Abstract
The cross-talk between the innate and adaptive immune response represents the first defense weapon against the threat of pathogens. Substantial evidence has shown a relationship between immune phenotype lymphocytes and COVID-19 disease severity and/or implication in susceptibility to SARS-CoV-2 infection. Recently, belonging to ABO blood groups has been investigated as a correlation factor to COVID-19 disease. This pilot study investigated lymphocyte typing in a cohort of blood donors to understand the underlying mechanism in SARS-CoV-2 infection linked to the blood group. The study cohort consisted of 20–64-year-old subjects, without comorbidities, from both sexes, who were COVID-19 vaccinated with previous or no infection history. Whole blood samples, collected at A.O.R.N. Sant’Anna and San Sebastiano Hospital (Campania Region), were processed by multiparametric cytofluorimetric assay, to characterize CD4+ helper and CD8+ cytotoxic T cell CD3+ subpopulations. The CD45RA, CCR7, CD27, CD28, CD57 and PD-1 markers were investigated to delineate the peripheral T-cell maturation stages. Differences were detected in ABO blood types in CD3+, CD4+ gated on CD3+, CD8+ and CD8+ gated on CD3+ percentage. These results contribute to identifying a memory cell “identikit” profile in COVID-19 disease, thus leading to a useful tool in precision medicine.
1. Introduction
The immune system represents a fundamental tool to preserve the organism integrity from external threat. Immunity occurs through two well-recognized mechanisms: innate and adaptive immunity, finely regulated in terms of activation timing and biological factors involved [1]. Innate immunity presents a rapid activation time (from a few minutes to an hour) by the activation of macrophages, Natural Killer cells (NK cells), monocytes and complement system components that activate an inflammatory reaction [2]. In case of eradication failure, pathogens are processed by antigen-presenting cells (APC), able to expose antigenic particles, inducing the specific activation of T and B lymphocytes. The adaptive immunity activation (requires 1–2 weeks) provides cytokine and immunoglobulin release with cellular clonal expansion that generates a long term “memory” in the case of subsequent reinfections [3].
The link between innate and adaptive cell types during infection is finely regulated to perform an efficient immune response. In particular, the B lymphocytes carry out the task of APC cells, directly recognizing the antigen on host membrane cells, that proliferate and transform into the effector cells plasma cells, able to produce antibodies against the specific pathogen. The B cells differ from other lymphocytes by the presence of the B-cell receptor (BCR) [4]. On the other hand, the T lymphocyte TCR/CD4-CD8 receptors recognize the antigenic peptide presented by major histocompatibility complex (MHC) proteins. The main lymphocytes T and B surface biomarkers and their relative functions are reported in Figure 1a,b.

Figure 1.
Schematic representation of lymphocyte B (a) and T (b) markers and their relative functions.
According to their functions, T cells are divided into populations and subpopulations. For the effector T lymphocytes, we find T helper (TH) or CD4+ (subpopulation TH1, TH2, TH3, TH17, TH9, e TFH), T cytotoxic (TC) or CD8+ (Tc double negative and double positive) and T regulator/suppressor TREG (subpopulations: FOXP3+ TREG e FOXP3− TREG). The memory T-cells’ group is made up by the “Naïve” (TN), “central” memory (TCM), “effector” memory (TEM) and “terminally differentiated” effector memory (TEMRA) cells population. In the Natural Killer (NTK) family, we find NKT1, NKT2 and NKT-like. The T lymphocytes γδ are Vγ9/Vδ2 and no-Vδ2+ [5,6,7,8,9,10,11]. T-cell memory subpopulation members differ from each other by the expression of specific markers. Naïve T cells are so defined because they are not already exposed to the antigen. The TN-antigen (MCH-APC) recognition induces the TN activation and proliferation of specific antigen clone cells and differentiation into memory and effector cells [12]. TEM subpopulations migrate to peripheral zone-producing cytokines. TCM can be differentiated in the TEM constituting the reserve for the effector cell population. TEMRAs are characterized by low replicative activity but a high cytotoxicity power [13]. CD28+CD45RA− or CD27+CD45RA− are typical phenotypes of memory T cells, instead, CD28−CD45RA− or CD27−CD45RA− represent memory/effector T-cell phenotype. CD27−CD28− subsets of CD45RA−CD8+ T cells represent high cytokine-producing cells. On the other hand, the co-receptor CCR7 expression in CD45RA−CD8+ and CD27+CD28+ phenotypes did not result in CD27−CD45RA+CD8+ T cells, suggesting its preferentially expression only on naive and memory CD8+ T cells [14]. PD-1 (Programmed Death) represents a checkpoint inhibitor of T-lymphocyte activation, a key biomarker of lymphocyte depletion.
The exhausted cells expressing PD-1 present decreased proliferation and differentiation, and low cytotoxic activity, and are thus associated with poor control of infections [15]. Exhaustion seems to be a reversible process, restoring an activity power to CD8+ lymphocytes, and conversely to the senescence, a shift towards less functional T cells [16]. CD57 is a marker of terminal differentiation, a signature of the mature NK cells, and its expression increases with aging and during chronic infections [17]. The classification of the different lymphocyte subpopulations, by the expression of peculiar surface markers, is reported in Figure 2a,b.

Figure 2.
Activation of lymphocyte B-cell (a) and peripheral T-cell (b) maturation stages and the related surface markers that are expressed.
The association between ABO blood groups and SARS-CoV-2 infection has been poorly investigated. It has been proposed that anti-A and/or anti-B antibodies are able to bind A and/or B antigens expressed on the viral envelope, interfering with virus entry and dissemination [18,19,20,21,22,23]. The increase in ACE1 activity in group A subjects could predispose them to cardiovascular complications, such as the high level of Willebrand factor and Factor VIII levels in ABO type which could contribute to the development of thromboembolic disease and hemorrhage [24,25,26,27,28,29,30,31]. Other literature promotes an association between blood group A and COVID-19 infection [32,33,34,35]. This susceptibility trend was reported by several authors, even if the impact of blood type on clinical outcomes remains unclear.
This pilot study aimed to investigate a lymphocyte “identikit” profile for COVID-19 disease, in a cohort of patients selected from blood groups (A-B-0), by a multiparametric cytofluorimetry approach, to evaluate a possible statistically significant correlation.
