Abstract
Previous studies showed that people with Fibromyalgia (FM) suffer from dysautonomia. Dysautonomia consists of persistent autonomic nervous system hyperactivity at rest and hyporeactivity during stressful situations. There is evidence that parameters reflecting the complex interplay between the autonomic nervous system and the cardiovascular system during exercise can provide significant prognostic information. Therefore, this study aimed to investigate the differences between people with FM and healthy controls on heart rate variability (HRV) and salivary parameters (such as flow, protein concentration, enzymatic activities of amylase, catalase and glutathione peroxidase) in two moments: (1) at baseline, and (2) after an exercise fatigue protocol. A total of 37 participants, twenty-one were people with fibromyalgia and sixteen were healthy controls, participated in this cross-sectional study. HRV and salivary samples were collected before and after an exercise fatigue protocol. The fatigue protocol consisted of 20 repetitions of knee extensions and flexions of the dominant leg at 180 °·s−1 (degrees per second). Significant differences were found in the HRV (stress index, LF and HF variables) and salivary biomarkers (with a higher concentration of salivary amylase in people with FM compared to healthy controls). Exercise acute effects on HRV showed that people with FM did not significantly react to exercise. However, significant differences between baseline and post-exercise on HRV significantly induce alteration on the HRV of healthy controls. Catalase significantly increased after exercise in healthy controls whereas salivary flow significantly increased in women with FM after an exercise fatigue protocol. Our study suggests that a higher α-amylase activity and an impaired HRV can be used as possible biomarkers of fibromyalgia, associated with a reduction in salivary flow without changes in HRV and catalase activity after a fatigue exercise protocol. More studies should be carried out in the future to evaluate this hypothesis, in order to find diagnostic biomarkers in fibromyalgia.
1. Introduction
Fibromyalgia (FM) is characterized by chronic, widespread and persistent pain [1]. It is accompanied by several symptoms such as stiffness, sleep disorders, depression, anxiety or mobility and cognitive impairments [1,2]. It affects 2.7% of the world population, with a higher incidence in women (4.2%) than in men (1.4%) with a female/male ratio of 3:1 [1]. Although of the unknown etiology, fibromyalgia onset is sometimes associated with exposure to situations of stress or trauma, which can cause changes in the functioning of the autonomic nervous system, a feature of the disease [3,4,5,6]. Diagnostic biochemical markers for this pathology have not yet been defined [7].
The autonomic nervous system (ANS) is a component of the peripheral nervous system that involuntary regulates the function of different organs and glands (through antagonistic sympathetic and parasympathetic modulation) to maintain homeostasis. Previous studies showed that people with FM suffer from an autonomic nervous system dysfunction (dysautonomia) [8,9,10,11]. The dysautonomia consisted of persistent autonomic nervous system hyperactivity at rest and hyporeactivity during stressful situations [12]. Thus, multisystem features of FM could be explained by dysautonomia [13]. In this regard, the heart rate variability (HRV) provides information regarding the balance between sympathetic and parasympathetic modulation [14]. The HRV is a non-invasive measure of the beat-to-beat variation over an interval of time [15]. A low HRV was related to risk of death from several causes [16]. Regarding people with FM, previous studies have reported abnormal HRV that could be compatible with dysautonomia [8,9,10,11].
The imbalance between the production of reactive oxygen species (ROS) and the antioxidant capacity resulting from stress may be at the origin of the changes observed in the functioning of the ANS and of nociception in people with FM [3,17]. In people with fibromyalgia, alterations in the expression of catalase and glutathione peroxidase, both enzymes capable of converting H2O2 into H2O, have already been detected [18]. Saliva is a biological fluid appropriate to the study of biochemical markers for several pathologies and shows high potential in those with associated nervous system dysfunctions [7], since saliva composition depends on the stimuli acting on the main glands that produce it [19]. Salivary glands form a highly sophisticated end point in the central nervous system control of local immune defenses, capable of responding instantly and with a high level of specificity to potential sources of harm (i.e., food, stress or inflammation) [19]. The sympathetic control of salivary production is via the superior cervical ganglion. Sympathetic stimulation results in the release of noradrenaline, which acts upon α- and β-adrenergic receptors. This results in: (a) decreased production of saliva by acinar cells; (b) increased protein secretion; and (c) decreased blood flow to the glands. There is a variable sympathetic innervation between the salivary glands [20]. The parasympathetic outflow is coordinated via centers in the medulla, and innervation occurs via the facial and glossopharyngeal nerves. Afferent information from the mouth, tongue, nose, and conditioned reflexes are integrated within the brain—and in the presence of food, parasympathetic stimulation occurs [21]. Parasympathetic outflow results in the release of acetylcholine (ACh) onto M3 muscarinic receptors. This results in: (a) acinar cells increase saliva secretion; (b) duct cells increase HCO3 secretion; (c) co-transmitters result in increased blood flow to the salivary glands; (d) contraction of myoepithelium to increase the rate of saliva expulsion [21].
There is evidence that parameters reflecting the complex interplay between the autonomic nervous system and the cardiovascular system during exercise can provide significant prognostic information [14]. Thus, exercise has been used to study the ANS response of people with FM. Schamne, et al. [22] performed a maximal incremental exercise in women with FM measuring the cardiac autonomic response through the HRV. Results showed an abnormal autonomic modulation at rest, during, and after exercise in people with FM. Similarly, Kingsley, et al. [23] showed that people with FM exhibited an altered autonomic modulation pattern after resistance exercise compared to healthy controls. However, the acute effects of exercise on salivary biochemical parameters have been poorly studied in people with FM. Furthermore, physical exercise is a strong activator of the sympathetic nervous system, altering the REDOX status in healthy individuals and patients [3]. The application of a single moment of intense exercise in sedentary individuals with fibromyalgia could lead to a decrease in antioxidant capacity, with reduced activity of enzymes such as catalase, superoxide dismutase or enzymes involved in glutathione metabolism [24]. However, to the best of our knowledge, only one study has been focused on investigating the acute effects of exercise on oxidative stress markers. Santos, et al. [25] showed that a single trial of whole-body vibration exercise improved oxidant and antioxidant parameters, improving their adaptation to the stress response in women with FM.
