Comprehensive Two-Dimensional Pediatric Echocardiographic Nomograms for Coronary Artery Sizes in Caucasian Children and Comparison among Major Nomograms
Abstract
1. Background
2. Material and Methods
2.1. Study Population
2.2. Echocardiographic Measurements
2.3. Statistical Analysis
3. Results
3.1. Building of Z-Scores
3.2. Confounders: Gender
3.3. Differences among LMCA Proximal Measurements and Those Performed at 5 mm from Its Origin
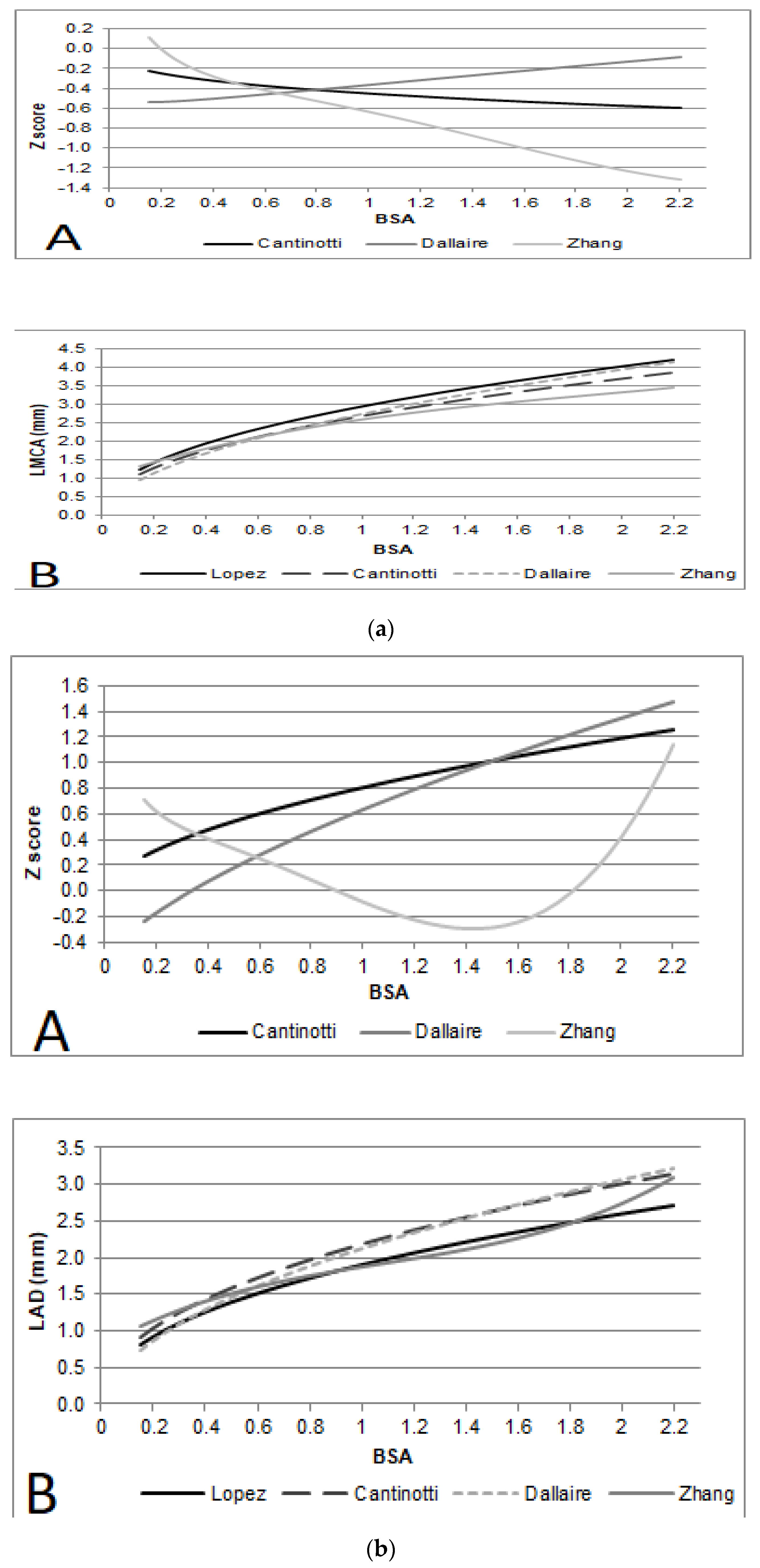
4. Comparison among Authors
4.1. Left Main Coronary Artery
4.2. Left Anterior Descending Artery
4.3. Right Coronary Artery
4.4. Circumflex Artery
5. Discussion
6. Strengths and Limitations
7. Conclusions
Supplementary Materials
Author Contributions
Funding
Institutional Review Board Statement
Informed Consent Statement
Data Availability Statement
Conflicts of Interest
References
- Dallaire, F.; Dahdah, N. New equations and a critical appraisal of coronary artery Z scores in healthy children. J. Am. Soc. Echocardiogr. 2011, 24, 60–74. [Google Scholar] [CrossRef] [PubMed]
- Kobayashi, T.; Fuse, S.; Sakamoto, N.; Mikami, M.; Ogawa, S.; Hamaoka, K.; Arakaki, Y.; Nakamura, T.; Nagasawa, H.; Kato, T.; et al. A New Z Score Curve of the Coronary Arterial Internal Diameter Using the Lambda-Mu-Sigma Method in a Pediatric Population. J. Am. Soc. Echocardiogr. 2016, 29, 794–801.e29. [Google Scholar] [CrossRef] [PubMed]
- Lopez, L.; Colan, S.; Stylianou, M.; Granger, S.; Trachtenberg, F.; Frommelt, P.; Pearson, G.; Camarda, J.; Cnota, J.; Cohen, M.; et al. Relationship of Echocardiographic Z. Scores Adjusted for Body Surface Area to Age, Sex, Race, and Ethnicity: The Pediatric Heart Network Normal Echocardiogram Database. Circ. Cardiovasc. Imaging 2017, 10, e006979. [Google Scholar] [CrossRef] [PubMed]
- Zhang, Y.Q.; Chen, S.B.; Huang, G.Y.; Zhang, H.Y.; Huang, M.R.; Wang, S.S.; Wu, L.; Hong, W.; Shen, R.; Liu, Y.; et al. Coronary artery indexed diameter and z score regression equations in healthy Chinese Han children. J. Clin. Ultrasound. 2015, 43, 39–46. [Google Scholar] [CrossRef] [PubMed]