2. Materials and Methods
2.1. Samples Collection
Blood donors were recruited between June and October 2023 in the A.O.R.N. Sant’Anna and San Sebastiano, Caserta Hospital (Italy). The cohort study included healthy blood donor subjects aged 20–64 (median age 46 years old), of both sexes, with or without previous COVID-19 infection, with at least one SARS-CoV-2 dose vaccine administered. Peripheric whole blood samples were collected in a blood collection tube containing anticoagulant and immediately processed in the “U.O.C. Immunoematologia e Centro Trasfusionale” laboratory, to perform multiparametric flow cytometry analysis using DURAClone IM B Cell and DURAClone IM T Cell (BECKMAN COULTER) according to the manufacturers’ protocols [36,37]. The present study was conducted in accordance with the Declaration of Helsinki after obtaining the approval by the Azienda Opedaliero–Universitaria Luigi Vanvitelli–AORN Ospedale dei Colli–Local Ethic Committees: Prot. N 0013965i/(11 May 2023) “Analisi quantitativa e qualitativa delle Vescicole Extracellulari in soggetti ospedalizzati con infezione da SARS-CoV-2″; prot.: ESOCOV”. Cytofluorimetric analysis was performed by the NAVIOS EX 10-color flow cytometer (BECKMAN COULTER) specifically for the clinical laboratory analysis [38]. The data obtained were analyzed by KALUZA C software Ver 2.2 (BECKMAN COULTER) [39].
2.2. Inclusion/Exclusion Criteria
Results showing a negative serological analysis for blood-transmissible infections (hepatitis B and C, HTLV, HIV, syphilis) in the enrolled subjects, meant exemption from any pathology or treatment able to interfere with leukocyte parameters. Hence, subjects with any comorbidities, those who were immunocompromised, had a history of cancer or of autoimmune disease, or were undergoing a course of systemic infection, immunomodulating or immunosuppressive therapy, had a presence of a proven severe allergy or had been administered a vaccine less than 3 months before were excluded.
2.3. B and T Lymphocyte Subpopulation Panel
The research approach was articulated by a developed roadmap based on outlining the epidemiological context of the infection in the Campania Region, the recruitment of blood donors and the analysis of memory and senescence cells. Both the B and T lymphocyte subpopulation panels which were analyzed were reported in Table 1. Identification of the lymphocyte subset to predict a personalized immune “identikit” profile in COVID-19 subjects was collocated in the early diagnosis, prognosis and predictive biomarker fields as a translational tool.
Table 1.
Lymphocytes B (A) and T (B) subpopulation panel investigated.
2.4. Statistical Analysis
Descriptive statistics were computed both on the overall population and subgroups, A, B and 0 blood types. In depth qualitative data were expressed as absolute and relative percentage frequencies, whilst quantitative variables were expressed as median and interquartile ranges (IQR) or mean and standard deviation (SD), according to data distribution. Difference between three blood types were assessed by the ANOVA test or Kruskal–Wallis test [40,41,42], whilst the Chi-square test was applied as for qualitative data [43]. When statistical difference was detected, the pairwise t-test or non-parametric Mann–Whitney U test with Benjamini–Hochberg correction for multiple testing was performed. Assessment of non-normal distribution was performed by the Shapiro–Wilk test [44], whereas Levene’s test was used to test the equality of variances between blood type subgroups [45]. A p-value < 0.05 was considered statistically significant. All analyses were performed by R Statistical Software (v.4.3.1, R Core Team 2023), from an experienced author (A.S.).
3. Results
3.1. Enrolled Population
Seventy-five blood donors were recruited for this study, but only seventy-two met all the inclusion criteria chosen. Therefore, our enrolled population, 72 SARS-CoV-2 vaccinated blood donors with a median age of 46.0 (20.0–64.0), consists of 23 (31.9%) women and 49 (68.1%) men; mostly residents in Caserta (88.9%). Twenty-one donors possess A blood type (29.2%), twenty-two present B blood type (30.6%) and twenty-nine for O blood type (40.3%). Our population mostly has a positive Rhesus factor (91.7%) (Table 2). The distribution of Rhesus factor by blood type is reported in Appendix, Table A1. Fifty-one donors (70.8%) declared that they had a previous SARS-CoV-2 infection and only three donors (4.2%) declared two previous infections. Mostly of the enrolled population received three doses of the COVID-19 vaccine (80.6%) (Table 2).
Table 2.
General characteristics of the enrolled population.
The endpoint of this pilot study was to investigate the difference in immunological profile in the A, B and O blood type using specific lymphocyte subpopulations. Panels of investigated markers, obtained through cytofluorimetric analysis, are presented in Figure 3A,B.
Figure 3.
Gating strategy for the identification of the indicated B-cell subsets (A) and indicated T-cell subsets (B) in healthy donors.
3.2. Immuno-Profile Identikit by Blood Type
As already reported, many studies showed a relation between blood type and level of COVID-19 severity or predisposition to the infection. To investigate the underlying variations in this process, we analyzed the immune profile memory related of this cohort of blood donors. First of all, we observed that mean age is quite higher in the B subgroup (47.3 y.o.). Other demographic information was reported in Table 3. Among the three blood type subgroups, the A resulted to be more prone to infection than the others two, since the A blood type has the highest percentage of previous infected donors. Furthermore, donors declaring to have two infections belong to above-mentioned blood type (A). Highest percentage of vaccine’s doses administered (three and four doses) belong to B subgroup (90.1%), followed by the A subgroup (89.7%) (Table 3). Starting with levels of white blood cells, expressed as absolute count and percentage, we detected no statistical differences among the three subgroup (Table 3).
Table 3.
Descriptive analysis of general characteristic of enrolled population and white blood cell values stratified by blood type.
Focusing on lymphocytes, we analyzed the selected lymphocytes B, T-CD4 and T-CD8 subpopulations. Concerning lymphocytes B, although some subpopulations resulted in being higher in one or two subgroups (i.e., Naïve B cells: IgD+ CD27− gated on CD19, B cells IgM+ IgD+ gated on CD19+, CD38− CD27+ gated on IgM− IgD− (switched memory B cells), this was not confirmed by statistical test (Table 4).
Table 4.
Descriptive analysis of lymphocyte B subpopulation stratified by blood type. No statistical differences were detected.
