Comparison between Intravoxel Incoherent Motion and Splenic Volumetry to Predict Hepatic Fibrosis Staging in Preoperative Patients
Abstract
:1. Introduction
2. Materials and Methods
2.1. Patients
2.2. IVIM Imaging
2.3. CT Volumetry Analysis for Spleen
3. Pathology
Statistical Analysis
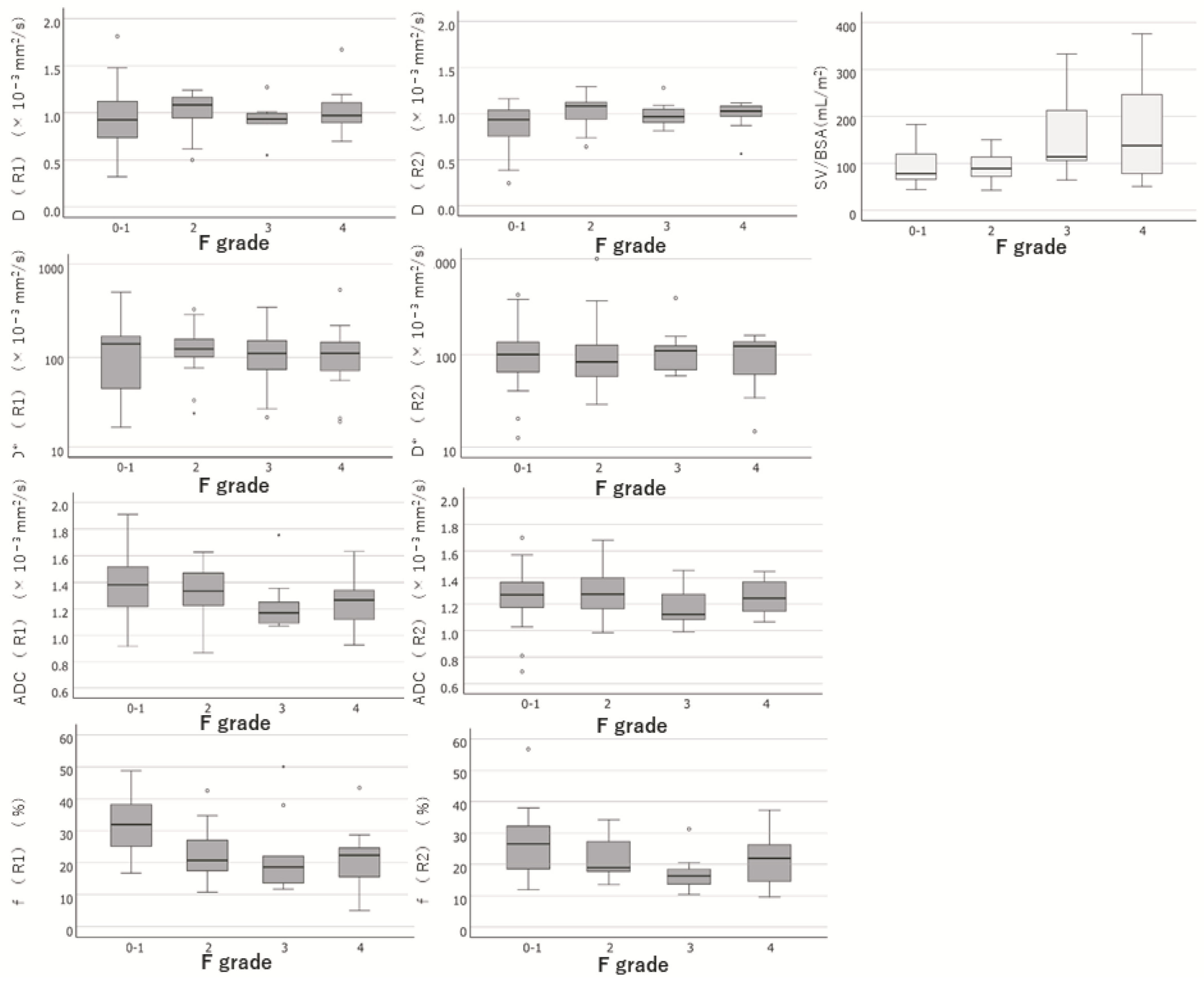
4. Results
4.1. Patients
4.2. IVIM Analysis for Liver
4.3. CT Volumetry Analysis for Spleen
4.4. Comparison between IVIM and SV/BSA for Estimation of Liver Fibrosis and Cirrhosis
ROC Analysis
5. Discussion
Supplementary Materials
Author Contributions
Funding
Institutional Review Board Statement
Informed Consent Statement
Data Availability Statement
Acknowledgments
Conflicts of Interest
Abbreviations
| ADC | apparent diffusion-coefficient | 
| APRI | aspartate aminotransferase-platelet ratio index | 
| BSA | body surface area | 
| D | slow diffusion-coefficient related to molecular diffusion (true diffusion-coefficient) | 
| D* | fast diffusion-coefficient related to perfusion in micro-vessels (pseudodiffusion-coefficient) | 
| CTV | computerized tomography volumetry | 
| Cr | creatinine | 
| f | perfusion-related diffusion fraction | 
| FIB-4 | fibrosis index based on the four factors | 
| HF | Hepatic fibrosis | 
| ICGR15 | indocyanine green retention rates at 15 min after injection | 
| INR | international normalized ratio | 
| MELD | model for end-stage liver disease score | 
| SV | splenic volumetry | 
References
- Abe, H.; Midorikawa, Y.; Higaki, T.; Yamazaki, S.; Aramaki, O.; Nakayama, H.; Moriguchi, M.; Kanda, T.; Moriyama, M.; Okada, M.; et al. Magnetic resonance elastography-based prediction of hepatocellular carcinoma recurrence after curative resection. Surgery 2021, 170, 167–172. [Google Scholar] [CrossRef]
- Shibutani, K.; Okada, M.; Tsukada, J.; Ibukuro, K.; Abe, H.; Matsumoto, N.; Midorikawa, Y.; Moriyama, M.; Takayama, T. Predictive value of combined computed tomography volumetry and magnetic resonance elastography for major complications after liver resection. Abdom. Radiol. 2021, 46, 3193–3204. [Google Scholar] [CrossRef] [PubMed]
- Motosugi, U.; Ichikawa, T.; Koshiishi, T.; Sano, K.; Morisaka, H.; Ichikawa, S.; Enomoto, N.; Matsuda, M.; Fujii, H.; Araki, T. Liver stiffness measured by magnetic resonance elastography as a risk factor for hepatocellular carcinoma: A preliminary case-control study. Eur. Radiol. 2013, 23, 156–162. [Google Scholar] [CrossRef]
- Ichikawa, S.; Motosugi, U.; Morisaka, H.; Sano, K.; Ichikawa, T.; Enomoto, N.; Matsuda, M.; Fujii, H.; Onishi, H. MRI-based staging of hepatic fibrosis: Comparison of intravoxel incoherent motion diffusion-weighted imaging with magnetic resonance elastography. J. Magn. Reson. Imaging 2015, 42, 204–210. [Google Scholar] [CrossRef] [PubMed]
