Older Age and High α-Fetoprotein Predict Higher Risk of Hepatocellular Carcinoma in Chronic Hepatitis-B-Related Cirrhotic Patients Receiving Long-Term Nucleos(t)ide Analogue Therapy
Abstract
:1. Introduction
2. Materials and Methods
2.1. Study Population
2.2. Follow-Up for HCC Surveillance
2.3. Statistical Analysis
3. Results
3.1. Patient Characteristics
3.2. Cumulative Incidence of HCC
3.3. Risk Factors Associated with HCC Development
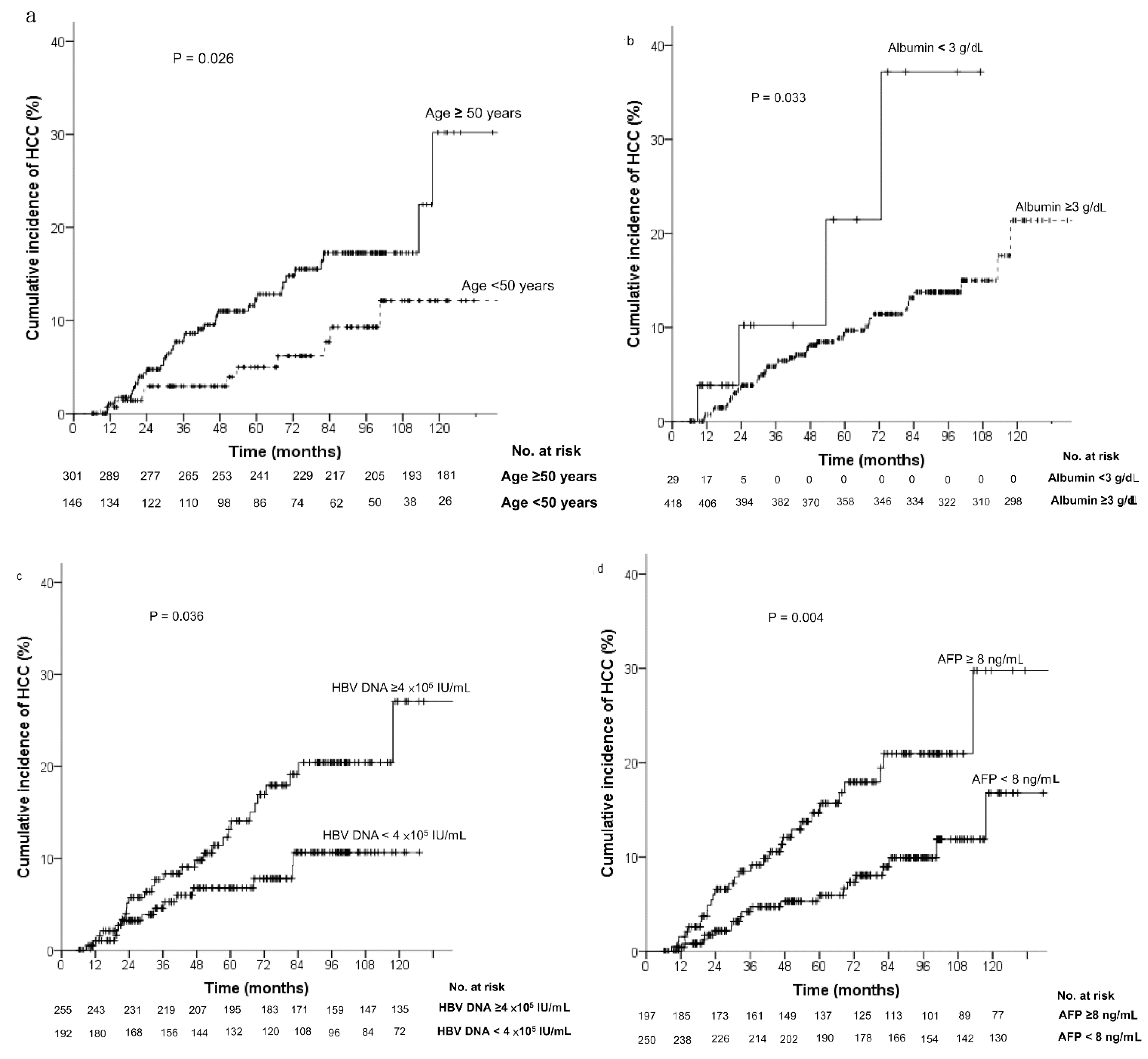
3.4. Incidence of HCC According to Risk Factors
4. Discussion
5. Conclusions
Author Contributions
Funding
Institutional Review Board Statement
Informed Consent Statement
Data Availability Statement
Conflicts of Interest
References
- Villanueva, A. Hepatocellular Carcinoma. N. Engl. J. Med. 2019, 380, 1450–1462. [Google Scholar] [CrossRef] [PubMed]
- Global Cancer Observatory: Cancer Today. Lyon, France: International Agency for Research on Cancer. 2020. Available online: https://gco.iarc.fr/today/factsheets-cancers.pdf (accessed on 29 June 2021).
