Utility of Presepsin and Interferon-λ3 for Predicting Disease Severity and Clinical Outcomes in COVID-19 Patients
Abstract
1. Introduction
2. Materials and Methods
2.1. Study Population
2.2. Presepsin and IFN-λ3 Assays
2.3. Statistical Analysis
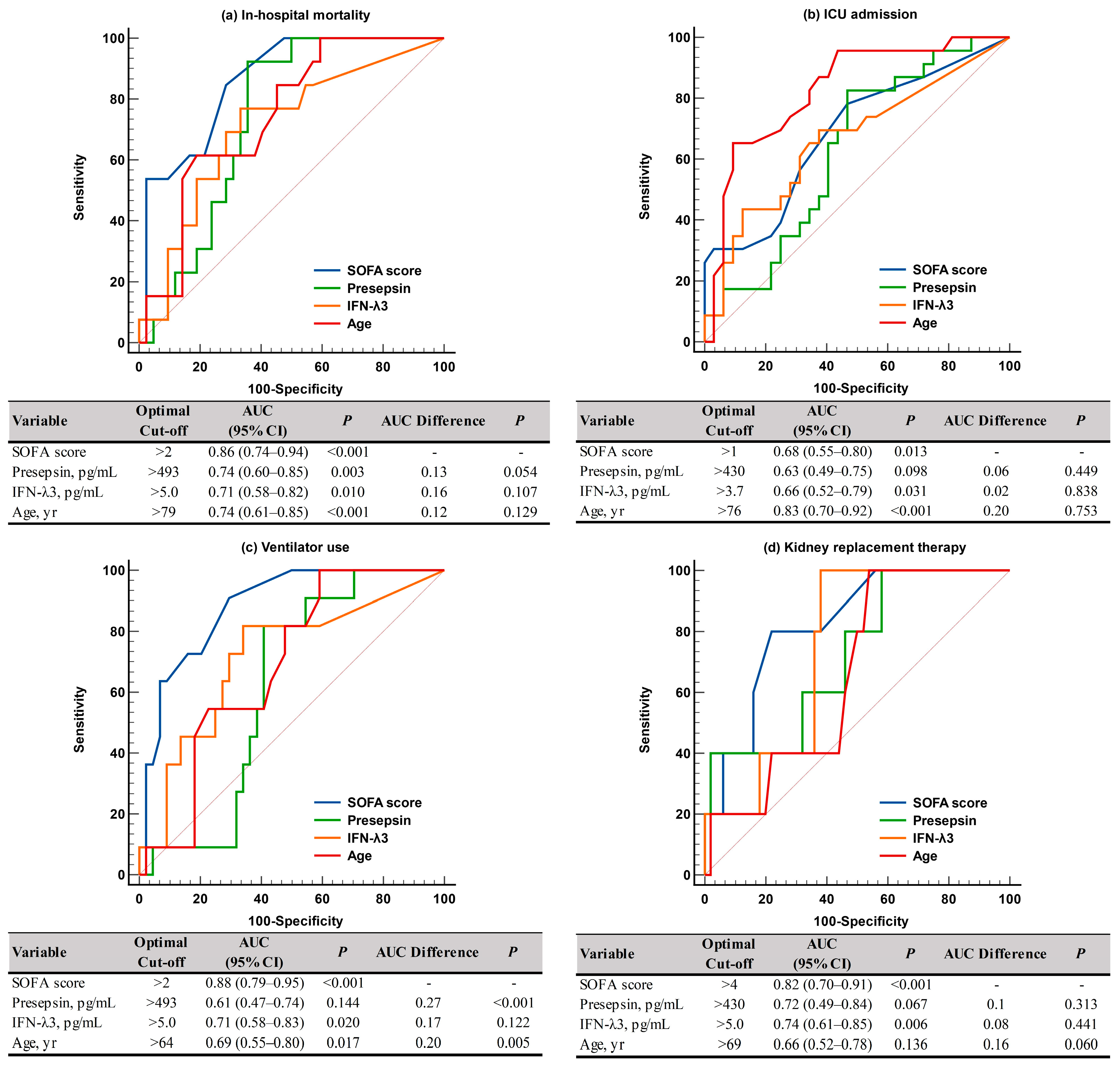
3. Results
4. Discussion and Conclusions
Author Contributions
Funding
Institutional Review Board Statement
Informed Consent Statement
Data Availability Statement
Conflicts of Interest
References
- World Health Organization. WHO Coronavirus (COVID-19) Dashboard. Available online: https://covid19.who.int/table (accessed on 10 May 2023).
