Clinical and Virological Characteristics and Prognostic Factors in Viral Necrotizing Retinitis
Abstract
1. Introduction
2. Materials and Methods
2.1. Study Design and Regulatory Information
2.2. Population
2.3. Demographic and Clinical Data
2.4. Virological Assessment
2.5. Definition of Slow versus Rapid Responders
2.6. Outcome
- -
- Poor BCVA ≤ 20/100 decimals (i.e., ≥0.7 logMAR) after one month (M1) of treatment.
- -
- Occurrence of RD during the follow-up.
2.7. Statistical Analyses
3. Results
3.1. Characteristics at Baseline
3.2. Follow-Up and Treatment
3.3. Baseline Viral Load and Its Evolution Overtime
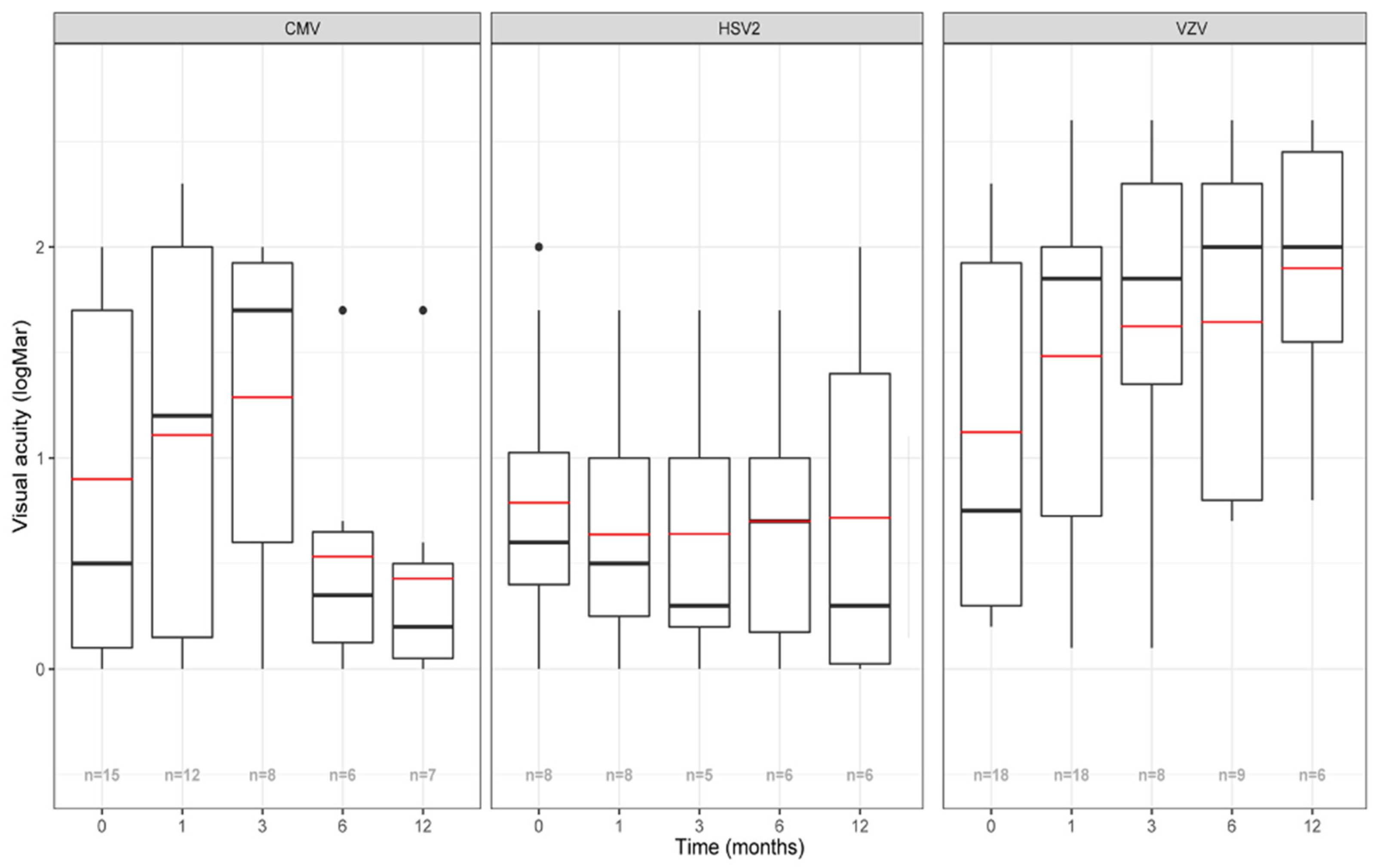
3.4. Visual Outcome
3.5. Bilateral Disease
3.6. Retinal Detachment
3.7. Prognostic Factors of Poor Visual Outcome
3.7.1. Factors Associated with Poor BCVA at One Month of Treatment Initiation
3.7.2. Factors Associated with the Occurrence of Retinal Detachment during the Follow-Up
3.7.3. Role of Immune Status
4. Discussion
5. Conclusions
Supplementary Materials
Author Contributions
Funding
Institutional Review Board Statement
Data Availability Statement
Conflicts of Interest
References
- Dworkin, L.L.; Gibler, T.M.; Van Gelder, R.N. Real-time quantitative polymerase chain reaction diagnosis of infectious posterior uveitis. Arch. Ophthalmol. 2002, 120, 1534–1539. [Google Scholar] [CrossRef] [PubMed]
- Tran, T.H.C. Polymerase chain reaction analysis of aqueous humour samples in necrotising retinitis. Br. J. Ophthalmol. 2003, 87, 79–83. [Google Scholar] [CrossRef] [PubMed]
- Jabs, D.A.; Nussenblatt, R.B.; Rosenbaum, J.T. Standardization of Uveitis Nomenclature for Reporting Clinical Data. Results of the First International Workshop. Am. J. Ophthalmol. 2005, 140, 509–516. [Google Scholar] [CrossRef] [PubMed]
- Nussenblatt, R.B.; Palestine, A.G.; Chan, C.-C.; Roberge, F. Standardizatlon of Vitreal inflammatory Activity in Intermediate and Posterior Uveitis. Ophthalmology 1985, 92, 467–471. [Google Scholar] [CrossRef]
- Wensing, B. Necrotizing and Nonnecrotizing Variants of Herpetic Uveitis With Posterior Segment Involvement. Arch. Ophthalmol. 2011, 129, 403–408. [Google Scholar] [CrossRef] [PubMed]
- Davis, J.L. Diagnostic dilemmas in retinitis and endophthalmitis. Eye 2011, 26, 194–201. [Google Scholar] [CrossRef] [PubMed]