- Tang, L.S.Y.; Covert, E.; Wilson, E.; Kottilil, S. Chronic Hepatitis B Infection: A Review. JAMA 2018, 319, 1802–1813. [Google Scholar] [CrossRef] [PubMed]
- Ghouri, Y.A.; Mian, I.; Rowe, J.H. Review of hepatocellular carcinoma: Epidemiology, etiology, and carcinogenesis. J. Carcinog. 2017, 16, 1. [Google Scholar] [PubMed]
- European Association for the Study of the Liver. Electronic address eee, European Association for the Study of the L. EASL Clinical Practice Guidelines: Management of hepatocellular carcinoma. J. Hepatol. 2018, 69, 182–236. [CrossRef]
- Dienstag, J.L.; Goldin, R.D.; Heathcote, E.J.; Hann, H.W.; Woessner, M.; Stephenson, S.L.; Gardner, S.; Gray, D.F.; Schiff, E.R. Histological outcome during long-term lamivudine therapy. Gastroenterology 2003, 124, 105–117. [Google Scholar] [CrossRef]
- Hadziyannis, S.J.; Tassopoulos, N.C.; Heathcote, E.J.; Chang, T.T.; Kitis, G.; Rizzetto, M.; Marcellin, P.; Lim, S.G.; Goodman, Z.; Ma, J.; et al. Long-term therapy with adefovir dipivoxil for HBeAg-negative chronic hepatitis B for up to 5 years. Gastroenterology 2006, 131, 1743–1751. [Google Scholar] [CrossRef]
- Marcellin, P.; Gane, E.; Buti, M.; Afdhal, N.; Sievert, W.; Jacobson, I.M.; Washington, M.K.; Germanidis, G.; Flaherty, J.F.; Schall, R.A.; et al. Regression of cirrhosis during treatment with tenofovir disoproxil fumarate for chronic hepatitis B: A 5-year open-label follow-up study. Lancet 2013, 381, 468–475. [Google Scholar] [CrossRef]
- Chang, T.T.; Liaw, Y.F.; Wu, S.S.; Schiff, E.; Han, K.H.; Lai, C.L.; Safadi, R.; Lee, S.S.; Halota, W.; Goodman, Z.; et al. Long-term entecavir therapy results in the reversal of fibrosis/cirrhosis and continued histological improvement in patients with chronic hepatitis B. Hepatology 2010, 52, 886–893. [Google Scholar] [CrossRef]
- Liaw, Y.F.; Sung, J.J.; Chow, W.C.; Farrell, G.; Lee, C.Z.; Yuen, H.; Tanwandee, T.; Tao, Q.-M.; Shue, K.; Pharm, S.; et al. Lamivudine for patients with chronic hepatitis B and advanced liver disease. N. Engl. J. Med. 2004, 351, 1521–1531. [Google Scholar] [CrossRef]
- Di Marco, V.; Marzano, A.; Lampertico, P.; Andreone, P.; Santantonio, T.; Almasio, P.L.; Rizzetto, M.; Craxì, A. Clinical outcome of HBeAg-negative chronic hepatitis B in relation to virological response to lamivudine. Hepatology 2004, 40, 883–891. [Google Scholar] [CrossRef]
- Wong, G.L.; Chan, H.L.; Mak, C.W.; Lee, S.K.; Ip, Z.M.; Lam, A.T.; Iu, H.W.; Leung, J.M.; Lai, J.W.; Lo, A.O.; et al. Entecavir treatment reduces hepatic events and deaths in chronic hepatitis B patients with liver cirrhosis. Hepatology 2013, 58, 1537–1547. [Google Scholar] [CrossRef]