- Tan, T.H.; Wong, K.Y.; Cheng, T.K.; Heng, J.T. Coronary normograms and the coronary-aorta index: Objective determinants of coronary artery dilatation. Pediatr. Cardiol. 2003, 24, 328–335. [Google Scholar] [CrossRef] [PubMed]
- de Zorzi, A.; Colan, S.D.; Gauvreau, K.; Baker, A.L.; Sundel, R.P.; Newburger, J.W. Coronary artery dimensions may be misclassified as normal in Kawasaki disease. J. Pediatr. 1998, 133, 254–258. [Google Scholar] [CrossRef] [PubMed]
- McCrindle, B.W.; Li, J.S.; Minich, L.L.; Colan, S.D.; Atz, A.M.; Takahashi, M.; Vetter, V.L.; Gersony, W.M.; Mitchell, P.D.; Newburger, J.W. Coronary artery involvement in children with Kawasaki disease: Risk factors from analysis of serial normalized measurements. Circulation 2007, 116, 174–179. [Google Scholar] [CrossRef] [PubMed]
- Cantinotti, M.; Scalese, M.; Giordano, R.; Franchi, E.; Marchese, P.; Assanta, N.; Molinaro, S.; Paterni, M.; Iervasi, G.; Koestenberger, M.; et al. Three-Dimensional Echocardiography Derived Nomograms for Left Ventricular Volumes in Healthy Caucasian Italian Children. J. Am. Soc. Echocardiogr. 2019, 32, 794–797.e1. [Google Scholar] [CrossRef] [PubMed]
- Khalid, A.; Patel, N.; Yusuf Ally, Z.; Ehsan, S. Incidental Finding of Coronary Artery Dilatation in Children with History of COVID-19 Having Minimal or No Symptoms: Raising Red Flag. Cureus 2022, 14, e24348. [Google Scholar] [CrossRef] [PubMed]
- Osei, F.A.; Hill, S.; Thomas-Messado, L.G. A 2-Month-Old with Kawasaki Disease with Coronary Artery Dilation in the Pre-COVID-19 Era. Am. J. Case Rep. 2021, 22, e933356. [Google Scholar] [CrossRef] [PubMed]
- Shapiro, S.S.; Wilk, M.B. An analysis of variance test for normality (complete samples). Biometrika 1965, 52, 591–611. [Google Scholar] [CrossRef]
- Lilliefors, H. On the Kolmogorov–Smirnov test for normality with mean and variance unknown. J. Am. Stat. Assoc. 1967, 62, 399–402. [Google Scholar] [CrossRef]
- Cantinotti, M.; Scalese, M.; Giordano, R.; Assanta, N.; Marchese, P.; Franchi, E.; Viacava, C.; Koestenberger, M.; Jani, V.; Kutty, S. A statistical comparison of reproducibility in current pediatric two-dimensional echocardiographic nomograms. Pediatr. Res. 2021, 89, 579–590. [Google Scholar] [CrossRef] [PubMed]
