Hyperuricemia Is Associated with Left Ventricular Dysfunction and Inappropriate Left Ventricular Mass in Chronic Kidney Disease
Abstract
1. Introduction
2. Subjects and Methods
2.1. Study Patients and Design
2.2. Evaluation of Cardiac Structure and Function
2.3. Assessment of baPWV and ABI
2.4. Collection of Demographic, Medical, and Laboratory Data
2.5. Reproducibility
2.6. Statistical Analysis
3. Results
3.1. Determinants of LAD > 47 mm, Observed/Predicted LVM > 128%, LVEF < 50%, ABI < 0.9, and baPWV > 1822 cm/s in the Study Patients
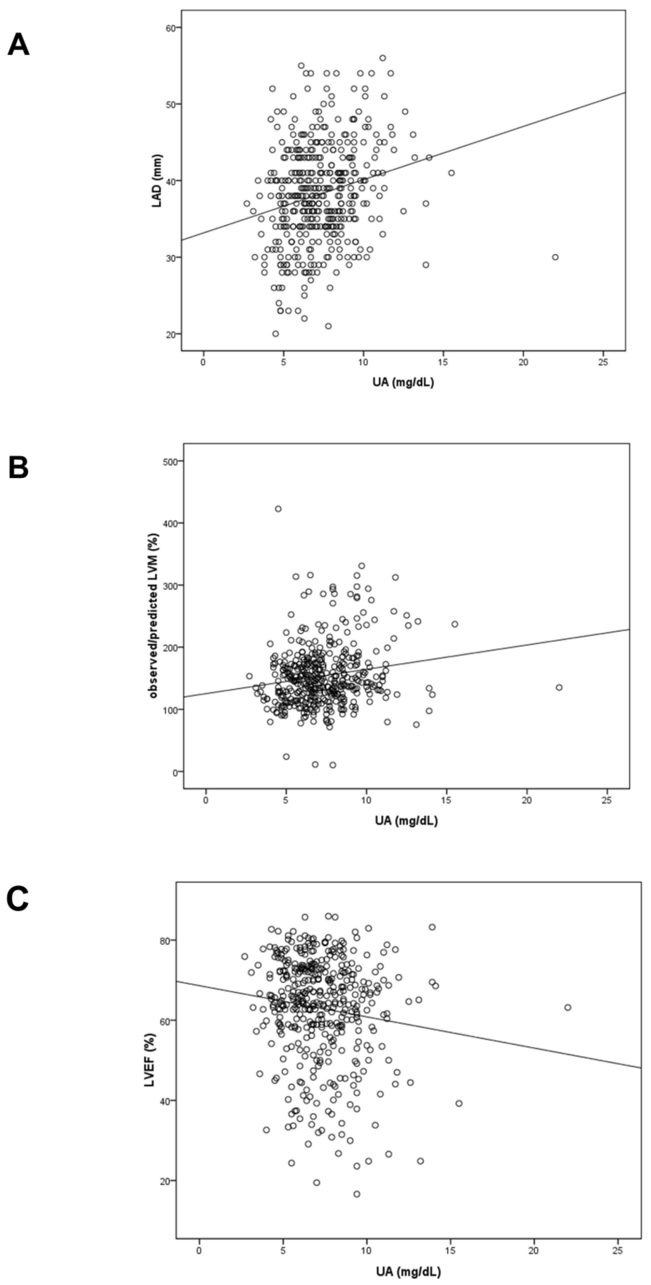
3.2. Correlation between UA and Echocardiographic Parameters
3.3. Determinants of LAD, Observed/Predicted LVM, LVEF, ABI, and baPWV in the Study Patients
4. Discussion
Author Contributions
Funding
Conflicts of Interest
References
- Tuegel, C.; Bansal, N. Heart failure in patients with kidney disease. Heart 2017, 103, 1848–1853. [Google Scholar] [CrossRef] [PubMed]
- Olechnowicz-Tietz, S.; Gluba, A.; Paradowska, A.; Banach, M.; Rysz, J. The risk of atherosclerosis in patients with chronic kidney disease. Int. Urol. Nephrol. 2013, 45, 1605–1612. [Google Scholar] [CrossRef] [PubMed][Green Version]
- Di Lullo, L.; House, A.; Gorini, A.; Santoboni, A.; Russo, D.; Ronco, C. Chronic kidney disease and cardiovascular complications. Heart Fail. Rev. 2015, 20, 259–272. [Google Scholar] [CrossRef] [PubMed]
- Leung, D.Y.; Boyd, A.; Ng, A.A.; Chi, C.; Thomas, L. Echocardiographic evaluation of left atrial size and function: Current understanding, pathophysiologic correlates, and prognostic implications. Am. Heart J. 2008, 156, 1056–1064. [Google Scholar] [CrossRef] [PubMed]
- Kizer, J.R.; Bella, J.N.; Palmieri, V.; Liu, J.E.; Best, L.G.; Lee, E.T.; Roman, M.J.; Devereux, R.B. Left atrial diameter as an independent predictor of first clinical cardiovascular events in middle-aged and elderly adults: The strong heart study (shs). Am. Heart J. 2006, 151, 412–418. [Google Scholar] [CrossRef] [PubMed]
- Mureddu, G.F.; Pasanisi, F.; Palmieri, V.; Celentano, A.; Contaldo, F.; de Simone, G. Appropriate or inappropriate left ventricular mass in the presence or absence of prognostically adverse left ventricular hypertrophy. J. Hypertens. 2001, 19, 1113–1119. [Google Scholar] [CrossRef]
- Edwards, N.L. The role of hyperuricemia and gout in kidney and cardiovascular disease. Cleve. Clin. J. Med. 2008, 75, S13–S16. [Google Scholar] [CrossRef]
- Antonini-Canterin, F.; Di Nora, C.; Pellegrinet, M.; Vriz, O.; La Carrubba, S.; Carerj, S.; Zito, C.; Matescu, A.; Ravasel, A.; Cosei, I.; et al. Effect of uric acid serum levels on carotid arterial stiffness and intima-media thickness: A high resolution echo-tracking study. Monaldi Arch. Chest Dis. 2019, 89. [Google Scholar] [CrossRef]
- Capuano, V.; Marchese, F.; Capuano, R.; Torre, S.; Iannone, A.G.; Capuano, E.; Lamaida, N.; Sonderegger, M.; Capuano, E. Hyperuricemia as an independent risk factor for major cardiovascular events: A 10-year cohort study from southern italy. J. Cardiovasc. Med. (Hagerstown) 2017, 18, 159–164. [Google Scholar] [CrossRef]
