Unraveling the Interplay of KRAS, NRAS, BRAF, and Micro-Satellite Instability in Non-Metastatic Colon Cancer: A Systematic Review
Abstract
1. Introduction
2. Materials and Methods
2.1. Protocol and Registration
2.2. Eligibility Criteria and Research Question
2.3. Search Strategy
2.4. Data Extraction
2.5. Primary and Secondary Outcomes
2.6. Quality Assessment
3. Results
3.1. Effect of Mutations in DFS, OS, and SAR
3.2. Pooled Analysis and RCTs
3.3. Observational Studies
4. Discussion
4.1. MSI Research and Clinical Implications
4.2. BRAF and RAS Mutations: Comparative Analysis with Other Studies
4.3. Strength and Limitations
5. Conclusions
Supplementary Materials
Author Contributions
Funding
Institutional Review Board Statement
Informed Consent Statement
Data Availability Statement
Conflicts of Interest
References
- Rawla, P.; Sunkara, T.; Barsouk, A. Epidemiology of colorectal cancer: Incidence, mortality, survival, and risk factors. Prz. Gastroenterol. 2019, 14, 89–103. [Google Scholar] [CrossRef] [PubMed]
- National Cancer Institute. Cancer Stat Facts: Colorectal Cancer. Available online: https://seer.cancer.gov/statfacts/html/colorect.html (accessed on 14 December 2023).
- Kheirelseid, E.A.; Miller, N.; Chang, K.H.; Curran, C.; Hennessey, E.; Sheehan, M.; Kerin, M.J. Mismatch repair protein expression in colorectal cancer. J. Gastrointest. Oncol. 2013, 4, 397–408. [Google Scholar] [PubMed]
- Thibodeau, S.N.; Bren, G.; Schaid, D. Microsatellite instability in cancer of the proximal colon. Science 1993, 260, 816–819. [Google Scholar] [CrossRef] [PubMed]
- Thibodeau, S.N.; French, A.J.; Cunningham, J.M.; Tester, D.; Burgart, L.J.; Roche, P.C.; McDonnell, S.K.; Schaid, D.J.; Vockley, C.W.; Michels, V.V.; et al. Microsatellite instability in colorectal cancer: Different mutator phenotypes and the principal involvement of hMLH1. Cancer Res. 1998, 58, 1713–1718. [Google Scholar] [PubMed]
- Roth, A.D.; Tejpar, S.; Delorenzi, M.; Yan, P.; Fiocca, R.; Klingbiel, D.; Dietrich, D.; Biesmans, B.; Bodoky, G.; Barone, C.; et al. Prognostic role of KRAS and BRAF in stage II and III resected colon cancer: Results of the translational study on the PETACC-3, EORTC 40993, SAKK 60-00 trial. J. Clin. Oncol. 2010, 28, 466–474. [Google Scholar] [CrossRef] [PubMed]
- Popat, S.; Hubner, R.; Houlston, R.S. Systematic review of microsatellite instability and colorectal cancer prognosis. J. Clin. Oncol. 2005, 23, 609–618. [Google Scholar] [CrossRef]
- Tejpar, S.; Bosman, F.; Delorenzi, M.; Fiocca, R.; Yan, P.; Klingbiel, D.; Dietrich, D.; Van Cutsem, E.; Labianca, R.; Roth, A. Microsatellite instability (MSI) in stage II and III colon cancer treated with 5FU-LV or 5FU-LV and irinotecan (PETACC 3-EORTC 40993-SAKK 60/00 trial). J. Clin. Oncol. 2009, 27, 4001. [Google Scholar] [CrossRef]
- Gryfe, R.; Kim, H.; Hsieh, E.T.; Aronson, M.D.; Holowaty, E.J.; Bull, S.B.; Redston, M.; Gallinger, S. Tumor microsatellite instability and clinical outcome in young patients with colorectal cancer. N. Engl. J. Med. 2000, 342, 69–77. [Google Scholar] [CrossRef] [PubMed]