- Lopez, L.; Saurers, D.L.; Barker, P.C.A.; Cohen, M.S.; Colan, S.D.; Dwyer, J.; Forsha, D.; Friedberg, M.K.; Lai, W.W.; Printz, B.F.; et al. Guidelines for Performing a Comprehensive Pediatric Transthoracic Echocardiogram: Recommendations From the American Society of Echocardiography. J. Am. Soc. Echocardiogr. 2024, 37, 119–170. [Google Scholar] [CrossRef] [PubMed]
- Krishnamurthy, R.; Masand, P.M.; Jadhav, S.P.; Molossi, S.; Zhang, W.; Agrawal, H.M.; Mery, C.M. Accuracy of computed tomography angiography and structured reporting of high-risk morphology in anomalous aortic origin of coronary artery: Comparison with surgery. Pediatr. Radiol. 2021, 51, 1299–1310. [Google Scholar] [CrossRef]
- Ferraro, A.M.; Uslenghi, A.; Lu, M.; Newburger, J.W.; Nathan, M.; Quinonez, L.G.; Beroukhim, R.S. Computed tomography angiography (CTA) of anomalous aortic origin of a coronary artery (AAOCA): Which measurements are accurate and reliable? J. Cardiovasc. Comput. Tomogr. 2023, 17, 130–137. [Google Scholar] [CrossRef] [PubMed]
- Ramos, G.; Bulnes, J.; Lindefjeld, D.; Herrasera, S.; Gabrielli, L. Coronary Ostia Localization by 3-Dimensional Transesophageal Echocardiography in a Patient with Quadricuspid Aortic Valve. JACC Case Rep. 2021, 3, 928–931. [Google Scholar] [CrossRef] [PubMed]
- Cantinotti, M.; Kutty, S.; Franchi, E.; Paterni, M.; Scalese, M.; Iervasi, G.; Koestenberger, M. Pediatric echocardiographic nomograms: What has been done and what still needs to be done. Trends Cardiovasc. Med. 2017, 27, 336–349. [Google Scholar] [CrossRef] [PubMed]



| (A) | ||
|---|---|---|
| BSA | N | % |
| 0.20–0.30 | 31 | 5.1 |
| 0.30–0.40 | 22 | 3.6 |
| 0.40–0.50 | 21 | 3.5 |
| 0.50–0.60 | 23 | 3.8 |
| 0.60–0.70 | 38 | 6.3 |
| 0.70–0.80 | 45 | 7.4 |
| 0.80–0.90 | 59 | 9.7 |
| 0.90–1.00 | 45 | 7.4 |
| 1.00–1.10 | 53 | 8.7 |
| 1.10–1.20 | 46 | 7.6 |
| 1.20–1.30 | 45 | 7.4 |
| 1.30–1.40 | 40 | 6.6 |
| 1.40–1.50 | 44 | 7.3 |
| 1.50–1.60 | 31 | 5.1 |
| 1.60–1.70 | 24 | 4.0 |
| ≥1.70 | 39 | 6.4 |
| Total | 606 | 100 |
| (B) | ||
| Age | N | % |
| 0 days–12 months | 66 | 11.1 |
| 1–2 years | 12 | 2.0 |
| 2–5 years | 76 | 12.5 |
| 5–11 years | 251 | 41.4 |
| 11–18 years | 200 | 33.0 |
| Total | 606 | 100.0 |