- Hosaka, T.; Suzuki, F.; Kobayashi, M.; Seko, Y.; Kawamura, Y.; Sezaki, H.; Akuta, N.; Suzuki, Y.; Saitoh, S.; Arase, Y.; et al. Long-term entecavir treatment reduces hepatocellular carcinoma incidence in patients with hepatitis B virus infection. Hepatology 2013, 58, 98–107. [Google Scholar] [CrossRef] [PubMed]
- Lin, D.Y.; Sheen, I.S.; Chiu, C.T.; Lin, S.M.; Kuo, Y.C.; Liaw, Y.F. Ultrasonographic changes of early liver cirrhosis in chronic hepatitis B: A longitudinal study. J. Clin. Ultrasound. 1993, 21, 303–308. [Google Scholar] [CrossRef] [PubMed]
- Pirmoazen, A.M.; Khurana, A.; El Kaffas, A.; Kamaya, A. Quantitative ultrasound approaches for diagnosis and monitoring hepatic steatosis in nonalcoholic fatty liver disease. Theranostics 2020, 10, 4277–4289. [Google Scholar] [CrossRef] [PubMed]
- Ferraioli, G.; Soares Monteiro, L.B. Ultrasound-based techniques for the diagnosis of liver steatosis. World J. Gastroenterol. 2019, 25, 6053–6062. [Google Scholar] [CrossRef]
- Marrero, J.A.; Kulik, L.M.; Sirlin, C.B.; Zhu, A.X.; Finn, R.S.; Abecassis, M.M.; Roberts, L.R.; Heimbach, J.K. Diagnosis, Staging, and Management of Hepatocellular Carcinoma: 2018 Practice Guidance by the American Association for the Study of Liver Diseases. Hepatology 2018, 68, 723–750. [Google Scholar] [CrossRef]
- Zhang, J.; Chen, G.; Zhang, P.; Zhang, J.; Li, X.; Gan, D.; Cao, X.; Han, M.; Du, H.; Ye, Y. The threshold of alpha-fetoprotein (AFP) for the diagnosis of hepatocellular carcinoma: A systematic review and meta-analysis. PLoS ONE 2020, 15, e0228857. [Google Scholar] [CrossRef]
- Arends, P.; Sonneveld, M.J.; Zoutendijk, R.; Carey, I.; Brown, A.; Fasano, M.; Mutimer, D.; Deterding, K.; Reijnders, J.G.; Oo, Y.; et al. Entecavir treatment does not eliminate the risk of hepatocellular carcinoma in chronic hepatitis B: Limited role for risk scores in Caucasians. Gut 2015, 64, 1289–1295. [Google Scholar] [CrossRef]
- Cho, J.-Y.; Paik, Y.-H.; Sohn, W.; Cho, H.C.; Gwak, G.-Y.; Choi, M.S.; Lee, J.H.; Koh, K.C.; Paik, S.W.; Yoo, B.C. Patients with chronic hepatitis B treated with oral antiviral therapy retain a higher risk for HCC compared with patients with inactive stage disease. Gut 2014, 63, 1943–1950. [Google Scholar] [CrossRef]
- Papatheodoridis, G.V.; Dalekos, G.N.; Yurdaydin, C.; Buti, M.; Goulis, J.; Arends, P.; Sypsa, V.; Manolakopoulos, S.; Mangia, G.; Gatselis, N.; et al. Incidence and predictors of hepatocellular carcinoma in Caucasian chronic hepatitis B patients receiving entecavir or tenofovir. J. Hepatol. 2015, 62, 363–370. [Google Scholar] [CrossRef]
- Su, T.H.; Hu, T.H.; Chen, C.Y.; Huang, Y.H.; Chuang, W.L.; Lin, C.C.; Wang, C.C.; Su, W.W.; Chen, M.Y.; Peng, C.Y.; et al. Four-year entecavir therapy reduces hepatocellular carcinoma, cirrhotic events and mortality in chronic hepatitis B patients. Liver Int. 2016, 36, 1755–1764. [Google Scholar] [CrossRef] [PubMed]