- Tejada-Vera, B.; Kramarow, E.A. COVID-19 mortality in adults aged 65 and over: United States, 2020. NCHS Data Brief. 2022, 446, 1–8. [Google Scholar]
- Yanez, N.D.; Weiss, N.S.; Romand, J.-A.; Treggiari, M.M. COVID-19 mortality risk for older men and women. BMC Public Health 2020, 20, 1742. [Google Scholar] [CrossRef] [PubMed]
- Word Health Organization: Living Guidance for Clinical Management of COVID-19. Available online: https://www.who.int/publications/i/item/WHO-2019-nCoV-clinical-2021-2 (accessed on 7 January 2023).
- López-Collazo, E.; Avendaño-Ortiz, J.; Martín-Quirós, A.; Aguirre, L.A. Immune response and COVID-19: A mirror image of sepsis. Int. J. Biol. Sci. 2020, 16, 2479–2489. [Google Scholar] [CrossRef]
- Singer, M.; Deutschman, C.S.; Seymour, C.W.; Shankar-Hari, M.; Annane, D.; Bauer, M.; Bellomo, R.; Bernard, G.R.; Chiche, J.-D.; Coopersmith, C.M.; et al. The third international consensus definitions for sepsis and septic shock (Sepsis-3). JAMA 2016, 315, 801–810. [Google Scholar] [CrossRef] [PubMed]
- San, I.; Gemcioglu, E.; Baser, S.; Yilmaz Cakmak, N.; Erden, A.; Izdes, S.; Catalbas, R.; Davutoglu, M.; Karabuga, B.; Ates, I. Brescia-COVID Respiratory Severity Scale (BRCSS) and Quick SOFA (qSOFA) score are most useful in showing severity in COVID-19 patients. Sci. Rep. 2021, 11, 21807. [Google Scholar] [CrossRef]
- King, J.T., Jr.; Yoon, J.S.; Bredl, Z.M.; Habboushe, J.P.; Walker, G.A.; Rentsch, C.T.; Tate, J.P.; Kashyap, N.M.; Hintz, R.C., II; Chopra, A.P.; et al. Accuracy of the Veterans Health Administration COVID-19 (VACO) Index for predicting short-term mortality among 1307 US academic medical centre inpatients and 427,224 US Medicare patients. J. Epidemiol. Community Health 2022, 76, 254–260. [Google Scholar] [CrossRef]
- Knight, S.R.; Ho, A.; Pius, R.; Buchan, I.; Carson, G.; Drake, T.M.; Dunning, J.; Fairfield, C.J.; Green, C.A.; Halpin, S.; et al. Risk stratification of patients admitted to hospital with COVID-19 using the ISARIC WHO clinical characterisation protocol: Development and validation of the 4C mortality score. BMJ 2020, 370, m3339. [Google Scholar] [CrossRef]
- Vincent, J.L.; Moreno, R.; Takala, J.; Willatts, S.; De Mendonça, A.; Bruining, H.; Reinhart, C.K.; Suter, P.M.; Thijs, L.G. The SOFA (Sepsis-related Organ Failure Assessment) score to describe organ dysfunction/failure. On behalf of the working group on sepsis-related problems of the european society of intensive care medicine. Intensive Care Med. 1996, 22, 707–710. [Google Scholar] [CrossRef]
- Huespe, I.; Carboni Bisso, I.; Di Stefano, S.; Terrasa, S.; Gemelli, N.A.; Las Heras, M. COVID-19 Severity Index: A predictive score for hospitalized patients. Med. Intensiv. (Engl. Ed.) 2022, 46, 98–101. [Google Scholar] [CrossRef]
- Bivona, G.; Agnello, L.; Ciaccio, M. Biomarkers for prognosis and treatment response in COVID-19 patients. Ann. Lab. Med. 2021, 41, 540–548. [Google Scholar] [CrossRef]
- Park, M.; Hur, M.; Kim, H.; Lee, C.H.; Lee, J.H.; Kim, H.W.; Nam, M. Prognostic utility of procalcitonin, presepsin, and the VACO Index for predicting 30-day mortality in hospitalized COVID-19 patients. Ann. Lab. Med. 2022, 42, 406–414. [Google Scholar] [CrossRef] [PubMed]
