Abstract
Objectives: We aimed to develop and validate a simple, easy-to-use risk stratification tool to use in the diagnosis of gestational diabetes mellitus (GDM) to triage those more likely to require insulin treatment. Methods: Using an audit of patients with GDM in 2019, multivariable logistic regression was used to select variables and develop a prediction model for insulin requirement. A stratification tool was developed by dichotomising these selected variables; its performance was assessed with an internal cohort from 2021 and externally from patients managed at a separate hospital. Results: Patients with a higher fasting blood glucose concentration (OR 2.41, 95% CI 1.84–3.15) and higher booking body mass index (OR 1.48, 95% CI 1.07–2.03) were more likely to require insulin therapy whilst a later gestational-weeks-at-diagnosis value gave a lower risk of insulin therapy (OR 0.71, 95% CI 0.62–0.81 per week). The low-risk group for insulin requirement was defined thus: fasting blood glucose < 5.6 mmol/L, booking BMI < 30 kg/m2, and gestational weeks at diagnosis ≥ 24 weeks. This classification had a negative predictive value (NPV) of 94% for insulin requirement, with a sensitivity of 84% and specificity of 56% in the development cohort. Similarly, in the internal and external validation cohorts, the NPVs were 93 and 90%, with sensitivity values of 77 and 78%, respectively. Conclusions: This study developed a pragmatic tool with three criteria for stratifying the GDM group not requiring insulin treatment, with successful validation for clinical use.
1. Introduction
Gestational diabetes (GDM) is characterised as a state of carbohydrate intolerance resulting in hyperglycaemia, and is associated with maternal adverse outcomes and neonatal morbidity, including shoulder dystocia, birth trauma, and macrosomia [1]. The prevalence of GDM has been rising steadily in the context of increasing maternal ages and obesity, lower thresholds for diagnosis, and more widespread testing [2,3]. The associated care is hugely burdensome for the obstetric care system, with annual costs of GDM care estimated at USD 5.6 billion in China [4]. Thus, stratifying care to those patients at most risk of disease complications and with the highest disease burden is a reasonable approach to optimise patient outcomes.
Maintaining blood glucose concentrations within the target range during pregnancies can reduce the risk of diabetes-related complications. Lifestyle interventions (diet and exercise) typically constitute the first management approach. If insufficiently effective, then pharmacological treatment is usually offered, typically with metformin or insulin [5]. Where both metformin and insulin are used, they are often introduced in a stepwise fashion such that those requiring insulin have more hyperglycaemia following diagnosis, consistent with having worse GDM-related outcomes to those not requiring additional insulin treatment [6,7]. However, insulin is not cost-effective compared to metformin alone [8]. More specialist expertise is required to ensure safe insulin administration, such as in teaching patients about proper injection techniques, insulin storage, adjusting insulin doses, and recognising and managing hypoglycaemia.
It is recognised that there are limited data on the use of personalised medicine in GDM care, and the use of a “one size fits all” approach does not reflect individual pregnancy outcomes for affected individuals [9]. Current recommendations [10] for the management of patients with GDM are applied irrespective of disease severity, and patients tend to be seen within specialist diabetes multidisciplinary clinics. To enable complex diabetes care to be focused on those patients at highest risk of complications, we proposed designing our care provision to stratify pathways into general or specialist obstetric care, with approximately half of our patients with GDM entering each pathway. For this to be practical, a pragmatic and simple stratification tool required development, specific to our patient population, which could be applied at the point of diagnosis and would have a low “false negative” to identify those patients requiring more complex diabetes care provision to be moved from an original lower-risk care pathway. Although models to stratify insulin requirement had been proposed in previous studies, few had developed simple, pragmatic stratification tools suitable for use in busy clinical settings [11,12,13]. Moreover, most existing stratification tools weigh false positive and false negative equally [14].
Therefore, we aimed to develop and validate a simple risk stratification tool that can be used at the time of GDM diagnosis in a busy clinical setting to identify patients at low risk and higher risk of insulin requirement.
