The Effect of Hormone Types, Concentrations, and Treatment Times on the Rooting Traits of Morus ‘Yueshenda 10’ Softwood Cuttings
Abstract
1. Introduction
2. Materials and Methods
2.1. Materials
2.2. Experimental Design
2.3. Measurement of Indicators
2.4. Data Analysis
3. Results and Analysis
3.1. Rooting Types and Process of Cutting Propagation
3.2. Analysis of Primary and Secondary Effects of Different Factors
3.3. Effects of Hormone Types, Concentrations, and Soaking Time on Rooting Indicators of Yueshenda 10 Cuttings
3.3.1. Effects of Factors and Their Interactions on Rooting Indicators of Cuttings
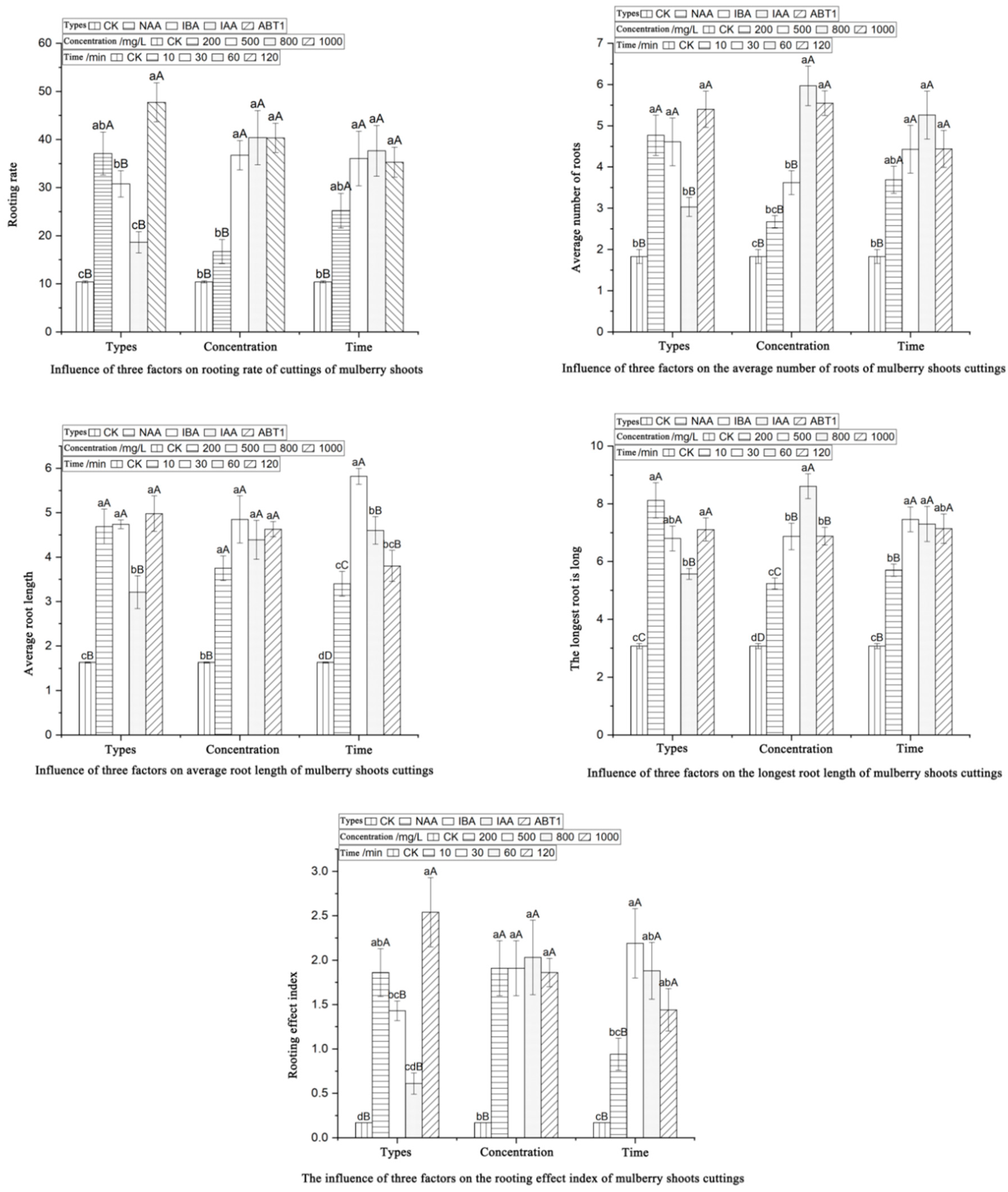
3.3.2. Effects of Hormone Types on Rooting Index of Yueshenda 10 Cuttings
3.3.3. Effects of Concentration on Rooting Index of Cuttings
3.3.4. Effects of Treatment Time on Rooting Indexes of Stem Cuttings
3.4. Fuzzy Function Analysis of the Optimal Combination of Hormone Type, Concentration, and Soaking Time for the Rooting of Yueshenda 10 Stem Cuttings
4. Discussion
4.1. Effects of Plant Growth Regulators on Mulberry Cuttings
4.2. Effects of Plant Growth Regulator Concentration on the Rooting of Mulberry Cuttings
4.3. Effects of Treatment Time on the Propagation of Mulberry Cuttings
4.4. Effects of Interaction on the Propagation of Mulberry Cuttings
5. Conclusions
Author Contributions
Funding
Institutional Review Board Statement
Informed Consent Statement
Data Availability Statement
Conflicts of Interest
References
- Yongcheol, L.; Keum, T.H. Changes in physicochemical properties of mulberry fruits (Morus alba L.) during ripening. Sci. Hortic. 2017, 217, 189–196. [Google Scholar] [CrossRef]
- Palli, j.; Baliva, M.; Biondi, F.; Calcagnile, L.; Cerbino, D.; D’Elia, M.; Piovesan, G. The Longevity of Fruit Trees in Basilicata (Southern Italy): Implications for Agricultural Biodiversity Conservation. Land 2023, 12, 550. [Google Scholar] [CrossRef]
- Sourati, R.; Sharifi, P.; Poorghasemi, M.; Alves, V.E.; Seidavi, A.; Anjum, N.A.; Sofo, A. Effects of Naphthaleneacetic Acid, Indole-3-Butyric Acid and Zinc Sulfate on the Rooting and Growth of Mulberry Cuttings. Int. J. Plant Biol. 2022, 13, 21. [Google Scholar] [CrossRef]
- Koyuncu, F.; Senel, E. Rooting of black mulberry (Morus nigra) hardwood cuttings. J. Fruit Ornam. Plant Res. 2003, 11, 53–57. [Google Scholar]
- Mallick, P.; Ghosh, S.; Chattaraj, S.; Sikdar, S.R. Isolation of mesophyll protoplast from Indian mulberry (Morus alba L.) cv. S1635. J. Environ. Sci. 2016, 13, 217–222. [Google Scholar]
- Koyuncu, F.; Balta, F. Adventitious root formation in leaf-bud cuttings of tea (Camellia sinensis L.). Pak. J. Bot. 2004, 36, 763–768. [Google Scholar]
- Romero, J.L. A review of propagation programs for Gmelina arborea. New For. 2004, 28, 245–254. [Google Scholar] [CrossRef]