Thus, there is a need for studies that investigate the acute effect of exercise on autonomic modulation and salivary markers. In this study, we aimed to investigate the differences between people with FM and healthy controls on HRV and salivary parameters (such as flow, protein concentration, enzymatic activities of amylase, catalase and glutathione peroxidase) in two moments: (1) at baseline, and (2) after an exercise fatigue protocol. We hypothesized that people with FM will exhibit more abnormal autonomic modulation and salivary biomarkers than healthy controls. In addition, immediately after exercise, a significantly different pattern in the HRV will be found as well as differences in the salivary biomarkers concentration between people with FM and healthy controls. Results would be relevant since it will constitute a differentiated strategy in order to identify salivary markers with potential use in the diagnosis of fibromyalgia.
2. Materials and Methods
2.1. Participants
Taking into account the sample size calculation performed with the G*Power soft-ware 3.1.9.4 (Kiel University, Kiel, Germany), a minimum of 16 people per group were needed to achieve a 90% of power to detect significant differences with an alpha of 0.001, using the Mann–Whitney U test. For sample size calculation, data was extracted from a previous study from Figueroa, et al. [26], where people with fibromyalgia exhibited an RMSSD of 2.9 (0.8), and healthy controls an RMSSD of 3.5 (0.5). In addition, 25% more of people with fibromyalgia were recruited in order to ensure the minimum sample size required. Therefore, a total of 37 participants were enrolled in the study. Twenty-one were people with fibromyalgia and sixteen were healthy controls. People with fibromyalgia were recruited in the family health unit “LUSITANIA” of Évora (Portugal). Healthy controls were recruited by an advertisement in the University of Évora. The last participant was enrolled on the date of April 2021.
People with fibromyalgia had a mean age (and a standard deviation) of 51.14 (9.99) years old and the healthy control group a mean age of 42.25 (13.15). People with fibromyalgia had a mean height of 158.95 (8.58) cm and a weight of 80.34 (22.82) kg, whereas the healthy control group had a mean height of 163.81 (4.50) cm and a weight of 61.32 (7.16) kg. The body mass index (BMI) for people with fibromyalgia is 31.61 (7.61) and 22.96 (3.49) for healthy controls. Eight participants from the fibromyalgia group were not included in the HRV analysis due to a problem with the HRV register. In the biochemist variables, some outliers were identified for each variable. These outliers were removed from analyses (three from people with fibromyalgia and two from the healthy control group).
All procedures were conducted following the Helsinki Declaration (revised in Brazil, 2013) and approved by the University research ethic committee (GD/44902/2019).
2.2. Procedure
A general warm-up consisted of three minutes of cycling (Monark Exercise AB, Vansbro, Sweden) at 50–60 rpm with no resistance to avoid fatigue. Then, a specific warm-up consisted of three repetitions of knee extensions and flexions of the dominant leg without resistance, and free velocity with a Biodex System 3 (Biodex Corporation, Shirley, NY, USA) was conducted. Lastly, the exercise fatigue protocol consisted of 20 repetitions of knee extensions and flexions of the dominant leg at 180 °·s−1 [27,28]. HRV and saliva samples were collected immediately before the general warm-up and immediately after the exercise fatigue protocol. All measurements were collected between 9:30 and 12:30 am. Participants were encouraged to avoid physical exercise 24 h before the evaluation.
2.3. Instruments, Processing and Outcomes
2.3.1. Heart Rate Variability
A chest band with an Ant+ connection to Golden Cheetah software was used to assess the HRV before and after the exercise fatigue protocol. Data was exported to Kubios software (v. 3.3) [29], which allowed for preprocessing and extracting time-domain, frequency domain and non-linear variables. Artefacts were filtered using a middle filter, which allowed for identifying those RR intervals shorter/longer than 0.25 s, compared to the average of the previous beats. A cubic spline interpolation was used to correct and replace the artefacts.
Time-domain, frequency-domain and non-linear measures were extracted. In the time domain, variables such as maximum heart rate (maximum HR), mean heart rate (mean HR), RR intervals, RR50 count divided by the total number of all RR ranges (Pnn50), the standard deviation of all RR intervals (SDNN) and the square root of differences between adjacent RR intervals (RMSSD). In the frequency domain, the very low frequency (VLF, 0.0033–0.04 Hz), low frequency (LF, 0.04–0.15 Hz), high frequency (HF, 0.15–0.4 Hz) and ratio (LF/HF) were calculated. Regarding non-linear measures, the RR variability from heartbeat to short-term Poincaré graph (width) (SD1), RR variability from heartbeat to long-term Poincaré graph (length) (SD2) and the Sample Entropy (SampEn) were extracted. Moreover, the stress index, the parasympathetic nervous system index (PNS index) and the sympathetic nervous system index (SNS index) were calculated. The stress index is the square root of the Baevsky’s stress. The PNS index was calculated based on the mean RR (ms), the RMSSD (ms) and the SD1 (%). The SNS index was calculated based on the mean HR (bpm), the Baevsky’s stress index and the SD2 (%).
2.3.2. Salivary Biomarkers
Unstimulated whole saliva was collected at rest and after exercise for each participant by direct draining into an ice-cold collection tube (pre-weighted) for 3 min. Subjects refrained from eating and drinking for at least 1 h before collection. After saliva collection, tubes with the samples were weighted (for saliva flux evaluation, mL/min), centrifuged at 1500× g for 10 min to remove food and cell debris, and the supernatant was stored at −20 °C until analysis. Preceding analysis and saliva samples were thawed on ice and centrifuged for 30 min at 4 °C, 13,000× g, for removal of mucinous material [30]. Supernatant total protein concentration was assayed using the Bradford method [31].
Dinitrosalicylic acid assay was used for measuring the starch-hydrolyzing activity of salivary α -amylase, as described at [32], minimized for 96-wells microplates. The reaction mixture consisted of 1% starch solution and saliva sample (diluted to 10 μg protein/mL protein in 20 mM phosphate buffer (pH 7.0). After incubation at 37 °C for 20 min, the reaction was stopped by the addition of the DNS reagent. Samples were heated to 90 °C for 30 min. Further, sodium and potassium tartrate (40%) were added to samples. Absorbance was measured at 530 nm. The absorbance values were then converted to glucose equivalent using a standard curve (3–18 mM). The results were expressed as μmol glucose/min/mg salivary protein.