- Tsai, M.-C.; Chen, C.-H.; Hu, T.-H.; Lu, S.-N.; Lee, C.-M.; Wang, J.-H.; Hung, C.-H. Long-term outcomes of hepatitis B virus-related cirrhosis treated with nucleos(t)ide analogs. J. Formos Med. Assoc. 2017, 116, 512–521. [Google Scholar] [CrossRef] [PubMed]
- Papatheodoridis, G.V.; Manolakopoulos, S.; Touloumi, G.; Vourli, G.; Raptopoulou-Gigi, M.; Vafiadis-Zoumbouli, I.; Vasiliadis, T.; Mimidis, K.; Gogos, C.; Ketikoglou, I.; et al. Virological suppression does not prevent the development of hepatocellular carcinoma in HBeAg-negative chronic hepatitis B patients with cirrhosis receiving oral antiviral(s) starting with lamivudine monotherapy: Results of the nationwide HEPNET. Greece cohort study. Gut 2011, 60, 1109–1116. [Google Scholar] [PubMed]
- Ikeda, K.; Saitoh, S.; Koida, I.; Arase, Y.; Tsubota, A.; Chayama, K.; Kumada, H.; Kawanishi, M. A multivariate analysis of risk factors for hepatocellular carcinogenesis: A prospective observation of 795 patients with viral and alcoholic cirrhosis. Hepatology 1993, 18, 47–53. [Google Scholar] [CrossRef]
- Tsukuma, H.; Hiyama, T.; Tanaka, S.; Nakao, M.; Yabuuchi, T.; Kitamura, T.; Nakanishi, K.; Fujimoto, I.; Inoue, A.; Yamazaki, H.; et al. Risk factors for hepatocellular carcinoma among patients with chronic liver disease. N. Engl. J. Med. 1993, 328, 1797–1801. [Google Scholar] [CrossRef]
- Taketa, K. Alpha-fetoprotein: Reevaluation in hepatology. Hepatology 1990, 12, 1420–1432. [Google Scholar] [CrossRef]
- Lee, C.W.; Tsai, H.I.; Lee, W.C.; Huang, S.W.; Lin, C.Y.; Hsieh, Y.C.; Kuo, T.; Chen, C.W.; Yu, M.C. Normal Alpha-Fetoprotein Hepatocellular Carcinoma: Are They Really Normal? J. Clin. Med. 2019, 8, 1736. [Google Scholar] [CrossRef]
- Park, S.J.; Jang, J.Y.; Jeong, S.W.; Cho, Y.K.; Lee, S.H.; Kim, S.G.; Cha, S.W.; Kim, Y.S.; Cho, Y.D.; Kim, H.S.; et al. Usefulness of AFP, AFP-L3, and PIVKA-II, and their combinations in diagnosing hepatocellular carcinoma. Medicine 2017, 96, e5811. [Google Scholar] [CrossRef]
- Daniele, B.; Bencivenga, A.; Megna, A.S.; Tinessa, V. Alpha-fetoprotein and ultrasonography screening for hepatocellular carcinoma. Gastroenterology 2004, 12, S108–S112. [Google Scholar] [CrossRef]
- Gupta, S.; Bent, S.; Kohlwes, J. Test characteristics of alpha-fetoprotein for detecting hepatocellular carcinoma in patients with hepatitis C. A systematic review and critical analysis. Ann. Intern. Med. 2003, 139, 46–50. [Google Scholar] [CrossRef] [Green Version]
- Sherman, M.; Peltekian, K.M.; Lee, C. Screening for hepatocellular carcinoma in chronic carriers of hepatitis B virus: Incidence and prevalence of hepatocellular carcinoma in a North American urban population. Hepatology 1995, 22, 432–438. [Google Scholar] [PubMed]