- Elsayed, A.S.; Mostafa, M.M.; Abdelkhalik, A.; Eldeeb, M.E.; Abdulgani, M.S. Hyperuricemia and its association with carotid intima-media thickness in hypertensive and non hypertensive patients. J. Saudi Heart Assoc. 2010, 22, 19–23. [Google Scholar] [CrossRef][Green Version]
- Mutluay, R.; Deger, S.M.; Bahadir, E.; Durmaz, A.O.; Citil, R.; Sindel, S. Uric acid is an important predictor for hypertensive early atherosclerosis. Adv. Ther. 2012, 29, 276–286. [Google Scholar] [CrossRef] [PubMed]
- Tavil, Y.; Kaya, M.G.; Oktar, S.O.; Sen, N.; Okyay, K.; Yazici, H.U.; Cengel, A. Uric acid level and its association with carotid intima-media thickness in patients with hypertension. Atherosclerosis 2008, 197, 159–163. [Google Scholar] [CrossRef] [PubMed]
- Kanbay, M.; Yilmaz, M.I.; Sonmez, A.; Solak, Y.; Saglam, M.; Cakir, E.; Unal, H.U.; Arslan, E.; Verim, S.; Madero, M.; et al. Serum uric acid independently predicts cardiovascular events in advanced nephropathy. Am. J. Nephrol. 2012, 36, 324–331. [Google Scholar] [CrossRef]
- Luo, Q.; Xia, X.; Li, B.; Lin, Z.; Yu, X.; Huang, F. Serum uric acid and cardiovascular mortality in chronic kidney disease: A meta-analysis. BMC Nephrol. 2019, 20, 18. [Google Scholar] [CrossRef] [PubMed]
- Miyaoka, T.; Mochizuki, T.; Takei, T.; Tsuchiya, K.; Nitta, K. Serum uric acid levels and long-term outcomes in chronic kidney disease. Heart Vessels 2014, 29, 504–512. [Google Scholar] [CrossRef] [PubMed]
- Tsai, M.H.; Hsu, C.Y.; Lin, M.Y.; Yen, M.F.; Chen, H.H.; Chiu, Y.H.; Hwang, S.J. Incidence, prevalence, and duration of chronic kidney disease in taiwan: Results from a community-based screening program of 106,094 individuals. Nephron 2018, 140, 175–184. [Google Scholar] [CrossRef] [PubMed]
- Initiative, K.D.O.Q. K/doqi clinical practice guidelines for chronic kidney disease: Evaluation, classification, and stratification. Am. J. Kidney Dis. 2002, 39, S14–S266. [Google Scholar]
- Devereux, R.B.; Alonso, D.R.; Lutas, E.M.; Gottlieb, G.J.; Campo, E.; Sachs, I.; Reichek, N. Echocardiographic assessment of left ventricular hypertrophy: Comparison to necropsy findings. Am. J. Cardiol. 1986, 57, 450–458. [Google Scholar] [CrossRef]
- De Simone, G.; Devereux, R.B.; Kimball, T.R.; Mureddu, G.F.; Roman, M.J.; Contaldo, F.; Daniels, S.R. Interaction between body size and cardiac workload: Influence on left ventricular mass during body growth and adulthood. Hypertension 1998, 31, 1077–1082. [Google Scholar] [CrossRef]
- Nardi, E.; Palermo, A.; Mule, G.; Cusimano, P.; Cottone, S.; Cerasola, G. Left ventricular hypertrophy and geometry in hypertensive patients with chronic kidney disease. J. Hypertens. 2009, 27, 633–641. [Google Scholar] [CrossRef]