- Park, M.; Hur, M.; Kim, H.; Lee, C.H.; Lee, J.H.; Nam, M. Usefulness of KL-6 for predicting clinical outcomes in hospitalized COVID-19 patients. Medicina 2022, 58, 1317. [Google Scholar] [CrossRef] [PubMed]
- Ciaccio, M.; Agnello, L. Biochemical biomarkers alterations in Coronavirus Disease 2019 (COVID-19). Diagnosis 2020, 7, 365–372. [Google Scholar] [CrossRef] [PubMed]
- Guarino, M.; Perna, B.; Maritati, M.; Remelli, F.; Trevisan, C.; Spampinato, M.D.; Costanzini, A.; Volpato, S.; Contini, C.; De Giorgio, R. Presepsin levels and COVID-19 severity: A systematic review and meta-analysis. Clin. Exp. Med. 2022. Online ahead of print. [Google Scholar] [CrossRef] [PubMed]
- Assal, H.H.; Abdelrahman, S.M.; Abdelbasset, M.A.; Abdelaziz, M.; Sabry, I.M.; Shaban, M.M. Presepsin as a novel biomarker in predicting in-hospital mortality in patients with COVID-19 pneumonia. Int. J. Infect. Dis. 2022, 118, 155–163. [Google Scholar] [CrossRef]
- Lippi, G.; Sanchis-Gomar, F.; Henry, B.M. Presepsin value predicts the risk of developing severe/critical COVID-19 illness: Results of a pooled analysis. Clin. Chem. Lab. Med. 2022, 60, e1–e3. [Google Scholar] [CrossRef]
- Yang, H.S.; Hur, M.; Yi, A.; Kim, H.; Lee, S.; Kim, S.N. Prognostic value of presepsin in adult patients with sepsis: Systematic review and meta-analysis. PLoS ONE 2018, 13, e0191486. [Google Scholar] [CrossRef]
- Mesev, E.V.; LeDesma, R.A.; Ploss, A. Decoding type I and III interferon signalling during viral infection. Nat. Microbiol. 2019, 4, 914–924. [Google Scholar] [CrossRef]
- Kim, Y.M.; Shin, E.C. Type I and III interferon responses in SARS-CoV-2 infection. Exp. Mol. Med. 2021, 53, 750–760. [Google Scholar] [CrossRef]
- Park, A.; Iwasaki, A. Type I and Type III interferons—Induction, signaling, evasion, and application to combat COVID-19. Cell Host Microbe 2020, 27, 870–878. [Google Scholar] [CrossRef]
- Sugiyama, M.; Kinoshita, N.; Ide, S.; Nomoto, H.; Nakamoto, T.; Saito, S.; Ishikane, M.; Kutsuna, S.; Hayakawa, K.; Hashimoto, M.; et al. Serum CCL17 level becomes a predictive marker to distinguish between mild/moderate and severe/critical disease in patients with COVID-19. Gene 2021, 766, 145145. [Google Scholar] [CrossRef]
- Suzuki, T.; Iwamoto, N.; Tsuzuki, S.; Kakumoto, Y.; Suzuki, M.; Ashida, S.; Oshiro, Y.; Nemoto, T.; Kanda, K.; Okuhama, A.; et al. Interferon lambda 3 in the early phase of coronavirus disease-19 can predict oxygen requirement. Eur. J. Clin. Investig. 2022, 52, e13808. [Google Scholar] [CrossRef]
- Hong, K.H.; Lee, S.W.; Kim, T.S.; Huh, H.J.; Lee, J.; Kim, S.Y.; Park, J.-S.; Kim, G.J.; Sung, H.; Roh, K.H.; et al. Guidelines for laboratory diagnosis of Coronavirus Disease 2019 (COVID-19) in Korea. Ann. Lab. Med. 2020, 40, 351–360. [Google Scholar] [CrossRef]
- Okamura, Y.; Yokoi, H. Development of a point-of-care assay system for measurement of presepsin (sCD14-ST). Clin. Chim. Acta 2011, 412, 2157–2161. [Google Scholar] [CrossRef]
- Kang, T.; Yoo, J.; Choi, H.; Lee, S.; Jekarl, D.W.; Kim, Y. Performance evaluation of presepsin using a Sysmex HISCL-5000 analyzer and determination of reference interval. J. Clin. Lab. Anal. 2022, 36, e24618. [Google Scholar] [CrossRef] [PubMed]
- Sysmex. HISCLTM IFN-λ3 Assay Kit. Available online: https://products.sysmex.co.jp/products/immunology/CN839271/01_index.html (accessed on 7 January 2023).
