AI-Powered Identification of Osteoporosis in Dental Panoramic Radiographs: Addressing Methodological Flaws in Current Research
Abstract
1. Introduction
2. Materials and Methods
2.1. Data
2.2. Data Preparation
2.3. Model
2.4. Model Training
2.5. Model Evaluation
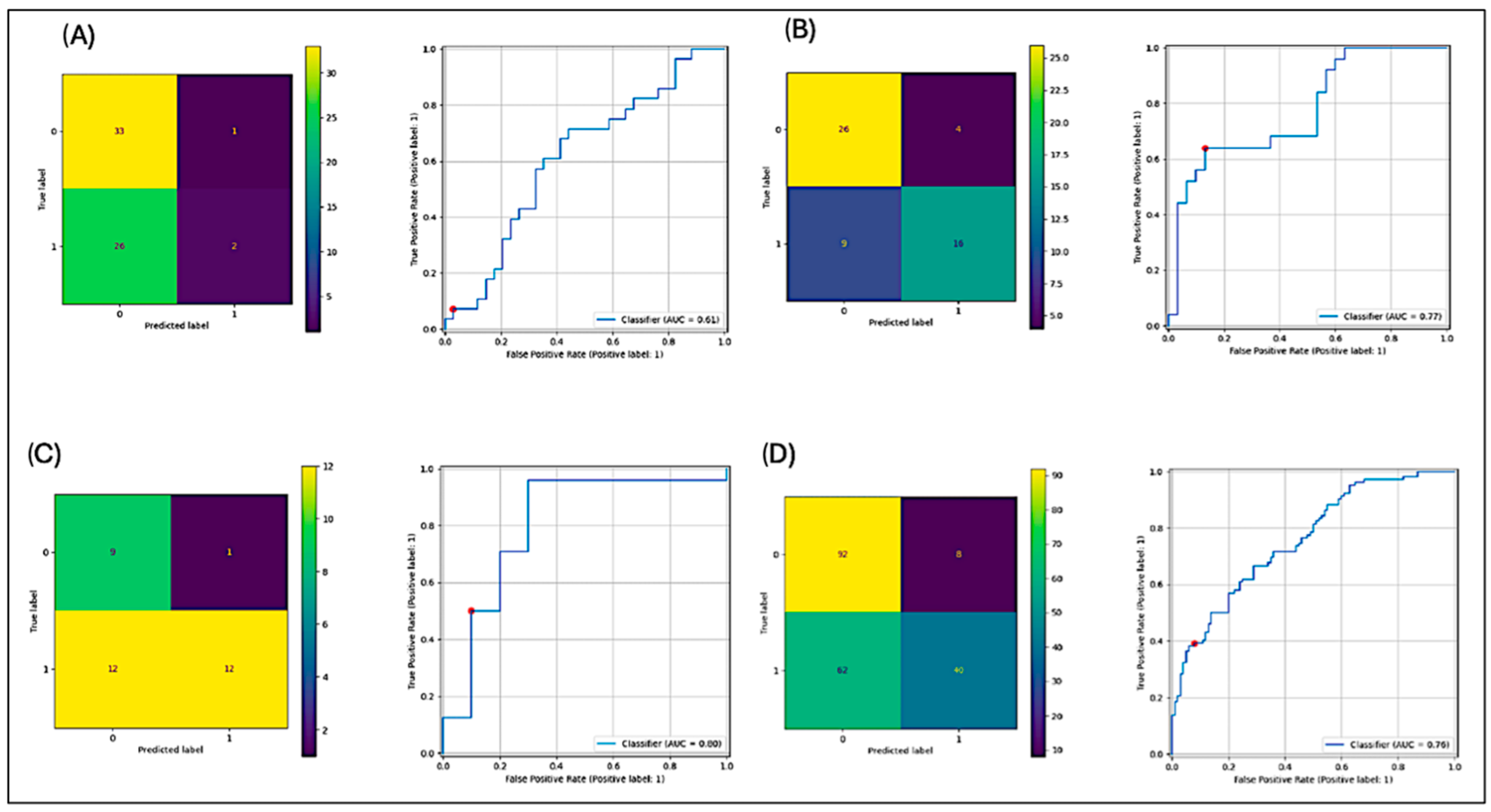
3. Results
4. Discussion
5. Conclusions
Author Contributions
Funding
Institutional Review Board Statement
Informed Consent Statement
Data Availability Statement
Conflicts of Interest
References
- Schlenz, M.A.; Schulz-Weidner, N.; Olbrich, M.; Buchmann, D.; Wöstmann, B. Insights on the digitalisation of dental practices: A cross-sectional pilot study in Hesse. Int. J. Comput. Dent. 2023. [Google Scholar] [CrossRef] [PubMed]
- Shen, Z.; Song, L. Trend of collaboration and sharing in digitalized restorative dentistry. Chin. J. Pract. Stomatol. 2020, 55, 932–937. [Google Scholar]
- Gross, D.; Gross, K.; Wilhelmy, S. Digitalization in dentistry: Ethical challenges and implications. Quintessence Int. 2019, 50, 830. [Google Scholar]
- Schwendicke, F.; Singh, T.; Lee, J.H.; Gaudin, R.; Chaurasia, A.; Wiegand, T.; Uribe, S.; Krois, J.; on behalf of the IADR e-oral health network and the ITU WHO focus group AI for Health. Artificial intelligence in dental research: Checklist for authors, reviewers, readers. J. Dent. 2021, 107, 103610. [Google Scholar] [CrossRef]
- Gichoya, J.W.; Thomas, K.; Celi, L.A.; Safdar, N.; Banerjee, I.; Banja, J.D.; Seyyed-Kalantari, L.; Trivedi, H.; Purkayastha, S. AI pitfalls and what not to do: Mitigating bias in AI. Br. J. Radiol. 2023, 96, 20230023. [Google Scholar] [CrossRef] [PubMed]
- Mörch, C.M.; Atsu, S.; Cai, W.; Li, X.; Madathil, S.A.; Liu, X.; Mai, V.; Tamimi, F.; Dilhac, M.A.; Ducret, M. Artificial Intelligence and Ethics in Dentistry: A Scoping Review. J. Dent. Res. 2021, 100, 1452–1460. [Google Scholar] [CrossRef]
- Endres, M.G.; Hillen, F.; Salloumis, M.; Sedaghat, A.R.; Niehues, S.M.; Quatela, O.; Hanken, H.; Smeets, R.; Beck-Broichsitter, B.; Rendenbach, C.; et al. Development of a Deep Learning Algorithm for Periapical Disease Detection in Dental Radiographs. Diagnostics 2020, 10, 430. [Google Scholar] [CrossRef]