- Ribic, C.M.; Sargent, D.J.; Moore, M.J.; Thibodeau, S.N.; French, A.J.; Goldberg, R.M.; Hamilton, S.R.; Laurent-Puig, P.; Gryfe, R.; Shepherd, L.E.; et al. Tumor microsatellite-instability status as a predictor of benefit from fluorouracil-based adjuvant chemotherapy for colon cancer. N. Engl. J. Med. 2003, 349, 247–257. [Google Scholar] [CrossRef]
- Bertagnolli, M.M.; Redston, M.; Compton, C.C.; Niedzwiecki, D.; Mayer, R.J.; Goldberg, R.M.; Colacchio, T.A.; Saltz, L.B.; Warren, R.S. Microsatellite instability and loss of heterozygosity at chromosomal location 18q: Prospective evaluation of biomarkers for stages II and III colon cancer--a study of CALGB 9581 and 89803. J. Clin. Oncol. 2011, 29, 3153–3162. [Google Scholar] [CrossRef]
- Sargent, D.J.; Marsoni, S.; Monges, G.; Thibodeau, S.N.; Labianca, R.; Hamilton, S.R.; French, A.J.; Kabat, B.; Foster, N.R.; Torri, V.; et al. Defective mismatch repair as a predictive marker for lack of efficacy of fluorouracil-based adjuvant therapy in colon cancer. J. Clin. Oncol. 2010, 28, 3219–3226. [Google Scholar] [CrossRef] [PubMed]
- Sinicrope, F.A.; Foster, N.R.; Thibodeau, S.N.; Marsoni, S.; Monges, G.; Labianca, R.; Kim, G.P.; Yothers, G.; Allegra, C.; Moore, M.J.; et al. DNA mismatch repair status and colon cancer recurrence and survival in clinical trials of 5-fluorouracil-based adjuvant therapy. J. Natl. Cancer Inst. 2011, 103, 863–875. [Google Scholar] [CrossRef]
- Verhoeff, S.R.; Van Erning, F.N.; Lemmens, V.E.; De Wilt, J.H.; Pruijt, J.F. Adjuvant chemotherapy is not associated with improved survival for all high-risk factors in stage II colon cancer. Int. J. Cancer 2016, 139, 187–193. [Google Scholar] [CrossRef] [PubMed]
- Kawakami, H.; Zaanan, A.; Sinicrope, F.A. Implications of mismatch repair-deficient status on management of early stage colorectal cancer. J. Gastrointest. Oncol. 2015, 6, 676–684. [Google Scholar]
- Argilés, G.; Tabernero, J.; Labianca, R.; Hochhauser, D.; Salazar, R.; Iveson, T.; Laurent-Puig, P.; Quirke, P.; Yoshino, T.; Taieb, J.; et al. Localised colon cancer: ESMO Clinical Practice Guidelines for diagnosis, treatment and follow-up. Ann. Oncol. 2020, 31, 1291–1305. [Google Scholar] [CrossRef] [PubMed]
- Kim, J.E.; Hong, Y.S.; Kim, H.J.; Kim, K.P.; Lee, J.L.; Park, S.J.; Lim, S.B.; Park, I.J.; Kim, C.W.; Yoon, Y.S.; et al. Defective Mismatch Repair Status was not Associated with DFS and OS in Stage II Colon Cancer Treated with Adjuvant Chemotherapy. Ann. Surg. Oncol. 2015, 22, S630–S637. [Google Scholar] [CrossRef] [PubMed]
- Sinicrope, F.A.; Mahoney, M.R.; Smyrk, T.C.; Thibodeau, S.N.; Warren, R.S.; Bertagnolli, M.M.; Nelson, G.D.; Goldberg, R.M.; Sargent, D.J.; Alberts, S.R. Prognostic impact of deficient DNA mismatch repair in patients with stage III colon cancer from a RCT of FOLFOX-based adjuvant chemotherapy. J. Clin. Oncol. 2013, 31, 3664–3672. [Google Scholar] [CrossRef]
- Lanza, G.; Gafà, R.; Santini, A.; Maestri, I.; Guerzoni, L.; Cavazzini, L. Immunohistochemical test for MLH1 and MSH2 expression predicts clinical outcome in stage II and III colorectal cancer patients. J. Clin. Oncol. 2006, 24, 2359–2367. [Google Scholar] [CrossRef] [PubMed]
- Klingbiel, D.; Saridaki, Z.; Roth, A.D.; Bosman, F.T.; Delorenzi, M.; Tejpar, S. Prognosis of stage II and III colon cancer treated with adjuvant 5-fluorouracil or FOLFIRI in relation to microsatellite status: Results of the PETACC-3 trial. Ann. Oncol. 2015, 26, 126–132. [Google Scholar] [CrossRef]