- Bernheim, D.; Germi, R.; Labetoulle, M.; Romanet, J.P.; Morand, P.; Chiquet, C. Time Profile of Viral DNA in Aqueous Humor Samples of Patients Treated for Varicella-Zoster Virus Acute Retinal Necrosis by Use of Quantitative Real-Time PCR. J. Clin. Microbiol. 2013, 51, 2160–2166. [Google Scholar] [CrossRef]
- Calvo, C.M.; Khan, M.A.; Mehta, S.; Garg, S.J.; Dunn, J.P. Correlation of Clinical Outcomes with Quantitative Polymerase Chain Reaction DNA Copy Number in Patients with Acute Retinal Necrosis. Ocul. Immunol. Inflamm. 2016, 25, 246–252. [Google Scholar] [CrossRef]
- Hafidi, M.; Janin-Manificat, H.; Denis, P.; Charleux, B.; Rabilloud, M.; Boibieux, A.; Burillon, C.; Kodjikian, L.; Frobert, E. Acute Retinal Necrosis: Virological Features Using Quantitative Polymerase Chain Reaction, Therapeutic Management, and Clinical Outcomes. Am. J. Ophthalmol. 2019, 208, 376–386. [Google Scholar] [CrossRef]
- Cottet, L.; Kaiser, L.; Hirsch, H.H.; Baglivo, E. HSV2 acute retinal necrosis: Diagnosis and monitoring with quantitative polymerase chain reaction. Int. Ophthalmol. 2008, 29, 199–201. [Google Scholar] [CrossRef]
- Ando, Y. Quantitative Analyses of Cytomegalovirus Genome in Aqueous Humor of Patients with Cytomegalovirus Retinitis. Jpn. J. Ophthalmol. 2002, 46, 254–260. [Google Scholar] [CrossRef]
- Ganatra, J.B.; Chandler, D.; Santos, C.; Kuppermann, B.; Margolis, T.P. Viral causes of the acute retinal necrosis syndrome. Am. J. Ophthalmol. 2000, 129, 166–172. [Google Scholar] [CrossRef]
- Matsuo, T.; Morimoto, K.; Matsuo, N. Factors associated with poor visual outcome in acute retinal necrosis. Br. J. Ophthalmol. 1991, 75, 450–454. [Google Scholar] [CrossRef] [PubMed]
- Meghpara, B.; Sulkowski, G.; Kesen, M.R.; Tessler, H.H.; Goldstein, D.A. Long-term follow-up of acute retinal necrosis. Retina 2010, 30, 795–800. [Google Scholar] [CrossRef]
- Yeh, S. Polymerase chain reaction-based ganciclovir resistance testing of ocular fluids for cytomegalovirus retinitis. Arch. Ophthalmol. 2012, 130, 113–115. [Google Scholar] [CrossRef][Green Version]