- Vickery, S.; Stevens, P.E.; Dalton, R.N.; van Lente, F.; Lamb, E.J. Does the ID-MS traceable MDRD equation work and is it suitable for use with compensated Jaffe and enzymatic creatinine assays? Nephrol. Dial. Transplant. 2006, 21, 2439–2445. [Google Scholar] [CrossRef] [PubMed]
- Levey, A.S.; Bosch, J.P.; Lewis, J.B.; Greene, T.; Rogers, N.; Roth, D. A more accurate method to estimate glomerular filtration rate from serum creatinine: A new prediction equation. Modification of diet in renal disease study group. Ann. Intern. Med. 1999, 130, 461–470. [Google Scholar] [CrossRef] [PubMed]
- Tiwari, S.; Schirmer, H.; Jacobsen, B.K.; Hopstock, L.A.; Nyrnes, A.; Heggelund, G.; Njolstad, I.; Mathiesen, E.B.; Lochen, M.L. Association between diastolic dysfunction and future atrial fibrillation in the tromso study from 1994 to 2010. Heart 2015, 101, 1302–1308. [Google Scholar] [CrossRef] [PubMed]
- Barnes, M.E.; Miyasaka, Y.; Seward, J.B.; Gersh, B.J.; Rosales, A.G.; Bailey, K.R.; Petty, G.W.; Wiebers, D.O.; Tsang, T.S. Left atrial volume in the prediction of first ischemic stroke in an elderly cohort without atrial fibrillation. Mayo Clin. Proc. 2004, 79, 1008–1014. [Google Scholar] [CrossRef] [PubMed]
- Takemoto, Y.; Barnes, M.E.; Seward, J.B.; Lester, S.J.; Appleton, C.A.; Gersh, B.J.; Bailey, K.R.; Tsang, T.S. Usefulness of left atrial volume in predicting first congestive heart failure in patients > or = 65 years of age with well-preserved left ventricular systolic function. Am. J. Cardiol. 2005, 96, 832–836. [Google Scholar] [CrossRef] [PubMed]
- Gromadzinski, L.; Januszko-Giergielewicz, B.; Pruszczyk, P. Hyperuricemia is an independent predictive factor for left ventricular diastolic dysfunction in patients with chronic kidney disease. Adv. Clin. Exp. Med. 2015, 24, 47–54. [Google Scholar] [CrossRef] [PubMed]
- Chrysohoou, C.; Pitsavos, C.; Barbetseas, J.; Brili, S.; Kotroyiannis, I.; Papademetriou, L.; Metallinos, G.; Skoumas, J.; Tentolouris, C.; Stefanadis, C. Serum uric acid levels correlate with left atrial function and systolic right ventricular function in patients with newly diagnosed heart failure: The hellenic heart failure study. Congest. Heart Fail. 2008, 14, 229–233. [Google Scholar] [CrossRef]
- Letsas, K.P.; Korantzopoulos, P.; Filippatos, G.S.; Mihas, C.C.; Markou, V.; Gavrielatos, G.; Efremidis, M.; Sideris, A.; Kardaras, F. Uric acid elevation in atrial fibrillation. Hellenic, J. Cardiol. 2010, 51, 209–213. [Google Scholar]
- Cicoira, M.; Zanolla, L.; Rossi, A.; Golia, G.; Franceschini, L.; Brighetti, G.; Zeni, P.; Zardini, P. Elevated serum uric acid levels are associated with diastolic dysfunction in patients with dilated cardiomyopathy. Am. Heart J. 2002, 143, 1107–1111. [Google Scholar] [CrossRef]
- Ruggiero, C.; Cherubini, A.; Ble, A.; Bos, A.J.; Maggio, M.; Dixit, V.D.; Lauretani, F.; Bandinelli, S.; Senin, U.; Ferrucci, L. Uric acid and inflammatory markers. Eur. Heart J. 2006, 27, 1174–1181. [Google Scholar] [CrossRef]