- Cerottini, J.P.; Caplin, S.; Saraga, E.; Givel, J.C.; Benhattar, J. The type of K-ras mutation determines prognosis in colorectal cancer. Am. J. Surg. 1998, 175, 198–202. [Google Scholar] [CrossRef]
- Andreyev, H.J.; Norman, A.R.; Cunningham, D.; Oates, J.R.; Clarke, P.A. Kirsten ras mutations in patients with colorectal cancer: The multicenter “RASCAL” study. J. Natl. Cancer Inst. 1998, 90, 675–684. [Google Scholar] [CrossRef] [PubMed]
- Samowitz, W.S.; Curtin, K.; Schaffer, D.; Robertson, M.; Leppert, M.; Slattery, M.L. Relationship of Ki-ras mutations in colon cancers to tumor location, stage, and survival: A population-based study. Cancer Epidemiol. Biomark. Prev. 2000, 9, 1193–1197. [Google Scholar]
- Yoon, H.H.; Tougeron, D.; Shi, Q.; Alberts, S.R.; Mahoney, M.R.; Nelson, G.D.; Nair, S.G.; Thibodeau, S.N.; Goldberg, R.M.; Sargent, D.J.; et al. KRAS codon 12 and 13 mutations in relation to DFS in BRAF-wild-type stage III colon cancers from an adjuvant chemotherapy trial (N0147 alliance). Clin. Cancer Res. 2014, 20, 3033–3043. [Google Scholar] [CrossRef] [PubMed]
- Modest, D.P.; Ricard, I.; Heinemann, V.; Hegewisch-Becker, S.; Schmiegel, W.; Porschen, R.; Stintzing, S.; Graeven, U.; Arnold, D.; Von Weikersthal, L.F.; et al. Outcome according to KRAS-, NRAS- and BRAF-mutation as well as KRAS mutation variants: Pooled analysis of five RCTs in metastatic colorectal cancer by the AIO colorectal cancer study group. Ann. Oncol. 2016, 27, 1746–1753. [Google Scholar] [CrossRef]
- Taieb, J.; Zaanan, A.; Le Malicot, K.; Julié, C.; Blons, H.; Mineur, L.; Bennouna, J.; Tabernero, J.; Mini, E.; Folprecht, G.; et al. Prognostic Effect of BRAF and KRAS Mutations in Patients with Stage III Colon Cancer Treated with Leucovorin, Fluorouracil, and Oxaliplatin with or without Cetuximab: A Post Hoc Analysis of the PETACC-8 Trial. JAMA Oncol. 2016, 2, 643–653. [Google Scholar] [CrossRef]
- Taieb, J.; Le Malicot, K.; Shi, Q.; Penault-Llorca, F.; Bouché, O.; Tabernero, J.; Mini, E.; Goldberg, R.M.; Folprecht, G.; Luc Van Laethem, J.; et al. Prognostic Value of BRAF and KRAS Mutations in MSI and MSS Stage III Colon Cancer. J. Natl. Cancer Inst. 2016, 109, djw272. [Google Scholar] [CrossRef]
- Seppälä, T.T.; Böhm, J.P.; Friman, M.; Lahtinen, L.; Väyrynen, V.M.; Liipo, T.K.; Ristimäki, A.P.; Kairaluoma, M.V.; Kellokumpu, I.H.; Kuopio, T.H.; et al. Combination of microsatellite instability and BRAF mutation status for subtyping colorectal cancer. Br. J. Cancer 2015, 112, 1966–1975. [Google Scholar] [CrossRef] [PubMed]
- Missiaglia, E.; Jacobs, B.; D’Ario, G.; Di Narzo, A.F.; Soneson, C.; Budinska, E.; Popovici, V.; Vecchione, L.; Gerster, S.; Yan, P.; et al. Distal and proximal colon cancers differ in terms of molecular, pathological, and clinical features. Ann. Oncol. 2014, 25, 1995–2001. [Google Scholar] [CrossRef] [PubMed]
- Chalabi, M.; Fanchi, L.F.; Dijkstra, K.K.; Van den Berg, J.G.; Aalbers, A.G.; Sikorska, K.; Lopez-Yurda, M.; Grootscholten, C.; Beets, G.L.; Snaebjornsson, P.; et al. Neoadjuvant immunotherapy leads to pathological responses in MMR-proficient and MMR-deficient early-stage colon cancers. Nat. Med. 2020, 26, 566–576. [Google Scholar] [CrossRef]
