Characteristics of RNA Stabilizer RNApro for Peripheral Blood Collection
Abstract
1. Introduction
2. Materials and Methods
2.1. Study Design and Subjects
2.2. RNA Quality and Quantity
2.3. cDNA Synthesis
2.4. cDNA RT-qPCR
2.5. DNA Contamination
2.6. miRNA Amplification
2.7. Statistical Analysis
3. Results
3.1. RNA Yield

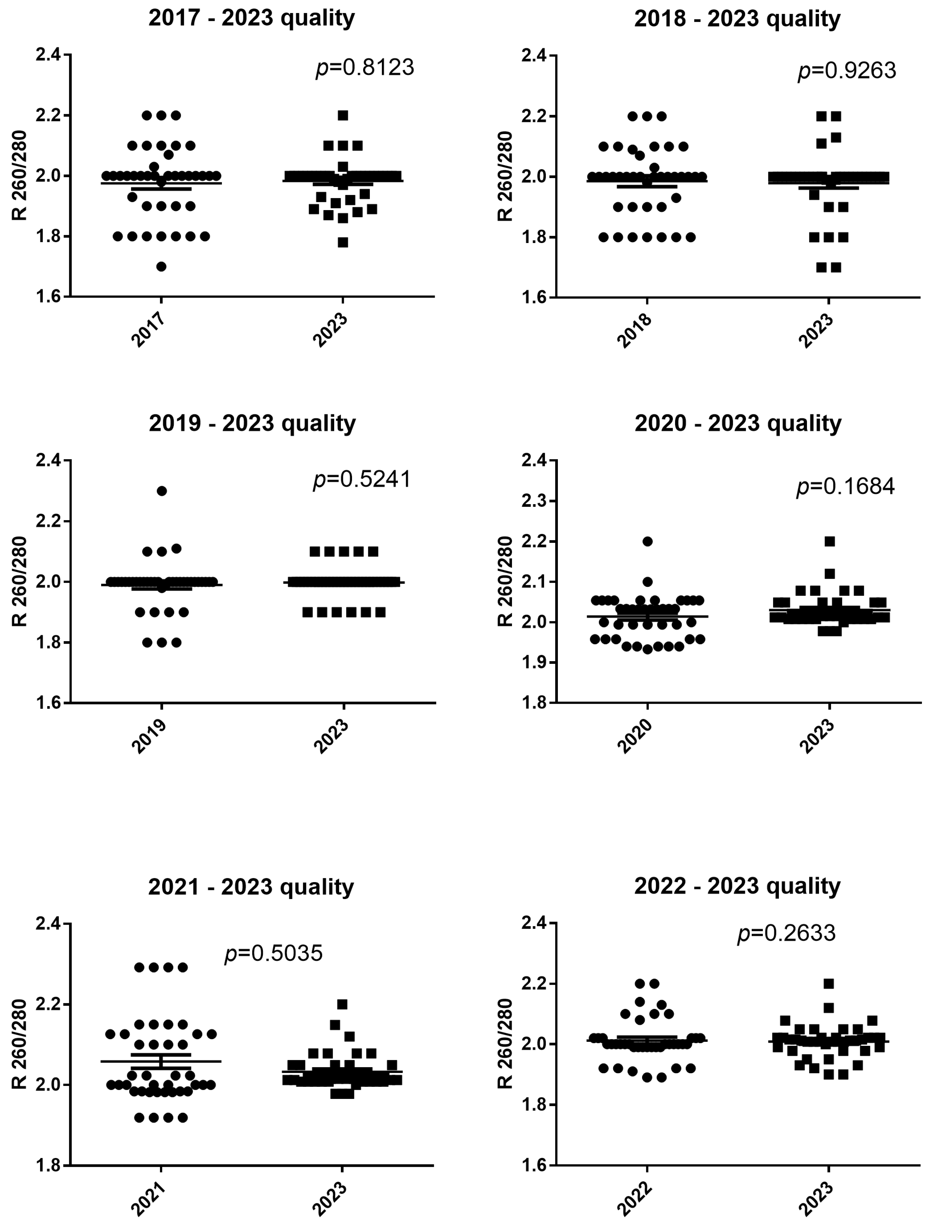
3.2. RNA Quality


3.3. Sample Storage Temperature


3.4. RNApro Store Temperature

3.5. Comparison between RNApro and PAXgene
3.6. DNA Contamination
3.7. miRNA Amplification
4. Discussion
Author Contributions
Funding
Institutional Review Board Statement
Informed Consent Statement
Data Availability Statement
Conflicts of Interest
References
- Carrillo-Ávila, J.A.; de la Puente, R.; Catalina, P.; Rejón, J.D.; Espín-Vallejo, L.; Valdivieso, V.; Aguilar-Quesada, R. Evaluation of RNA purification methods by using different blood stabilization tubes: Identification of key features for epidemiological studies. BMC Res. Notes 2020, 13, 77. [Google Scholar] [CrossRef]
- Cheng, F.; Wang, Y.; Bai, Y.; Liang, Z.; Mao, Q.; Liu, D.; Wu, X.; Xu, M. Research Advances on the Stability of mRNA Vaccines. Viruses 2023, 15, 668. [Google Scholar] [CrossRef]
- Chheda, U.; Pradeepan, S.; Esposito, E.; Strezsak, S.; Fernandez-Delgado, O.; Kranz, J. Factors Affecting Stability of RNA—Temperature, Length, Concentration, pH, and Buffering Species. J. Pharm. Sci. 2024, 113, 377–385. [Google Scholar] [CrossRef]
- Schoenmaker, L.; Witzigmann, D.; Kulkarni, J.A.; Verbeke, R.; Kersten, G.; Jiskoot, W.; Crommelin, D.J.A. mRNA-lipid nanoparticle COVID-19 vaccines: Structure and stability. Int. J. Pharm. 2021, 601, 120586. [Google Scholar] [CrossRef] [PubMed]
- Bai, J.P.; Alekseyenko, A.V.; Statnikov, A.; Wang, I.M.; Wong, P.H. Strategic applications of gene expression: From drug discovery/development to bedside. AAPS J. 2013, 15, 427–437. [Google Scholar] [CrossRef]
- Weber, D.G.; Casjens, S.; Rozynek, P.; Lehnert, M.; Zilch-Schöneweis, S.; Bryk, O.; Taeger, D.; Gomolka, M.; Kreuzer, M.; Otten, H.; et al. Assessment of mRNA and microRNA stabilization in peripheral human blood for multicenter studies and biobanks. Biomark. Insights 2010, 5, 95–102. [Google Scholar] [CrossRef]