- Chao, T.F.; Hung, C.L.; Chen, S.J.; Wang, K.L.; Chen, T.J.; Lin, Y.J.; Chang, S.L.; Lo, L.W.; Hu, Y.F.; Tuan, T.C.; et al. The association between hyperuricemia, left atrial size and new-onset atrial fibrillation. Int. J. Cardiol. 2013, 168, 4027–4032. [Google Scholar] [CrossRef] [PubMed]
- Thomas, L.; Abhayaratna, W.P. Left atrial reverse remodeling: Mechanisms, evaluation, and clinical significance. JACC Cardiovasc. Imaging 2017, 10, 65–77. [Google Scholar] [CrossRef]
- Cuspidi, C.; Facchetti, R.; Bombelli, M.; Sala, C.; Tadic, M.; Grassi, G.; Mancia, G. Uric acid and new onset left ventricular hypertrophy: Findings from the pamela population. Am. J. Hypertens. 2017, 30, 279–285. [Google Scholar] [CrossRef] [PubMed]
- Grayson, P.C.; Kim, S.Y.; LaValley, M.; Choi, H.K. Hyperuricemia and incident hypertension: A systematic review and meta-analysis. Arthritis Care Res. (Hoboken) 2011, 63, 102–110. [Google Scholar] [CrossRef] [PubMed]
- Chen, C.C.; Hsu, Y.J.; Lee, T.M. Impact of elevated uric acid on ventricular remodeling in infarcted rats with experimental hyperuricemia. Am. J. Physiol. Heart Circ. Physiol. 2011, 301, H1107–H1117. [Google Scholar] [CrossRef] [PubMed]
- De Simone, G.; Verdecchia, P.; Pede, S.; Gorini, M.; Maggioni, A.P. Prognosis of inappropriate left ventricular mass in hypertension: The mavi study. Hypertension 2002, 40, 470–476. [Google Scholar] [CrossRef]
- Chen, S.C.; Chang, J.M.; Liu, W.C.; Chen, Y.Y.; Chen, L.I.; Huang, J.C.; Yang, T.K.; Su, H.M.; Chen, H.C. The ratio of observed to predicted left ventricular mass is independently associated with increased cardiovascular events in patients with chronic kidney disease. Hypertens. Res. 2012, 35, 832–838. [Google Scholar] [CrossRef][Green Version]
- Cioffi, G.; Rossi, A.; Zoppini, G.; Targher, G.; de Simone, G.; Devereux, R.B.; Vassanelli, C.; Bonora, E. Inappropriate left ventricular mass independently predicts cardiovascular mortality in patients with type 2 diabetes. Int. J. Cardiol. 2013, 168, 4953–4956. [Google Scholar] [CrossRef]
- Cioffi, G.; Faggiano, P.; Lucci, D.; Di Lenarda, A.; Mureddu, G.F.; Tarantini, L.; Verdecchia, P.; Comaschi, M.; Giorda, C.B.; Velussi, M.; et al. Inappropriately high left ventricular mass in patients with type 2 diabetes mellitus and no overt cardiac disease. The dyda study. J. Hypertens. 2011, 29, 1994–2003. [Google Scholar] [CrossRef]
- De Simone, G.; Kitzman, D.W.; Palmieri, V.; Liu, J.E.; Oberman, A.; Hopkins, P.N.; Bella, J.N.; Rao, D.C.; Arnett, D.K.; Devereux, R.B. Association of inappropriate left ventricular mass with systolic and diastolic dysfunction: The hypergen study. Am. J. Hypertens 2004, 17, 828–833. [Google Scholar] [CrossRef]
- Palmieri, V.; de Simone, G.; Roman, M.J.; Schwartz, J.E.; Pickering, T.G.; Devereux, R.B. Ambulatory blood pressure and metabolic abnormalities in hypertensive subjects with inappropriately high left ventricular mass. Hypertension 1999, 34, 1032–1040. [Google Scholar] [CrossRef] [PubMed]