| Measurement | Intercept | B | SEE (√MSE) | R2 | SW | KS | BP | W |
|---|---|---|---|---|---|---|---|---|
| LMCA at prox. orig. | 1.217 | 0.486 | 0.187 | 0.628 | 0.290 | 0.099 | 0.052 | 0.027 |
| LMCA 2 | 0.991 | 0.459 | 0.176 | 0.629 | 0.086 | 0.083 | 0.066 | 0.117 |
| LAD | 0.776 | 0.465 | 0.156 | 0.689 | 0.046 | 0.079 | 0.035 | 0.136 |
| CX | 0.616 | 0.466 | 0.164 | 0.668 | 0.005 | 0.071 | 0.369 | 0.556 |
| RCA at prox. orig. | 0.985 | 0.492 | 0.188 | 0.627 | 0.714 | 0.200 | 0.684 | 0.913 |
| RCA 2 | 0.767 | 0.484 | 0.193 | 0.607 | 0.012 | 0.051 | 0.886 | 0.893 |
| LMCA prox. orig-bifurcation | 1.596 | 0.537 | 0.342 | 0.388 | 0.124 | 0.073 | 0.811 | 0.089 |
| BSA | 0.15 | 0.20 | 0.25 | 0.30 | 0.35 | 0.40 | 0.50 | 0.60 | 0.70 | 0.80 | 0.90 |
| 0.92 | 1.06 | 1.18 | 1.29 | 1.39 | 1.49 | 1.66 | 1.81 | 1.95 | 2.08 | 2.21 | |
| LMCA at prox. orig. | 1.34 | 1.54 | 1.72 | 1.88 | 2.03 | 2.16 | 2.41 | 2.63 | 2.84 | 3.03 | 3.21 |
| 1.95 | 2.25 | 2.50 | 2.73 | 2.95 | 3.14 | 3.50 | 3.83 | 4.13 | 4.40 | 4.66 | |
| 0.79 | 0.91 | 1.00 | 1.09 | 1.17 | 1.24 | 1.38 | 1.50 | 1.61 | 1.71 | 1.81 | |
| LMCA | 1.13 | 1.29 | 1.43 | 1.55 | 1.66 | 1.77 | 1.96 | 2.13 | 2.29 | 2.43 | 2.57 |
| 1.60 | 1.83 | 2.03 | 2.20 | 2.37 | 2.52 | 2.79 | 3.03 | 3.25 | 3.46 | 3.65 | |
| 0.66 | 0.75 | 0.83 | 0.91 | 0.98 | 1.04 | 1.15 | 1.25 | 1.35 | 1.43 | 1.51 | |
| LAD | 0.90 | 1.03 | 1.14 | 1.24 | 1.33 | 1.42 | 1.57 | 1.71 | 1.84 | 1.96 | 2.07 |
| 1.23 | 1.40 | 1.56 | 1.70 | 1.82 | 1.94 | 2.15 | 2.34 | 2.51 | 2.68 | 2.83 | |
| 0.55 | 0.63 | 0.70 | 0.76 | 0.82 | 0.87 | 0.97 | 1.05 | 1.13 | 1.20 | 1.27 | |
| CX | 0.76 | 0.87 | 0.97 | 1.06 | 1.14 | 1.21 | 1.34 | 1.46 | 1.57 | 1.67 | 1.76 |
| 1.06 | 1.21 | 1.35 | 1.47 | 1.58 | 1.68 | 1.86 | 2.03 | 2.18 | 2.32 | 2.45 | |
| 0.72 | 0.83 | 0.93 | 1.02 | 1.10 | 1.17 | 1.31 | 1.43 | 1.54 | 1.65 | 1.75 | |
| RCA at prox. orig. | 1.05 | 1.21 | 1.35 | 1.48 | 1.60 | 1.71 | 1.90 | 2.08 | 2.25 | 2.40 | 2.54 |
| 1.53 | 1.77 | 1.97 | 2.16 | 2.33 | 2.48 | 2.77 | 3.03 | 3.27 | 3.49 | 3.70 | |
| 0.58 | 0.67 | 0.75 | 0.82 | 0.88 | 0.94 | 1.05 | 1.14 | 1.23 | 1.31 | 1.39 | |
| RCA | 0.86 | 0.99 | 1.10 | 1.20 | 1.30 | 1.38 | 1.54 | 1.68 | 1.81 | 1.93 | 2.05 |