Investigating the CD3 lymphocyte T subpopulation, we observed a statistically significant difference among the three subgroups (p = 0.026). Using the pairwise test with multiple test correction, we can conclude that higher percentage of CD3 subpopulation in O blood type is statistically different from the percentage in A blood type (p = 0.043), whilst the comparison between B and O blood types showed a certain trend toward significance (p = 0.078). Furthermore, the CD4 subpopulation gated on CD3 resulted in being statistically different among three blood types (p = 0.044). In particular, the comparison of B versus O blood type is statistically significant, meaning that the percentage of CD4 subpopulation gated on CD3 in B blood type is higher than the same subpopulation in O blood type (p = 0.047). Concerning lymphocyte T-CD8 subpopulations, we observed a significant difference for CD8 and CD8 gated on CD3 subpopulations (p < 0.001; p = 0.029). Pairs of blood type resulted in being different for a percentage of CD8 subpopulation are both A versus 0 and B versus 0 (p = 0.002; p = 008). Therefore, the CD8’s percentage is higher and significantly different from the other two blood types. CD8 gated on CD3 resulted in being significantly different for just B versus O blood type (p = 0.031) (Table 5).
Table 5.
Descriptive analysis of lymphocytes T-CD4 and T-CD8 subpopulations stratified by blood type. CD3, CD4 gated on CD3, CD8 (cytotoxic) and CD8 gated on CD3 resulted in being statistically different. Pairwise t-test or non-parametric Mann-Whitney U test with Benjamini–Hochberg correction for multiple testing led to a significant result for the comparisons A versus O blood type for CD3 and CD8 (p = 0.043, p = 0.002), whereas A versus O blood type for CD4 gated on CD3 CD8 and CD8 gated on CD3 (p = 0.047, p = 0.008, p = 0.031). *: A p-value < 0.05 was considered statistically significant.
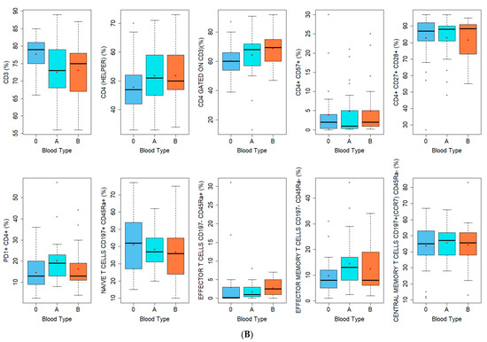
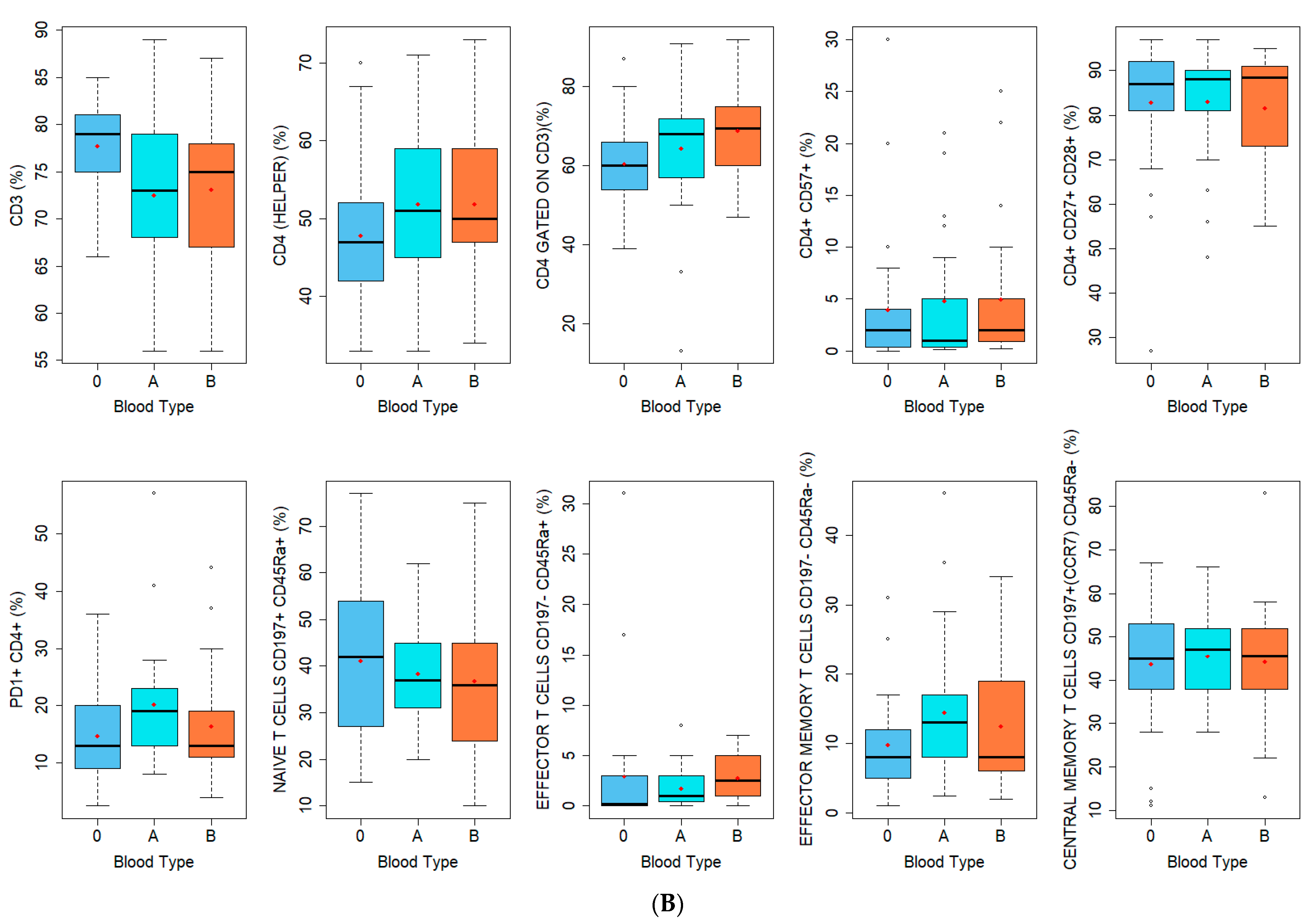
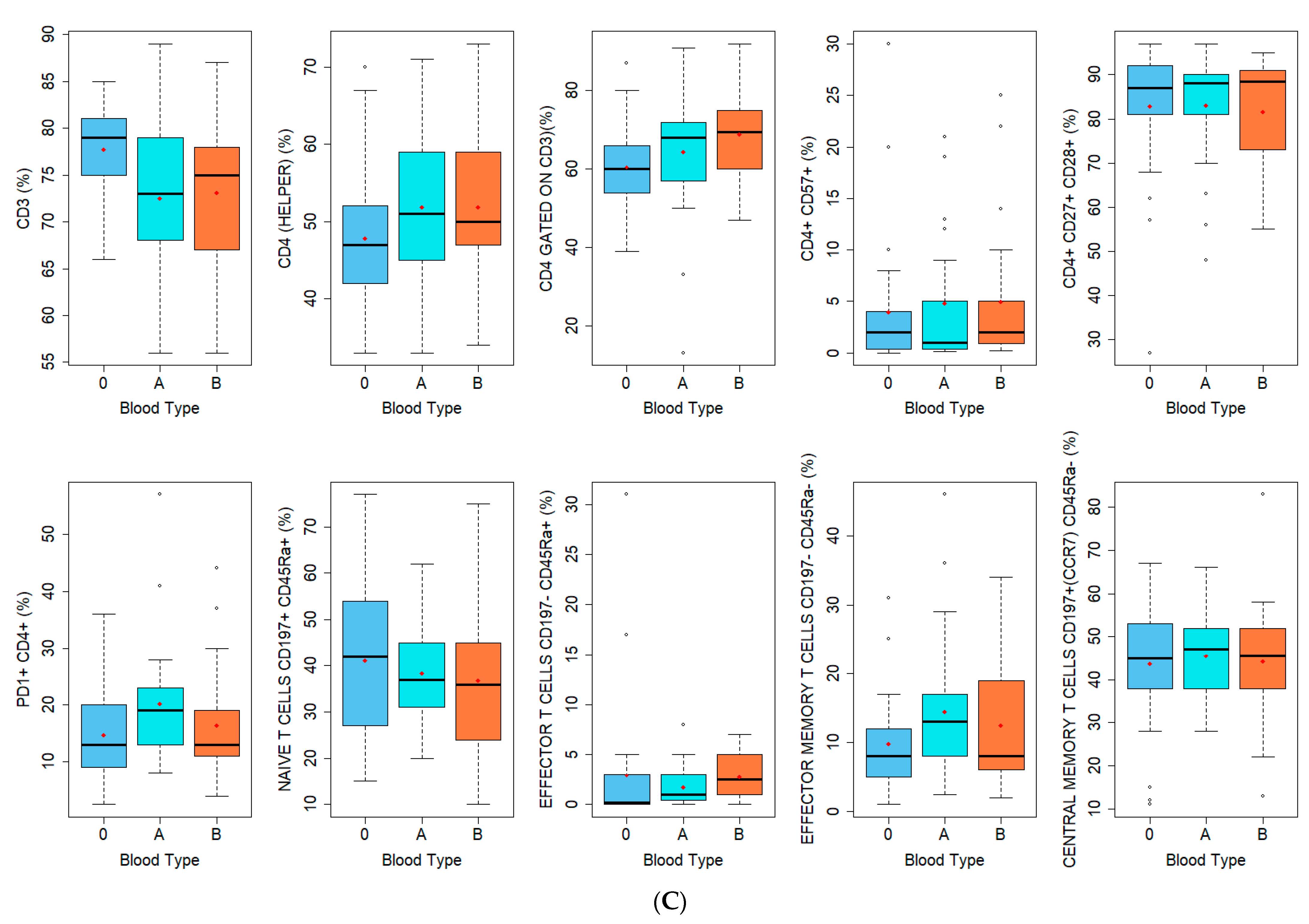
The distribution of each of the selected lymphocyte subpopulation stratified by blood type is represented in the Appendix (Figure A1A–C).
4. Discussion
Since being declared a pandemic in March 2020, COVID-19 disease, mediated by the SARSCoV-2 infection, has represented a global public health emergency provoking billions of deaths around the world. [18]. In particular, COVID-19 disease presents a large spectrum of symptoms, ranging from asymptomatic to critical complications, such as multi-organ failure manifestation [19]. With a greater incidence in males than females and a higher