- Cioffi, G.; Tarantini, L.; Frizzi, R.; Stefenelli, C.; Russo, T.E.; Selmi, A.; Toller, C.; Furlanello, F.; de Simone, G. Chronic kidney disease elicits excessive increase in left ventricular mass growth in patients at increased risk for cardiovascular events. J. Hypertens. 2011, 29, 565–573. [Google Scholar] [CrossRef] [PubMed]
- Krishnan, E.; Hariri, A.; Dabbous, O.; Pandya, B.J. Hyperuricemia and the echocardiographic measures of myocardial dysfunction. Congest. Heart Fail. 2012, 18, 138–143. [Google Scholar] [CrossRef] [PubMed]
- Borghi, C.; Cosentino, E.R.; Rinaldi, E.R.; Cicero, A.F. Uricaemia and ejection fraction in elderly heart failure outpatients. Eur. J. Clin. Invest. 2014, 44, 573–578. [Google Scholar] [CrossRef] [PubMed]
- Bergamini, C.; Cicoira, M.; Rossi, A.; Vassanelli, C. Oxidative stress and hyperuricaemia: Pathophysiology, clinical relevance, and therapeutic implications in chronic heart failure. Eur. J. Heart Fail. 2009, 11, 444–452. [Google Scholar] [CrossRef] [PubMed]
- Yoshitomi, R.; Nakayama, M.; Ura, Y.; Kuma, K.; Nishimoto, H.; Fukui, A.; Ikeda, H.; Tsuchihashi, T.; Tsuruya, K.; Kitazono, T. Ankle-brachial blood pressure index predicts cardiovascular events and mortality in japanese patients with chronic kidney disease not on dialysis. Hypertens. Res. 2014, 37, 1050–1055. [Google Scholar] [CrossRef]
- Khosla, U.M.; Zharikov, S.; Finch, J.L.; Nakagawa, T.; Roncal, C.; Mu, W.; Krotova, K.; Block, E.R.; Prabhakar, S.; Johnson, R.J. Hyperuricemia induces endothelial dysfunction. Kidney Int. 2005, 67, 1739–1742. [Google Scholar] [CrossRef]
- Kanellis, J.; Feig, D.I.; Johnson, R.J. Does asymptomatic hyperuricaemia contribute to the development of renal and cardiovascular disease? An old controversy renewed. Nephrology (Carlton) 2004, 9, 394–399. [Google Scholar] [CrossRef]
- Shankar, A.; Klein, B.E.; Nieto, F.J.; Klein, R. Association between serum uric acid level and peripheral arterial disease. Atherosclerosis 2008, 196, 749–755. [Google Scholar] [CrossRef]
- Song, M.; Li, N.; Yao, Y.; Wang, K.; Yang, J.; Cui, Q.; Geng, B.; Chen, J.; Wang, Y.; Cheng, W.; et al. Longitudinal association between serum uric acid levels and multiterritorial atherosclerosis. J. Cell. Mol. Med. 2019, 23, 4970–4979. [Google Scholar] [CrossRef]
- Potier, L.; Abi Khalil, C.; Mohammedi, K.; Roussel, R. Use and utility of ankle brachial index in patients with diabetes. Eur. J. Vasc. Endovasc. Surg. 2011, 41, 110–116. [Google Scholar] [CrossRef] [PubMed]
- Zhan, Y.; Dong, Y.; Tang, Z.; Zhang, F.; Hu, D.; Yu, J. Serum uric acid, gender, and low ankle brachial index in adults with high cardiovascular risk. Angiology 2015, 66, 687–691. [Google Scholar] [CrossRef] [PubMed]
- Vlachopoulos, C.; Xaplanteris, P.; Vyssoulis, G.; Bratsas, A.; Baou, K.; Tzamou, V.; Aznaouridis, K.; Dima, I.; Lazaros, G.; Stefanadis, C. Association of serum uric acid level with aortic stiffness and arterial wave reflections in newly diagnosed, never-treated hypertension. Am. J. Hypertens 2011, 24, 33–39. [Google Scholar] [CrossRef] [PubMed]