- Sharma, V. Aeroponics for adventitious rhizogenesis in evergreen haloxeric tree Tamarix aphylla (L.) Karst.: Influence of exogenous auxins and cutting type. Physiol. Mol. Biol. Plants 2018, 24, 167–174. [Google Scholar] [CrossRef]
- Mehri, H.; Mhanna, K.; Soltane, A.; Awad, E.; Rouili., F.; Abdelkarim., M. Performance of Olive Cuttings (Olea europaea L.) of Different Cultivars Growing in the Agro-climatic Conditions of Al-Jouf (Saudi Arabia). Am. J. Plant Physiol. 2013, 8, 41–49. [Google Scholar]
- Lakehal, A.; Bellini, C. Control of adventitious root formation: Insights into synergistic and antagonistic hormonal interactions. Physiol. Plant 2018, 165, 90–100. [Google Scholar] [CrossRef]
- Shen, N.; Chen, L.D.; Liu, K.; Zhou, G.L.; Chen, M.Y.; Pi, F.J.; Zhao, D.G.; Zhao, Y.C. Effect of auxin on rooting of tender branch cuttings of tea strain ‘Zikui’. Mol. Plant Breed. 2022, 1–22. [Google Scholar]
- Sunil, P.; Verma, R.C. Vegetative propagation of Dalbergia sissoo Roxb. using softwood and hardwood stem cuttings. J. Arid Env. 1996, 34, 235–245. [Google Scholar]
- Rakeshwar, S.R.; Kamal, K.S. Effect of cutting diameter and hormonal application on the propagation of Ficus roxburghii Wall. through branch cuttings. Ann. For. Sci. 2012, 55, 69–84. [Google Scholar]
- Laubscher, C.P.; Ndakidemi, P.A. Rooting success using IBA auxin on endangered Leucadendron laxum PROTEACEAE in different rooting mediums. Afr. J. Biomed. Res. 2008, 7, 3437–3442. [Google Scholar]
- Cooper, W. Transport of root-forming hormone in woody cuttings. Plant Physiol. 1936, 11, 779–793. [Google Scholar] [CrossRef] [PubMed]
- Franzon, R.C.; Castro, C.M.; Raseira, M.D.C.B. Variabilidade genética em populações de pitangueira oriundas de autopolinização e polinização livre, acessada por AFLP Genetic variability in surinam cherry populations originated from self-pollination and cross pollination, estimated by AFLP. Rev. Bras. Frutic. 2010, 32, 240–250. [Google Scholar] [CrossRef]
- Cox, D.A. Hartmann and Kester’s Plant Propagation Principles and Practices, 9th Edition. HortScience 2018, 53, 741. [Google Scholar] [CrossRef]
- Kentelky, E.; Jucan, D.; Cantor, M.; Szekely, V.Z. Efficacy of Different Concentrations of NAA on Selected Ornamental Woody Shrubs Cuttings. Horticulture 2021, 7, 464. [Google Scholar] [CrossRef]
- Dave, A.; Vaistij, F.E.; Gilday, A.D.; Penfeld, S.D.; Graham, I.A. Regulation of Arabidopsis thaliana seed dormancy and germination by 12-oxo-phytodienoic acid. J. Exp. Bot. 2016, 67, 2277–2284. [Google Scholar] [CrossRef] [PubMed]
- Kohanová, J.; Martinka, M.; Vaculík, M.; White, P.J.; Hauser, M.; Lux, A. Root hair abundance impacts cadmium accumulation in Arabidopsis thaliana shoots. Ann. Bot. 2018, 122, 903–914. [Google Scholar] [CrossRef]