incidence between the ages of 45 and 60, this has caused a collapse of public health with serious economic and psychological repercussions [20]. The immune memory components present considerable heterogeneity; therefore, it is essential to understand the role of immunity linked to the CD4+ or CD8+ phenotype in T lymphocytes, that can avoid a severe evolution of the disease. From the pandemic context, it has emerged that susceptibility to reinfection, despite previous infection and/or administration of repeated vaccine doses over time, is a serious issue today and there is still much to study, characterize and investigate.
What is certain is that SARS-CoV-2 is a virus with a short memory. Today, SARS-CoV-2 already represents an opponent to defeat, and the immune adaptive system seems to be crucial for the immune response to SARS-CoV-2 infection. Several studies highlight the correlation of COVID-19 severity and/or SARS-CoV-2 infection susceptibility to the immune-memory players. Peng et al. [21] demonstrated that the cytotoxic TCD8+ lymphocytes specific for SARS-CoV-2 are important to improve the elimination of the infected cells. In 2022, Beserra et al. [22] correlated the high expression of programmed death protein 1 (PD-1) and sPD-L1 levels in TCD4+ and CD19+ to COVID-19 severity, promoting PD-1/PDL-1 axis as a severity-associated biomarker in SARS-CoV-2-infected patients. Furthermore, Srivastava R. et al. [23] showed very interesting data about the phenotypically and functionally senescent and exhausted CD56+CD57+PD-1+ NK correlated to the severity disease in unvaccinated COVID-19 patients. They also detected a senescent T-cell effector memory phenotype in COVID-19 SYMP individuals (CD57+CD8+ TEM and CD57+CD8+ TEMRA cells). In particular, Agarwal J. et al. [24] showed the useful monitoring of T-cell populations and the CD8 subset to differentiate the COVID-19 patients’ severity, highlighting the increase in the CD8 subsets Tc Naïve-Tim3+, Tc EM-Tim-3+ and Tc CM-Tim-3+ in severe patients compared to mild patients [24]. In further work in 2020, De Biasi S. et al. [25] found that compared with healthy controls, COVID-19 patients showed several alterations in T-cell naïve, central memory, effector memory, regulatory T cells and PD1+CD57+ exhausted pattern cells. On the other hand, altered B cell subsets in acute COVID-19 disease was recorded in the convalescence phase by Shuwa A. et al. [26], with a circulating plasma blast frequency positively associated with IgA/IgG and negatively with IgM. These data promote an expansion of class-switched antibodies in COVID-19 patients.