- Le Bihan, D.; Ichikawa, S.; Motosugi, U. Diffusion and Intravoxel Incoherent Motion MR Imaging-based Virtual Elastography: A Hypothesis-generating Study in the Liver. Radiology 2017, 285, 609–619. [Google Scholar] [CrossRef] [PubMed]
- Le Bihan, D.; Breton, E.; Lallemand, D.; Grenier, P.; Cabanis, E.; Laval-Jeantet, M. MR imaging of intravoxel incoherent motions: Application to diffusion and perfusion in neurologic disorders. Radiology 1986, 161, 401–407. [Google Scholar] [CrossRef]
- Luciani, A.; Vignaud, A.; Cavet, M.; Tran Van Nhieu, J.; Mallat, A.; Ruel, L.; Laurent, A.; Deux, J.-F.; Brugieres, P.; Rahmouni, A. Liver Cirrhosis: Intravoxel Incoherent Motion MR Imaging—Pilot Study. Radiology 2008, 249, 891–899. [Google Scholar] [CrossRef] [PubMed]
- Lewin, M.; Poujol-Robert, A.; Boëlle, P.Y.; Wendum, D.; Lasnier, E.; Viallon, M.; Guéchot, J.; Hoeffel, C.; Arrivé, L.; Tubiana, J.-M.; et al. Diffusion-weighted magnetic resonance imaging for the assessment of fibrosis in chronic hepatitis C. Hepatology 2007, 46, 658–665. [Google Scholar] [CrossRef]
- Girometti, R.; Furlan, A.; Bazzocchi, M.; Soldano, F.; Isola, M.; Toniutto, P.; Bitetto, D.; Zuiani, C. Diffusion-weighted MRI in evaluating liver fibrosis: A feasibility study in cirrhotic patients. Radiol. Med. 2007, 112, 394–408. [Google Scholar] [CrossRef]
- Taouli, B.; Tolia, A.J.; Losada, M.; Babb, J.S.; Chan, E.S.; Bannan, M.A.; Tobias, H. Diffusion-weighted MRI for quantification of liver fibrosis: Preliminary experience. AJR Am. J. Roentgenol. 2007, 189, 799–806. [Google Scholar] [CrossRef] [PubMed]
- Tago, K.; Tsukada, J.; Sudo, N.; Shibutani, K.; Okada, M.; Abe, H.; Ibukuro, K.; Higaki, T.; Takayama, T. Comparison between CT volumetry and extracellular volume fraction using liver dynamic CT for the predictive ability of liver fibrosis in patients with hepatocellular carcinoma. Eur. Radiol. 2022, 32, 7555–7565. [Google Scholar] [CrossRef] [PubMed]
- Liu, P.; Li, P.; He, W.; Zhao, L.Q. Liver and spleen volume variations in patients with hepatic fibrosis. World J. Gastroenterol. 2009, 15, 3298–3302. [Google Scholar] [CrossRef]
- Le Bihan, D.; Breton, E.; Lallemand, D.; Aubin, M.L.; Vignaud, J.; Laval-Jeantet, M. Separation of diffusion and perfusion in intravoxel incoherent motion MR imaging. Radiology 1988, 168, 497–505. [Google Scholar] [CrossRef] [PubMed]
- Bae, J.S.; Lee, D.H.; Yoo, J.; Yi, N.J.; Lee, K.W.; Suh, K.-S.; Kim, H.; Lee, K.B. Association between spleen volume and the post-hepatectomy liver failure and overall survival of patients with hepatocellular carcinoma after resection. Eur. Radiol. 2021, 31, 2461–2471. [Google Scholar] [CrossRef]