- Hu, H.; Kang, L.; Zhang, J.; Wu, Z.; Wang, H.; Huang, M.; Lan, P.; Wu, X.; Wang, C.; Cao, W.; et al. Neoadjuvant PD-1 blockade with toripalimab, with or without celecoxib, in mismatch repair-deficient or microsatellite instability-high, locally advanced, colorectal cancer (PICC): A single-centre, parallel-group, non-comparative, randomised, phase 2 trial. Lancet Gastroenterol. Hepatol. 2022, 7, 38–48. [Google Scholar] [CrossRef]
- Ludford, K.; Ho, W.J.; Thomas, J.V.; Raghav, K.P.S.; Murphy, M.B.; Fleming, N.D.; Lee, M.S.; Smaglo, B.G.; You, Y.N.; Tillman, M.M.; et al. Neoadjuvant Pembrolizumab in Localized Microsatellite Instability High/Deficient Mismatch Repair Solid Tumors. J. Clin. Oncol. 2023, 41, 2181–2190. [Google Scholar] [CrossRef] [PubMed]
- André, T.; Cohen, R.; Salem, M.E. Immune Checkpoint Blockade Therapy in Patients with Colorectal Cancer Harboring Microsatellite Instability/Mismatch Repair Deficiency in 2022. Am. Soc. Clin. Oncol. Educ. Book 2022, 42, 233–241. [Google Scholar] [CrossRef] [PubMed]
- Formica, V.; Sera, F.; Cremolini, C.; Riondino, S.; Morelli, C.; Arkenau, H.T.; Roselli, M. KRAS and BRAF Mutations in Stage II and III Colon Cancer: A Systematic Review and Meta-Analysis. J. Natl. Cancer Inst. 2022, 114, 517–527. [Google Scholar] [CrossRef] [PubMed]
- Stang, A. Critical evaluation of the Newcastle-Ottawa scale for the assessment of the quality of nonrandomized studies in meta-analyses. Eur. J. Epidemiol. 2010, 25, 603–605. [Google Scholar] [CrossRef] [PubMed]
- Taieb, J.; Sinicrope, F.A.; Pederson, L.; Lonardi, S.; Alberts, S.R.; George, T.J.; Yothers, G.; Van Cutsem, E.; Saltz, L.; Ogino, S.; et al. Different prognostic values of KRAS exon 2 submutations and BRAF V600E mutation in microsatellite stable (MSS) and unstable (MSI) stage III colon cancer: An ACCENT/IDEA pooled analysis of seven trials. Ann. Oncol. 2023, 34, 1025–1034. [Google Scholar] [CrossRef] [PubMed]
- Domingo, E.; Camps, C.; Kaisaki, P.J.; Parsons, M.J.; Mouradov, D.; Pentony, M.M.; Makino, S.; Palmieri, M.; Ward, R.L.; Hawkins, N.J.; et al. Mutation burden and other molecular markers of prognosis in colorectal cancer treated with curative intent: Results from the QUASAR 2 clinical trial and an Australian community-based series. Lancet Gastroenterol. Hepatol. 2018, 3, 635–643. [Google Scholar] [CrossRef] [PubMed] [PubMed Central]
- Hutchins, G.; Southward, K.; Handley, K.; Magill, L.; Beaumont, C.; Stahlschmidt, J.; Richman, S.; Chambers, P.; Seymour, M.; Kerr, D.; et al. Value of mismatch repair, KRAS, and BRAF mutations in predicting recurrence and benefits from chemotherapy in colorectal cancer. J. Clin. Oncol. 2011, 29, 1261–1270, Erratum in J. Clin. Oncol. 2011, 29, 2949. [Google Scholar] [CrossRef] [PubMed]
- Maestro, M.L.; Vidaurreta, M.; Sanz-Casla, M.T.; Rafael, S.; Veganzones, S.; Martínez, A.; Aguilera, C.; Herranz, M.D.; Cerdán, J.; Arroyo, M. Role of the BRAF mutations in the microsatellite instability genetic pathway in sporadic colorectal cancer. Ann. Surg. Oncol. 2007, 14, 1229–1236. [Google Scholar] [CrossRef] [PubMed]