- von Wowern, N. General and oral aspects of osteoporosis: A review. Clin. Oral Investig. 2001, 5, 71–82. [Google Scholar] [CrossRef]
- Miller, P.D. Management of severe osteoporosis. Expert Opin. Pharmacother. 2016, 17, 473–488. [Google Scholar] [CrossRef]
- Gaetti-Jardim, E.C.; Santiago-Junior, J.F.; Goiato, M.C.; Pellizer, E.P.; Magro-Filho, O.; Jardim Junior, E.G. Dental implants in patients with osteoporosis: A clinical reality? J. Craniofacial Surg. 2011, 22, 1111–1113. [Google Scholar] [CrossRef]
- Sukegawa, S.; Fujimura, A.; Taguchi, A.; Yamamoto, N.; Kitamura, A.; Goto, R.; Nakano, K.; Takabatake, K.; Kawai, H.; Nagatsuka, H.; et al. Identification of osteoporosis using ensemble deep learning model with panoramic radiographs and clinical covariates. Sci. Rep. 2022, 12, 6088. [Google Scholar] [CrossRef] [PubMed]
- Alawi, M.; Begum, A.; Harraz, M.; Alawi, H.; Bamagos, S.; Yaghmour, A.; Hafiz, L. Dual-Energy X-Ray Absorptiometry (DEXA) Scan Versus Computed Tomography for Bone Density Assessment. Cureus 2021, 13, e13261. [Google Scholar] [CrossRef] [PubMed]
- Kermany, D.S.; Goldbaum, M.; Cai, W.; Valentim, C.C.S.; Liang, H.; Baxter, S.L.; McKeown, A.; Yang, G.; Wu, X.; Yan, F.; et al. Identifying Medical Diagnoses and Treatable Diseases by Image-Based Deep Learning. Cell 2018, 172, 1122–1131.e9. [Google Scholar] [CrossRef]
- Sangondimath, G.; Sen, R.K.; Rehman, T.F. DEXA and Imaging in Osteoporosis. Indian J. Orthop. 2023, 57, 82–93. [Google Scholar] [CrossRef]
- Singer, A.; McClung, M.R.; Tran, O.; Morrow, C.D.; Goldstein, S.; Kagan, R.; McDermott, M.; Yehoshua, A. Treatment rates and healthcare costs of patients with fragility fracture by site of care: A real-world data analysis. Arch. Osteoporos. 2023, 18, 42. [Google Scholar] [CrossRef] [PubMed]
- Rozylo-Kalinowska, I. Panoramic Radiography in Dentistry. Imaging Tech. Dent. Radiol. 2020, 5, 26. [Google Scholar]