- Huang, D.L.; Feng, J.L. Overview of the application of plant growth regulators on mulberry trees. Guangxi Seric. 1999, 36, 1–5. [Google Scholar]
- Cui, Q.Y.; Qiu, C.Y.; Lin, Q.; Zhang, C.H.; Zhu, G.H.; Shi, H.Y.; Chen, F.; Zhu, F.R. Research progress in efficient mulberry cutting seedling technology. Guangxi Seric. 2017, 53, 36–41. [Google Scholar]
- Zhang, Y.J.; Zhang, X.J.; Zhang, G.Z.; Li, D.D.; Li, R.J. Research on hardwood cutting technology of Longsang. Prac. For. Tech. 2012, 27, 27–29. [Google Scholar] [CrossRef]
- Liu, Y.G.; Du, W.; Zhou, C.T.; Huang, P. Effect of different concentrations of NAA on rooting of green branch cuttings of mulberry trees Yunsang 2 and Yunguo 1. Modern Agric. Sci. Tech. 2015, 23, 281+285. [Google Scholar]
- Lin, Q.; Chen, X.Q.; Mo, X.H.; Yang, Q.B. Comparative test on survival rate of mulberry hardwood cuttings treated with several plant hormones. Guangxi Seric. 2002, 39, 5–7. [Google Scholar]
- Du, W.; Cheng, J.L. Effect of different spikes on the rooting effect of mulberry green cuttings. China Seric. 2014, 35, 11–14. [Google Scholar] [CrossRef]
- Deng, G.X.; Lei, W.; Li, J.; Jiang, Y.B.; Wan, R.W. Study on the influence of ABT1 rooting powder and indole-3-acetic acid on the survival rate of Simao pine cuttings. West. For. Sci. 2016, 35, 73–77. [Google Scholar] [CrossRef]
- Zhang, J. Meteorological characteristics and mulberry cultivation in Henan. Agric. Henan 2019, 522, 14. [Google Scholar] [CrossRef]
- Ji, K.; Wang, Z.R.; Chen, T.H.; Wang, M.X. A study on the variation of rooting ability of Pinus massoniana cuttings. J. Nanjing For. Univ. 1998, 22, 69–73. [Google Scholar]
- Luo, M.F. Application of experimental design in forestry. Henan Agric. For. Sci. Tech. 1984, 2, 25–27. [Google Scholar]
- Cao, X.; Du, W.; Shang, C.Q.; Shen, Q.D.; Liu, L.; Cheng, J.L. Comparative transcriptome reveals circadian and hormonal control of adventitious rooting in mulberry hardwood cuttings. Acta. Physiol. Plant 2018, 40, 197. [Google Scholar] [CrossRef]
- Zem, L.M.; Weiser, A.H.; Zuffellato-Ribas, K.C.; Radomski, M.I. Herbaceous and semi-hardwood stem cuttings of Drimys brasiliensis. Revista Cienc. Agron. 2015, 46, 396–403. [Google Scholar]
- Vieira, L.M.; Kruchelski, S.; Gomes, E.N.; Zuffellato-Ribas, K.C. Indolebutyric acid on boxwood propagation by stem cuttings. Ornam. Hortic. 2018, 24, 347–352. [Google Scholar] [CrossRef]
- Shen, Z.X. Rooting physiology of mulberry cuttings. Plant Physiol. Commun. 1997, 6, 485–486. [Google Scholar] [CrossRef]
- Fukuda, Y.; Hirao, T.; Mishima, K.; Ohira, M.; Hiraoka, Y.; Takahashi, M.; Watanabe, A. Transcriptome dynamics of rooting zone and aboveground parts of cuttings during adventitious root formation in Cryptomeria japonica D. Don. BMC Plant Biol. 2018, 18, 201. [Google Scholar] [CrossRef] [PubMed]