Catalase activity was determined following the consumption of H2O2 at 240 nm, measuring absorbance every 30 s for 6 min. Reactional mixture consisted in salivary samples diluted in 10 mM potassium phosphate buffer (pH 7.0) and 0.2% H2O2. Enzyme activity was expressed in μmol of H2O2 consumed per minute per mg of salivary protein [33].
Glutathione peroxidase activity was determined following the oxidation of NADPH at 340 nm, using t-butylhydroperoxid as substrate. Absorbance measurements were performed every 30 s for 6 min. Enzyme activity was expressed in μmol of NADPH consumed per minute per mg of salivary protein [34].
2.3.3. Borg Scale
The rating of perceived exertion (RPE) on a 6–20 scale was evaluated [35]. The RPE was asked immediately after the conclusion of the exercise fatigue protocol.
2.4. Statistical Analysis
The IBM SPSS (Statistical Package for Social Sciences, version 25) statistical software was employed to conduct the analyses. Post-exercise data was normalized taking into account the baseline values (subtracting the post exercise value to the baseline value). The Mann–Whitney U revealed significant differences between healthy controls and people with fibromyalgia in age and BMI. Therefore, these variables (age and BMI) were used as covariates when analyzing group differences. Thus, ANCOVA was employed to investigate between group differences. Differences within groups (comparison between pre and post values) were investigated using the Wilcoxon signed-rank test. The effect size, eta partial square and r were calculated for ANCOVA and Wilcoxon signed-rank test, respectively. Effects sizes were classified as follows: >0.5 is a large effect, between 0.5 and 0.3 a medium effect, and <0.3 is considered a small effect [36,37].
3. Results
3.1. Differences between People with Fibromyalgia and Healthy Controls at Baseline
Significant differences between people with fibromyalgia and healthy controls were found in age (p-value = 0.024) and BMI (p-value < 0.001). Therefore, these variables (age and BMI) have been used as covariates when analyzing between group differences.
Table 1 shows the differences between people with fibromyalgia and healthy controls in the HRV. Significant differences were found in the stress index (p-value = 0.014), LF (p-value = 0.047) and HF (p-value = 0.010).
Table 1.
Differences in Heart Rate Variability between people with fibromyalgia and healthy controls at baseline.
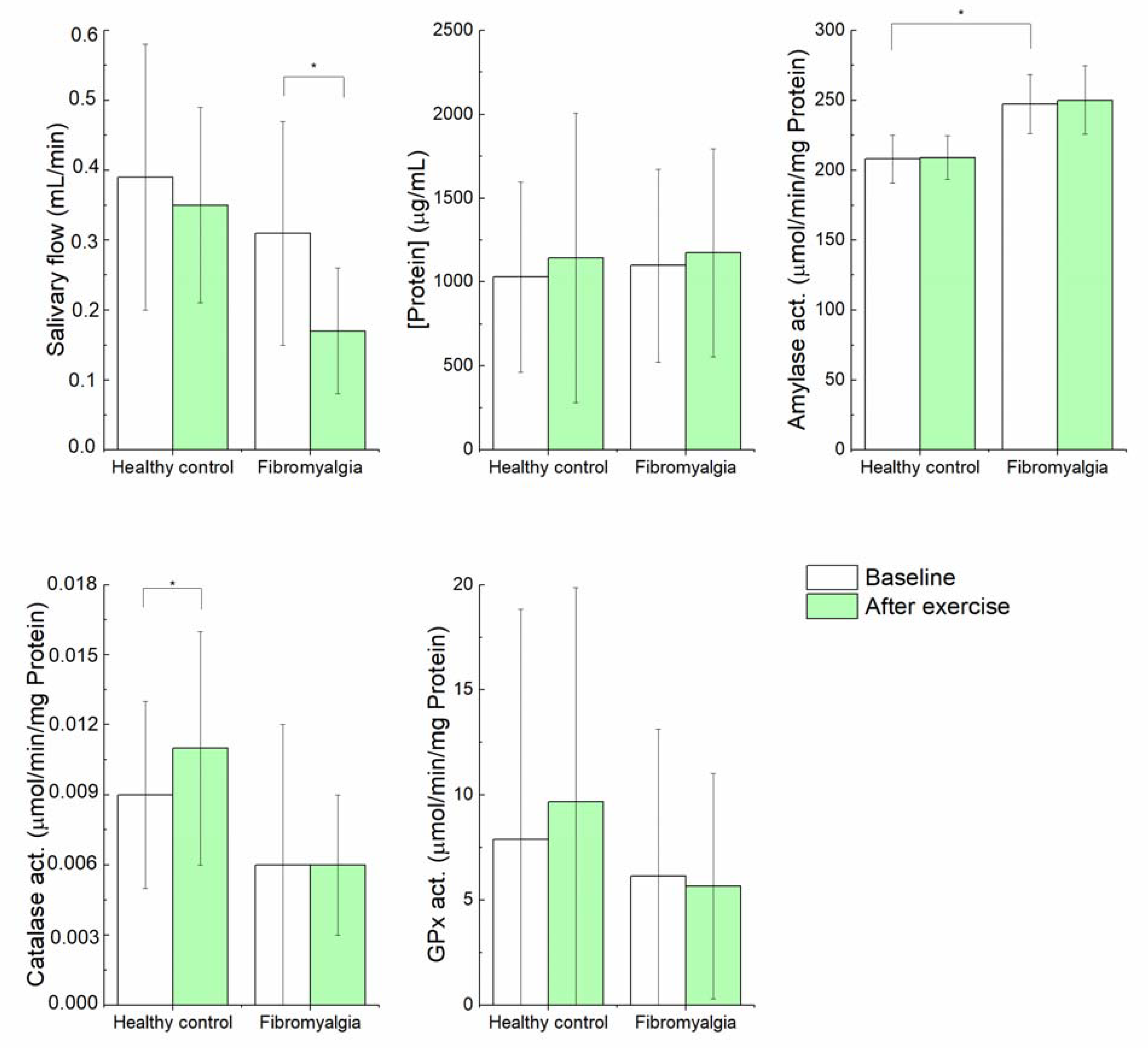
Regarding biochemist variables (Figure 1—white bars and Supplementary Table S1), significantly higher values of amylase (µmol/min/mg) (p-value 0.001) was found in people with FM relative to healthy controls.