- Ichida, F.T.T.; Omata, M. New Inuyama classification; new criteria for histological assessment of chronic hepatitis. Intern. Hepatol. Commun. 1996, 6, 112–119. [Google Scholar] [CrossRef]
- Koo, T.K.; Li, M.Y. A Guideline of Selecting and Reporting Intraclass Correlation Coefficients for Reliability Research. J. Chiropr. Med. 2016, 15, 155–163. [Google Scholar] [CrossRef]
- Yoon, J.H.; Lee, J.M.; Baek, J.H.; Shin, C.I.; Kiefer, B.; Han, J.K.; Choi, B.I. Evaluation of hepatic fibrosis using intravoxel incoherent motion in diffusion-weighted liver MRI. J. Comput. Assist. Tomogr. 2014, 38, 110–116. [Google Scholar] [CrossRef] [PubMed]
- Patel, J.; Sigmund, E.E.; Rusinek, H.; Oei, M.; Babb, J.S.; Taouli, B. Diagnosis of cirrhosis with intravoxel incoherent motion diffusion MRI and dynamic contrast-enhanced MRI alone and in combination: Preliminary experience. J. Magn. Reson. Imaging 2010, 31, 589–600. [Google Scholar] [CrossRef]
- Dyvorne, H.A.; Galea, N.; Nevers, T.; Fiel, M.I.; Carpenter, D.; Wong, E.; Orton, M.; de Oliveira, A.; Vachon, M.-L.; Sabb, J.S.; et al. Diffusion-weighted imaging of the liver with multiple b values: Effect of diffusion gradient polarity and breathing acquisition on image quality and intravoxel incoherent motion parameters—A pilot study. Radiology 2013, 266, 920–929. [Google Scholar] [CrossRef]
- Chandler, A.; Wei, W.; Anderson, E.F.; Herron, D.H.; Ye, Z.; Ng, C.S. Validation of motion correction techniques for liver CT perfusion studies. Br. J. Radiol. 2012, 85, e514–e522. [Google Scholar] [CrossRef]
- Bolognesi, M.; Merkel, C.; Sacerdoti, D.; Nava, V.; Gatta, A. Role of spleen enlargement in cirrhosis with portal hypertension. Dig. Liver Dis. 2002, 34, 144–150. [Google Scholar] [CrossRef] [PubMed]
- Belghiti, J.; Hiramatsu, K.; Benoist, S.; Massault, P.; Sauvanet, A.; Farges, O. Seven hundred forty-seven hepatectomies in the 1990s: An update to evaluate the actual risk of liver resection. J. Am. Coll. Surg. 2000, 191, 38–46. [Google Scholar] [CrossRef] [PubMed]
- Prassopoulos, P.; Daskalogiannaki, M.; Raissaki, M.; Hatjidakis, A.; Gourtsoyiannis, N. Determination of normal splenic volume on computed tomography in relation to age, gender and body habitus. Eur. Radiol. 1997, 7, 246–248. [Google Scholar] [CrossRef]
- Pickhardt, P.J.; Malecki, K.; Hunt, O.F.; Beaumont, C.; Kloke, J.; Ziemlewicz, T.J.; Lubner, M.G. Hepatosplenic volumetric assessment at MDCT for staging liver fibrosis. Eur. Radiol. 2017, 27, 3060–3068. [Google Scholar] [CrossRef] [PubMed]