- Rondon, R.H.N.; Pereira, Y.C.L.; do Nascimento, G.C. Common positioning errors in panoramic radiography: A review. Imaging Sci. Dent. 2014, 44, 1. [Google Scholar] [CrossRef]
- Kaffe, I.; Fishel, D.; Gorsky, M. Panoramic radiography in dentistry. Refuat Hapeh Vehashinayim 1977, 26, 25–30. [Google Scholar] [PubMed]
- Perschbacher, S. Interpretation of panoramic radiographs. Aust. Dent. J. 2012, 57, 40–45. [Google Scholar] [CrossRef]
- Klemetti, E.; Kolmakov, S.; Heiskanen, P.; Vainio, P.; Lassila, V. Panoramic mandibular index and bone mineral densities in postmenopausal women. Oral Surg. Oral Med. Oral Pathol. 1993, 75, 774–779. [Google Scholar] [CrossRef]
- Singh, Y.; Atulkar, V.; Ren, J.; Yang, J.; Fan, H.; Latecki, L.J.; Ling, H. Osteoporosis Prescreening and Bone Mineral Density Prediction using Dental Panoramic Radiographs. In Proceedings of the Annual International Conference of the IEEE Engineering in Medicine and Biology Society, Virtual, 1–5 November 2021; pp. 2700–2703. [Google Scholar] [PubMed]
- White, S.C.; Taguchi, A.; Kao, D.; Wu, S.; Service, S.K.; Yoon, D.; Suei, Y.; Nakamoto, T.; Tanimoto, K. Clinical and panoramic predictors of femur bone mineral density. Osteoporos. Int. 2005, 16, 339–346. [Google Scholar] [CrossRef] [PubMed]
- Halling, A.; Persson, G.R.; Berglund, J.; Johansson, O.; Renvert, S. Comparison between the Klemetti index and heel DXA BMD measurements in the diagnosis of reduced skeletal bone mineral density in the elderly. Osteoporos. Int. 2005, 16, 999–1003. [Google Scholar] [CrossRef] [PubMed]
- Taguchi, A.; Tanaka, R.; Kakimoto, N.; Morimoto, Y.; Arai, Y.; Hayashi, T.; Kurabayashi, T.; Katsumata, A.; Asaumi, J. Japanese Society for Oral and Maxillofacial Radiology Clinical guidelines for the application of panoramic radiographs in screening for osteoporosis. Oral Radiol. 2021, 37, 189–208. [Google Scholar] [CrossRef]
- Kinalski, M.A.; Boscato, N.; Damian, M.F. The accuracy of panoramic radiography as a screening of bone mineral density in women: A systematic review. Dentomaxillofac. Radiol. 2020, 49, 49. [Google Scholar] [CrossRef]