Figure 1.
Differences in salivary biomarkers in fibromyalgia and heathy control groups, in baseline (white bars) and after physical exercise (green bars); * p < 0.05; (mean ± SD).
3.2. Differences between Pre and Post Physical Exercise in Fibromyalgia and Healthy Controls Groups
Table 2 shows the differences in HRV between baseline and post-exercise in people with fibromyalgia. The Mann–Whitney U test revealed significant differences in the maximum HR (p-value = 0.002), mean HR (p-value = 0.009), RR interval (p-value = 0.006) and SampEn (p-value = 0.006).
Table 2.
HRV at baseline and after exercise in people with fibromyalgia.
Differences in salivary biomarkers between baseline and post-exercise in people with fibromyalgia are depicted in Figure 1 and in Supplementary Table S2. The Mann–Whitney U test revealed a significant decrease of salivary flow (p-value = 0.001) after physical exercise.
Table 3 shows the differences in HRV between baseline and post-exercise in healthy controls. The Mann-Whitney U test showed significant differences in the maximum HR (p-value = 0.001), mean HR (p-value = 0.003), RR interval (p-value = 0.002), PNS index (p-value = 0.004), SNS index (p-value = 0.010), LF (p-value = 0.020), HF (p-value = 0.026) and LF/HF (p-value = 0.038).
Table 3.
HRV at baseline and after exercise in healthy controls.
Differences in salivary biochemical variables between baseline and post-exercise in people with fibromyalgia are shown in Figure 1 and in the Supplementary Table S3. The Mann–Whitney U test revealed a significant increase of catalase activity (µmol/min/mg) (p-value = 0.047) after physical exercise.
3.3. Acute Effects of Exercise on HRV and Salivary Biomarkers
Table 4 shows the impact of physical exercise on normalized HRV of people with FM and healthy controls. Differences between groups were not found in any of the HRV or salivary biomarkers included in the present study.
Table 4.
Impact of exercise on HRV and on salivary biomarkers in people with fibromyalgia and healthy controls.
3.4. RPE after Exercise Protocol
RPE differences between people with FM and healthy controls are shown in the Supplementary Table S4. Significant differences were found in the RPE at baseline and after exercise, with higher values corresponding to people with fibromyalgia. In addition, both groups significantly increased the RPE after exercise.
4. Discussion
In this study, we aimed to investigate the differences between people with FM and healthy controls on HRV and salivary parameters (such as flow, protein concentration, enzymatic activities of amylase, catalase and glutathione peroxidase) in two moments: (1) at baseline, and (2) after an exercise fatigue protocol. At baseline, significant differences were found in the HRV (stress index, LF and HF variables) and salivary biomarkers (with higher concentration of salivary amylase in people with FM compared to healthy controls). Exercise acute effects on HRV showed that people with FM did not significantly react to exercise. However, significant differences between baseline and post-exercise on HRV significantly induce alteration on the HRV of healthy controls. Catalase significantly increased after exercise in healthy controls whereas salivary flow significantly increased in women with FM after an exercise fatigue protocol.
Our results showed significant differences between people with FM and the control group. In this regard, people with FM exhibited higher values of Stress Index and LF as well as lower values of HF than healthy controls. It is believed that increments in these indices are related to the sympathetic modulation [38]. Furthermore, salivary α-amylase activity is higher in people with FM than in the control group. This enzyme is one of the most abundant proteins in saliva, playing an important role in starch digestion [39]. It is secreted by the acinar cells of the salivary glands in response to stimuli from the autonomic nervous system, especially from the sympathetic branch, and the increase in the activity of this enzyme in saliva is considered a biomarker of adrenergic activation [39,40,41,42]. Several articles reported higher α-amylase activity in people with fibromyalgia relatively to healthy subjects [18,43,44,45,46], revealing a sympathetic hyperreactivity, so our results corroborate those previously described.
Catalase is an antioxidant enzyme that plays the important role of degrading H2O2 to H2O, contributing to the maintenance of an adequate oxidative environment in living systems. This enzyme is not secreted by the salivary glands so its concentration in saliva reflects its concentration in blood [19]. Previous studies showed a lower catalase activity in blood in people with fibromyalgia than in healthy people [47,48,49]. This could indicate that people with FM have more susceptibility to the deleterious effects of ROS. However, in our study, we did not find significant differences.
The complex interplay between the autonomic nervous system and the cardiovascular system during exercise can provide significant prognostic information [14]. Thus, people with FM and healthy controls were exposed to an exercise fatigue protocol. Regarding HRV, the control group significantly increased the maximum and average HR, SNS index, LF and HF/LF and reduced the RR, PNS index and HF. People with FM showed a significant change in the maximum HR, average HR, RR interval and LF. However, the variation was attenuated compared to the control group, especially the maximum HR, which varies 25% in control and 6% in patients with fibromyalgia. However, perceived exertion results revealed that both groups significantly increase their RPE. These results can be explained by the dysautonomia that people with FM exhibited. Dysautonomia consisted of persistent autonomic nervous system hyperactivity at rest and hyperreactivity during stressful situations [12]. In the same line, previous studies observed dysautonomia of people with FM could lead to chronotropic incompetence, and the inability to increase heart rate with increasing exercise intensities [50,51].
Regarding the parameters measured in saliva, a significant increase, induced by exercise, was found in the catalase activity of control group. Salivary parameters such as flow, total protein concentration and α-amylase activity, dependent on ANS stimuli in the salivary glands [52], did not show significant changes after the fatigue exercise protocol. Actually, changes in salivary biochemical parameters seems to be dependent on the type and intensity of the physical exercise [53,54,55]. For instance, total protein and α-amylase activity tends to increase immediately after very intense exercise [53,56,57,58,59], but not with moderate exercise [58]. RPE values obtained in both control and people with FM ranged from 12.75 (3.34) to 14.69 (3.17), respectively, which corresponds to light to somewhat hard effort [35]. In this line, changes observed in the control group with the exercise in HRV parameters, either in the time component or in the frequency component, show us that the exercise performed required effort, although the associated adrenergic activation was not enough to induce significant changes in salivary secretion. The reported increase in catalase activity may reflect the increase in this activity in the blood with exercise [49].