Failure in B-cell activation or B-cell dysfunction can lead to a severe form of the disease and/or a non-performant response upon vaccination. Immunodeficiency subjects with low level of production of cytokine IL-6 showed a better disease outcome; hence, the evidence highlights a controversial role of B cells in disease progression [27]. These, together with other literature, highlight the need to improve the phenotypical lymphocyte subset characterization related to COVID-19 disease. Unique immunoregulatory system mediated by T-cell exhaustion and suppressive cytokines such as IL-10 are responsible for limiting excessive inflammation and play an important role in homeostasis in the lungs. A balance in the levels of immunoactivation and immunosuppression may therefore be crucial in the host defense against highly pathogenic coronavirus infection. Intriguingly, B-cell production of IL-10 was higher in convalescent patients with good clinical outcomes compared to patients with poor outcomes. An increase in IL-10+ B cells was associated with positive long-term outcomes and the resolution of lung pathology in COVID-19 patients may occur by suppressing excess inflammation activity [26]. This approach allowed us to assess the impact of COVID-19 hospitalization on any subsequent immune response, as opposed to the development of SARS-CoV2-specific memory; in fact IL-10+ CD4+ T cells were expanded in acute COVID-19 patients, but this was not observed in convalescent patients [26].
An important field of investigation about the susceptibility to SARS-CoV-2 infection and/or the severity of disease concerns the stratification by blood groups membership. This correlation arises from already well-known studies about the susceptibility to other viruses’ infection based on blood type, such as Norwalk virus and Hepatitis B [28,29]. Finally, Zhao J. et al. [30], demonstrated the predisposition of blood group A to the risk of infection, whereas group 0 was associated with a minor susceptibility in a cohort of Chinese COVID-19 patients; differences among the immune profile of ABO blood types were detected on lymphocyte T subpopulations. In particular, the CD3 subpopulation resulted in being lower in A blood type than in O blood type. In the same way, CD8 subpopulation percentage was lower in A and B blood type with respect to O blood type. CD4 gated on CD3 percentage was higher in B than in O blood type. On the contrary, CD8 gated on the CD3 subpopulation resulted higher in O blood type than in B blood type.
Together, these findings can help explain the varying global distribution of the virus, as well novel strategies of prevention or intervention [7,14,46,47,48,49,50]. They also enable the identification of individuals at higher risk of infection or poorer outcomes [19,49,51,52,53,54]. Additionally, by identifying the ABO blood type that binds viral peptides with greater affinity, these results can assist in developing population-specific vaccination strategies.
Future research is necessary to validate these findings in different patient populations and to investigate whether other variables, such as HLA loci, contribute to the susceptibility to SARS-CoV-2 infection and the progression of COVID-19.
5. Conclusions
Data in several studies show a correlation between ABO blood type and the severity of the disease, or with the patient’s outcome and/or susceptibility to infection. In our study, we highlight the importance of the immune pattern in relation to blood groups. The interpretation of the data may be important to characterize the susceptibility to infections in subjects belonging to different blood groups, from a lymphocyte phenotyping point of view. Observing variations in effector lymphocyte or memory markers could highlight the difference that leads to a different susceptibility to infection based on blood groups. Here, we characterize a T-cell subset profile able to understand the change inside the memory population, to discriminate the vaccine-mediated memory efficacy in respect to the virus direct exposition. We observed that O blood type CD3, CD8 and CD8 gated on CD3 subpopulation has a higher percentage, whereas CD4 gated on CD3 has lower percentage, with respect to other blood type. This profile may explain previously reported differences, but this research needs further investigation.
Author Contributions
Conceptualization, A.B., E.S. and M.D.D.; methodology, A.S. and E.S.; statistical analysis, A.S.; validation, V.C.A.C., E.S. and S.C.; investigation, E.S. and A.B.; resources, S.A.R., V.C.A.C. and C.P.; data curation, A.S.; writing—original draft preparation: all the authors; acquisition, analysis and interpretation of the data for the work: all the authors.; writing—review and editing, A.B., A.S. and S.C.; bibliographic research, F.F.V.e.S., A.B. and S.C.; visualization, M.M.M., F.F.V.e.S. and L.L.M.; software and methodology, V.C.A.C., L.L.M. and S.C.; critical revision of the manuscript for important intellectual content, M.D.D., S.C. and A.B.; supervision, A.B.; project administration, A.B. and S.C.; funding acquisition, M.D.D. and A.B. Agreement to be accountable for all aspects of the work in ensuring that questions related to the accuracy or integrity of any part of the work are appropriately investigated and resolved: all the authors. Finally, Marina Di Domenico, Enrica Serretiello, Annafrancesca Smimmo and Stefania Cantore, equally contributed as co-first authors. All authors have read and agreed to the published version of the manuscript.
Funding
This research was funded by the Regione Campania—(POR FESR CAMPANIA 2014-2020-OS 1.3-AZIONE 1.3.1 AVVISO PUBBLICO DI CUI AL DD n.19/2022 DG 50.04–PROGETTO: “Analisi molecolare e tipizzazione linfocitaria finalizzata al monitoraggio della memoria immunitaria nell’infezione da SARS-CoV-2”, UNICAMPANIA-CUP B63C22001210007-SURF 21058BP000000020-P.I: Prof. Marina Di Domenico).
Institutional Review Board Statement
The present study was conducted in accordance with the Declaration of Helsinki after obtaining the approval by the Azienda Opedaliero–Universitaria Luigi Vanvitelli–AORN Ospedale dei Colli–Local Ethic Committees: Prot. N 0013965i/(11 May 2023) “Analisi quantitativa e qualitativa delle Vescicole Extra-cellulari in soggetti ospedalizzati con infezione da SARS-CoV-2″; prot.: ESOCOV”.
Informed Consent Statement
All donors, on a voluntary basis, signed an informed consent to participate in this observational study.
Data Availability Statement
The original contributions presented in the study are included in the articlefurther inquiries can be directed to the corresponding author.
Conflicts of Interest
The authors declare no conflicts of interest.
Appendix A
Table A1.
Distribution of Rhesus factor among enrolled population expressed as absolute and relative percentage frequencies.
Table A1.