- Batur, S.; Vuralli Bakkaloglu, D.; Kepil, N.; Erdamar, S. Microsatellite instability and B-type Raf proto-oncogene mutation in colorectal cancer: Clinicopathological characteristics and effects on survival. Bosn. J. Basic Med. Sci. 2016, 16, 254–260. [Google Scholar] [CrossRef] [PubMed] [PubMed Central]
- de Cuba, E.M.; Snaebjornsson, P.; Heideman, D.A.; van Grieken, N.C.; Bosch, L.J.; Fijneman, R.J.; Belt, E.; Bril, H.; Stockmann, H.B.; Hooijberg, E.; et al. Prognostic value of BRAF and KRAS mutation status in stage II and III microsatellite instable colon cancers. Int. J. Cancer 2016, 138, 1139–1145. [Google Scholar] [CrossRef] [PubMed]
- Kadowaki, S.; Kakuta, M.; Takahashi, S.; Takahashi, A.; Arai, Y.; Nishimura, Y.; Yatsuoka, T.; Ooki, A.; Yamaguchi, K.; Matsuo, K.; et al. Prognostic value of KRAS and BRAF mutations in curatively resected colorectal cancer. World J. Gastroenterol. 2015, 21, 1275–1283. [Google Scholar] [CrossRef] [PubMed] [PubMed Central]
- Nakaji, Y.; Oki, E.; Nakanishi, R.; Ando, K.; Sugiyama, M.; Nakashima, Y.; Yamashita, N.; Saeki, H.; Oda, Y.; Maehara, Y. Prognostic value of BRAF V600E mutation and microsatellite instability in Japanese patients with sporadic colorectal cancer. J. Cancer Res. Clin. Oncol. 2017, 143, 151–160. [Google Scholar] [CrossRef] [PubMed]
- Ogino, S.; Shima, K.; Meyerhardt, J.A.; McCleary, N.J.; Ng, K.; Hollis, D.; Saltz, L.B.; Mayer, R.J.; Schaefer, P.; Whittom, R.; et al. Predictive and prognostic roles of BRAF mutation in stage III colon cancer: Results from intergroup trial CALGB 89803. Clin. Cancer Res. 2012, 18, 890–900. [Google Scholar] [CrossRef] [PubMed] [PubMed Central]
- Gavin, P.G.; Colangelo, L.H.; Fumagalli, D.; Tanaka, N.; Remillard, M.Y.; Yothers, G.; Kim, C.; Taniyama, Y.; Kim, S.I.; Choi, H.J.; et al. Mutation profiling and microsatellite instability in stage II and III colon cancer: An assessment of their prognostic and oxaliplatin predictive value. Clin. Cancer Res. 2012, 18, 6531–6541. [Google Scholar] [CrossRef] [PubMed]
- Des Guetz, G.; Schischmanoff, O.; Nicolas, P.; Perret, G.Y.; Morere, J.F.; Uzzan, B. Does microsatellite instability predict the efficacy of adjuvant chemotherapy in colorectal cancer? A systematic review with meta-analysis. Eur. J. Cancer 2009, 45, 1890–1896. [Google Scholar] [CrossRef] [PubMed]
- Cercek, A.; Dos Santos Fernandes, G.; Roxburgh, C.S.; Ganesh, K.; Ng, S.; Sanchez-Vega, F.; Yaeger, R.; Segal, N.H.; Reidy-Lagunes, D.L.; Varghese, A.M.; et al. Mismatch Repair-Deficient Rectal Cancer and Resistance to Neoadjuvant Chemotherapy. Clin. Cancer Res. 2020, 26, 3271–3279. [Google Scholar] [CrossRef] [PubMed]
- Lau, D.; Kalaitzaki, E.; Church, D.N.; Pandha, H.; Tomlinson, I.; Annels, N.; Gerlinger, M.; Sclafani, F.; Smith, G.; Begum, R.; et al. Rationale and design of the POLEM trial: Avelumab plus fluoropyrimidine-based chemotherapy as adjuvant treatment for stage III mismatch repair deficient or POLE exonuclease domain mutant colon cancer: A phase III randomised study. ESMO Open 2020, 5, e000638. [Google Scholar] [CrossRef] [PubMed]
- National Cancer Institute: Combination Chemotherapy with or without Atezolizumab in Treating Patients with Stage III Colon Cancer and Deficient DNA Mismatch Repair. Available online: https://clinicaltrials.gov/study/NCT02912559 (accessed on 14 December 2023).