- Fisher, J.P.; Lewis, M.L.; Blumenkranz, M.; Culbertson, W.W.; Flynn, H.W.; Clarkson, J.G.; Gass, J.D.M.; Norton, E.W. The Acute Retinal Necrosis Syndrome. Ophthalmology 1982, 89, 1309–1316. [Google Scholar] [CrossRef]
- Hillenkamp, J.; Nölle, B.; Bruns, C.; Rautenberg, P.; Fickenscher, H.; Roider, J. Acute Retinal Necrosis: Clinical Features, Early Vitrectomy, and Outcomes. Ophthalmology 2009, 116, 1971–1975.e2. [Google Scholar] [CrossRef]
- Taylor, S.R.; Hamilton, R.; Hooper, C.Y.; Joshi, L.; Morarji, J.; Gupta, N.; Lightman, S.L. Valacyclovir in the treatment of acute retinal necrosis. BMC Ophthalmol. 2012, 12, 48. [Google Scholar] [CrossRef]
- Cochrane, T.F.; Silvestri, G.; McDowell, C.; Foot, B.; McAvoy, C.E. Acute retinal necrosis in the United Kingdom: Results of a prospective surveillance study. Eye 2012, 26, 370–378. [Google Scholar] [CrossRef]
- Butler, N.J.; Moradi, A.; Salek, S.S.; Burkholder, B.M.; Leung, T.G.; Dunn, J.P.; Thorne, J.E. Acute Retinal Necrosis: Presenting Characteristics and Clinical Outcomes in a Cohort of Polymerase Chain Reaction–Positive Patients. Am. J. Ophthalmol. 2017, 179, 179–189. [Google Scholar] [CrossRef]
- Kanoff, J.; Sobrin, L. New Diagnosis and Treatment Paradigms in Acute Retinal Necrosis. Int. Ophthalmol. Clin. 2011, 51, 25–31. [Google Scholar] [CrossRef] [PubMed]
- Roy, R.; Pal, B.P.; Mathur, G.; Rao, C.; Das, D.; Biswas, J. Acute Retinal Necrosis: Clinical Features, Management and Outcomes —A 10 Year Consecutive Case Series. Ocul. Immunol. Inflamm. 2014, 22, 170–174. [Google Scholar] [CrossRef] [PubMed]
- Jeon, S.; Kakizaki, H.; Lee, W.K.; Jee, D. Effect of Prolonged Oral Acyclovir Treatment in Acute Retinal Necrosis. Ocul. Immunol. Inflamm. 2012, 20, 288–292. [Google Scholar] [CrossRef] [PubMed]
- Winterhalter, S.; Stuebiger, N.; Maier, A.-K.; Pleyer, U.; Heiligenhaus, A.; Mackensen, F.; Zierhut, M.; Joussen, A.M.; Ness, T. Acute Retinal Necrosis: Diagnostic and Treatment Strategies in Germany. Ocul. Immunol. Inflamm. 2015, 24, 1–7. [Google Scholar] [CrossRef] [PubMed]
- Schoenberger, S.D.; Kim, S.J.; Thorne, J.E.; Mruthyunjaya, P.; Yeh, S.; Bakri, S.J.; Ehlers, J.P. Diagnosis and Treatment of Acute Retinal Necrosis. Ophthalmology 2017, 124, 382–392. [Google Scholar] [CrossRef]