- Son, J.H.; Lee, S.S.; Lee, Y.; Kang, B.K.; Sung, Y.S.; Jo, S.; Yu, E. Assessment of liver fibrosis severity using computed tomography-based liver and spleen volumetric indices in patients with chronic liver disease. Eur. Radiol. 2020, 30, 3486–3496. [Google Scholar] [CrossRef]
- Hashemi, S.A.; Alavian, S.M.; Gholami-Fesharaki, M. Assessment of transient elastography (FibroScan) for diagnosis of fibrosis in non-alcoholic fatty liver disease: A systematic review and meta-analysis. Casp. J. Intern. Med. 2016, 7, 242–252. [Google Scholar]
- Loomba, R.; Wolfson, T.; Ang, B.; Hooker, J.; Behling, C.; Peterson, M.; Valasek, M.; Lin, G.; Brenner, D.; Ehman, R.; et al. Magnetic resonance elastography predicts advanced fibrosis in patients with nonalcoholic fatty liver disease: A prospective study. Hepatology 2014, 60, 1920–1928. [Google Scholar] [CrossRef]
- Liu, H.-L.; Zhang, B.; Zhu, H.; Wang, Q.-B. Performance of magnetic resonance elastography and diffusion-weighted imaging for the staging of hepatic fibrosis: A meta-analysis. Hepatology 2012, 56, 239–247. [Google Scholar]
- Wai, C.T.; Greenson, J.K.; Fontana, R.J.; Kalbfleisch, J.D.; Marrero, J.A.; Conjeevaram, H.S.; Lok, A.S.F. A simple noninvasive index can predict both significant fibrosis and cirrhosis in patients with chronic hepatitis C. Hepatology 2003, 38, 518–526. [Google Scholar] [CrossRef]
- Chou, R.; Wasson, N. Blood tests to diagnose fibrosis or cirrhosis in patients with chronic hepatitis C virus infection: A systematic review. Ann. Intern. Med. 2013, 158, 807–820. [Google Scholar] [CrossRef]
- Vallet-Pichard, A.; Mallet, V.; Nalpas, B.; Verkarre, V.; Nalpas, A.; Dhalluin-Venier, V.; Fontaine, H.; Pol, S. FIB-4: An inexpensive and accurate marker of fibrosis in HCV infection. comparison with liver biopsy and fibrotest. Hepatology 2007, 46, 32–36. [Google Scholar] [CrossRef]
- Kamath, P.S.; Kim, W.R. The model for end-stage liver disease (MELD). Hepatology 2007, 45, 797–805. [Google Scholar] [CrossRef]
- Cucchetti, A.; Ercolani, G.; Vivarelli, M.; Cescon, M.; Ravaioli, M.; La Barba, G.; Zanello, M.; Grazi, G.L.; Pinna, A.D. Impact of model for end-stage liver disease (MELD) score on prognosis after hepatectomy for hepatocellular carcinoma on cirrhosis. Liver Transplant. 2006, 12, 966–971. [Google Scholar] [CrossRef]
- Pang, Q.; Zhou, S.; Liu, S.; Liu, H.; Lu, Z. Prognostic role of preoperative albumin-bilirubin score in posthepatectomy liver failure and mortality: A systematic review and meta-analysis. Updates Surg. 2022, 74, 821–831. [Google Scholar] [CrossRef]
- Au, K.P.; Chan, S.C.; Chok, K.S.H.; Chan, A.C.Y.; Cheung, T.T.; Ng, K.K.C.; Lo, C.M. Child-Pugh Parameters and Platelet Count as an Alternative to ICG Test for Assessing Liver Function for Major Hepatectomy. HPB Surg. 2017, 2017, 2948030. [Google Scholar] [CrossRef] [PubMed]