- Calciolari, E.; Donos, N.; Park, J.C.; Petrie, A.; Mardas, N. Panoramic Measures for Oral Bone Mass in Detecting Osteoporosis: A Systematic Review and Meta-Analysis. J. Dent. Res. 2015, 94, 17S. [Google Scholar] [CrossRef]
- Pallagatti, S.; Parnami, P.; Sheikh, S.; Gupta, D. Efficacy of Panoramic Radiography in the Detection of Osteoporosis in Post-Menopausal Women When Compared to Dual Energy X-ray Absorptiometry. Open Dent. J. 2017, 11, 350. [Google Scholar] [CrossRef] [PubMed]
- Scafoglieri, A.; Clarys, J.P. Dual energy X-ray absorptiometry: Gold standard for muscle mass? J. Cachexia Sarcopenia Muscle 2018, 9, 786. [Google Scholar] [CrossRef]
- Yeung, A.W.K.; Mozos, I. The Innovative and Sustainable Use of Dental Panoramic Radiographs for the Detection of Osteoporosis. Int. J. Env. Res. Public Health 2020, 17, 2449. [Google Scholar] [CrossRef]
- Lee, J.S.; Adhikari, S.; Liu, L.; Jeong, H.G.; Kim, H.; Yoon, S.J. Osteoporosis detection in panoramic radiographs using a deep convolutional neural network-based computer-assisted diagnosis system: A preliminary study. Dentomaxillofac. Radiol. 2019, 48, 20170344. [Google Scholar] [CrossRef]
- GitHub-open-mmlab/mmyolo: OpenMMLab YOLO Series Toolbox and Benchmark. Implemented RTMDet, RTMDet-Rotated, YOLOv5, YOLOv6, YOLOv7, YOLOv8,YOLOX, PPYOLOE, etc. Available online: https://github.com/open-mmlab/mmyolo (accessed on 13 May 2024).
- GitHub-ycwu1997/D-Persona: Official Code for Our CVPR 2024 (Highlight) Paper ‘Diversified and Personalized Multirater Medical Image Segmentation’. Available online: https://github.com/ycwu1997/D-Persona (accessed on 13 May 2024).
- COCO Dataset: All You Need to Know to Get Started. Available online: https://www.v7labs.com/blog/coco-dataset-guide (accessed on 25 August 2024).
- Releases Open-Mmlab/Mmpretrain. Available online: https://github.com/open-mmlab/mmpretrain/releases (accessed on 13 May 2024).
- ImageNet. Available online: https://www.image-net.org/ (accessed on 25 August 2024).
- AdamW-PyTorch 2.3 Documentation. Available online: https://pytorch.org/docs/stable/generated/torch.optim.AdamW.html (accessed on 25 August 2024).