- Kim, D.Y.; Jo, J.; Joe, S.G.; Lee, J.Y.; Yoon, Y.H.; Kim, J.-G. Clinical feature and visual prognosis of acute retinal necrosis according to the initially involved zone and extent: 10-year experience. Eur. J. Ophthalmol. 2018, 29, 244–250. [Google Scholar] [CrossRef] [PubMed]
- Kerkhoff, F.T.; Lamberts, Q.J.; Biesen, P.R.V.D.; Rothova, A. Rhegmatogenous retinal detachment and uveitis. Ophthalmology 2003, 110, 427–431. [Google Scholar] [CrossRef]
- Wong, R.; Pavesio, C.E.; Laidlaw, D.A.H.; Williamson, T.; Graham, E.M.; Stanford, M.R. Acute Retinal Necrosis: The Effects of Intravitreal Foscarnet and Virus Type on Outcome. Ophthalmology 2010, 117, 556–560. [Google Scholar] [CrossRef]
- Usui, Y.; Goto, H. Overview and Diagnosis of Acute Retinal Necrosis Syndrome. Semin. Ophthalmol. 2008, 23, 275–283. [Google Scholar] [CrossRef]
- Yeh, S.; Suhler, E.B.; Smith, J.R.; Bruce, B.; Fahle, G.; Bailey, S.T.; Hwang, T.S.; Stout, J.T.; Lauer, A.K.; Wilson, D.J.; et al. Combination Systemic and Intravitreal Antiviral Therapy in the Management of Acute Retinal Necrosis Syndrome. Ophthalmic Surg. Lasers Imaging Retin. 2014, 45, 399–407. [Google Scholar] [CrossRef]


| Virus | |||||
|---|---|---|---|---|---|
| Variables (Described in Terms of Patients) | CMV (N = 13) | HSV2 (N = 8) | VZV (N = 16) | Total (N = 37) | p Value |
| Gender (Females), N (%) | 3/13 (23.1%) | 3/8 (37.5%) | 8/16 (50%) | 14/37 (37.8%) | 0.36 |
| Age, Mean (SD) | 59.6 (17.9) | 37.9 (13.1) | 63.8 (14.9) | 56.7 (18.4) | 0.005 |
| Immunodepression, N (%) | 13/13 (100%) | 0/8 (0%) | 4/16 (25%) | 17/37 (45.9%) | <0.001 |
| Variables (described in terms of eyes) | CMV (N = 15) | HSV2 (N = 8) | VZV (N = 18) | Total (N = 41) | |
| Baseline BCVA (LogMAR), Mean (SD) | 0.9 (0.8) | 0.8 (0.7) | 1.1 (0.8) | 0.9 (0.8) | 0.37 |
| Baseline vitritis grade, Mean (SD) | 1.6 (1.5) | 2.3 (0.7) | 2.4 (0.9) | 2.1 (1.1) | 0.15 |
| Number of retinal quadrants affected by retinal necrosis, Mean (SD) | 1.9 (1.2) | 1.4 (1.0) | 2.6 (1.4) | 2.1 (1.3) | 0.11 |
| Viral load at baseline (Log10), Mean (SD) | 6.2 (1.1) | 5.3 (1.5) | 7.4 (1.0) | 6.6 (1.4) | 0.001 |
| Virus | |||||
|---|---|---|---|---|---|
| Variables (Described in Terms of Eyes) | CMV (N = 15) | HSV2 (N = 8) | VZV (N = 18) | Total (N = 41) | p-Value |