- Ishii, M.; Itano, O.; Shinoda, M.; Kitago, M.; Abe, Y.; Hibi, T.; Yagi, H.; Takeuchi, A.; Tsujikawa, H.; Abe, T.; et al. Pre-hepatectomy type IV collagen 7S predicts post-hepatectomy liver failure and recovery. World J. Gastroenterol. 2020, 26, 725–739. [Google Scholar] [CrossRef] [PubMed]
- Nanashima, A.; Yamaguchi, H.; Shibasaki, S.; Sawai, T.; Yamaguchi, E.; Yasutake, T.; Tsuji, T.; Jibiki, M.; Nakagoe, T.; Ayabe, H. Measurement of serum hyaluronic acid level during the perioperative period of liver resection for evaluation of functional liver reserve. J. Gastroenterol. Hepatol. 2001, 16, 1158–1163. [Google Scholar] [CrossRef] [PubMed]
- Chen, Z.; Ma, Y.; Cai, J.; Sun, M.; Zeng, L.; Wu, F.; Zhang, Y.; Hu, M. Serum biomarkers for liver fibrosis. Clin. Chim. Acta 2022, 537, 16–25. [Google Scholar] [CrossRef]
- Mak, K.M.; Mei, R. Basement Membrane Type IV Collagen and Laminin: An Overview of Their Biology and Value as Fibrosis Biomarkers of Liver Disease. Anat. Rec. 2017, 300, 1371–1390. [Google Scholar] [CrossRef]




| Parameter | T2 Weighted Image | Diffusion Weighted Image | Contrast Enhanced Image | 
|---|---|---|---|
| Discovery/Ingenia/Achieva | Discovery/Ingenia/Achieva | Discovery/Ingenia/Achieva | |
| Sequence | FSE/FSE/FSE | S-E E-P/S-E E-P/S-E E-P | 3D GE/3D GE/3D GE | 
| Fat supression | Yes/Yes/Yes | Yes/Yes/Yes | Yes/Yes/Yes | 
| Respiratory triggered | No/No/No | Yes/Yes/Yes | No/No/No | 
| Repetition time (msec) | 3500/2100/3200 | Variable/1600–2000/1500–2500 | 4.8/3.1/4.3 | 
| Echo time (msec) | 100/80/90 | 65/73/72 | 2.1/1.48/2.1 | 
| Flip angle (degrees) | 111/90/90 | 90/90/90 | 12/12/12 | 
| Parallel imaging factor | sense 2.5/CS2.7/sense 2.4 | ASSET 2/sense 2.0/sense 2.0 | ARC factor 2.0 2.0/CS3.0/sense 1.8 | 
| Field of view (cm) | 38/38/38 | 37/38/38 | 38/38/38 | 
| Matrix | 320 × 224/295 × 225/260 × 157 | 96 × 160/152 × 129/140 × 85 | 320 × 192/252 × 178/292 × 193 | 
| Section thickness (mm) | 7/7/7 | 7/6/6 | 4.4/4/5 | 
| Intersection gap (mm) | 1/1/1 | 1/1/1 | 0/0/0 | 
| Acquisition time | 18 s/18 s × 2/19 s | 3 min/1 min 50 s/1 min 30 s | 14 s/15 s/18 s | 
| b factor | 0, 1000/0, 1000/0, 1000 | 
| TR/TE (ms) | FA | Matrix | FOV(cm) | Thickness /Gap (mm) | Number of Slices | PI Factor | Number of Examitations | Aqusition Time | |
|---|---|---|---|---|---|---|---|---|---|
| Discovery | 9230/71.2 | 90 | 128 × 128 | 48.5 × 32.0 | 7/1 | 24 | (Asset) 2 | 1 (b = 0–600), 2 (b = 800) | 5 m 30 s | 
| Ingenia | 2030/70 | 90 | 116 × 92 | 32.0 × 25.3 | 6/1 | 35 | (sense) 2 | 2 | (-) | 
| Achieva | 2160/70 | 90 | 144 × 142 | 39.0 × 38.4 | 6/1.4 | 35 | (sense) 2 | 2 | (-) | 