- Chou, S.H.; LeBoff, M.S. Vertebral Imaging in the Diagnosis of Osteoporosis: A Clinician’s Perspective. Curr. Osteoporos. Rep. 2017, 15, 509–520. [Google Scholar] [CrossRef] [PubMed]
- Vinayahalingam, S.; van Nistelrooij, N.; van Ginneken, B.; Bressem, K.; Tröltzsch, D.; Heiland, M.; Flügge, T.; Gaudin, R. Detection of mandibular fractures on panoramic radiographs using deep learning. Sci. Rep. 2022, 12, 19596. [Google Scholar] [CrossRef] [PubMed]




| Angulus | Foramen | Vertebral | All | ||
|---|---|---|---|---|---|
| Measure | Value | Value | Value | Value | Derivations | 
| Sensitivity | 0.6667 | 0.8000 | 0.9231 | 0.8333 | TPR = TP/(TP + FN) | 
| Specificity | 0.5593 | 0.7429 | 0.4286 | 0.5974 | SPC = TN/(TP + TN) | 
| Precision | 0.0714 | 0.6400 | 0.5000 | 0.3922 | PPV = TP/(TP + FP) | 
| Negative Predictive Value | 0.9706 | 0.8667 | 0.9000 | 0.9200 | NPV = TN/(TN + FN) | 
| False Positive Rate | 0.4407 | 0.2571 | 0.5714 | 0.4026 | FPR = FP/(TP + TN) | 
| False Discovery Rate | 0.9286 | 0.3600 | 0.5000 | 0.6078 | FDR = FP/(FP + TP) | 
| False Negative Rate | 0.3333 | 0.2000 | 0.1667 | 0.1667 | FNR = FN/(FN + TP) | 
| Accuracy | 0.5645 | 0.7636 | 0.6176 | 0.6535 | ACC = (TP + TN)/(P + N) | 
| F1 Score | 0.1290 | 0.7111 | 0.6486 | 0.5333 | F1 = 2TP/(2TP + FP + FN) | 
| Matthews Correlation Coefficient | 0.0974 | 0.5244 | 0.3750 | 0.3667 | MCC = TP*TN − FP*FN/sqrt((TP + FP)*(TP + FN)*(TN + FP)*(TN + FN)) | 
| AUC (Area under the curve) | 0.61 | 0.77 | 0.80 | 0.76 | 
| Disclaimer/Publisher’s Note: The statements, opinions and data contained in all publications are solely those of the individual author(s) and contributor(s) and not of MDPI and/or the editor(s). MDPI and/or the editor(s) disclaim responsibility for any injury to people or property resulting from any ideas, methods, instructions or products referred to in the content. | 
© 2024 by the authors. Licensee MDPI, Basel, Switzerland. This article is an open access article distributed under the terms and conditions of the Creative Commons Attribution (CC BY) license (https://creativecommons.org/licenses/by/4.0/).
Share and Cite
Gaudin, R.; Vinayahalingam, S.; van Nistelrooij, N.; Ghanad, I.; Otto, W.; Kewenig, S.; Rendenbach, C.; Alevizakos, V.; Grün, P.; Kofler, F.; et al. AI-Powered Identification of Osteoporosis in Dental Panoramic Radiographs: Addressing Methodological Flaws in Current Research. Diagnostics 2024, 14, 2298. https://doi.org/10.3390/diagnostics14202298
Gaudin R, Vinayahalingam S, van Nistelrooij N, Ghanad I, Otto W, Kewenig S, Rendenbach C, Alevizakos V, Grün P, Kofler F, et al. AI-Powered Identification of Osteoporosis in Dental Panoramic Radiographs: Addressing Methodological Flaws in Current Research. Diagnostics. 2024; 14(20):2298. https://doi.org/10.3390/diagnostics14202298
Chicago/Turabian StyleGaudin, Robert, Shankeeth Vinayahalingam, Niels van Nistelrooij, Iman Ghanad, Wolfus Otto, Stephan Kewenig, Carsten Rendenbach, Vasilios Alevizakos, Pascal Grün, Florian Kofler, and et al. 2024. "AI-Powered Identification of Osteoporosis in Dental Panoramic Radiographs: Addressing Methodological Flaws in Current Research" Diagnostics 14, no. 20: 2298. https://doi.org/10.3390/diagnostics14202298
APA StyleGaudin, R., Vinayahalingam, S., van Nistelrooij, N., Ghanad, I., Otto, W., Kewenig, S., Rendenbach, C., Alevizakos, V., Grün, P., Kofler, F., Heiland, M., & von See, C. (2024). AI-Powered Identification of Osteoporosis in Dental Panoramic Radiographs: Addressing Methodological Flaws in Current Research. Diagnostics, 14(20), 2298. https://doi.org/10.3390/diagnostics14202298
 
        


 
       