- Zhang, J.; Xiang, G.; Xiang, L.; Sun, H. Serum uric acid is associated with arterial stiffness in men with newly diagnosed type 2 diabetes mellitus. J. Endocrinol. Invest. 2014, 37, 441–447. [Google Scholar] [CrossRef]
- Kang, D.H.; Park, S.K.; Lee, I.K.; Johnson, R.J. Uric acid-induced c-reactive protein expression: Implication on cell proliferation and nitric oxide production of human vascular cells. J. Am. Soc. Nephrol 2005, 16, 3553–3562. [Google Scholar] [CrossRef]
- Gicquel, T.; Robert, S.; Loyer, P.; Victoni, T.; Bodin, A.; Ribault, C.; Gleonnec, F.; Couillin, I.; Boichot, E.; Lagente, V. Il-1beta production is dependent on the activation of purinergic receptors and nlrp3 pathway in human macrophages. FASEB J. 2015, 29, 4162–4173. [Google Scholar] [CrossRef]
- Cicero, A.F.; Salvi, P.; D’Addato, S.; Rosticci, M.; Borghi, C.; Brisighella Heart Study group. Association between serum uric acid, hypertension, vascular stiffness and subclinical atherosclerosis: Data from the brisighella heart study. J. Hypertens. 2014, 32, 57–64. [Google Scholar] [CrossRef]
- Wang, M.C.; Tsai, W.C.; Chen, J.Y.; Huang, J.J. Stepwise increase in arterial stiffness corresponding with the stages of chronic kidney disease. Am. J. Kidney Dis. 2005, 45, 494–501. [Google Scholar] [CrossRef]
- Kim, I.Y.; Kim, J.H.; Kim, M.J.; Lee, D.W.; Hwang, C.G.; Han, M.; Rhee, H.; Song, S.H.; Seong, E.Y.; Lee, S.B. Plasma neutrophil gelatinase-associated lipocalin is independently associated with left ventricular hypertrophy and diastolic dysfunction in patients with chronic kidney disease. PLoS ONE 2018, 13, e0205848. [Google Scholar] [CrossRef]
- Moe, S.; Drueke, T.; Cunningham, J.; Goodman, W.; Martin, K.; Olgaard, K.; Ott, S.; Sprague, S.; Lameire, N.; Eknoyan, G.; et al. Definition, evaluation, and classification of renal osteodystrophy: A position statement from kidney disease: Improving global outcomes (kdigo). Kidney Int. 2006, 69, 1945–1953. [Google Scholar] [CrossRef]
- Dyadyk, O.I.; Bagriy, A.E.; Yarovaya, N.F. Disorders of left ventricular structure and function in chronic uremia: How often, why and what to do with it? Eur. J. Heart Fail. 1999, 1, 327–336. [Google Scholar] [CrossRef]
- Cianciolo, G.; Galassi, A.; Capelli, I.; Schillaci, R.; La Manna, G.; Cozzolino, M. Klotho-FGF23, cardiovascular disease, and vascular calcification: Black or white? Curr. Vasc. Pharmacol. 2018, 16, 143–156. [Google Scholar] [CrossRef] [PubMed]
- Cozzolino, M.; Ciceri, P.; Galassi, A.; Mangano, M.; Carugo, S.; Capelli, I.; Cianciolo, G. The key role of phosphate on vascular calcification. Toxins 2019, 11, 213. [Google Scholar] [CrossRef] [PubMed]
- Afsar, B.; Sag, A.A.; Oztosun, C.; Kuwabara, M.; Cozzolino, M.; Covic, A.; Kanbay, M. The role of uric acid in mineral bone disorders in chronic kidney disease. J. Nephrol. 2019, 32, 709–717. [Google Scholar] [CrossRef]