Comparing salivary parameters variations after the exercise fatigue protocol in people with FM and controls, the more significant alteration was found in the salivary flow, which reduces 45.16% in people with fibromyalgia and did not show significant variation in control. Thus, it can be deduced that a stronger parasympathetic nervous system inhibition occurred more in people with fibromyalgia than in healthy individuals. As our HRV also supported, there is evidence that the sympathetic nervous system is already more active than the parasympathetic nervous system in people with fibromyalgia compared to controls even at baseline [13,60]. However, in people with FM, catalase activity did not change after the fatigue exercise protocol, as observed in the control group. Perhaps the reduction in the salivary flow, which occurs by inhibition of the PNS [22,53,61], did not promote the transfer of enzymes from the blood to the saliva, justifying similar salivary catalase activity before and after the fatigue exercise protocol in people with fibromyalgia. Indeed, Soliman, El-Olemy, Hassan, Shaker and Abdullah [49] showed a higher catalase activity in the blood after exercise in people with fibromyalgia.
About glutathione peroxidase (GPx), an antioxidant enzyme that is part of the glutathione metabolism responsible for neutralizing H2O2 with the concomitant oxidizing of glutathione-to-glutathione disulfide, no significative differences between or within groups were found. Reduced concentration in thiol-rich compounds (including glutathione) was described in fibromyalgia blood samples [47,49]. Additionally, in red blood cells from people with fibromyalgia, a lower GPx activity was found [48]. These results also underline the lower antioxidative capacity of people with fibromyalgia [17,47,48,49,61,62]. Nevertheless, GPx activity in saliva is not a good marker of this feature, probably due to a very low salivary activity of this enzyme.
This study has some limitations that should be acknowledged. Firstly, differences between groups at baseline were detected for age and BMI. Although these variables have been included in the analysis through ANCOVA, a potential bias could still remain. Nevertheless, our study followed the line of a previous study which analyzed the physiological response to exercise of people with fibromyalgia and healthy controls [63]. However, results might be taken with caution and future studies should confirm our results. Secondly, the exercise proposed in the present study was focused on muscle fatigue. Future studies should evaluate if these results are repeated when using a general fatigue protocol such as a walking test. We did not consider the assessment of myalgic encephalomyelitis/chronic fatigue syndrome, which we believe should be taken into account in future studies. As a future for the assessment of the ANS, a broader analysis of small sensory fibers, including sudometry and laser evoked potentials, as well as the diagnosis of Sicca Syndrome, should be associated. When evaluating salivary flow and the biochemical markers associated with saliva, we can consider a limitation that we did not perform biopsies of accessory salivary glands.
5. Conclusions
Our study suggests that a higher α-amylase activity and an impaired HRV can be used as possible biomarkers of fibromyalgia, associated with a reduction in salivary flow without changes in HRV and catalase activity after a fatigue exercise protocol. More studies should be carried out in the future to evaluate this hypothesis, in order to find diagnostic biomarkers in fibromyalgia.
Supplementary Materials
The following supporting information can be downloaded at: https://www.mdpi.com/article/10.3390/diagnostics12092220/s1, Table S1. Salivary biomarkers in FM and healthy control groups at baseline; Table S2. Biochemist variables at baseline and after exercise in people with fibromyalgia; Table S3. Biochemist variables at baseline and after exercise in healthy controls; Table S4. Differences between fibromyalgia and healthy controls in Borg scale at baseline and post-exercise.
Author Contributions
Conceptualization, J.A.P. and P.T.-C.; methodology, J.A.P., S.V. and P.T.-C.; validation, J.A.P.; formal analysis, S.V., A.R.C. and J.A.P.; investigation, A.F., V.S., A.R.C., P.T.-C. and J.A.P.; writing—original draft preparation, A.R.C., A.F. and S.V.; writing—review and editing, J.A.P. and S.V.; visualization, P.T.-C. and V.S.; supervision, J.A.P. and A.R.C.; project administration, J.A.P., V.S. and A.R.C.; funding acquisition, J.A.P. and S.V. All authors have read and agreed to the published version of the manuscript.
Funding
This study benefited from the support of the UÉvora—UniverCIDADE VII program. Portuguese Institute for Sport and Youth—I.P., Support for Sport Activity 2022, Sport Development Program Agreement, CP/217/DDT/2022. The author SV was supported by a grant from the Universities Ministry of Spain and the European Union (NextGenerationUE) “Ayuda del Programa de Recualificación del Sistema Universitario Español, Modalidad de ayudas Margarita Salas para la formación de jóvenes doctores” (MS-03).
Institutional Review Board Statement
The study was conducted in accordance with the Declaration of Helsinki, and approved by the University of Évora research ethic committee (05/12/2019).
Informed Consent Statement
Informed consent was obtained from all subjects involved in the study.
Data Availability Statement
Not applicable.
Conflicts of Interest
The authors declare no conflict of interest.