- Feng, D.; Cortese, G.; Baumgartner, R. A comparison of confidence/credible interval methods for the area under the ROC curve for continuous diagnostic tests with small sample size. Stat. Methods Med. Res. 2017, 26, 2603–2621. [Google Scholar] [CrossRef]
- Simundić, A.M. Diagnostic accuracy. Acta Med. Croat. 2006, 60 (Suppl. S1), 93–111. [Google Scholar]
- Nagashima, K.; Noma, H.; Sato, Y.; Gosho, M. Sample size calculations for single-arm survival studies using transformations of the Kaplan-Meier estimator. Pharm. Stat. 2021, 20, 499–511. [Google Scholar] [CrossRef] [PubMed]
- de Hond, A.A.H.; Steyerberg, E.W.; van Calster, B. Interpreting area under the receiver operating characteristic curve. Lancet Digit. Health 2022, 4, e853–e855. [Google Scholar] [CrossRef] [PubMed]
- Raschke, R.A.; Agarwal, S.; Rangan, P.; Heise, C.W.; Curry, S.C. Discriminant accuracy of the SOFA score for determining the probable mortality of patients with COVID-19 pneumonia requiring mechanical ventilation. JAMA 2021, 325, 1469–1470. [Google Scholar] [CrossRef]
- Lambden, S.; Laterre, P.F.; Levy, M.M.; Francois, B. The SOFA score—Development, utility and challenges of accurate assessment in clinical trials. Crit. Care 2019, 23, 374. [Google Scholar] [CrossRef] [PubMed]
- Di Lorenzo, G.; Buonerba, L.; Ingenito, C.; Crocetto, F.; Buonerba, C.; Libroia, A.; Sciarra, A.; Ragone, G.; Sanseverino, R.; Iaccarino, S.; et al. Clinical characteristics of metastatic prostate cancer patients infected with COVID-19 in south Italy. Oncology 2020, 98, 743–747. [Google Scholar] [CrossRef] [PubMed]




| Variable | Total (n = 55) | * Non-Critical (n = 16) | Critical (n = 39) | p |
|---|---|---|---|---|
| Age (years) | 72 (61–80) | 65 (47–75) | 74 (65–82) | 0.023 |
| ≥65, n (%) | 37 (67.3) | 8 (50.0) | 29 (74.4) | 0.115 |
| <65, n (%) | 18 (32.7) | 8 (50.0) | 10 (25.6) | 0.115 |
| Male, n (%) | 30 (54.5) | 7 (43.7) | 23 (59.0) | 0.377 |
| Comorbidities, n (%) | ||||
| At least 2 comorbidities | 28 (50.9) | 5 (31.2) | 23 (59.0) | 0.079 |
| Diabetes mellitus | 20 (36.4) | 5 (31.2) | 15 (38.5) | 0.761 |
| Dementia | 13 (23.6) | 3 (18.8) | 10 (25.6) | 0.734 |
| Heart failure | 7 (12.7) | 0 (0.0) | 7 (17.9) | 0.093 |
| Malignancy | 7 (12.7) | 4 (25.0) | 3 (7.7) | 0.175 |
| Liver disease | 5 (9.1) | 2 (12.5) | 3 (7.7) | 0.622 |
| Chronic obstructive pulmonary disease | 4 (7.3) | 0 (0.0) | 4 (10.3) | 0.311 |
| Chronic kidney disease | 3 (5.5) | 0 (0.0) | 3 (7.7) | 0.548 |
| Cerebrovascular accident | 2 (3.6) | 0 (0.0) | 2 (5.1) | 1.000 |
| Myocardial infarction | 1 (1.8) | 0 (0.0) | 1 (2.6) | 1.000 |
| Chief complaints, n (%) | ||||
| Fever (>37.5 °C) | 23 (41.8) | 8 (50.0) | 15 (38.5) | 0.550 |