- Zhang, P.J.; Gao, L.Q.; Shang, X.H. Effects of different hormone types, concentrations and soaking time on rooting of Jinputao cuttings. J. Trop. For. Sci. 2020, 41, 1084–1091. [Google Scholar]
- Wiesman, Z.; Lavee, S. Enhancement of IBA stimulatory effect on rooting of olive cultivar stem cuttings. Sci. Hortic. 1995, 62, 189–198. [Google Scholar] [CrossRef]
- Uwe, D.; Philipp, F.; Hajirezaei, M.R. Plant Hormone Homeostasis, Signaling, and Function during Adventitious Root Formation in Cuttings. Front. Plant Sci. 2016, 7, 381. [Google Scholar] [CrossRef]
- Pandey, L.; Verma, R.S.; Shukla, K.K.; Shukla, J.K.; Pathak, S. Effect of IBA and NAA on Rooting of Stem Cutting in Dragon Fruit [Hylocereus undatus (Haworth) Britton & Rose]. J. Exp. Agric. Int. 2022, 44, 1–6. [Google Scholar] [CrossRef]
- Azad, M.S.; Alam, M.J.; Mollick, A.S.; Khan, M.N. Rooting of cuttings of the wild Indian almond tree (Sterculia foetida) enhanced by the application of indole-3-butyric acid (IBA) under leafy and non-leafy conditions. Rhizosphere 2018, 5, 8–15. [Google Scholar] [CrossRef]
- Muttaleb, Q.A.; Abdullah, T.L.; Rashid, A.A.; Hassan, S.A. Rooting of Stem Cuttings with Different Indole 3 Butyric Acid (IBA) Treatments and Development of Micropropagation Protocol for Piper betle L. Node Culture. Am. J. Plant Sci. 2017, 8, 3084–3100. [Google Scholar] [CrossRef]
- Paradikovi, N.; Zeljkovi, S.; Tkalec, M.; Vinkovi, T.; Mari, M. Influence of rooting powder on propagation of sage (salvia officinalis L.) and rosemary (rosmarinus officinalis L.) with green cuttings. Poljoprivreda 2013, 19, 10–15. [Google Scholar]
- Nakata, P.A. Advances in our understanding of calcium oxalate crystal formation and function in plants. Plant Sci. 2003, 164, 901–909. [Google Scholar] [CrossRef]
- Wagner, C.; Bryan, W.L.; Berry, R.E.; Knight, R. Carambola Selection for Commercial Production. Proc. Fla. State Hortic. Soc. 1975, 88, 466–469. [Google Scholar]
- Zheng, K.; Lang, N.J.; Cao, F.L.; He, L.P.; Chen, P.; Peng, M.J. Analysis of Cutting Technology. Guizhou Agric. Sci. 2009, 37, 195–199. [Google Scholar]
- Zhou, Y.C.; Zhong, Q.P.; Li, Q.P.; Liu, W.F.; Zou, Y.L.; Tian, F.; Ge, X.N.; Cao, L.Q. Study on the cutting propagation and rooting mechanism of half lignified spring shoots of tung trees. J. Central South For. Univ. Sci. Tech. 2020, 40, 25–36. [Google Scholar] [CrossRef]
- Geng, W.J.; Jie, G.; Ouyang, L.T.; Jing, J.Y.; Ma, B.Q. Effects of different substrates and hormones on the green branch cutting propagation of wild European plum. Northeast Agric. Sci. 2021, 46, 76–81. [Google Scholar] [CrossRef]
- Song, B.Y.; Kang, Y.X.; Shi, J.D. Effects of plant growth regulators on rooting of Ulmus elongatus by cutting. Shanxi For. Sci. Tech. 2022, 50, 16–19+22. [Google Scholar]