References
- Wolfe, F.; Clauw, D.J.; Fitzcharles, M.A.; Goldenberg, D.L.; Katz, R.S.; Mease, P.; Russell, A.S.; Russell, I.J.; Winfield, J.B.; Yunus, M.B. The American College of Rheumatology Preliminary Diagnostic Criteria for Fibromyalgia and Measurement of Symptom Severity. Arthrit. Care Res. 2010, 62, 600–610. [Google Scholar] [CrossRef] [PubMed]
- Núñez-Fuentes, D.; Obrero-Gaitán, E.; Zagalaz-Anula, N.; Ibáñez-Vera, A.J.; Achalandabaso-Ochoa, A.; López-Ruiz, M.D.C.; Rodríguez-Almagro, D.; Lomas-Vega, R. Alteration of Postural Balance in Patients with Fibromyalgia Syndrome-A Systematic Review and Meta-Analysis. Diagnostics 2021, 11, 127. [Google Scholar] [CrossRef] [PubMed]
- Hendrix, J.; Nijs, J.; Ickmans, K.; Godderis, L.; Ghosh, M.; Polli, A. The interplay between oxidative stress, exercise, and pain in health and disease: Potential role of autonomic regulation and epigenetic mechanisms. Antioxidants 2020, 9, 1166. [Google Scholar] [CrossRef] [PubMed]
- Martínez-Lavín, M. Fibromyalgia in women: Somatisation or stress-evoked, sex-dimorphic neuropathic pain? Clin. Exp. Rheumatol. 2021, 39, 422–425. [Google Scholar] [CrossRef]
- Siracusa, R.; Paola, R.D.; Cuzzocrea, S.; Impellizzeri, D. Fibromyalgia: Pathogenesis, Mechanisms, Diagnosis and Treatment Options Update. Int. J. Mol. Sci. 2021, 22, 3891. [Google Scholar] [CrossRef]
- Mezhov, V.; Guymer, E.; Littlejohn, G. Central sensitivity and fibromyalgia. Intern. Med. J. 2021, 51, 1990–1998. [Google Scholar] [CrossRef]
- Illescas-Montes, R.; Costela-Ruiz, V.J.; Melguizo-Rodríguez, L.; De Luna-Bertos, E.; Ruiz, C.; Ramos-Torrecillas, J. Application of Salivary Biomarkers in the Diagnosis of Fibromyalgia. Diagnostics 2021, 11, 63. [Google Scholar] [CrossRef]
- Raj, S.R.; Brouillard, D.; Simpson, C.S.; Hopman, W.M.; Abdollah, H. Dysautonomia among patients with fibromyalgia: A noninvasive assessment. J. Rheumatol. 2000, 27, 2660–2665. [Google Scholar]
- Solano, C.; Martinez, A.; Becerril, L.; Vargas, A.; Figueroa, J.; Navarro, C.; Ramos-Remus, C.; Martinez-Lavin, M. Autonomic dysfunction in fibromyalgia assessed by the Composite Autonomic Symptoms Scale (COMPASS). JCR J. Clin. Rheumatol. 2009, 15, 172–176. [Google Scholar] [CrossRef]
- Ulas, U.H.; Unlu, E.; Hamamcioglu, K.; Odabasi, Z.; Cakci, A.; Vural, O. Dysautonomia in fibromyalgia syndrome: Sympathetic skin responses and RR interval analysis. Rheumatol. Int. 2006, 26, 383–387. [Google Scholar] [CrossRef]
- Martinez-Lavin, M. Fibromyalgia as a sympathetically maintained pain syndrome. Curr. Pain Headache Rep. 2004, 8, 385–389. [Google Scholar] [CrossRef] [PubMed]
- Furlan, R.; Colombo, S.; Perego, F.; Atzeni, F.; Diana, A.; Barbic, F.; Porta, A.; Pace, F.; Malliani, A.; Sarzi-Puttini, P. Abnormalities of cardiovascular neural control and reduced orthostatic tolerance in patients with primary fibromyalgia. J. Rheumatol. 2005, 32, 1787–1793. [Google Scholar] [PubMed]
- Martínez-Lavín, M.; Hermosillo, A.G. Autonomic nervous system dysfunction may explain the multisystem features of fibromyalgia. Semin. Arthritis Rheum. 2000, 29, 197–199. [Google Scholar] [CrossRef]
- Freeman, J.V.; Dewey, F.E.; Hadley, D.M.; Myers, J.; Froelicher, V.F. Autonomic nervous system interaction with the cardiovascular system during exercise. Prog. Cardiovasc. Dis. 2006, 48, 342–362. [Google Scholar] [CrossRef] [PubMed]
- Shaffer, F.; Ginsberg, J.P. An overview of heart rate variability metrics and norms. Front. Public Health 2017, 5, 258. [Google Scholar] [CrossRef]
- Dekker, J.M.; Crow, R.S.; Folsom, A.R.; Hannan, P.J.; Liao, D.; Swenne, C.A.; Schouten, E.G. Low heart rate variability in a 2-minute rhythm strip predicts risk of coronary heart disease and mortality from several causes: The ARIC Study. Circulation 2000, 102, 1239–1244. [Google Scholar] [CrossRef]
- Bagis, S.; Tamer, L.; Sahin, G.; Bilgin, R.; Guler, H.; Ercan, B.; Erdogan, C. Free radicals and antioxidants in primary fibromyalgia: An oxidative stress disorder? Rheumatol. Int. 2005, 25, 188–190. [Google Scholar] [CrossRef]
- Bazzichi, L.; Ciregia, F.; Giusti, L.; Baldini, C.; Giannaccini, G.; Giacomelli, C.; Sernissi, F.; Bombardieri, S.; Lucacchini, A. Detection of potential markers of primary fibromyalgia syndrome in human saliva. Proteom.–Clin. Appl. 2009, 3, 1296–1304. [Google Scholar] [CrossRef]
- Bosch, J.A. The use of saliva markers in psychobiology: Mechanisms and methods. Saliva Secret. Funct. 2014, 24, 99–108. [Google Scholar]
- Culp, D.J.; Graham, L.A.; Latchney, L.R.; Hand, A.R. Rat sublingual gland as a model to study glandular mucous cell secretion. Am. J. Physiol.-Cell Physiol. 1991, 260, C1233–C1244. [Google Scholar] [CrossRef]
- Humphrey, S.P.; Williamson, R.T. A review of saliva: Normal composition, flow, and function. J. Prosthet. Dent. 2001, 85, 162–169. [Google Scholar] [CrossRef] [PubMed]
- Schamne, J.C.; Ressetti, J.C.; Lima-Silva, A.E.; Okuno, N.M. Impaired Cardiac Autonomic Control in Women With Fibromyalgia Is Independent of Their Physical Fitness. J. Clin. Rheumatol. Pract. Rep. Rheum. Musculoskelet. Dis. 2021, 27, S278–S283. [Google Scholar] [CrossRef] [PubMed]
- Kingsley, J.D.; Panton, L.B.; McMillan, V.; Figueroa, A. Cardiovascular autonomic modulation after acute resistance exercise in women with fibromyalgia. Arch. Phys. Med. Rehabil. 2009, 90, 1628–1634. [Google Scholar] [CrossRef] [PubMed]