- Singal, A.K.; Salameh, H.; Kuo, Y.F.; Fontana, R.J. Meta-analysis: The impact of oral anti-viral agents on the incidence of hepatocellular carcinoma in chronic hepatitis B. Aliment. Pharmacol. Ther. 2013, 38, 98–106. [Google Scholar] [CrossRef] [PubMed]
- Nathani, P.; Gopal, P.; Rich, N.; Yopp, A.; Yokoo, T.; John, B.; Marrero, J.; Parikh, N.; Singal, A.G. Hepatocellular carcinoma tumour volume doubling time: A systematic review and meta-analysis. Gut 2021, 70, 401–407. [Google Scholar] [CrossRef]
- Rich, N.E.; John, B.V.; Parikh, N.D.; Rowe, I.; Mehta, N.; Khatri, G.; Thomas, S.M.; Anis, M.; Mendiratta-Lala, M.; Hernandez, C.; et al. Hepatocellular Carcinoma Demonstrates Heterogeneous Growth Patterns in a Multicenter Cohort of Patients With Cirrhosis. Hepatology 2020, 72, 1654–1665. [Google Scholar] [CrossRef] [PubMed]
- Papatheodoridis, G.V.; Dalekos, G.N.; Idilman, R.; Sypsa, V.; Van Boemmel, F.; Buti, M.; Calleja, J.L.; Goulis, J.; Manolakopoulos, S.; Loglio, A.; et al. Similar risk of hepatocellular carcinoma during long-term entecavir or tenofovir therapy in Caucasian patients with chronic hepatitis B. J. Hepatol. 2020, 73, 1037–1045. [Google Scholar] [CrossRef]
- Kim, J.H.; Sinn, D.H.; Kang, W.; Gwak, G.Y.; Paik, Y.H.; Choi, M.S.; Lee, J.H.; Koh, K.C.; Paik, S.W. Low-level viremia and the increased risk of hepatocellular carcinoma in patients receiving entecavir treatment. Hepatology 2017, 66, 335–343. [Google Scholar] [CrossRef]
- Li, Z.-Q.; Hu, C.-L.; Yu, P.; Gu, X.-Y.; Zhang, J.-J.; Li, H.; Zhang, H.-Y.; Lv, J.; Liu, Y.-M.; Zeng, Q.-L.; et al. The development of hepatocarcinoma after long-term antivirus treatment of Chinese patients with chronic hepatitis B virus infection: Incidence, long-term outcomes and predictive factors. Clin. Res. Hepatol. Gastroenterol. 2017, 41, 311–318. [Google Scholar] [CrossRef]
- Chen, C.H.; Chen, C.Y.; Wang, J.H.; Lai, H.C.; Hung, C.H.; Lu, S.N.; Peng, C.Y. Comparison of incidence of hepatocellular carcinoma between chronic hepatitis B patients with cirrhosis treated with entecavir or tenofovir in Taiwan—A retrospective study. Am. J. Cancer Res. 2020, 10, 3882–3895. [Google Scholar]
- Zhang, Z.; Zhou, Y.; Yang, J.; Hu, K.; Huang, Y. The effectiveness of TDF versus ETV on incidence of HCC in CHB patients: A meta-analysis. BMC Cancer 2019, 19, 511. [Google Scholar] [CrossRef]
- Choi, W.M.; Choi, J.; Lim, Y.S. Effects of Tenofovir vs Entecavir on Risk of Hepatocellular Carcinoma in Patients With Chronic HBV Infection: A Systematic Review and Meta-analysis. Clin. Gastroenterol. Hepatol. 2021, 19, 246–258 e9. [Google Scholar] [CrossRef]
- Huang, Y.; Chen, L.; Huang, R.; Zhu, C.; Shang, J.; Qian, Y.; Lian, J.; Liu, L.; Jiang, J.; Liu, C.; et al. Tenofovir is superior to entecavir in reducing HCC for patients with HBV-related compensated cirrhosis at high HCC risk scores. Ther. Adv. Chronic. Dis. 2022, 13, 20406223221102791. [Google Scholar] [CrossRef] [PubMed]