- Vigya, K.; Anitha, K.; Latha, R. Effect of auxins on adventitious rooting from stem cuttings of candidate plus tree Pongamia pinnata (L.), a potential biodiesel plant. Trees 2009, 23, 597–604. [Google Scholar] [CrossRef]
- Sanjay, S.; Pramod, K.; Ansari, S.A. A simple method for large-scale propagation of Dendrocalamus asper. Sci. Hortic. 2003, 100, 251–255. [Google Scholar] [CrossRef]
- Nair, A.; Zhang, D.L.; Smagula, J.; Hu, D.Y. Rooting and Overwintering Stem Cuttings of Stewartia pseudocamellia Maxim. Relevant to Hormone, Media, and Temperature. HortScience 2008, 43, 2124–2128. [Google Scholar] [CrossRef]
- Yusnita, Y.; Jamaludin, J.; Agustiansyah, A.; Dwi, H. A Combination of IBA and NAA Resulted in Better Rooting and Shoot Sprouting than Single Auxin on Malay Apple Syzygium malaccense L Merr Perry Stem Cuttings. AGRIVITA J. Agric. Sci. 2017, 40, 80–90. [Google Scholar] [CrossRef]
- Laubscher, C.P.; Ndakidemi, P.A. Rooting response under shade using IBA growth regulators and different growth mediums on Leucadendron laxum (Proteaceae)–A commercial cut flower. Afr. J. Agric. Res. 2008, 3, 740–746. [Google Scholar]
- Tien, L.H.; Chac, L.D.; Oanh, L.; Ly, P.T.; Bao, T.B. Effect of auxins (iaa, iba and naa) on clonal propagation of solanum procumbens stem cuttings. Plant Cell Biotechnology Mol. Biol. 2020, 21, 113–120. [Google Scholar]
- Lamia, V.M.; Rana, V.K.; Mohammad, B.H.; Elaheh, K.; Mohammad, A.A. Auxin concentration and sampling time affect rooting of Chrysanthemum morifolium L. and Rosmarinus officinalis L. Azarian J. Agric. 2016, 3. [Google Scholar]
- Mehri, S.; Vahid, R.S. Effects of media and indole butyric acid (IBA) concentrations on hopbush (Dodoneae viscosa L.) cuttings in green house. Ann. For. Res. 2012, 55, 61–68. [Google Scholar] [CrossRef]
- An, H.S.; Meng, J.J.; Xu, F.J.; Jiang, S.; Wang, X.Q.; Shi, C.H.; Zhou, B.Q.; Luo, J.; Zhang, X.Y. Rooting Ability of Hardwood Cuttings in Highbush Blueberry (Vaccinium corymbosum L.) Using Different Indole-butyric Acid Concentrations. HortScience 2018, 54, 194–199. [Google Scholar] [CrossRef]
- King, A.R.; Arnold, M.A.; Welsh, D.F.; Watson, W.T. Substrates, wounding, and growth regulator concentrations alter adventitious rooting of baldcypress cuttings. HortScience 2011, 46, 1387–1393. [Google Scholar] [CrossRef]
- Wang, B.Q.; Yu, W.G.; Meng, Q.W.; Yang, Z.X.; Dou, L.C.; Song, X.Q.; Yu, X.D. Effect of plant growth regulators on the rooting of rattan oil star cuttings. J. Tropical Bio. 2016, 7, 48–52. [Google Scholar] [CrossRef]
- Luo, X.M.; Xie, S.L.; Ma, J.H.; Shen, X.L.; Wang, X.H.; Ding, L.M. The technology of shoot cutting propagation of three Acer palmatum Thunb varieties. Mol. Plant Breed. 2019, 17, 7459–7466. [Google Scholar] [CrossRef]
- Xu, Y.; Yuan, S.; Lu, Y.F.; Feng, Z.J. Effect of plant growth regulators on rooting of tender branch cuttings of Phoebe breviflora. Zhejiang For. Sci. Tech. 2017, 37, 69–73. [Google Scholar]