- Powers, S.K.; Jackson, M.J. Exercise-induced oxidative stress: Cellular mechanisms and impact on muscle force production. Physiol. Rev. 2008, 88, 1243–1276. [Google Scholar] [CrossRef]
- Santos, J.M.; Mendonça, V.A.; Ribeiro, V.G.C.; Tossige-Gomes, R.; Fonseca, S.F.; Prates, A.C.N.; Flor, J.; Oliveira, A.C.C.; Martins, J.B.; Garcia, B.C.C.; et al. Does whole body vibration exercise improve oxidative stress markers in women with fibromyalgia? Braz. J. Med. Biol. Res. 2019, 52, e8688. [Google Scholar] [CrossRef]
- Figueroa, A.; Kingsley, J.D.; McMillan, V.; Panton, L.B. Resistance exercise training improves heart rate variability in women with fibromyalgia. Clin. Physiol. Funct. Imaging 2008, 28, 49–54. [Google Scholar] [CrossRef]
- Tomas-Carus, P.; Ortega-Alonso, A.; Pietilainen, K.H.; Santos, V.; Goncalves, H.; Ramos, J.; Raimundo, A. A randomized controlled trial on the effects of combined aerobic-resistance exercise on muscle strength and fatigue, glycemic control and health-related quality of life of type 2 diabetes patients. J. Sports Med. Phys. Fit. 2016, 56, 572–578. [Google Scholar]
- Clemente-Suárez, V.; Parraca, J.; Silva, V.; Batalha, N.; Costa, A.; Tomas-Carus, P. Differences in peripheral vascular response of a fibromyalgia patient in a physical fatigue situation. A case control report. Perspecticas Online Biológicas Saúde 2021, 11, 1–10. [Google Scholar] [CrossRef]
- Tarvainen, M.P.; Niskanen, J.-P.; Lipponen, J.A.; Ranta-Aho, P.O.; Karjalainen, P.A. Kubios HRV–heart rate variability analysis software. Comput. Methods Programs Biomed. 2014, 113, 210–220. [Google Scholar] [CrossRef]
- Lamy, E.; Simões, C.; Rodrigues, L.; Costa, A.R.; Vitorino, R.; Amado, F.; Antunes, C.; do Carmo, I. Changes in the salivary protein profile of morbidly obese women either previously subjected to bariatric surgery or not. J. Physiol. Biochem. 2015, 71, 691–702. [Google Scholar] [CrossRef]
- Bradford, M.M. A rapid and sensitive method for the quantitation of microgram quantities of protein utilizing the principle of protein-dye binding. Anal. Biochem. 1976, 72, 248–254. [Google Scholar] [CrossRef]
- Rodrigues, L.; Mouta, R.; Costa, A.R.; Pereira, A.; e Silva, F.C.; Amado, F.; Antunes, C.M.; Lamy, E. Effects of high-fat diet on salivary α-amylase, serum parameters and food consumption in rats. Arch. Oral Biol. 2015, 60, 854–862. [Google Scholar] [CrossRef] [PubMed]
- Aebi, H. Catalase in vitro. In Methods in Enzymology; Elsevier: Amsterdam, The Netherlands, 1984; Volume 105, pp. 121–126. [Google Scholar]
- Fecondo, J.V.; Augusteyn, R.C. Superoxide dismutase, catalase and glutathione peroxidase in the human cataractous lens. Exp. Eye Res. 1983, 36, 15–23. [Google Scholar] [CrossRef]
- Borg, G. Borg’s Perceived Exertion and Pain Scales; Human kinetics: Leeds, UK, 1998. [Google Scholar]
- Fritz, C.O.; Morris, P.E.; Richler, J.J. Effect Size Estimates: Current Use, Calculations, and Interpretation. J. Exp. Psychol.-Gen. 2012, 141, 2–18. [Google Scholar] [CrossRef]
- Coolican, H. Research Methods and Statistics in Psychology; Psychology Press: London, UK, 2017. [Google Scholar]
- Soares-Miranda, L.; Sattelmair, J.; Chaves, P.; Duncan, G.E.; Siscovick, D.S.; Stein, P.K.; Mozaffarian, D. Physical activity and heart rate variability in older adults: The Cardiovascular Health Study. Circulation 2014, 129, 2100–2110. [Google Scholar] [CrossRef]
- Nater, U.M.; Rohleder, N. Salivary alpha-amylase as a non-invasive biomarker for the sympathetic nervous system: Current state of research. Psychoneuroendocrinology 2009, 34, 486–496. [Google Scholar] [CrossRef]
- Bosch, J.A.; Veerman, E.C.I.; de Geus, E.J.; Proctor, G.B. α-Amylase as a reliable and convenient measure of sympathetic activity: Don’t start salivating just yet! Psychoneuroendocrinology 2011, 36, 449–453. [Google Scholar] [CrossRef]
- Speirs, R.L.; Herring, J.; Cooper, W.D.; Hardy, C.C.; Hind, C.R.K. The influence of sympathetic activity and isoprenaline on the secretion of amylase from the human parotid gland. Arch. Oral Biol. 1974, 19, 747–752. [Google Scholar] [CrossRef]
- van Stegeren, A.; Rohleder, N.; Everaerd, W.; Wolf, O.T. Salivary alpha amylase as marker for adrenergic activity during stress: Effect of betablockade. Psychoneuroendocrinology 2006, 31, 137–141. [Google Scholar] [CrossRef]
- Fernández-de-las-Peñas, C.; Peñacoba-Puente, C.; Cigarán-Méndez, M.; Díaz-Rodríguez, L.; Rubio-Ruiz, B.; Arroyo-Morales, M. Has catechol-O-methyltransferase genotype (Val158Met) an influence on endocrine, sympathetic nervous and humoral immune systems in women with fibromyalgia syndrome? Clin. J. Pain 2014, 30, 199–204. [Google Scholar] [CrossRef]
- Fischer, S.; Doerr, J.M.; Strahler, J.; Mewes, R.; Thieme, K.; Nater, U.M. Stress exacerbates pain in the everyday lives of women with fibromyalgia syndrome—The role of cortisol and alpha-amylase. Psychoneuroendocrinology 2016, 63, 68–77. [Google Scholar] [CrossRef]
- Pintor, F.M.; Escolano, A.F.; Rodríguez, J.R.; Ardid, J.M.C.; Gourlot, A.R. Niveles de-Amilasa seriada salival en mujeres con fibromialgia. Cuad. Med. Psicosomática Y Psiquiatr. Enlace 2014, 18–24. Available online: https://dialnet.unirioja.es/servlet/articulo?codigo=4802222 (accessed on 11 September 2022).