- Cercek, A.; Braghiroli, M.I.; Chou, J.F.; Hechtman, J.F.; Kemeny, N.; Saltz, L.; Capanu, M.; Yaeger, R. Clinical Features and Outcomes of Patients with Colorectal Cancers Harboring NRAS Mutations. Clin. Cancer Res. 2017, 23, 4753–4760. [Google Scholar] [CrossRef] [PubMed]
- Siddiqui, A.D.; Piperdi, B. KRAS mutation in colon cancer: A marker of resistance to EGFR-I therapy. Ann. Surg. Oncol. 2010, 17, 1168–1176. [Google Scholar] [CrossRef]
- Gonsalves, W.I.; Mahoney, M.R.; Sargent, D.J.; Nelson, G.D.; Alberts, S.R.; Sinicrope, F.A.; Goldberg, R.M.; Limburg, P.J.; Thibodeau, S.N.; Grothey, A.; et al. Patient and tumor characteristics and BRAF and KRAS mutations in colon cancer, NCCTG/Alliance N0147. J. Natl. Cancer Inst. 2014, 106, dju106. [Google Scholar] [CrossRef]
- Samowitz, W.S.; Sweeney, C.; Herrick, J.; Albertsen, H.; Levin, T.R.; Murtaugh, M.A.; Wolff, R.K.; Slattery, M.L. Poor survival associated with the BRAF V600E mutation in microsatellite-stable colon cancers. Cancer Res. 2005, 65, 6063–6069. [Google Scholar] [CrossRef] [PubMed]
- Yokota, T.; Ura, T.; Shibata, N.; Takahari, D.; Shitara, K.; Nomura, M.; Kondo, C.; Mizota, A.; Utsunomiya, S.; Muro, K.; et al. BRAF mutation is a powerful prognostic factor in advanced and recurrent colorectal cancer. Br. J. Cancer 2011, 104, 856–862. [Google Scholar] [CrossRef] [PubMed]
- Edin, S.; Gylling, B.; Li, X.; Stenberg, Å.; Löfgren-Burström, A.; Zingmark, C.; van Guelpen, B.; Ljuslinder, I.; Ling, A.; Palmqvist, R. Opposing roles by KRAS and BRAF mutation on immune cell infiltration in colorectal cancer—Possible implications for immunotherapy. Br. J. Cancer 2024, 130, 143–150. [Google Scholar] [CrossRef] [PubMed] [PubMed Central]
- Morafraile, E.C.; Saiz-Ladera, C.; Nieto-Jiménez, C.; Győrffy, B.; Nagy, A.; Velasco, G.; Pérez-Segura, P.; Ocaña, A. Mapping Immune Correlates and Surfaceome Genes in BRAF Mutated Colorectal Cancers. Curr. Oncol. 2023, 30, 2569–2581. [Google Scholar] [CrossRef] [PubMed]





| Author, Year | Study Type | Sample n | MSI n (% Total) | Sex (MSI) (%M) | Stage I MSI (%) | Stage II MSI (%) | Stage III MSI (%) | KRAS MSI (%) | BRAF MSI (%) | Adjuvant Treatment | Primary Outcome of the Study |
|---|---|---|---|---|---|---|---|---|---|---|---|
| Hutchins G, 2011 [38] | RCT | 1913 | 218 (11%) | 107 (49%) | 0 (0%) | 205 (94%) | 10 (4.6%) | 31 (14.2%) | 58 (26.6%) | Observation vs. 5FU/LV | Risk of recurrence RR dMMR = 0.53 CI (0.4–0.7) |