- Verdi, R.; Bettoni, J.C.; Werner, S.S.; Boff, M.I.C.; Boff, P. Effects of the phenological stage, type of cutting and plant growth regulators on the propagation by stem cutting of Poiretia latifolia Vogel, a brazilian native medicinal plant. Rev. Colomb. Cienc. Hortic. 2020, 14, 267–274. [Google Scholar] [CrossRef]
- Cheng, T.L.; Shi, J.S. China Maple Shoot Cutting Propagation Technology. For. Sci. Tech. Dev. 2003, 17, 36–37. [Google Scholar]
- Chen, L.Y.; Qi, S.A.; Wang, K.F.; Yan, L.P.; Ren, F.; Wang, Y.H.; Liu, C.L. Influences of hormone types, concentrations and soaking time on cutting propagation of Zelkova schneideriana. Shandong Agric. Sci. 2018, 50, 72–76. [Google Scholar] [CrossRef]
- Torkashvand, A.M.; Shadparvar, V. Rooting in hibiscus rosa-sinensis (yellow double hybrid) by indole butyric acid and rooting substrates. OMICS Int. 2012, 2, 194–197. [Google Scholar]
- Swamy, S.L.; Puri, S.; Singh, A.K. Effect of auxins (IBA and NAA) and season on rooting of juvenile and mature hardwood cuttings of Robinia pseudoacacia and Grewia optiva. New For. 2002, 23, 143–157. [Google Scholar] [CrossRef]
- Quan, W.Y.; Wang, H.Z.; Chen, H.G.; Song, M.S.; Zhai, Y.S.; Du, T. Effect of IBA on cutting rooting of Lonicera japonica Thunb. Agric. Tech. 2020, 40, 39–42. [Google Scholar] [CrossRef]
- Shen, Z.; Li, T.H.; Wen, S.Z.; He, G.X.; Huang, S.H.; Tang, A.G. The influence of different factors on the rooting of tender branch cuttings of Phoebe Minnan. J. Central South For. Univ. Sci. Tech. 2013, 33, 63–67. [Google Scholar] [CrossRef]
- Jussara, C.; Rejane, M.; Gerciane, C.; Silvanda, S.; Walter, E.; Carlos, E. Rooting of Herbaceous and Semihardwood Cuttings of Guava cv. Século XXI, under Varying Concentrations of Indolebutyric Acid. J. Exp. Agric. Int. 2019, 33, 1–9. [Google Scholar] [CrossRef]
- Yi, H.L.; Wang, Y.; Xu, Y.; Luo, J.; Zhang, Q.M.; Wu, P.G.; Ren, H. Cutting propagation experiment of Apterosperma oblata. Ecol. Sci. 2016, 35, 184–188. [Google Scholar] [CrossRef]
- Hu, M.H.; Ouyang, F.Q.; Jia, Z.R.; Wang, J.H.; Zhang, S.Z.; Ma, J.W. Study on influencing factors of European spruce cutting rooting and selection of excellent individual trees with rooting ability. For. Sci. 2014, 50, 42–49. [Google Scholar]
- Ou, R.M.; Li, Z.H.; Liu, Y.Q.; Xiao, X.C.; Huang, L.Q.; Zhang, B.; Jiang, L.J. Effect of different rooting promoters on rooting of chestnut like cuttings. J. Cent. South Univ. 2011, 31, 139–143. [Google Scholar] [CrossRef]





| Experimental Level | Experimental Factors | ||
|---|---|---|---|
| Types of Hormones(A) | Concentration/mg/L(B) | Soaking time/Min(C) | |
| 1 | NAA(A1) | 200(B1) | 10(C1) |
| 2 | IBA(A2) | 500(B2) | 30(C2) |
| 3 | IAA(A3) | 800(B3) | 60(C3) |
| 4 | ABT1(A4) | 1000(B4) | 120(C4) |