| Sex, n (%) | |
| male | 49 (73.1%) | 
| female | 18 (26.9%) | 
| Age (year), mean (SD) | 70.3 (8.27) | 
| BMI (kg/m2), mean (SD) | 23.6 (3.79) | 
| Background liver disease, n (%) | |
| HBV | 15 (22.4%) | 
| HCV | 17 (25.4%) | 
| Alcoholic liver disease | 9 (13.4%) | 
| Unknown | 26 (38.8%) | 
| Child-Pugh score, n (%) | |
| 5 | 62 (92.5%) | 
| 6 | 4 (6.00%) | 
| 7 | 1 (1.50%) | 
| Pathological F grades, n (%) | |
| F0 | 10 (14.9%) | 
| F1 | 14 (20.9%) | 
| F2 | 18 (26.9%) | 
| F3 | 10 (14.9%) | 
| F4 | 15 (22.4%) | 
| Laboratory data | |
| Hct (%), mean (SD) | 39.7 (4.83) | 
| AST (IU/L), mean (SD) | 35.4 (22.9) | 
| ALT (IU/L), mean (SD) | 31.7 (25.7) | 
| Plt (109/L), mean (SD) | 160 (62.8) | 
| INR, mean (SD) | 1.01 (0.06) | 
| T-bil (mg/dL), mean (SD) | 0.69 (0.32) | 
| Alb (g/dL), mean (SD) | 4.17 (0.40) | 
| Cr (mg/dL), mean (SD) | 0.86 (0.28) | 
| ICG-R15 (%), mean (SD) | 13.6 (10.3) | 
| ALBI, mean (SD) | −2.86 (0.3) | 
| grade 1 *, n (%) | 48 (71.6) | 
| grade 2a *, n (%) | 16 (23.9) | 
| grade 2b *, n (%) | 3 (4.5) | 
| grade 3 *, n (%) | 0 (0) | 
| MELD, mean (SD) | 3.02 (3.36) | 
| APRI, mean (SD) | 0.41 (0.16) | 
| FIB-4, mean (SD) | 2.13 (1.35) | 
| F0–1 (n = 24) | F2 (n = 18) | F3 (n = 10) | |||||
|---|---|---|---|---|---|---|---|
| IVIM | |||||||
| D (×10−3 mm2/s) | R1 | 0.93 ± 0.35 | 1.03 ± 0.20 | 0.94 ± 0.18 | F4 (n = 15) | ρ | p value | 
| R2 | 0.88 ± 0.23 | 1.01 ± 0.17 | 0.99 ± 0.13 | ||||
| D* (×10−3 mm2/s) | R1 | 136.79 ± 113.89 | 136.97 ± 76.66 | 123.31 ± 92.77 | 1.01 ± 0.23 | 0.045 | 0.718 | 
| R2 | 118.53 ± 96.42 | 149.70 ± 225.26 | 126.52 ± 97.75 | 1.00 ± 0.14 | 0.21 | 0.087 | |
| ADC (×10−3 mm2/s) | R1 | 1.38 ± 0.23 | 1.32 ± 0.19 | 1.23 ± 0.20 | 131.32 ± 123.58 | −0.081 | 0.513 | 
| R2 | 1.25 ± 0.21 | 1.28 ± 0.17 | 1.18 ± 0.16 | 101.70 ± 47.65 | 0.047 | 0.708 | |
| f (%) | R1 | 31.86 ± 8.78 | 22.75 ± 7.97 | 22.32 ± 12.32 | 1.25 ± 0.19 | −0.26 | 0.034 | 
| R2 | 26.73 ± 9.81 | 21.49 ± 6.05 | 17.02 ± 5.95 | 1.25 ± 0.13 | −0.079 | 0.524 | |
| CT Volumetry | 21.50 ± 8.82 | −0.42 | <0.001 | ||||
| SV/BSA (mL/m2) | R1 | 92.63 ± 39.18 | 91.69 ± 28.85 | 155.27 ± 95.57 | 20.80 ± 7.85 | −0.328 | 0.007 | 
| Parameter | ICC [95% CI] | 
|---|---|
| D | 0.471 [0.262–0.638] | 
| D* | 0.099 [−0.145–0.331] | 
| ADC | 0.621 [0.428–0.756] | 
| f | 0.602 [0.402–0.742] | 
| Variable | SV/BSA (R1) | IVIM, f (R1) | IVIM, f (R2) | 
|---|---|---|---|
| F0–1 vs. F2–4 | |||
| Optimal cutoff value | 98.26 | 23.7 | 22.95 | 
| Sensitivity [%] | 0.628 | 0.744 | 0.744 | 
| Specificity [%] | 0.625 | 0.792 | 0.625 | 
| AUC (95%CI) | 0.628 (0.489–0.767) | 0.790 (0.678–0.902) | 0.705 (0.571–0.840) | 