| 1.26 | 1.45 | 1.62 | 1.77 | 1.91 | 2.03 | 2.26 | 2.47 | 2.67 | 2.84 | 3.01 | |
| 0.90 | 1.05 | 1.18 | 1.30 | 1.42 | 1.52 | 1.72 | 1.89 | 2.06 | 2.21 | 2.35 | |
| LMCA prox. orig.-bifurcation | 1.78 | 2.08 | 2.34 | 2.58 | 2.81 | 3.02 | 3.40 | 3.75 | 4.07 | 4.38 | 4.66 |
| 3.53 | 4.12 | 4.64 | 5.12 | 5.56 | 5.98 | 6.74 | 7.43 | 8.07 | 8.67 | 9.24 | |
| BSA | 1.0 | 1.1 | 1.2 | 1.3 | 1.4 | 1.5 | 1.6 | 1.7 | 1.8 | 1.9 | 2.0 |
| 2.32 | 2.43 | 2.54 | 2.64 | 2.74 | 2.83 | 2.92 | 3.01 | 3.09 | 3.17 | 3.25 | |
| LMCA 1 | 3.38 | 3.54 | 3.69 | 3.84 | 3.98 | 4.11 | 4.24 | 4.37 | 4.49 | 4.61 | 4.73 |
| 4.91 | 5.14 | 5.36 | 5.58 | 5.78 | 5.98 | 6.17 | 6.35 | 6.53 | 6.71 | 6.87 | |
| 1.89 | 1.98 | 2.06 | 2.14 | 2.21 | 2.28 | 2.35 | 2.42 | 2.48 | 2.54 | 2.60 | |
| LMCA 2 | 2.69 | 2.81 | 2.93 | 3.04 | 3.14 | 3.24 | 3.34 | 3.44 | 3.53 | 3.62 | 3.70 |
| 3.83 | 4.00 | 4.16 | 4.32 | 4.47 | 4.61 | 4.75 | 4.89 | 5.02 | 5.14 | 5.27 | |
| 1.59 | 1.66 | 1.73 | 1.80 | 1.86 | 1.92 | 1.98 | 2.04 | 2.09 | 2.14 | 2.20 | |
| LAD | 2.17 | 2.27 | 2.37 | 2.45 | 2.54 | 2.62 | 2.70 | 2.78 | 2.86 | 2.93 | 3.00 |
| 2.97 | 3.10 | 3.23 | 3.35 | 3.47 | 3.58 | 3.69 | 3.80 | 3.90 | 4.00 | 4.10 | |
| 1.33 | 1.39 | 1.45 | 1.51 | 1.56 | 1.61 | 1.66 | 1.71 | 1.75 | 1.80 | 1.84 | |
| CX | 1.85 | 1.94 | 2.02 | 2.09 | 2.17 | 2.24 | 2.30 | 2.37 | 2.43 | 2.50 | 2.56 |
| 2.57 | 2.69 | 2.80 | 2.90 | 3.01 | 3.10 | 3.20 | 3.29 | 3.38 | 3.47 | 3.55 | |
| 1.84 | 1.93 | 2.01 | 2.09 | 2.17 | 2.24 | 2.32 | 2.39 | 2.46 | 2.52 | 2.59 | |
| RCA 1 | 2.68 | 2.81 | 2.93 | 3.05 | 3.16 | 3.27 | 3.37 | 3.48 | 3.58 | 3.67 | 3.77 |
| 3.90 | 4.09 | 4.27 | 4.44 | 4.60 | 4.76 | 4.91 | 5.06 | 5.21 | 5.35 | 5.49 | |
| 1.46 | 1.53 | 1.60 | 1.66 | 1.72 | 1.78 | 1.84 | 1.89 | 1.95 | 2.00 | 2.05 | |
| RCA 2 | 2.15 | 2.25 | 2.35 | 2.44 | 2.53 | 2.62 | 2.70 | 2.78 | 2.86 | 2.94 | 3.01 |
| 3.17 | 3.32 | 3.46 | 3.60 | 3.73 | 3.85 | 3.98 | 4.10 | 4.21 | 4.32 | 4.43 | |
| 2.49 | 2.62 | 2.75 | 2.87 | 2.98 | 3.09 | 3.20 | 3.31 | 3.41 | 3.51 | 3.61 | |
| Distance to bifurcation | 4.93 | 5.19 | 5.44 | 5.68 | 5.91 | 6.13 | 6.35 | 6.56 | 6.76 | 6.96 | 7.16 |
| 9.78 | 10.29 | 10.78 | 11.26 | 11.71 | 12.15 | 12.58 | 13.00 | 13.41 | 13.80 | 14.19 |
