660.3070.00712.2030.803−1.0331.9050.0070.3110.097
trans-muurola-4(14),5-diene0.1510.159−0.02338.3530.665−0.8893.621−0.0230.1590.025
NI0.0040.024−0.00315.7390.901−0.6830.538−0.0030.0250.001
α-zingiberene0.0230.0620.00624.4330.8640.3622.3360.0060.0630.004
β-himachalene0.0060.0330.00422.1620.6310.8640.8290.0040.0330.001
β-bisabolene0.0180.055−0.01013.4240.794−3.47415.879−0.0100.0550.003
trans-pseudoisoeugenyl 2-methylbutyrate0.9440.3970.02064.8250.3790.9542.9620.0200.4020.161
Epoxy-pseudoisoeugenyl 2-methylbutyrate0.0040.026−0.00631.7080.893−1.5864.722−0.0060.0260.001
Publisher’s Note: MDPI stays neutral with regard to jurisdictional claims in published maps and institutional affiliations.

Share and Cite

MDPI and ACS Style

Pezo, L.; Lončar, B.; Šovljanski, O.; Tomić, A.; Travičić, V.; Pezo, M.; Aćimović, M. Agricultural Parameters and Essential Oil Content Composition Prediction of Aniseed, Based on Growing Year, Locality and Fertilization Type—An Artificial Neural Network Approach. Life 2022, 12, 1722. https://doi.org/10.3390/life12111722

AMA Style

Pezo L, Lončar B, Šovljanski O, Tomić A, Travičić V, Pezo M, Aćimović M. Agricultural Parameters and Essential Oil Content Composition Prediction of Aniseed, Based on Growing Year, Locality and Fertilization Type—An Artificial Neural Network Approach. Life. 2022; 12(11):1722. https://doi.org/10.3390/life12111722

Chicago/Turabian Style

Pezo, Lato, Biljana Lončar, Olja Šovljanski, Ana Tomić, Vanja Travičić, Milada Pezo, and Milica Aćimović. 2022. "Agricultural Parameters and Essential Oil Content Composition Prediction of Aniseed, Based on Growing Year, Locality and Fertilization Type—An Artificial Neural Network Approach" Life 12, no. 11: 1722. https://doi.org/10.3390/life12111722

APA Style

Pezo, L., Lončar, B., Šovljanski, O., Tomić, A., Travičić, V., Pezo, M., & Aćimović, M. (2022). Agricultural Parameters and Essential Oil Content Composition Prediction of Aniseed, Based on Growing Year, Locality and Fertilization Type—An Artificial Neural Network Approach. Life, 12(11), 1722. https://doi.org/10.3390/life12111722

Note that from the first issue of 2016, this journal uses article numbers instead of page numbers. See further details here.

Article Metrics

Back to TopTop