Distribution of Rhesus factor among enrolled population expressed as absolute and relative percentage frequencies.
| Blood Type | Study Population (N = 72) | |||
|---|---|---|---|---|
| A | B | 0 | ||
| (N = 21) | (N = 22) | (N = 29) | ||
| Rhesus factor | ||||
| − | 3 (14.3%) | 2 (9.1%) | 1 (3.4%) | 6 (8.3%) |
| + | 18 (85.7%) | 20 (90.9%) | 28 (96.6%) | 66 (91.7%) |


Figure A1.
These three boxplots display the observed frequency distribution of all lymphocytes’ subpopulations analyzed, stratified on blood type. Data between the 10th and 90th percentile are shown as a rectangular box, divided at the median (black line), while the lower and upper portions are indicated by lines drawn to the extreme values of the range. More information about data distribution are provided adding mean value of each variable (red dots). Points outside the portions can be considered outliers. (A) Boxplot for distribution of lymphocytes B subpopulations divided by blood type. (B) Boxplot for distribution of lymphocytes T-CD4+ subpopulations divided by blood type. (C) Boxplot for distribution of lymphocytes T-CD8+ subpopulations divided by blood type.
Figure A1.
These three boxplots display the observed frequency distribution of all lymphocytes’ subpopulations analyzed, stratified on blood type. Data between the 10th and 90th percentile are shown as a rectangular box, divided at the median (black line), while the lower and upper portions are indicated by lines drawn to the extreme values of the range. More information about data distribution are provided adding mean value of each variable (red dots). Points outside the portions can be considered outliers. (A) Boxplot for distribution of lymphocytes B subpopulations divided by blood type. (B) Boxplot for distribution of lymphocytes T-CD4+ subpopulations divided by blood type. (C) Boxplot for distribution of lymphocytes T-CD8+ subpopulations divided by blood type.



References
- Jordan, S.C. Innate and adaptive immune responses to SARS-CoV-2 in humans: Relevance to acquired immunity and vaccine responses. Clin. Exp. Immunol. 2021, 204, 310–320. [Google Scholar] [CrossRef] [PubMed]
- Meijers, M.; Ruchnewitz, D.; Eberhardt, J.; Karmakar, M.; Łuksza, M.; Lässig, M. Concepts and methods for predicting viral evolution. arXiv 2024, arXiv:2403.12684v2. [Google Scholar]
- Farber, D.L.; Netea, M.G.; Radbruch, A.; Rajewsky, K.; Zinkernagel, R.M. Immunological memory: Lessons from the past and a look to the future. Nat. Rev. Immunol. 2016, 16, 124–128. [Google Scholar] [CrossRef] [PubMed]
- Wang, Y.; Liu, J.; Burrows, P.D.; Wang, J.-Y. B Cell Development and Maturation. Adv. Exp. Med. Biol. 2020, 1254, 1–22. [Google Scholar] [CrossRef] [PubMed]
- Gutcher, I.; Becher, B. APC-derived cytokines and T cell polarization in autoimmune inflammation. J. Clin. Investig. 2007, 117, 1119–1127. [Google Scholar] [CrossRef] [PubMed]
- Burren, O.S.; García, A.R.; Javierre, B.-M.; Rainbow, D.B.; Cairns, J.; Cooper, N.J.; Lambourne, J.J.; Schofield, E.; Dopico, X.C.; Ferreira, R.C.; et al. Chromosome contacts in activated T cells identify autoimmune disease candidate genes. Genome Biol. 2017, 18, 165. [Google Scholar] [CrossRef] [PubMed]
- Charitos, I.A.; Ballini, A.; Lovero, R.; Castellaneta, F.; Colella, M.; Scacco, S.; Cantore, S.; Arrigoni, R.; Mastrangelo, F.; Dioguardi, M. Update on COVID-19 and Effectiveness of a Vaccination Campaign in a Global Context. Int. J. Environ. Res. Public Health 2022, 19, 10712. [Google Scholar] [CrossRef]
- Sallusto, F.; Lenig, D.; Förster, R.; Lipp, M.; Lanzavecchia, A. Two subsets of memory T lymphocytes with distinct homing potentials and effector functions. Nature 1999, 401, 708–712. [Google Scholar] [CrossRef]
- Shin, H.; Iwasaki, A. Tissue-resident memory T cells. Immunol. Rev. 2013, 255, 165–181. [Google Scholar] [CrossRef]
- Lee, Y.J.; Jameson, S.C.; Hogquist, K.A. Alternative memory in the CD8 T cell lineage. Trends Immunol. 2011, 32, 50–56. [Google Scholar] [CrossRef]
- Godfrey, D.I.; MacDonald, H.R.; Kronenberg, M.; Smyth, M.J.; Van Kaer, L. NKT cells: What’s in a name? Nat. Rev. Immunol. 2004, 4, 231–237. [Google Scholar] [CrossRef] [PubMed]
- Jameson, J.; Havran, W.L. Skin γδ T-cell functions in homeostasis and wound healing. Immunol. Rev. 2007, 215, 114–122. [Google Scholar] [CrossRef] [PubMed]
- Stemberger, C.; Huster, K.M.; Koffler, M.; Anderl, F.; Schiemann, M.; Wagner, H.; Busch, D.H. A single naive CD8+ T cell precursor can develop into diverse effector and memory subsets. Immunity 2007, 27, 985–997. [Google Scholar] [CrossRef] [PubMed]
- Serretiello, E.; Ballini, A.; Smimmo, A.; Acunzo, M.; Raimo, M.; Cantore, S.; Di Domenico, M. Extracellular Vesicles as a Translational Approach for the Treatment of COVID-19 Disease: An Updated Overview. Viruses 2023, 15, 1976. [Google Scholar] [CrossRef] [PubMed]
- Tomiyama, H.; Matsuda, T.; Takiguchi, M. Differentiation of human CD8(+) T cells from a memory to memory/effector phenotype. J. Immunol. 2002, 168, 5538–5550. [Google Scholar] [CrossRef] [PubMed]
- Bi, J.; Tian, Z. NK Cell Exhaustion. Front. Immunol. 2017, 8, 760. [Google Scholar] [CrossRef] [PubMed]