- Rainen, L.; Oelmueller, U.; Jurgensen, S.; Wyrich, R.; Ballas, C.; Schram, J.; Herdman, C.; Bankaitis-Davis, D.; Nicholls, N.; Trollinger, D.; et al. Stabilization of mRNA expression in whole blood samples. Clin. Chem. 2002, 48, 1883–1890. [Google Scholar] [CrossRef]
- Chai, V.; Vassilakos, A.; Lee, Y.; Wright, J.A.; Young, A.H. Optimization of the PAXgene blood RNA extraction system for gene expression analysis of clinical samples. J. Clin. Lab. Anal. 2005, 19, 182–188. [Google Scholar] [CrossRef]
- Duale, N.; Brunborg, G.; Rønningen, K.S.; Briese, T.; Aarem, J.; Aas, K.K.; Magnus, P.; Stoltenberg, C.; Susser, E.; Lipkin, W.I.; et al. Human blood RNA stabilization in samples collected and transported for a large biobank. BMC Res. Notes 2012, 5, 510. [Google Scholar] [CrossRef]
- Hebels, D.G.; Georgiadis, P.; Keun, H.C.; Athersuch, T.J.; Vineis, P.; Vermeulen, R.; Portengen, L.; Bergdahl, I.A.; Hallmans, G.; Palli, D.; et al. Performance in omics analyses of blood samples in long-term storage: Opportunities for the exploitation of existing biobanks in environmental health research. Environ. Health Perspect. 2013, 121, 480–487. [Google Scholar] [CrossRef] [PubMed]
- Tovo, P.A.; Garazzino, S.; Daprà, V.; Alliaudi, C.; Silvestro, E.; Calvi, C.; Montanari, P.; Galliano, I.; Bergallo, M. Chronic HCV infection is associated with overexpression of human endogenous retroviruses that persists after drug-induced viral clearance. Int. J. Mol. Sci. 2020, 21, 3980. [Google Scholar] [CrossRef] [PubMed]
- Tovo, P.A.; Garazzino, S.; Daprà, V.; Pruccoli, G.; Calvi, C.; Mignone, F.; Alliaudi, C.; Denina, M.; Scolfaro, C.; Zoppo, M.; et al. COVID-19 in children: Expressions of type I/II/III interferons, TRIM28, SETDB1, and endogenous retroviruses in mild and severe cases. Int. J. Mol. Sci. 2021, 22, 7481. [Google Scholar] [CrossRef] [PubMed]