| Taieb J, 2023 [36] | Pooled analysis RCTs | 8460 | 968 (11.4%) | 455 (47%) | 0 (0%) | 0 (0%) | 968 (100%) | 175 (18%) | 393 (40%) | 5 FU, FOLFOX, CAPOX, FOLFOX- BEVA, FOLFOX-CET, FOLFIRI CET | TTR, OS, and SAR significantly shorter in patients with mutKRAS and mutBRAF tumors. |
| Domingo E, 2018 [37] | Mixed analysis * | 977 | 244 (14%) | 105 (43%) | 0 (0%) | 111 (45%) | 133 (55%) | 36 (15%) | 116 (48%) | CAPE, CAPE-BEV, 5FU | mutKRAS, mutBRAF, and TP53, and lower mutation burden were all independently associated with poor prognosis, whereas MSI was not |
| Maestro M L, 2006 [39] | Obs | 351 | 24 (6.9%) | 9 (4.9%) | 12 (6.7%) | 8 (8.8%) | 4 (5.0%) | NA | 9 (37.5%) | 13 (7.2%) | MSI independent prognostic value (OS) |
| Batur S, 2016 [40] | Obs | 145 | 28 (19.3%) | 8 (28.6%) | NA | NA | 11 (40.7%) | NA | 7 (25%) | NA | MSI is not related to poor OS; negative wtBRAF status is related to better OS (p = 0.048) |
| De Cuba E M V, 2016 [41] | Obs | 143 | 143 (100%) | 62 (43%) | 0 (0%) | 85 (59%) | 58 (41%) | 23 (16%) | 73 (51%) | 36 (25%) CAPE, CAPE-BEV, 5FU | mutKRAS and mutBRAf poorer prognosis in MSI (p = 0.04) |
| Kadowaki S, 2015 [42] | Obs | 812 | 144 (17.7%) | NA | NA | NA | NA | 22 (15.5%) | 24 (16.6%) | NA | mutKRASand mutBRAF poorer DFS and OS |
| Nakaji Y, 2017 [43] | Obs | 472 | 44 (9.3%) | 21 (47.7) | NA | NA | 17 (38.6) | NA | 17 (38.6%) | NA | Poorer OS in mutBRAF (p = 0.04). In MSI, no OS difference in wtBRAF vs. mutBRAF (p = 0.4655) |
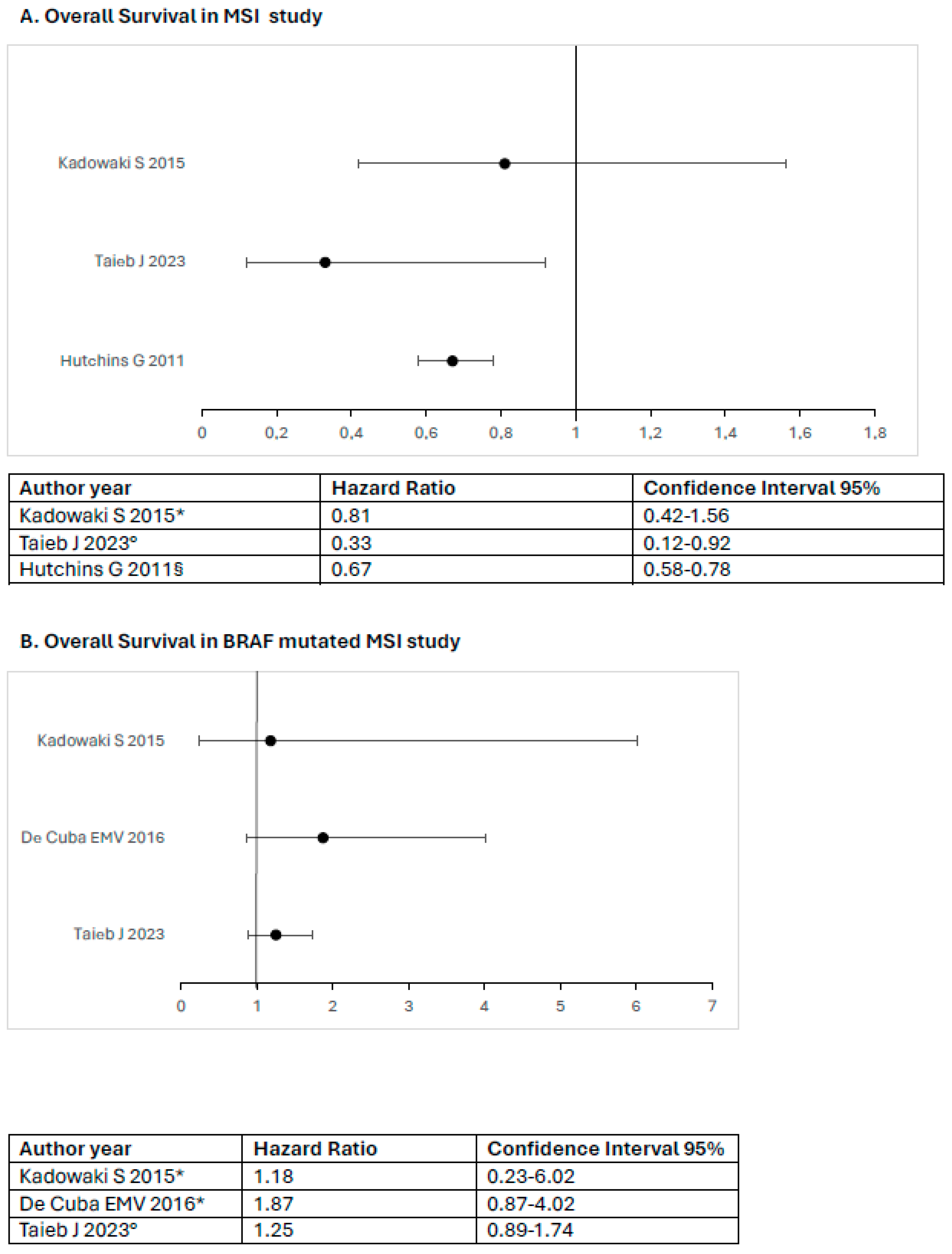
| Author, Year | OS MSI | OS MSI mutBRAF | OS MSI mutKRAS | DFS-PFS MSI | DFS-PFS MSI mutBRAF | DFS-PFS MSI mutKRAS | SAR mutBRAF | SAR mutKRAS |
|---|---|---|---|---|---|---|---|---|
| Hutchins G, 2011 [38] | NA | NA | NA | NA | RR = 1.32 CI (0.8–2.16) * | NA | NA | NA |
| Taieb J, 2023 [36] | HR = 0.67 CI (0.58–0.78) vs. MSS ° | HR = 1.25 CI (0.89–1.74) ° | HR = 1.24 CI (0.84–1.83) ° | NA | HR = 1.04 CI (0.75–1.44) ° | HR = 1.01 CI (0.69–1.47) ° | HR = 1.99 CI (1.30–3.03) ° | HR 1.81 CI (1.11–2.93) ° |
| Domingo E, 2018 [37] | NA | NA | NA | HR = 0.90 CI (0.56–1.45) ° | HR = 0.55 CI (0.35–0.90) (vs all wild type, MSS) ° | HR = 0.28 CI (0.09–0.89) (vs all wild type, MSS) ° | NA | NA |
| Maestro M L. 2006 [39] | HR = 0.33 CI (0.12–0.92) vs. MSI low * | 50% (mut) vs. 84% (wt) at 43 months p = 1 * | NA | NA | NA | NA | NA | NA |
| Batur S, 2016 [40] | 32 mean months CI (26.7–37.4) * | 14.4 ± 7.6 months p = 0.001 vs. wtBRAF * | NA | NA | NA | NA | NA | NA |