2. Materials and Methods
2.1. Study Population and Design
The study population included (1) patients who were diagnosed with GDM by 75 g oral glucose tolerance test (OGTT), (2) patients whose treatment information was available in the electronic medical record, and (3) patients giving birth at St Thomas’ Hospital during 2019 (model development cohort) and from the second quarter of 2022 (end of the pandemic restrictions in the UK) to the first quarter of 2023 (internal validation cohort) or patients giving birth at Princess Royal University Hospital in 2022 (external validation cohort). GDM was diagnosed according to NICE criteria [10] if the woman had either a fasting plasma glucose concentration of 5.6 mmol/L or above or a 2 h plasma glucose concentration of 7.8 mmol/L or above [10].
Typical management of GDM at both hospitals was as follows. All patients diagnosed with GDM received lifestyle education including advice on eating a healthy, balanced diet, keeping to a healthy weight, staying active, and doing regular exercise. For patients who were unable to maintain adequate glycaemic control with lifestyle intervention only, metformin was recommended. If metformin was contraindicated, not tolerated, or unable to achieve satisfactory glycaemic control, insulin was used to control blood glucose concentrations. On occasion, insulin treatment was offered immediately, for example for some patients with fasting plasma glucose concentration above 7.0 mmol/L at diagnosis.
2.2. Ethical Approval
Patients’ data were collected as part of a clinical audit of patient care and a quality improvement project for the management of patients with gestational diabetes mellitus. The clinical audits were reviewed by, and registered with, the GSTT clinical governance team (7591 and 16167) and the Princess Royal University Hospital clinical governance team (OBS4/2022/PRUH). Members of the direct care team extracted individual patient data from electronic patient records (Badgernet), after which identifying patient details were removed; these data were used to support a quality improvement project to risk-stratify clinical care organisation. The NHS HRA (Health Research Authority) decision tool was used to confirm that the study did not require separate Research Ethics Committee approval (https://www.hra-decisiontools.org.uk/ethics/ assessed on 6 May 2025) as application of our findings to other clinical settings requires patient-specific cohort assessment; individualised clinical decisions about use of medication and provision of care are bespoken to each setting, rather than being generalisable from publication. As such, individual patient data are not available for sharing. The project was conducted according to the recommendations of the Healthcare Quality Improvement Partnership (https://www.hqip.org.uk/wp-content/uploads/2017/02/guide-to-managing-ethical-issues-in-quality-improvement-or-clinical-audit-projects.pdf accessed on 6 May 2025).
2.3. Candidate Predictors and Outcomes
We selected routinely obtained parameters at the times of GDM diagnosis as candidate variables for the prediction of insulin therapy, which included maternal age, parity, booking body mass index (BMI), the gestational age at GDM diagnosis, fasting blood glucose concentration, and 2 h blood glucose concentration from OGTT and HbA1c at diagnosis.
The primary outcome was defined as the requirement for insulin treatment. The secondary outcome was a composite of GDM-related perinatal complications, including obstetric anal sphincter injury (OASI), large-for-gestational-age neonate, shoulder dystocia, and neonatal unit admission. Any one of the four outcomes present was defined as confirming the presence of the composite outcome. OASI was defined as a third- or fourth-degree perineal tear. A large-for-gestational-age neonate was defined as birth weight above the 90th percentile adjusted for gestational age calculated using the Fetal Medicine Foundation algorithm [15].
2.4. Statistical Analysis
The continuous variables were reported as means ± SDs or medians and interquartile ranges (IQRs) according to whether these variables were distributed normally. The categorical variables were presented as numbers and percentages. The Shapiro–Wilk test was used to assess variable distribution for continuous data.
Univariate logistic regression was performed to determine the associations between candidate variables and the requirement for insulin. The candidate variables presenting statistical significance (p < 0.20) upon univariate analysis were then included in the initial multiple logistic regression model [16]. We used a stepwise forward selection method with the Akaike Information Criterion (AIC) to build the final predictive model with the remaining variables. To quantify the influence of each predictor on the risk of requiring insulin, the odds ratio (OR) and corresponding 95% confidence interval (95% CI) were estimated.