| Characteristics | Lower Uric Acid (n = 217) | Higher Uric Acid (n = 201) | p |
|---|---|---|---|
| Age (year) | 65.6 ± 11.5 | 66.1 ± 13.9 | 0.665 |
| Male gender (%) | 53.9 | 56.2 | 0.636 |
| Diabetes mellitus (%) | 30.9 | 38.3 | 0.110 |
| Coronary artery disease (%) | 20.2 | 19.5 | 0.861 |
| Gout (%) | 8.8 | 18.9 | 0.003 |
| Congestive heart failure (%) | 4.3 | 9.0 | 0.046 |
| Systolic blood pressure (mmHg) | 141.2 ± 22.2 | 139.1 ± 20.8 | 0.300 |
| Diastolic blood pressure (mmHg) | 78.2 ± 12.2 | 77.4 ± 12.5 | 0.537 |
| Mean artery pressure (mmHg) | 99.2 ± 14.5 | 98.0 ± 14.2 | 0.385 |
| ABI | 1.10 ± 0.15 | 1.10 ± 0.15 | 0.989 |
| baPWV (cm/s) | 1903.2 ± 507.9 | 1869.7 ± 453.2 | 0.478 |
| Laboratory parameters | |||
| Uric acid (mg/dL) | 5.7 ± 1.0 | 9.0 ± 1.8 | < 0.001 |
| Fasting glucose (mg/dL) | 114.1 ± 42.0 | 117.9 ± 48.3 | 0.429 |
| Triglyceride (mg/dL) | 113 (82–169) | 128.5 (93.25–199.75) | 0.001 |
| Total cholesterol (mg/dL) | 193.5 ± 42.1 | 188.1 ± 41.6 | 0.203 |
| Hematocrit (%) | 39.0 ± 6.8 | 38.7 ± 7.2 | 0.707 |
| eGFR (mL/min/1.73 m2) | 45.7 ± 14.1 | 38.8 ± 15.7 | < 0.001 |
| Medications | |||
| ACEI and/or ARB use (%) | 56.2 | 70.1 | 0.003 |
| β-blocker use (%) | 39.3 | 49.8 | 0.033 |
| Calcium channel blocker use (%) | 43.3 | 47.8 | 0.362 |
| Diuretic use (%) | 23.0 | 43.5 | < 0.001 |
| Hypouricemic agent use (%) | 7.4 | 11.4 | 0.157 |
| Echocardiographic data | |||
| LAD (mm) | 37.0 ± 6.5 | 39.6 ± 6.4 | < 0.001 |
| Observed/predicted LVM (%) | 146.7 ± 46.1 | 161.6 ± 54.2 | < 0.001 |
| LVEF | 64.1 ± 12.4 | 61.6 ± 14.0 | 0.055 |
| Variables | Multivariable (Forward) | |
|---|---|---|
| OR (95% CI) | p | |
| LAD > 47 mm | ||
| Uric acid (per 1 mg/dL) | 1.329 (1.111–1.590) | 0.002 |
| Observed/predicted LVM > 128% | ||
| Diabetes mellitus | 1.934 (1.113–3.361) | 0.019 |
| Mean artery pressure (per 1 mmHg) | 0.976 (0.958–0.994) | 0.009 |
| Uric acid (per 1 mg/dL) | 1.198 (1.048–1.369) | 0.008 |
| Diuretic use | 1.985 (1.099–3.586) | 0.023 |
| LVEF < 50% | ||
| Coronary artery disease | 2.564 (1.232–5.338) | 0.012 |
| Congestive heart failure | 6.149 (2.069–18.275) | 0.001 |
| Uric acid (per 1 mg/dL) | 1.316 (1.111–1.559) | 0.002 |
| Fasting glucose (per 1 mg/dL) | 1.007 (1.001–1.014) | 0.032 |
| Calcium channel blocker use | 0.203 (0.092–0.450) | < 0.001 |
| Diuretic use | 2.167 (1.045–4.494) | 0.038 |
| ABI < 0.9 | ||
| Age (per 1 year) | 1.160 (1.094–1.231) | 0.032 |
| Fasting glucose (per 1 mg/dL) | 1.011 (1.004–1.019) | 0.003 |
| ACEI and/or ARB use | 4.013 (1.123–14.339) | 0.032 |
| baPWV > 1822 cm/s | ||
| Age (per 1 year) | 1.134 (1.097–1.172) | < 0.001 |
| Diabetes mellitus | 3.152 (1.587–6.260) | 0.001 |
| Congestive heart failure | 0.200 (0.058–0.683) | 0.010 |
| Mean artery pressure (per 1 mmHg) | 1.132 (1.097–1.168) | < 0.001 |
| Fasting glucose (per 1 mg/dL) | 1.013 (1.006–1.020) | < 0.001 |
| Variables | Multivariable (Stepwise) | |