| Bilateralization of viral necrotizing retinitis, N patients (%) | 5/13 (38.5%) | 3/8 (37.5%) | 2/16 (12.5%) | 10/37 (27.0%) | 0.25 |
| Time to bilateralization from 1st visit (months), Mean (SD) | 11 (20.9) | 88 (13.9) | 0.5 (0.7) | 32 (41.8) | 0.046 |
| Retinal detachment during follow-up, N (%) | 3/15 (20%) | 2/8 (25%) | 6/18 (33.3%) | 11/41 (26.8%) | 0.82 |
| Time from diagnosis to RD (days), Mean (SD) | 119 (183.2) | 60 (84.8) | 101.7 (122.4) | 98.8 (123.9) | 0.80 |
| Time from symptom onset to treatment (days), Mean (SD) | 54.2 (73.5) | 4.9 (4.9) | 10.2 (14.2) | 21.7 (44.4) | 0.001 |
| Duration of intravenous treatment (days), Mean (SD) | 29 (29.2) | 21 | 20.4 (9.8) | 23.5 (18.2) | 0.79 |
| IV Acyclovir, N (%) | 4/12 (33.3%) | 4/8 (50%) | 14/18 (77.8%) | 22/38 (57.9%) | 0.04 |
| IV Ganciclovir, N (%) | 8/13 (61.5%) | 0/8 (0%) | 0/18 (0%) | 8/39 (20.5%) | 0.0005 |
| IV Foscarnet, N (%) | 6/13 (46.2%) | 5/8 (62.5%) | 13/18 (72.2%) | 24/39 (61.5%) | 0.35 |
| Number of Ganciclovir IVI, Mean (SD) | 9.2 (10.9) | 4.6 (2.9) | 5.8 (5.7) | 6.8 (7.7) | 0.59 |
| Number of Foscarnet IVIs, Mean (SD) | 1.7 (4.5) | 1.6 (4.6) | 5.7 (8.1) | 3.4 (6.5) | 0.10 |
| Viral load response at 2 +/− 1 weeks of intravenous antiviral therapy initiation (rapid responders), N (%) | 7/13 (53.8%) | 4/6 (66.7%) | 8/17 (47.1%) | 19/36 (52.8%) | 0.84 |
| BCVA ≤ 20/100 at Month 1 | ||||
|---|---|---|---|---|
| Variable | No (N = 14) | Yes (N = 24) | Total (N = 38) | p-Value |
| Age, Mean (SD) | 47.3 (14.7) | 63.0 (18.8) | 58.1 (18.6) | 0.015 |
| Females, N (%) | 4/14 (28.6%) | 13/24 (54.2%) | 17/38 (44.7%) | 0.12 |
| Immunodepression, N (%) | 8/13 (61.5%) | 9/24 (37.5%) | 17/37 (45.9%) | 0.16 |
| Virus | 0.14 | |||
| CMV | 5/14 (35.7%) | 7/24 (29.2%) | 12/38 (31.6%) | |
| HSV2 | 5/14 (35.7%) | 3/24 (12.5%) | 8/38 (21.1%) | |
| VZV | 4/14 (28.6%) | 14/24 (58.3%) | 18/38 (47.4%) | |
| Baseline BCVA (LogMAR), Mean (SD) | 0.6 (0.6) | 1.3 (0.8) | 0.9 (0.8) | 0.002 |
| Baseline vitritis (grade +), Mean (SD) | 1.7 (0.9) | 2.4 (1.1) | 2.1 (1.1) | 0.08 |
| Number of retinal quadrants with necrosis at baseline, Mean (SD) | 1.6 (1.1) | 2.5 (1.4) | 2.1 (1.3) | 0.07 |
| Viral load (Log 10) at baseline, Mean (SD) | 5.7 (1.4) | 7.1 (1.2) | 6.6 (1.4) | 0.007 |