| Baseline Parameters | HCC (n = 48) | Non-HCC (n = 399) | p-Value |
|---|---|---|---|
| Age (years) 1 | 56.0 (50.3–62.0) | 55.0 (47.0–63.0) | 0.327 |
| Sex (male) 2 | 40 (83) | 299 (75) | 0.327 |
| Body mass index (kg/m2) 1 | 23.0 (20.9–27.3) | 24.9 (22.6–27.8) | 0.076 |
| HBeAg (positive) 2 | 8 (16.7) | 48 (12) | 0.841 |
| Albumin (g/dL) 1 | 3.9 (3.6–4.1) | 3.9 (3.6–4.3) | 0.341 |
| AST (U/L) 1 | 59 (42–86) | 53 (38–91) | 0.494 |
| ALT (U/L) 1 | 59 (36–106) | 54 (37–102) | 0.816 |
| Total bilirubin (mg/dL) 1 | 1.3 (0.9–1.7) | 1.1 (0.8–1.4) | 0.239 |
| AFP (ng/mL) 1 | 10.8 (5.0–18.6) | 6.5 (4.0–15.2) | 0.042 |
| HBV DNA (log10 IU/mL) 1 | 6.0 (4.8–7.2) | 5.5 (4.5–6.7) | 0.039 |
| White blood cells (×103/μL) 1 | 6.2 (4.5–6.6) | 6.2 (4.8–6.7) | 0.731 |
| Hemoglobin level (g/dL) 1 | 13.5 (12–15.2) | 13.6 (11.3–14.9) | 0.991 |
| Platelet count (×103/μL) 1 | 138.5 (94–152.5) | 148 (111–165) | 0.453 |
| Creatinine (mg/dL) 1 | 1.0 (0.7–1.4) | 1.0 (0.8–1.4) | 0.932 |
| Fatty liver 2 | 11 (23) | 66 (17) | 0.269 |
| Splenomegaly 2 | 34 (71) | 309 (77) | 0.306 |
| Child–Pugh class A | 42 (87.5) | 337 (84.5) | 0.58 |
| Ascites history 2 | 6/47 (12.8) | 54 (13.5) | 0.568 |
| Variceal bleeding history 2 | 5/47 (10.6) | 31 (7.8) | 0.495 |
| NUCs (entecavir) 2 | 41 (85) | 318 (80) | 0.347 |
| Univariate Model | Multivariate Model | |||
|---|---|---|---|---|
| Parameters | HR (95% CI) | p-Value | HR (95% CI) | p-Value |
| Age (years) (≥50 vs. <50) | 2.17 (1.08–4.36) | 0.03 | 2.34 (1.08–5.1) | 0.032 |
| Sex (male vs. female) | 1.69 (0.79–3.62) | 0.175 | ||
| Body mass index (kg/m2) | 0.93 (0.86–1.0) | 0.056 | ||
| HBeAg (positive vs. negative) | 1.53 (0.72–3.27) | 0.273 | ||
| HBV DNA (×105 IU/mL) (≥4 vs. <4) | 1.96 (1.03–3.74) | 0.004 | ||
| Albumin (g/dL) (<3 vs. ≥3) | 2.91 (1.04–8.15) | 0.042 | ||
| AST (U/L) | 1.0 (0.99–1.0) | 0.26 | ||
| ALT (U/L) | 1.0 (0.99–1.0) | 0.268 | ||
| Total bilirubin (mg/dL) | 0.99 (0.8–1.22) | 0.9 | ||
| AFP (ng/mL) (≥8 vs. <8) | 2.29 (1.28–4.1) | 0.005 | 2.05 (1.1–3.83) | 0.025 |
| Hemoglobin level (g/dL) | 1.0 (0.81–1.24) | 1.0 | ||
| Platelet count (×103/μL) | 1.0 (0.99–1.0) | 0.22 | ||
| Creatinine (mg/dL) | 0.91 (0.53–1.55) | 0.73 | ||
| Estimated GFR (MDRD) | 1.0 (0.99–1.0) | 0.16 | ||
| Fatty liver (yes vs. no) | 1.8 (0.92–3.53) | 0.089 | ||
| Splenomegaly (yes vs. no) | 0.72 (0.38–1.34) | 0.3 | ||
| Child–Pugh class A | 0.98 (0.42–2.3) | 0.96 | ||
| Ascites (yes vs. no) | 1.14 (0.48–2.41) | 0.762 | ||
| Variceal bleeding (yes vs. no) | 1.52 (0.6–3.84) | 0.38 |
| Hepatocellular Carcinoma | Events (n) | Observation Period | Rate/100 Person-Years | p-Value |
|---|---|---|---|---|