|---|---|---|
| Unstandardized Coefficient β (95% CI) | p | |
| LAD (per 1 mm) | ||
| Congestive heart failure | 4.118 (1.466, 6.771) | 0.002 |
| Uric acid (per 1 mg/dL) | 0.767 (0.421, 1.113) | < 0.001 |
| eGFR (per 1 mL/min/1.73 m2) | −0.064 (−0.112, −0.015) | 0.010 |
| Observed/predicted LVM (per 1%) | ||
| Age (per 1 year) | −0.435 (−0.800, −0.069) | 0.020 |
| Congestive heart failure | 63.807 (44.646, 82.969) | < 0.001 |
| Mean artery pressure (per 1 mmHg) | −0.539 (−0.881, −0.197) | 0.002 |
| Uric acid (per 1 mg/dL) | 4.791 (2.471, 7.111) | < 0.001 |
| Diuretic use | 11.522 (1.363, 21.680) | 0.026 |
| LVEF (per 1%) | ||
| Coronary artery disease | −4.297 (−7.563, −1.030) | 0.010 |
| Congestive heart failure | −12.204 (−17.455, −6.953) | < 0.001 |
| Uric acid (per 1 mg/dL) | −1.126 (−1.763,−0.489) | 0.001 |
| Fasting glucose (per 1 mg/dL) | −0.043 (−0.072, −0.015) | 0.003 |
| Calcium channel blocker use | 5.326 (2.722, 7.929) | < 0.001 |
| ABI (per 0.1) | ||
| Age (per 1 year) | −0.030 (−0.042, −0.019) | < 0.001 |
| Coronary artery disease | −0.389 (−0.745, −0.033) | 0.032 |
| Congestive heart failure | −1.169 (−1.745, −0.593) | < 0.001 |
| baPWV (per 10 cm/s) | ||
| Age (per 1 year) | 0.184 (0.155, 0.214) | < 0.001 |
| Diabetes mellitus | 1.368 (0.478, 2.259) | 0.003 |
| Congestive heart failure | −2.750 (−4.292, −1.208) | 0.001 |
| Mean artery pressure (per 1 mmHg) | 0.173 (0.145, 0.201) | < 0.001 |
| Fasting glucose (per 1 mg/dL) | 0.010 (0.001, 0.020) | 0.025 |
© 2020 by the authors. Licensee MDPI, Basel, Switzerland. This article is an open access article distributed under the terms and conditions of the Creative Commons Attribution (CC BY) license (http://creativecommons.org/licenses/by/4.0/).
Share and Cite
Chiu, T.-H.; Wu, P.-Y.; Huang, J.-C.; Su, H.-M.; Chen, S.-C.; Chang, J.-M.; Chen, H.-C. Hyperuricemia Is Associated with Left Ventricular Dysfunction and Inappropriate Left Ventricular Mass in Chronic Kidney Disease. Diagnostics 2020, 10, 514. https://doi.org/10.3390/diagnostics10080514
Chiu T-H, Wu P-Y, Huang J-C, Su H-M, Chen S-C, Chang J-M, Chen H-C. Hyperuricemia Is Associated with Left Ventricular Dysfunction and Inappropriate Left Ventricular Mass in Chronic Kidney Disease. Diagnostics. 2020; 10(8):514. https://doi.org/10.3390/diagnostics10080514
Chicago/Turabian StyleChiu, Tai-Hua, Pei-Yu Wu, Jiun-Chi Huang, Ho-Ming Su, Szu-Chia Chen, Jer-Ming Chang, and Hung-Chun Chen. 2020. "Hyperuricemia Is Associated with Left Ventricular Dysfunction and Inappropriate Left Ventricular Mass in Chronic Kidney Disease" Diagnostics 10, no. 8: 514. https://doi.org/10.3390/diagnostics10080514
APA StyleChiu, T.-H., Wu, P.-Y., Huang, J.-C., Su, H.-M., Chen, S.-C., Chang, J.-M., & Chen, H.-C. (2020). Hyperuricemia Is Associated with Left Ventricular Dysfunction and Inappropriate Left Ventricular Mass in Chronic Kidney Disease. Diagnostics, 10(8), 514. https://doi.org/10.3390/diagnostics10080514