- Sakuishi, K.; Apetoh, L.; Sullivan, J.M.; Blazar, B.R.; Kuchroo, V.K.; Anderson, A.C. Targeting Tim-3 and PD-1 pathways to reverse T cell exhaustion and restore anti-tumor immunity. J. Exp. Med. 2010, 207, 2187–2194, Erratum: J. Exp. Med. 2011, 208, 1331. [Google Scholar] [CrossRef]
- Cirillo, N.; Bizzoca, M.E.; Muzio, E.L.; Cazzolla, A.P.; Muzio, L.L. Gustatory dysfunction in COVID-19 patients: A rapid systematic review on 27,687 cases. Acta Odontol. Scand. 2021, 79, 418–425. [Google Scholar] [CrossRef]
- Ballini, A.; Cantore, S.; Serretiello, E.; Troiano, G.; Smimmo, A.; Dioguardi, M.; Spirito, F.; Sasso, F.C.; De Vito, D.; Muzio, L.L.; et al. Multiparametric correlation of laboratory biomarkers to multiorgan failure outcome in hospitalized COVID-19 patients: A retrospective observational study. Eur. Rev. Med. Pharmacol. Sci. 2023, 27, 8962–8974. [Google Scholar] [CrossRef]
- Boccellino, M. COVID-19 Pandemic: Therapeutic Strategies and Vaccines. Int. J. Mol. Sci. 2023, 25, 556. [Google Scholar] [CrossRef]
- Peng, Y.; Mentzer, A.J.; Liu, G.; Yao, X.; Yin, Z.; Dong, D.; Dejnirattisai, W.; Rostron, T.; Supasa, P.; Liu, C.; et al. Broad and strong memory CD4+ and CD8+ T cells induced by SARS-CoV-2 in UK convalescent individuals following COVID-19. Nat. Immunol. 2020, 21, 1336–1345. [Google Scholar] [CrossRef] [PubMed]
- Beserra, D.R.; Alberca, R.W.; Branco, A.C.C.C.; Oliveira, L.d.M.; Andrade, M.M.d.S.; Gozzi-Silva, S.C.; Teixeira, F.M.E.; Yendo, T.M.; Duarte, A.J.d.S.; Sato, M.N. Upregulation of PD-1 Expression and High sPD-L1 Levels Associated with COVID-19 Severity. J. Immunol. Res. 2022, 2022, 9764002. [Google Scholar] [CrossRef] [PubMed]
- Srivastava, R.; Dhanushkodi, N.; Prakash, S.; Coulon, P.G.; Vahed, H.; Zayou, L.; Quadiri, A.; BenMohamed, L. High Frequencies of Phenotypically and Functionally Senescent and Exhausted CD56+CD57+PD-1+ Natural Killer Cells, SARS-CoV-2-Specific Memory CD4+ and CD8+ T cells Associated with Severe Disease in Unvaccinated COVID-19 Patients. bioRxiv 2022, 27, 501655. [Google Scholar] [CrossRef]
- Awasthi, N.P.; Singh, S.; Tiwari, V.; Agarwal, J. Sequential Shifting in T-helper and T-cytotoxic Subset Cell Population in Mild and Severe COVID-19 Patients Infected With Variant B.1.61. Cureus 2023, 15, e40556. [Google Scholar] [CrossRef]
- De Biasi, S.; Meschiari, M.; Gibellini, L.; Bellinazzi, C.; Borella, R.; Fidanza, L.; Gozzi, L.; Iannone, A.; Tartaro, D.L.; Mattioli, M.; et al. Marked T cell activation, senescence, exhaustion and skewing towards TH17 in patients with COVID-19 pneumonia. Nat. Commun. 2020, 11, 3434. [Google Scholar] [CrossRef] [PubMed]
- Shuwa, H.A.; Shaw, T.N.; Knight, S.B.; Wemyss, K.; McClure, F.A.; Pearmain, L.; Prise, I.; Jagger, C.; Morgan, D.J.; Khan, S.; et al. Alterations in T and B cell function persist in convalescent COVID-19 patients. Med 2021, 2, 720–735.e4. [Google Scholar] [CrossRef] [PubMed]
- Quinti, I.; Lougaris, V.; Milito, C.; Cinetto, F.; Pecoraro, A.; Mezzaroma, I.; Mastroianni, C.M.; Turriziani, O.; Bondioni, M.P.; Filippini, M.; et al. A possible role for B cells in COVID-19? Lesson from patients with agammaglobulinemia. J. Allergy Clin. Immunol. 2020, 146, 211–213.e4. [Google Scholar] [CrossRef]
- Batool, Z.; Durrani, S.H.; Tariq, S. Association of Abo And Rh Blood Group Types To Hepatitis B, Hepatitis C, Hiv And Syphilis Infection, A Five Year’ Experience in Healthy Blood Donors in A Tertiary Care Hospital. J. Ayub Med. Coll. Abbottabad. 2017, 29, 90–92. [Google Scholar] [PubMed]
- Lindesmith, L.; Moe, C.; Marionneau, S.; Ruvoen, N.; Jiang, X.; Lindblad, L.; Stewart, P.; LePendu, J.; Baric, R. Human susceptibility and resistance to Norwalk virus infection. Nat. Med. 2003, 9, 548–553. [Google Scholar] [CrossRef]
- Zhao, J.; Yang, Y.; Huang, H.; Li, D.; Gu, D.; Lu, X.; Zhang, Z.; Liu, L.; Liu, T.; Liu, Y.; et al. Relationship between the ABO Blood Group and the Coronavirus Disease 2019 (COVID-19) Susceptibility. Clin. Infect. Dis. 2021, 73, 328–331. [Google Scholar] [CrossRef]
- Goel, R.; Bloch, E.M.; Pirenne, F.; Al-Riyami, A.Z.; Crowe, E.; Dau, L.; Land, K.; Townsend, M.; Jecko, T.; Rahimi-Levene, N.; et al. ABO blood group and COVID-19: A review on behalf of the ISBT COVID-19 working group. Vox Sang. 2021, 116, 849–861. [Google Scholar] [CrossRef] [PubMed]
- Severe COVID-19 GWAS Group. Genomewide association study of severe COVID-19 with respiratory failure. N. Engl. J. Med. 2020, 383, 1522–1534. [Google Scholar] [CrossRef] [PubMed]
- Li, J.; Wang, X.; Chen, J.; Cai, Y.; Deng, A.; Yang, M. Association between ABO blood groups and risk of SARS-CoV-2 pneumonia. Br. J. Haematol. 2020, 190, 24–27. [Google Scholar] [CrossRef] [PubMed]
- Wu, Y.; Feng, Z.; Li, P.; Yu, Q. Relationship between ABO blood group distribution and clinical characteristics in patients with COVID-19. Clin. Chim. Acta 2020, 509, 220–223. [Google Scholar] [CrossRef] [PubMed]
- Latz, C.A.; DeCarlo, C.; Boitano, L.; Png, C.Y.M.; Patell, R.; Conrad, M.F.; Eagleton, M.; Dua, A. Blood type and outcomes in patients with COVID-19. Ann. Hematol. 2020, 99, 2113–2118. [Google Scholar] [CrossRef] [PubMed]
- DURAClone IM T Cell Subsets Protocol. Available online: https://www.beckman.it/reagents/coulter-flow-cytometry/antibodies-and-kits/duraclone-panels/duraclone-im-t-cell-subsets/protocol (accessed on 11 May 2023).