| Time from symptom onset to initiation of treatment (days), Mean (SD) | 15.2 (33.4) | 14.1 (15.2) | 21.7 (44.4) | 0.11 |
| IV Acyclovir, N (%) | 6/14 (42.9%) | 15/21 (71.4%) | 21/35 (60%) | 0.09 |
| IV Ganciclovir, N (%) | 2/14 (14.3%) | 4/22 (18.2%) | 6/36 (16.7%) | 1 |
| IV Foscarnet, N (%) | 9/14 (64.3%) | 14/22 (63.6%) | 23/36 (63.9%) | 0.96 |
| Total number of IVIs, Mean (SD) | 10.5 (10.2) | 10.7 (7.2) | 10.2 (8.2) | 0.54 |
| Number of Ganciclovir IVIs, Mean (SD) | 8.9 (10.6) | 5.9 (5.9) | 6.8 (7.7) | 0.29 |
| Number of Foscarnet IVIs, Mean (SD) | 1.6 (4.2) | 4.9 (7.7) | 3.4 (6.5) | 0.13 |
| Rapid responder, N (%) | 8/11 (72.7%) | 8/22 (36.4%) | 16/33 (48.5%) | 0.04 |
| Univariate Analysis | ||||
|---|---|---|---|---|
| Variable | N (Eyes) | OR | CI 95% | p-Value |
| Virus HSV2 (ref = CMV) | 38 | 0.43 | 0.07–2.68 | 0.131 |
| Virus VZV (ref = CMV) | 38 | 2.5 | 0.51–12.35 | |
| Age (years) | 38 | 1.29 | 1.04–1.6 | 0.01 |
| Baseline BCVA (LogMAR, x10) | 38 | 1.15 | 1.03–1.28 | 0.005 |
| Vitritis (+) | 36 | 1.96 | 1.01–3.98 | 0.047 |
| Baseline viral load (Log10) | 38 | 2.45 | 1.24–4.84 | 0.002 |
| Slow responder (yes) | 33 | 4.67 | 1.01–22.79 | 0.046 |
| Multivariate analysis adjusted on virus type a | ||||
| Baseline viral load (Log10) | 38 | 2.32 | 1.04–5.17 | 0.018 |
| Slow responder (yes) | 33 | 4.91 | 1.01–26.04 | 0.049 |
| Occurrence of Retinal Detachment | ||||
|---|---|---|---|---|
| Variable | No (N = 30) | Yes (N = 11) | Total (N = 41) | p-Value |
| Age, Mean (SD) | 54.8 (16.9) | 66.8 (20.9) | 58.0 (18.6) | 0.07 |
| Females, N (%) | 13/30 (43.3%) | 4/11 (36.4%) | 17/41 (41.5%) | 0.73 |
| Immunodepression, N (%) | 17/29 (58.6%) | 3/11 (27.3%) | 20/40 (50%) | 0.07 |
| Virus, N (%) | 0.82 | |||
| CMV | 12/30 (40%) | 3/11 (27.3%) | 15/41 (36.6%) | |
| HSV2 | 6/30 (20%) | 2/11 (18.2%) | 8/41 (19.5%) | |
| VZV | 12/30 (40%) | 6/11 (54.5%) | 18/41 (43.9%) | |
| Baseline BCVA (LogMAR), Mean (SD) | 0.7 (0.7) | 1.6 (0.7) | 0.9 (0.8) | 0.003 |
| Baseline vitritis (+), Mean (SD) | 1.9 (1.0) | 2.7 (1.2) | 2.1 (1.1) | 0.02 |
| Number of retinal quadrants with necrosis at baseline, Mean (SD) | 1.9 (1.2) | 2.6 (1.4) | 2.1 (1.3) | 0.26 |
| Viral load (Log 10) at baseline, Mean (SD) | 6.3 (1.3) | 7.2 (1.4) | 6.6 (1.4) | 0.14 |