| De Cuba E M V, 2016 [41] | Stage II: 82% at 5 years Stage III: 71% at 5 years * | HR = 1.87 CI (0.87–4.02) * | HR = 1.61 CI (0.6–4.33) * | NA | NA | NA | NA | NA |
| Kadowaki S, 2015 [42] | HR = 0.81 CI (0.42–1.56) ° | HR = 1.18 CI (0.23–6.02) ° | HR = 1.39 CI (0.33–5.78) ° | HR = 0.64 CI (0.35–1.16) ° | HR = 2.46 CI (0.49–12.4) ° | HR = 1.34 CI (0.34–5.24) ° | NA | NA |
| Nakaji Y, 2017 [43] | p-value = 0.4429; HR = 1.423 * | p-value = 0.4655; HR = 0.6443 * | NA | p-value = 0.2626 HR = 1.57 * | NA | NA | NA | NA |
Disclaimer/Publisher’s Note: The statements, opinions and data contained in all publications are solely those of the individual author(s) and contributor(s) and not of MDPI and/or the editor(s). MDPI and/or the editor(s) disclaim responsibility for any injury to people or property resulting from any ideas, methods, instructions or products referred to in the content. |
© 2024 by the authors. Licensee MDPI, Basel, Switzerland. This article is an open access article distributed under the terms and conditions of the Creative Commons Attribution (CC BY) license (https://creativecommons.org/licenses/by/4.0/).
Share and Cite
Orlandi, E.; Giuffrida, M.; Trubini, S.; Luzietti, E.; Ambroggi, M.; Anselmi, E.; Capelli, P.; Romboli, A. Unraveling the Interplay of KRAS, NRAS, BRAF, and Micro-Satellite Instability in Non-Metastatic Colon Cancer: A Systematic Review. Diagnostics 2024, 14, 1001. https://doi.org/10.3390/diagnostics14101001
Orlandi E, Giuffrida M, Trubini S, Luzietti E, Ambroggi M, Anselmi E, Capelli P, Romboli A. Unraveling the Interplay of KRAS, NRAS, BRAF, and Micro-Satellite Instability in Non-Metastatic Colon Cancer: A Systematic Review. Diagnostics. 2024; 14(10):1001. https://doi.org/10.3390/diagnostics14101001
Chicago/Turabian StyleOrlandi, Elena, Mario Giuffrida, Serena Trubini, Enrico Luzietti, Massimo Ambroggi, Elisa Anselmi, Patrizio Capelli, and Andrea Romboli. 2024. "Unraveling the Interplay of KRAS, NRAS, BRAF, and Micro-Satellite Instability in Non-Metastatic Colon Cancer: A Systematic Review" Diagnostics 14, no. 10: 1001. https://doi.org/10.3390/diagnostics14101001
APA StyleOrlandi, E., Giuffrida, M., Trubini, S., Luzietti, E., Ambroggi, M., Anselmi, E., Capelli, P., & Romboli, A. (2024). Unraveling the Interplay of KRAS, NRAS, BRAF, and Micro-Satellite Instability in Non-Metastatic Colon Cancer: A Systematic Review. Diagnostics, 14(10), 1001. https://doi.org/10.3390/diagnostics14101001