- DURAClone IM B Cell Protocol. Available online: https://www.beckman.it/reagents/coulter-flow-cytometry/antibodies-and-kits/duraclone-panels/duraclone-im-b-cell/protocol (accessed on 23 May 2023).
- Navios EX. Available online: https://www.beckman.com/flow-cytometry/clinical-flow-cytometers/navios-ex (accessed on 11 May 2024).
- Software di analisi Kaluza C. Available online: https://www.beckman.it/flow-cytometry/software/kaluza-c (accessed on 11 May 2024).
- Kim, T.K. Understanding one-way ANOVA using conceptual figures. Korean J. Anesthesiol. 2017, 70, 22–26. [Google Scholar] [CrossRef] [PubMed]
- McHugh, M.L. The Chi-square test of independence. Biochem. Med. 2013, 23, 143–149. [Google Scholar] [CrossRef] [PubMed]
- Hthelee, L.H.H.; Sadooghiasl, A.; Kermanshahi, S.M. Moral distress and moral courage among Iraqi nurses during the COVID-19 pandemic: A cross-sectional study. J. Med. Ethic-Hist. Med. 2023, 16, 19. [Google Scholar] [CrossRef]
- Spriestersbach, A.; Röhrig, B.; du Prel, J.B.; Gerhold-Ay, A.; Blettner, M. Descriptive statistics: The specification of statistical measures and their presentation in tables and graphs. Part 7 of a series on evaluation of scientific publications. Dtsch. Arztebl. Int. 2009, 106, 578–583. [Google Scholar] [CrossRef]
- Pitiriga, V.C.; Papamentzelopoulou, M.; Konstantinakou, K.E.; Vasileiou, I.V.; Sakellariou, K.S.; Spyrou, N.I.; Tsakris, A. Persistence of T-Cell Immunity Responses against SARS-CoV-2 for over 12 Months Post COVID-19 Infection in Unvaccinated Individuals with No Detectable IgG Antibodies. Vaccines 2023, 11, 1764. [Google Scholar] [CrossRef]
- Levene, H. Robust Tests for Equality of Variances. In Contributions to Probability and Statistics; Stanford University Press: Palo Alto, CA, USA, 1960; pp. 278–292. [Google Scholar]
- Amoroso, A.; Magistroni, P.; Vespasiano, F.; Bella, A.; Bellino, S.; Puoti, F.; Alizzi, S.; Vaisitti, T.; Boros, S.; Grossi, P.A.; et al. HLA and AB0 Polymorphisms May Influence SARS-CoV-2 Infection and COVID-19 Severity. Transplantation 2021, 105, 193–200. [Google Scholar] [CrossRef] [PubMed]
- Nigro, G.L.; Bizzoca, M.E.; Muzio, L.L.; Campisi, G. The Management of Dental Practices in the Post-COVID 19 Era: An Economic and Operational Perspective. Int. J. Environ. Res. Public Health 2020, 17, 8905. [Google Scholar] [CrossRef] [PubMed]
- Pannone, G.; Caponio, V.C.A.; De Stefano, I.S.; Ramunno, M.A.; Meccariello, M.; Agostinone, A.; Pedicillo, M.C.; Troiano, G.; Zhurakivska, K.; Cassano, T.; et al. Lung histopathological findings in COVID-19 disease—A systematic review. Infect. Agents Cancer 2021, 16, 34. [Google Scholar] [CrossRef] [PubMed]
- Hoseinnezhad, T.; Soltani, N.; Ziarati, S.; Behboudi, E.; Mousavi, M.J. The role of HLA genetic variants in COVID-19 susceptibility, severity, and mortality: A global review. J. Clin. Lab. Anal. 2024, 38. [Google Scholar] [CrossRef] [PubMed]
- Muzio, L.L.; Bizzoca, M.E.; Ravagnan, G. New intriguing possibility for prevention of coronavirus pneumonitis: Natural purified polyphenols. Oral Dis. 2022, 28, 899–903. [Google Scholar] [CrossRef] [PubMed]
- Zhurakivska, K.; Troiano, G.; Pannone, G.; Caponio, V.C.A.; Muzio, L.L. An Overview of the Temporal Shedding of SARS-CoV-2 RNA in Clinical Specimens. Front. Public Health 2020, 8, 00487. [Google Scholar] [CrossRef] [PubMed]
- Di Domenico, M.; De Rosa, A.; Boccellino, M. Detection of SARS-COV-2 Proteins Using an ELISA Test. Diagnostics 2021, 11, 698. [Google Scholar] [CrossRef] [PubMed]
- Vitiello, A.; Ferrara, F.; Auti, A.M.; Di Domenico, M.; Boccellino, M. Advances in the Omicron variant development. J. Intern. Med. 2022, 292, 81–90. [Google Scholar] [CrossRef]
- Di Domenico, M.; De Rosa, A.; Di Gaudio, F.; Internicola, P.; Bettini, C.; Salzano, N.; Castrianni, D.; Marotta, A.; Boccellino, M. Diagnostic Accuracy of a New Antigen Test for SARS-CoV-2 Detection. Int. J. Environ. Res. Public Health 2021, 18, 6310. [Google Scholar] [CrossRef]
Disclaimer/Publisher’s Note: The statements, opinions and data contained in all publications are solely those of the individual author(s) and contributor(s) and not of MDPI and/or the editor(s). MDPI and/or the editor(s) disclaim responsibility for any injury to people or property resulting from any ideas, methods, instructions or products referred to in the content. |
© 2024 by the authors. Licensee MDPI, Basel, Switzerland. This article is an open access article distributed under the terms and conditions of the Creative Commons Attribution (CC BY) license (https://creativecommons.org/licenses/by/4.0/).