| Treatment Number | Treatment Combination | Types of Hormones(A) | Concentration/mg/L(B) | Soaking Time/Min(C) |
|---|---|---|---|---|
| 1 | A1B1C1 | NAA(A1) | 200(B1) | 10(C1) |
| 2 | A1B2C2 | NAA(A1) | 500(B2) | 30(C2) |
| 3 | A1B3C3 | NAA(A1) | 800(B3) | 60(C3) |
| 4 | A1B4C4 | NAA(A1) | 1000(B4) | 120(C4) |
| 5 | A2B1C2 | IBA(A2) | 200(B1) | 30(C2) |
| 6 | A2B2C1 | IBA(A2) | 500(B2) | 10(C1) |
| 7 | A2B3C4 | IBA(A2) | 800(B3) | 120(C4) |
| 8 | A2B4C3 | IBA(A2) | 1000(B4) | 60(C3) |
| 9 | A3B1C3 | IAA(A3) | 200(B1) | 60(C3) |
| 10 | A3B2C4 | IAA(A3) | 500(B2) | 120(C4) |
| 11 | A3B3C1 | IAA(A3) | 800(B3) | 10(C1) |
| 12 | A3B4C2 | IAA(A3) | 1000(B4) | 30(C2) |
| 13 | A4B1C4 | ABT1(A4) | 200(B1) | 120(C4) |
| 14 | A4B2C3 | ABT1(A4) | 500(B2) | 60(C3) |
| 15 | A4B3C2 | ABT1(A4) | 800(B3) | 30(C2) |
| 16 | A4B4C1 | ABT1(A4) | 1000(B4) | 10(C1) |
| 17 | Control group (CK) | Water | 0 | 10 |
| Source of Error | Rooting Rate | Average Number of Roots | Average Root Length | Longest Root Length | Rooting Index | |||||
|---|---|---|---|---|---|---|---|---|---|---|
| F | p | F | p | F | p | F | p | F | p | |
| A | 6.245 * | 0.016 | 3.730 | 0.060 | 1.977 | 0.165 | 0.016 | 0.901 | 4.555 * | 0.039 |
| B | 24.746 ** | 0.000 | 59.980 ** | 0.000 | 7.157 * | 0.011 | 32.649 ** | 0.000 | 12.957 ** | 0.001 |
| C | 3.070 | 0.087 | 3.034 | 0.089 | 0.978 | 0.328 | 11.926 ** | 0.001 | 1.035 | 0.315 |
| A × B | 0.000 | 0.983 | 0.829 | 0.368 | 3.415 | 0.072 | 0.996 | 0.324 | 0.165 | 0.687 |
| A × C | 0.172 | 0.680 | 0.016 | 0.900 | 1.079 | 0.305 | 6.899 * | 0.012 | 0.004 | 0.950 |
| B × C | 5.706 * | 0.021 | 3.272 | 0.076 | 1.523 | 0.024 | 0.011 | 0.917 | 8.492 ** | 0.006 |
| A × B × C | 0.000 | 0.997 | 0.264 | 0.610 | 7.060 * | 0.011 | 2.222 | 0.143 | 1.496 | 0.228 |
| Treatment Combination | Rooting Rate (%) | Average Root Number (Root/Plant) | Average Root Length/cm | Length of Longest Root/cm | Rooting Effect Index | Mean of Membership Function | Sequence | |
|---|---|---|---|---|---|---|---|---|
| 15 | A4B3C2 | 66.240 ± 0.430 | 7.538 ± 0.024 a | 6.378 ± 0.004 b | 8.833 ± 0.088 c | 4.225 ± 0.028 a | 0.959 | 1 |
| 14 | A4B2C3 | 52.953 ± 0.454 | 5.111 ± 0.016 e | 6.230 ± 0.004 c | 7.800 ± 0.100 e | 3.299 ± 0.026 b | 0.747 | 2 |
| 3 | A1B3C3 | 47.290 ± 0.337 | 6.885 ± 0.015 b | 4.371 ± 0.002 j | 10.200 ± 0.058 a | 2.067 ± 0.014 e | 0.720 | 3 |
| 4 | A1B4C4 | 52.780 ± 0.284 | 5.726 ± 0.014 d | 5.089 ± 0.012 f | 8.567 ± 0.088 d | 2.686 ± 0.009 c | 0.712 | 4 |
| 2 | A1B2C2 | 36.400 ± 0.243 | 3.747 ± 0.018 g | 6.444 ± 0.013 a | 8.900 ± 0.058 c | 2.346 ± 0.014 d | 0.635 | 5 |
| 8 | A2B4C3 | 42.300 ± 0.560 | 6.860 ± 0.016 b | 4.463 ± 0.006 i | 6.633 ± 0.033 f | 1.888 ± 0.024 f | 0.596 | 6 |
| 16 | A4B4C1 | 41.653 ± 0.269 | 5.557 ± 0.030 d | 3.792 ± 0.003 k | 6.433 ± 0.033 g | 1.579 ± 0.010 g | 0.500 | 7 |