| Chill | 10 (18.2) | 1 (6.2) | 9 (23.1) | 0.250 |
| † Respiratory symptoms | 9 (16.4) | 5 (31.2) | 4 (10.3) | 0.103 |
| Dyspnea | 7 (12.7) | 0 (0.0) | 7 (17.9) | 0.093 |
| Headache | 4 (7.3) | 1 (6.2) | 3 (7.7) | 1.000 |
| † Gastrointestinal symptoms | 2 (3.6) | 1 (6.2) | 1 (2.6) | 0.501 |
| ICU stay (day) | 0 (0–14) | 0 (0–0) | 2 (0–16) | 0.024 |
| Hospital stay (day) | 17 (11–31) | 13 (8–25) | 19 (12–37) | 0.045 |
| COVID-19 diagnosis to admission (day) | 0 (0–5) | 0 (0–1) | 0 (0–6) | 0.244 |
| COVID-19 diagnosis to blood sampling (day) | 1 (0–6) | 1 (0–3) | 2 (0–7) | 0.177 |
| Vital signs | ||||
| Mean arterial pressure (mm Hg) | 90 (84–98) | 87 (82–93) | 91 (84–100) | 0.201 |
| Heart rate (frequency/min) | 86 (70–105) | 75 (68–86) | 93 (70–111) | 0.041 |
| Respiratory rate (frequency/min) | 20 (20–22) | 20 (20–20) | 21 (20–25) | 0.005 |
| Body temperature (°C) | 36.7 (36.5–37.6) | 36.5 (36.4–37.6) | 36.8 (36.5–37.6) | 0.190 |
| PaO2/FiO2 (mm Hg) | 377 (309–445) | 460 (374–471) | 358 (285–436) | 0.001 |
| Clinical outcomes | ||||
| ICU admission, n (%) | 23 (41.8) | 3 (18.8) | 20 (51.3) | 0.036 |
| In-hospital mortality, n (%) | 13 (23.6) | 0 (0.0) | 13 (33.3) | 0.011 |
| Ventilator use, n (%) | 11 (20.0) | 0 (0.0) | 11 (28.2) | 0.023 |
| Kidney replacement therapy, n (%) | 5 (9.1) | 0 (0.0) | 5 (12.8) | 0.306 |
| SOFA score | 2 (1–5) | 1 (0–3) | 2 (1–7) | 0.045 |
| Central nervous system | 0 (0–1) | 0 (0–0) | 0 (0–1) | 0.039 |
| Renal | 0 (0–0) | 0 (0–0) | 0 (0–1) | 0.019 |
| Liver | 0 (0–0) | 0 (0–0) | 0 (0–0) | 0.809 |
| Circulatory | 0 (0–0) | 0 (0–0) | 0 (0–1) | 0.189 |
| Coagulation | 0 (0–1) | 0 (0–1) | 0 (0–1) | 0.625 |
| Respiratory | 1 (0–1) | 0 (0–1) | 1 (0–2) | 0.039 |
| Sepsis or septic shock, n (%) | 34 (61.8) | 7 (43.7) | 27 (69.2) | 0.126 |
| Laboratory data | ||||
| White blood cell (×109/L) | 6.4 (4.6–11.3) | 6.3 (4.3–9.5) | 6.6 (4.7–13.9) | 0.535 |
| Neutrophil (×109/L) | 5.2 (3.3–9.9) | 4.1 (2.4–7.9) | 5.5 (3.4–13.2) | 0.258 |
| Lymphocyte (×109/L) | 0.9 (0.6–1.4) | 1.3 (0.9–1.7) | 0.8 (0.5–1.2) | 0.008 |
| Monocyte (×109/L) | 0.4 (0.3–0.7) | 0.4 (0.3–0.6) | 0.4 (0.3–0.8) | 0.767 |
| Red blood cell (×1012/L) | 3.9 (3.5–4.6) | 3.9 (3.6–4.3) | 3.9 (3.4–4.6) | 0.978 |
| Platelet (×109/L) | 186 (143–261) | 179 (149–271) | 188 (136–266) | 0.846 |
| Total bilirubin (umol/L) | 0.6 (0.4–0.9) | 0.6 (0.4–0.8) | 0.6 (0.4–0.9) | 0.493 |
| Blood urea nitrogen (mmol/L) | 17.5 (13.7–27.6) | 12.3 (8.5–17.4) | 18.7 (15.2–35.5) | 0.002 |
| Creatinine (μmol/L) | 0.8 (0.6–1.0) | 0.7 (0.6–0.8) | 0.8 (0.7–1.3) | 0.031 |
| C-reactive protein (mg/L) | 6.2 (2.6–11.7) | 2.8 (0.2–3.5) | 8.0 (3.5–12.3) | 0.004 |
| Presepsin (pg/mL) | 493 (330–963) | 282 (175–579) | 558 (402–1232) | 0.008 |