| Risk Factors | (Person-Years) | (95% CI) | ||
| All | 48 | 2352.8 | 2.04 (1.52–2.68) | |
| Age ≥50 years and AFP ≥8 ng/mL | 21 | 669.2 | 3.14 (1.99–4.72) | 0.004 |
| Age ≥50 years and AFP <8 ng/mL | 17 | 841.8 | 2.02 (1.22–3.17) | 0.022 |
| Age <50 years and AFP ≥8 ng/mL | 8 | 287.9 | 2.78 (1.29–5.28) | 0.01 |
| Age <50 years and AFP <8 ng/mL | 2 | 553.9 | 0.36 (0.06–1.19) |
| Hepatocellular Carcinoma | Events (n) | Observation Period | Rate/100 Person-Years | p-Value |
|---|---|---|---|---|
| Risk Factors | (Person-Years) | (95% CI) | ||
| All | 48 | 2352.8 | 2.04 (1.52–2.68) | |
| Age ≥50 years and HBV DNA ≥4 × 105 IU/mL | 25 | 873.6 | 2.86 (1.89–4.16) | 0.024 |
| Age ≥50 years and HBV DNA <4 × 105 IU/mL | 13 | 637.4 | 2.04 (1.13–3.4) | 0.058 |
| Age <50 years and HBV DNA ≥4 × 105 IU/mL | 9 | 486.9 | 1.84 (0.9–3.39) | 0.076 |
| Age <50 years and HBV DNA <4 × 105 IU/mL | 1 | 354.9 | 0.28 (0.01–1.39) |
Publisher’s Note: MDPI stays neutral with regard to jurisdictional claims in published maps and institutional affiliations. |
© 2022 by the authors. Licensee MDPI, Basel, Switzerland. This article is an open access article distributed under the terms and conditions of the Creative Commons Attribution (CC BY) license (https://creativecommons.org/licenses/by/4.0/).
Share and Cite
Liu, Y.-Y.; Lin, C.-L.; Weng, C.-H.; Chang, P.-H.; Chien, C.-H.; Huang, K.-C.; Hua, M.-C.; Hu, C.-C. Older Age and High α-Fetoprotein Predict Higher Risk of Hepatocellular Carcinoma in Chronic Hepatitis-B-Related Cirrhotic Patients Receiving Long-Term Nucleos(t)ide Analogue Therapy. Diagnostics 2022, 12, 2085. https://doi.org/10.3390/diagnostics12092085
Liu Y-Y, Lin C-L, Weng C-H, Chang P-H, Chien C-H, Huang K-C, Hua M-C, Hu C-C. Older Age and High α-Fetoprotein Predict Higher Risk of Hepatocellular Carcinoma in Chronic Hepatitis-B-Related Cirrhotic Patients Receiving Long-Term Nucleos(t)ide Analogue Therapy. Diagnostics. 2022; 12(9):2085. https://doi.org/10.3390/diagnostics12092085
Chicago/Turabian StyleLiu, Yuh-Ying, Chih-Lang Lin, Cheng-Hao Weng, Pei-Hung Chang, Cheng-Hung Chien, Kuang-Chen Huang, Man-Chin Hua, and Ching-Chih Hu. 2022. "Older Age and High α-Fetoprotein Predict Higher Risk of Hepatocellular Carcinoma in Chronic Hepatitis-B-Related Cirrhotic Patients Receiving Long-Term Nucleos(t)ide Analogue Therapy" Diagnostics 12, no. 9: 2085. https://doi.org/10.3390/diagnostics12092085
APA StyleLiu, Y.-Y., Lin, C.-L., Weng, C.-H., Chang, P.-H., Chien, C.-H., Huang, K.-C., Hua, M.-C., & Hu, C.-C. (2022). Older Age and High α-Fetoprotein Predict Higher Risk of Hepatocellular Carcinoma in Chronic Hepatitis-B-Related Cirrhotic Patients Receiving Long-Term Nucleos(t)ide Analogue Therapy. Diagnostics, 12(9), 2085. https://doi.org/10.3390/diagnostics12092085