| p value (SV/BSA vs. f) | (-) | 0.0968 | 0.445 | 
| F0–2 vs. F3–4 | |||
| Optimal cutoff value | 189.87 | 25.6 | 15.45 | 
| Sensitivity [%] | 0.36 | 0.8 | 0.44 | 
| Specificity [%] | 1 | 0.548 | 0.905 | 
| AUC (95%CI) | 0.698 (0.556–0.841) | 0.680 (0.542–0.818) | 0.683 (0.548–0.819) | 
| p value (SV/BSA vs. f) | (-) | 0.862 | 0.872 | 
| F0–3 vs. F4 | |||
| Optimal cutoff value | 137.86 | 28.7 | 15.45 | 
| Sensitivity [%] | 0.533 | 0.933 | 0.4 | 
| Specificity [%] | 0.865 | 0.385 | 0.827 | 
| AUC (95%CI) | 0.649 (0.453–0.845) | 0.620 (0.460–0.779) | 0.575 (0.400–0.750) | 
| p value (SV/BSA vs. f) | (-) | 0.862 (0.655–1.000) | 0.862 (0.655–1.000) | 
| Disclaimer/Publisher’s Note: The statements, opinions and data contained in all publications are solely those of the individual author(s) and contributor(s) and not of MDPI and/or the editor(s). MDPI and/or the editor(s) disclaim responsibility for any injury to people or property resulting from any ideas, methods, instructions or products referred to in the content. | 
© 2023 by the authors. Licensee MDPI, Basel, Switzerland. This article is an open access article distributed under the terms and conditions of the Creative Commons Attribution (CC BY) license (https://creativecommons.org/licenses/by/4.0/).
Share and Cite
Arakane, T.; Okada, M.; Nakazawa, Y.; Tago, K.; Yoshikawa, H.; Mizuno, M.; Abe, H.; Higaki, T.; Okamura, Y.; Takayama, T. Comparison between Intravoxel Incoherent Motion and Splenic Volumetry to Predict Hepatic Fibrosis Staging in Preoperative Patients. Diagnostics 2023, 13, 3200. https://doi.org/10.3390/diagnostics13203200
Arakane T, Okada M, Nakazawa Y, Tago K, Yoshikawa H, Mizuno M, Abe H, Higaki T, Okamura Y, Takayama T. Comparison between Intravoxel Incoherent Motion and Splenic Volumetry to Predict Hepatic Fibrosis Staging in Preoperative Patients. Diagnostics. 2023; 13(20):3200. https://doi.org/10.3390/diagnostics13203200
Chicago/Turabian StyleArakane, Takayuki, Masahiro Okada, Yujiro Nakazawa, Kenichiro Tago, Hiroki Yoshikawa, Mariko Mizuno, Hayato Abe, Tokio Higaki, Yukiyasu Okamura, and Tadatoshi Takayama. 2023. "Comparison between Intravoxel Incoherent Motion and Splenic Volumetry to Predict Hepatic Fibrosis Staging in Preoperative Patients" Diagnostics 13, no. 20: 3200. https://doi.org/10.3390/diagnostics13203200
APA StyleArakane, T., Okada, M., Nakazawa, Y., Tago, K., Yoshikawa, H., Mizuno, M., Abe, H., Higaki, T., Okamura, Y., & Takayama, T. (2023). Comparison between Intravoxel Incoherent Motion and Splenic Volumetry to Predict Hepatic Fibrosis Staging in Preoperative Patients. Diagnostics, 13(20), 3200. https://doi.org/10.3390/diagnostics13203200
 
        



 
       