| Time from symptom onset to initiation of treatment (days), Mean (SD) | 24.2 (49.5) | 13.2 (19.0) | 21.7 (44.4) | 0.97 |
| IV Acyclovir, N (%) | 16/28 (57.1%) | 6/10 (60%) | 22/38 (57.9%) | 1 |
| IV Ganciclovir, N (%) | 8/29 (27.6%) | 0/10 (0%) | 8/39 (20.5%) | 0.08 |
| IV Foscarnet, N (%) | 17/29 (58.6%) | 7/10 (70%) | 24/39 (61.5%) | 0.71 |
| Number of IVIs (total), Mean (SD) | 9.4 (5.3) | 12.4 (13.4) | 10.2 (8.2) | 0.80 |
| Number of IVI ≤ 5 N (%) | 13 (43.3%) | 9 (81.8%) | 22 (53.7%) | 0.02 |
| Rapid responder, N (%) | 14/25 (56%) | 5/11 (45.5%) | 19/36 (52.8%) | 0.55 |
Publisher’s Note: MDPI stays neutral with regard to jurisdictional claims in published maps and institutional affiliations. |
© 2022 by the authors. Licensee MDPI, Basel, Switzerland. This article is an open access article distributed under the terms and conditions of the Creative Commons Attribution (CC BY) license (https://creativecommons.org/licenses/by/4.0/).
Share and Cite
Fitoussi, L.; Baptiste, A.; Mainguy, A.; L’Honneur, A.-S.; Bojanova, M.; Dechartres, A.; Rozenberg, F.; Bodaghi, B.; Touhami, S. Clinical and Virological Characteristics and Prognostic Factors in Viral Necrotizing Retinitis. J. Pers. Med. 2022, 12, 1785. https://doi.org/10.3390/jpm12111785
Fitoussi L, Baptiste A, Mainguy A, L’Honneur A-S, Bojanova M, Dechartres A, Rozenberg F, Bodaghi B, Touhami S. Clinical and Virological Characteristics and Prognostic Factors in Viral Necrotizing Retinitis. Journal of Personalized Medicine. 2022; 12(11):1785. https://doi.org/10.3390/jpm12111785
Chicago/Turabian StyleFitoussi, Léa, Amandine Baptiste, Adam Mainguy, Anne-Sophie L’Honneur, Magdalena Bojanova, Agnès Dechartres, Flore Rozenberg, Bahram Bodaghi, and Sara Touhami. 2022. "Clinical and Virological Characteristics and Prognostic Factors in Viral Necrotizing Retinitis" Journal of Personalized Medicine 12, no. 11: 1785. https://doi.org/10.3390/jpm12111785
APA StyleFitoussi, L., Baptiste, A., Mainguy, A., L’Honneur, A.-S., Bojanova, M., Dechartres, A., Rozenberg, F., Bodaghi, B., & Touhami, S. (2022). Clinical and Virological Characteristics and Prognostic Factors in Viral Necrotizing Retinitis. Journal of Personalized Medicine, 12(11), 1785. https://doi.org/10.3390/jpm12111785