- Wilfinger, W.W.; Eghbalnia, H.R.; Mackey, K.; Miller, R.; Chomczynski, P. Whole blood RNA extraction efficiency contributes to variability in RNA sequencing data sets. PLoS ONE 2023, 18, e0291209. [Google Scholar] [CrossRef] [PubMed]
- Sun, N.; Deng, C.; Liu, Y.; Zhao, X.; Tang, Y.; Liu, R.; Xia, Q.; Yan, W.; Ge, G. Optimization of influencing factors of nucleic acid adsorption onto silica-coated magnetic particles: Application to viral nucleic acid extraction from serum. J. Chromatogr. A 2014, 1325, 31–39. [Google Scholar] [CrossRef]
- Obata, K.; Segawa, O.; Yakabe, M.; Ishida, Y.; Kuroita, T.; Ikeda, K.; Kawakami, B.; Kawamura, Y.; Yohda, M.; Matsunaga, T.; et al. Development of a novel method for operating magnetic particles, Magtration Technology, and its use for automating nucleic acid purification. J. Biosci. Bioeng. 2001, 91, 500–503. [Google Scholar] [CrossRef] [PubMed]
- Yoza, B.; Arakaki, A.; Maruyama, K.; Takeyama, H.; Matsunaga, T. Fully automated DNA extraction from blood using magnetic particles modified with a hyperbranched polyamidoamine dendrimer. J. Biosci. Bioeng. 2003, 95, 21–26. [Google Scholar] [CrossRef] [PubMed]
- Ribeirosilva, A.; Zhang, H.; Jeffrey, S.S. RNA extraction from ten year old formalin-fixed paraffin-embedded breast cancer samples: A comparison of column purification and magnetic bead-based technologies. BMC Mol. Biol. 2007, 8, 118. [Google Scholar]
- Tian, H.; Hühmer, A.F.R.; Landers, J.P. Evaluation of silica resins for direct and efficient extraction of DNA from complex biological matrices in a miniaturized format. Anal. Biochem. 2000, 283, 175–191. [Google Scholar] [CrossRef]
- Berensmeier, S. Magnetic particles for the separation and purification of nucleic acids. Appl. Microbiol. Biotechnol. 2006, 73, 495–504. [Google Scholar] [CrossRef]
- Numata, M.; Sugiyasu, K.; Hasegawa, T.; Shinkai, S. Sol-Gel reaction using DNA as a template: An Attempt Toward Transcription of DNA into Inorganic Materials. Angew. Chem. Int. Ed. 2004, 43, 3279–3283. [Google Scholar] [CrossRef]
- PAXgene. Technical Note: PAXgene® Blood RNA System. 2014. Available online: www.qiagen.com (accessed on 7 December 2018).