- Sánchez, P.; Sánchez Tormo, J.; de Lamo Muñoz, M.; Peiró, G. Psicobioquimica (estrés, ansiedad y depresión) en fibromialgia. Cuad. Monográficos Psicobioquímica 2014, 3, 55–68. [Google Scholar]
- Sarıfakıoğlu, B.; Güzelant, A.Y.; Güzel, E.Ç.; Güzel, S.; Kızıler, A.R. Effects of 12-week combined exercise therapy on oxidative stress in female fibromyalgia patients. Rheumatol. Int. 2014, 34, 1361–1367. [Google Scholar] [CrossRef] [PubMed]
- Shukla, V.; Kumar, D.S.; Ali, M.A.; Agarwal, S.; Khandpur, S. Nitric oxide, lipid peroxidation products, and antioxidants in primary fibromyalgia and correlation with disease severity. J. Med. Biochem. 2020, 39, 165. [Google Scholar] [CrossRef]
- Soliman, A.F.; El-Olemy, G.G.; Hassan, W.A.; Shaker, R.H.M.; Abdullah, O.A. Impact of an intensive dynamic exercise program on oxidative stress and on the outcome in patients with fibromyalgia. Egypt. Rheumatol. Rehabil. 2016, 43, 117–123. [Google Scholar] [CrossRef]
- da Cunha Ribeiro, R.P.; Roschel, H.; Artioli, G.G.; Dassouki, T.; Perandini, L.A.; Calich, A.L.; de Sá Pinto, A.L.; Lima, F.R.; Bonfá, E.; Gualano, B. Cardiac autonomic impairment and chronotropic incompetence in fibromyalgia. Arthritis Res. Ther. 2011, 13, 1–5. [Google Scholar] [CrossRef]
- Villafaina, S.; Biehl-Printes, C.; Parraca, J.A.; de Oliveira Brauner, F.; Tomas-Carus, P. What Mathematical Models Are Accurate for Prescribing Aerobic Exercise in Women with Fibromyalgia? Biology 2022, 11, 704. [Google Scholar] [CrossRef]
- Proctor, G.B.; Carpenter, G.H. Regulation of salivary gland function by autonomic nerves. Auton. Neurosci. 2007, 133, R190. [Google Scholar] [CrossRef]
- Souza, A.V.; Giolo, J.S.; Teixeira, R.R.; Vilela, D.D.; Peixoto, L.G.; Justino, A.B.; Caixeta, D.C.; Puga, G.M.; Espindola, F.S. Salivary and plasmatic antioxidant profile following continuous, resistance, and high-intensity interval exercise: Preliminary study. Oxidative Med. Cell. Longev. 2019, 2019, 1–10. [Google Scholar] [CrossRef]
- Leaf, D.A.; Kleinman, M.T.; Hamilton, M.; Barstow, T.J. The effect of exercise intensity on lipid peroxidation. Med. Sci. Sports Exerc. 1997, 29, 1036–1039. [Google Scholar] [CrossRef] [PubMed]
- Shi, M.; Wang, X.; Yamanaka, T.; Ogita, F.; Nakatani, K.; Takeuchi, T. Effects of anaerobic exercise and aerobic exercise on biomarkers of oxidative stress. Environ. Health Prev. Med. 2007, 12, 202–208. [Google Scholar] [CrossRef] [PubMed]
- Bortolini, M.S.; De Agostini, G.G.; Reis, I.T.; Silva Lamounier, R.P.M.; Blumberg, J.B.; Espindola, F.S. Total protein of whole saliva as a biomarker of anaerobic threshold. Res. Q. Exerc. Sport 2009, 80, 604–610. [Google Scholar] [CrossRef] [PubMed]
- Li, T.L.; Gleeson, M. The effect of single and repeated bouts of prolonged cycling and circadian variation on saliva flow rate, immunoglobulin A and-amylase responses. J. Sports Sci. 2004, 22, 1015–1024. [Google Scholar] [CrossRef] [PubMed]
- Ligtenberg, A.J.M.; Brand, H.S.; van den Keijbus, P.A.M.; Veerman, E.C.I. The effect of physical exercise on salivary secretion of MUC5B, amylase and lysozyme. Arch. Oral Biol. 2015, 60, 1639–1644. [Google Scholar] [CrossRef] [PubMed]
- Walsh, N.P. The effects of high-intensity intermittent exercise on saliva IgA, total protein and alpha-amylase. J. Sports Sci. 1999, 17, 129–134. [Google Scholar] [CrossRef]
- Staud, R. Heart rate variability as a biomarker of fibromyalgia syndrome. Future Rheumatol. 2008, 3, 475–483. [Google Scholar] [CrossRef]
- Altindag, O.; Celik, H. Total antioxidant capacity and the severity of the pain in patients with fibromyalgia. Redox Rep. 2006, 11, 131–135. [Google Scholar] [CrossRef]
- Neyal, M.; Yimenicioglu, F.; Aydeniz, A.; Taskin, A.; Saglam, S.; Cekmen, M.; Neyal, A.; Gursoy, S.; Erel, O.; Balat, A. Plasma nitrite levels, total antioxidant status, total oxidant status, and oxidative stress index in patients with tension-type headache and fibromyalgia. Clin. Neurol. Neurosurg. 2013, 115, 736–740. [Google Scholar] [CrossRef]
- Lange, E.; Mannerkorpi, K.; Cider, A.; Archer, T.; Wentz, K. Physiological adaptation in women presenting fibromyalgia: Comparison with healthy controls. Clin. Exp. Psychol. 2017, 3, 1–8. [Google Scholar] [CrossRef]
Publisher’s Note: MDPI stays neutral with regard to jurisdictional claims in published maps and institutional affiliations. |
© 2022 by the authors. Licensee MDPI, Basel, Switzerland. This article is an open access article distributed under the terms and conditions of the Creative Commons Attribution (CC BY) license (https://creativecommons.org/licenses/by/4.0/).