| Interferon-λ3 (pg/mL) | 3.9 (3.0–12.1) | 3.0 (3.0–3.7) | 6.9 (3.0–13.8) | 0.049 |
| Lactate (mmol/L) | 2.0 (1.8–2.6) | 2.0 (1.4–2.0) | 2.1 (1.8–2.9) | 0.056 |
| Prothrombin time (s) | 13.0 (12.3–14.6) | 12.4 (11.8–13.0) | 13.6 (12.5–15.3) | 0.001 |
| Activated partial thromboplastin time (s) | 39.7 (33.4–44.1) | 33.7 (29.5–39.7) | 40.6 (35.8–45.6) | 0.005 |
| D-dimer (ug/mL) | 1.6 (0.7–3.6) | 1.6 (0.6–3.5) | 1.6 (0.9–3.6) | 0.434 |
| PSEP ≤ 493 pg/mL or IFN ≤ 5.0 pg/mL | PSEP > 493 pg/mL and IFN > 5.0 pg/mL | p | |
|---|---|---|---|
| Overall (n = 55) | |||
| Survivor (n = 42) | 40 (95.2) | 2 (4.8) | - |
| Non-survivor (n = 13) | 4 (30.8) | 9 (69.2) | - |
| Mortality rate, proportion (%) | 4/44 (9.1) | 9/11 (81.8) | <0.001 |
| Age ≥ 65 years (n = 37) | |||
| Survivor (n = 25) | 24 (96.0) | 1 (4.0) | - |
| Non-survivor (n = 12) | 4 (33.3) | 8 (66.7) | - |
| Mortality rate, proportion (%) | 4/28 (14.3) | 8/9 (88.9) | <0.001 |
Disclaimer/Publisher’s Note: The statements, opinions and data contained in all publications are solely those of the individual author(s) and contributor(s) and not of MDPI and/or the editor(s). MDPI and/or the editor(s) disclaim responsibility for any injury to people or property resulting from any ideas, methods, instructions or products referred to in the content. |
© 2023 by the authors. Licensee MDPI, Basel, Switzerland. This article is an open access article distributed under the terms and conditions of the Creative Commons Attribution (CC BY) license (https://creativecommons.org/licenses/by/4.0/).
Share and Cite
Lee, G.-H.; Park, M.; Hur, M.; Kim, H.; Lee, S.; Moon, H.-W.; Yun, Y.-M. Utility of Presepsin and Interferon-λ3 for Predicting Disease Severity and Clinical Outcomes in COVID-19 Patients. Diagnostics 2023, 13, 2372. https://doi.org/10.3390/diagnostics13142372
Lee G-H, Park M, Hur M, Kim H, Lee S, Moon H-W, Yun Y-M. Utility of Presepsin and Interferon-λ3 for Predicting Disease Severity and Clinical Outcomes in COVID-19 Patients. Diagnostics. 2023; 13(14):2372. https://doi.org/10.3390/diagnostics13142372
Chicago/Turabian StyleLee, Gun-Hyuk, Mikyoung Park, Mina Hur, Hanah Kim, Seungho Lee, Hee-Won Moon, and Yeo-Min Yun. 2023. "Utility of Presepsin and Interferon-λ3 for Predicting Disease Severity and Clinical Outcomes in COVID-19 Patients" Diagnostics 13, no. 14: 2372. https://doi.org/10.3390/diagnostics13142372
APA StyleLee, G.-H., Park, M., Hur, M., Kim, H., Lee, S., Moon, H.-W., & Yun, Y.-M. (2023). Utility of Presepsin and Interferon-λ3 for Predicting Disease Severity and Clinical Outcomes in COVID-19 Patients. Diagnostics, 13(14), 2372. https://doi.org/10.3390/diagnostics13142372