- Duale, N.; Lipkin, W.I.; Briese, T.; Aarem, J.; Rønningen, K.S.; Aas, K.K.; Magnus, P.; Harbak, K.; Susser, E.; Brunborg, G. Long-term storage of blood RNA collected in RNA stabilizing Tempus tubes in a large biobank—Evaluation of RNA quality and stability. BMC Res. Notes 2014, 7, 633. [Google Scholar] [CrossRef] [PubMed]
- Stellino, C.; Hamot, G.; Bellora, C.; Trouet, J.; Betsou, F. Preanalytical robustness of blood collection tubes with RNA stabilizers. Clin. Chem. Lab. Med. 2019, 57, 1522–1529. [Google Scholar] [CrossRef] [PubMed]
- Ferrante, J.A.; Giles, M.R.; Benzie, E.; Hunter, M.E. A novel technique for isolating DNA from Tempus™ blood RNA tubes after RNA isolation. BMC Res. Notes 2018, 11, 563. [Google Scholar] [CrossRef] [PubMed]
- Skogholt, A.H.; Ryeng, E.; Erlandsen, S.E.; Skorpen, F.; Schønberg, S.A.; Sætrom, P. Gene expression differences between PAXgene and Tempus blood RNA tubes are highly reproducible between independent samples and biobanks. BMC Res. Notes 2017, 10, 136. [Google Scholar] [CrossRef]
- Donohue, D.E.; Gautam, A.; Miller, S.A.; Srinivasan, S.; Abu-Amara, D.; Campbell, R.; Marmar, C.R.; Hammamieh, R.; Jett, M. Gene expression profiling of whole blood: A comparative assessment of RNA-stabilizing collection methods. PLoS ONE 2019, 14, e0223065. [Google Scholar] [CrossRef] [PubMed]
- Häntzsch, M.; Tolios, A.; Beutner, F.; Nagel, D.; Thiery, J.; Teupser, D.; Holdt, L.M. Comparison of whole blood RNA preservation tubes and novel generation RNA extraction kits for analysis of mRNA and MiRNA profiles. PLoS ONE 2014, 9, e113298. [Google Scholar] [CrossRef] [PubMed]
- Richards, J.; Unger, E.R.; Rajeevan, M.S. Simultaneous extraction of mRNA and microRNA from whole blood stabilized in tempus tubes. BMC Res. Notes 2019, 12, 39. [Google Scholar] [CrossRef]
- Gautam, A.; Donohue, D.; Hoke, A.; Miller, S.A.; Srinivasan, S.; Sowe, B.; Detwiler, L.; Lynch, J.; Levangie, M.; Hammamieh, R.; et al. Investigating gene expression profiles of whole blood and peripheral blood mononuclear cells using multiple collection and processing methods. PLoS ONE 2019, 14, e0225137. [Google Scholar] [CrossRef]

| Name | Primer/ Probe | Sequence |
|---|---|---|
| GAPDH | Forward | 5′-CGAGATCCCTCCAAAATCAA-3′ |
| Reverse | 5′-TTCACACCCATGACGAACAT-3′ | |
| Probe | 6FAM-5′-TCCAACGCAAAGCAATACATGAAC-3′-TAMRA |
| Target | RNU43 |
|---|---|
| Sequence | GAACUUAUUGACGGGCGGACAGAAACUGUGUGCUGAUUGUCACGUUCUGAUU |
| SLP | GGCTCTGGTGCAGGGTCCGAGGTATTCGCACCAGAGCCAATCAG |
| Forward | TGACGGGCGGACAGAAA |
| Probe MGB fam | TGTGTGCTGATTGTCA |
| Universal reverse primer | TGCAGGGTCCGAGGTATTC |
Disclaimer/Publisher’s Note: The statements, opinions and data contained in all publications are solely those of the individual author(s) and contributor(s) and not of MDPI and/or the editor(s). MDPI and/or the editor(s) disclaim responsibility for any injury to people or property resulting from any ideas, methods, instructions or products referred to in the content. |
© 2024 by the authors. Licensee MDPI, Basel, Switzerland. This article is an open access article distributed under the terms and conditions of the Creative Commons Attribution (CC BY) license (https://creativecommons.org/licenses/by/4.0/).
Share and Cite
Gambarino, S.; Galliano, I.; Clemente, A.; Calvi, C.; Montanari, P.; Pau, A.; Dini, M.; Bergallo, M. Characteristics of RNA Stabilizer RNApro for Peripheral Blood Collection. Diagnostics 2024, 14, 971. https://doi.org/10.3390/diagnostics14100971
Gambarino S, Galliano I, Clemente A, Calvi C, Montanari P, Pau A, Dini M, Bergallo M. Characteristics of RNA Stabilizer RNApro for Peripheral Blood Collection. Diagnostics. 2024; 14(10):971. https://doi.org/10.3390/diagnostics14100971
Chicago/Turabian StyleGambarino, Stefano, Ilaria Galliano, Anna Clemente, Cristina Calvi, Paola Montanari, Anna Pau, Maddalena Dini, and Massimiliano Bergallo. 2024. "Characteristics of RNA Stabilizer RNApro for Peripheral Blood Collection" Diagnostics 14, no. 10: 971. https://doi.org/10.3390/diagnostics14100971
APA StyleGambarino, S., Galliano, I., Clemente, A., Calvi, C., Montanari, P., Pau, A., Dini, M., & Bergallo, M. (2024). Characteristics of RNA Stabilizer RNApro for Peripheral Blood Collection. Diagnostics, 14(10), 971. https://doi.org/10.3390/diagnostics14100971