| 7 | A2B3C4 | 32.303 ± 0.527 | 6.097 ± 0.050 c | 4.530 ± 0.002 h | 9.100 ± 0.115 b | 1.464 ± 0.025 h | 0.466 | 8 |
| 12 | A3B4C2 | 24.667 ± 0.333 | 4.056 ± 0.056 f | 5.180 ± 0.004 e | 5.867 ± 0.033 i | 1.278 ± 0.018 i | 0.416 | 9 |
| 6 | A2B2C1 | 31.550 ± 0.165 | 3.103 ± 0.052 i | 4.680 ± 0.003 g | 5.233 ± 0.067 k | 1.476 ± 0.009 h | 0.377 | 10 |
| 5 | A2B1C2 | 16.910 ± 0.240 | 2.361 ± 0.073 kl | 5.277 ± 0.006 d | 6.233 ± 0.033 h | 0.892 ± 0.012 k | 0.325 | 11 |
| 13 | A4B1C4 | 30.060 ± 0.394 | 3.411 ± 0.048 h | 3.535 ± 0.022 l | 5.367 ± 0.033 k | 1.063 ± 0.012 j | 0.319 | 12 |
| 11 | A3B3C1 | 15.723 ± 0.182 | 3.361 ± 0.073 h | 2.273 ± 0.002 o | 6.300 ± 0.058 gh | 0.357 ± 0.004 m | 0.207 | 13 |
| 10 | A3B2C4 | 25.997 ± 0.508 | 2.533 ± 0.033 jk | 2.045 ± 0.003 p | 5.533 ± 0.033 j | 0.532 ± 0.011 l | 0.191 | 14 |
| 1 | A1B1C1 | 11.870 ± 0.406 | 2.722 ± 0.147 j | 2.852 ± 0.008 n | 4.800 ± 0.058 l | 0.339 ± 0.011 m | 0.152 | 15 |
| 9 | A3B1C3 | 8.057 ± 0.471 | 2.167 ± 0.167 l | 3.348 ± 0.004 m | 4.567 ± 0.033 m | 0.270 ± 0.015 n | 0.125 | 16 |
| 17 | CK | 10.413 ± 2.309 | 1.833 ± 0.167 m | 1.628 ± 0.015 q | 3.067 ± 0.088 n | 0.169 ± 0.003 o | 0.008 | 17 |
Disclaimer/Publisher’s Note: The statements, opinions and data contained in all publications are solely those of the individual author(s) and contributor(s) and not of MDPI and/or the editor(s). MDPI and/or the editor(s) disclaim responsibility for any injury to people or property resulting from any ideas, methods, instructions or products referred to in the content. |
© 2023 by the authors. Licensee MDPI, Basel, Switzerland. This article is an open access article distributed under the terms and conditions of the Creative Commons Attribution (CC BY) license (https://creativecommons.org/licenses/by/4.0/).
Share and Cite
Sun, J.; Li, H.; Chen, H.; Wang, T.; Quan, J.; Bi, H. The Effect of Hormone Types, Concentrations, and Treatment Times on the Rooting Traits of Morus ‘Yueshenda 10’ Softwood Cuttings. Life 2023, 13, 1032. https://doi.org/10.3390/life13041032
Sun J, Li H, Chen H, Wang T, Quan J, Bi H. The Effect of Hormone Types, Concentrations, and Treatment Times on the Rooting Traits of Morus ‘Yueshenda 10’ Softwood Cuttings. Life. 2023; 13(4):1032. https://doi.org/10.3390/life13041032
Chicago/Turabian StyleSun, Jiajia, Hongyun Li, Hanlei Chen, Tiantian Wang, Jin’e Quan, and Huitao Bi. 2023. "The Effect of Hormone Types, Concentrations, and Treatment Times on the Rooting Traits of Morus ‘Yueshenda 10’ Softwood Cuttings" Life 13, no. 4: 1032. https://doi.org/10.3390/life13041032
APA StyleSun, J., Li, H., Chen, H., Wang, T., Quan, J., & Bi, H. (2023). The Effect of Hormone Types, Concentrations, and Treatment Times on the Rooting Traits of Morus ‘Yueshenda 10’ Softwood Cuttings. Life, 13(4), 1032. https://doi.org/10.3390/life13041032