Disclaimer/Publisher’s Note: The statements, opinions and data contained in all publications are solely those of the individual author(s) and contributor(s) and not of MDPI and/or the editor(s). MDPI and/or the editor(s) disclaim responsibility for any injury to people or property resulting from any ideas, methods, instructions or products referred to in the content. |
© 2024 by the authors. Licensee MDPI, Basel, Switzerland. This article is an open access article distributed under the terms and conditions of the Creative Commons Attribution (CC BY) license (https://creativecommons.org/licenses/by/4.0/).
Share and Cite
Cantinotti, M.; Scalese, M.; Contini, F.V.; Franchi, E.; Viacava, C.; Corana, G.; Pizzuto, A.; Pietro, M.; Santoro, G.; Assanta, N. Comprehensive Two-Dimensional Pediatric Echocardiographic Nomograms for Coronary Artery Sizes in Caucasian Children and Comparison among Major Nomograms. Diagnostics 2024, 14, 1029. https://doi.org/10.3390/diagnostics14101029
Cantinotti M, Scalese M, Contini FV, Franchi E, Viacava C, Corana G, Pizzuto A, Pietro M, Santoro G, Assanta N. Comprehensive Two-Dimensional Pediatric Echocardiographic Nomograms for Coronary Artery Sizes in Caucasian Children and Comparison among Major Nomograms. Diagnostics. 2024; 14(10):1029. https://doi.org/10.3390/diagnostics14101029
Chicago/Turabian StyleCantinotti, Massimiliano, Marco Scalese, Francesca Valeria Contini, Eliana Franchi, Cecilia Viacava, Giulia Corana, Alessandra Pizzuto, Marchese Pietro, Giuseppe Santoro, and Nadia Assanta. 2024. "Comprehensive Two-Dimensional Pediatric Echocardiographic Nomograms for Coronary Artery Sizes in Caucasian Children and Comparison among Major Nomograms" Diagnostics 14, no. 10: 1029. https://doi.org/10.3390/diagnostics14101029
APA StyleCantinotti, M., Scalese, M., Contini, F. V., Franchi, E., Viacava, C., Corana, G., Pizzuto, A., Pietro, M., Santoro, G., & Assanta, N. (2024). Comprehensive Two-Dimensional Pediatric Echocardiographic Nomograms for Coronary Artery Sizes in Caucasian Children and Comparison among Major Nomograms. Diagnostics, 14(10), 1029. https://doi.org/10.3390/diagnostics14101029