To evaluate the model performance, we calculated the area under the ROC curve (AUC) based on the final model in the development cohort. A nomogram was constructed based on the predictive model to present the effect of each variable on the probability of insulin requirement.
The stratification tool for insulin requirement was developed by dichotomising the selected variables. We estimated the sensitivity, specificity, positive predictive value (PPV), and negative predictive value (NPV) of the final risk stratification tool. We validated this stratification tool both in internal and external validation cohorts and reassessed its performance.
Multiple imputation was used to address the presence of missing data in the model development cohort. Five imputation sets were generated. The imputation model, with the assumption of data missing at random, included all baseline characteristics (except ethnicity) and all candidate predictors and outcomes. Model coefficients were averaged across the 5 repetitions using “MA.criteria” [17]. We used the 2.5 and 97.5 percentiles from 200 bootstrap samples as the limits of the 95% confidence intervals of model coefficients.
All statistical analyses were performed using R 4.0.3 (packages: rms (version 6.7.1), MASS (version 7.3.60), MAMI (version 0.9.13), mice (version 3.16.0), pROC (version 1.18.5)) [18]. Except for the univariate logistic regression analysis, we defined p < 0.20 as a criterion to select candidate variables into multiple logistic regression. p < 0.05 was considered as showing statistical significance in all other tests.
2.5. Sample Size Calculation
Sample size calculation was performed based upon the inclusion of seven variables in our initial prediction tool development. We assumed that 15% of our patients would require insulin treatment. Using the simple suggestion that 10 adverse events should be reported per variable tested, this would have required 467 patients to be included. However, this relatively simple approach has been contested [19]; therefore, we also used the pmsampsize code in Stata (Version 18.0), selecting an assumed c-statistic of 0.75. This suggested a final sample size for the development cohort of 572 patients. Our existing annual audit reported data from 617 patients for the development cohort year, which was therefore assumed to be of adequate power to determine this prediction tool.
Data from a second cohort of patients from the same hospital were used as an internal validation cohort as an alternative to data splitting or boot-strapping the original sample. The sample size calculation was performed retrospectively as it utilised only the three selected variables from the multivariable regression. Using the same assumptions as previously, the estimated sample size for this was 246; the risk of overfitting from the first model necessitated inclusion of a higher number of patients, and therefore, data were selected pragmatically from patients giving birth in the 9 months post pandemic restrictions to match care provision and clinical decision making as experienced by the development cohort.
3. Results
There were 617, 487, and 205 patients who fulfilled the inclusion criteria in the model development cohort, internal validation cohort, and external validation cohort, respectively.
3.1. Variable Selection and Model Development
The characteristics of patients with GDM requiring insulin and women not requiring insulin in the model development cohort are shown in Table 1. In the OGTT, 12.6% of the patients had high fasting blood glucose (≥5.6 mmol/L) only; 70.2% of the patients had high 2 h blood glucose (≥7.8 mmol/L) only; 17.2% of patients had both high fasting and 2 h blood glucose concentrations. A total of 81.7% of patients did not require insulin therapy. The median booking BMI in the insulin-treated group was 31.2 kg/m2 (IQR 26.7–35.5) compared to 26.1 kg/m2 (IQR 23.0–31.0) in the non-insulin-treated group. The median fasting blood glucose in the insulin-treated group was 5.8 mmol/L (IQR 5.2–6.5) compared to 5.0 mmol/L (IQR 4.6–5.5) in the non-insulin-treated group. Shoulder dystocia occurred in 3.5% of deliveries in the insulin-treated group compared to 0.8% in the non-insulin-treated group. Babies born large-for-gestational-age occurred for in 11.5% of the insulin-treated group and 7.0% in the non-insulin-treated group
Table 1.
Comparison of characteristics between insulin treatment group and no-insulin-treatment group in model development cohort.
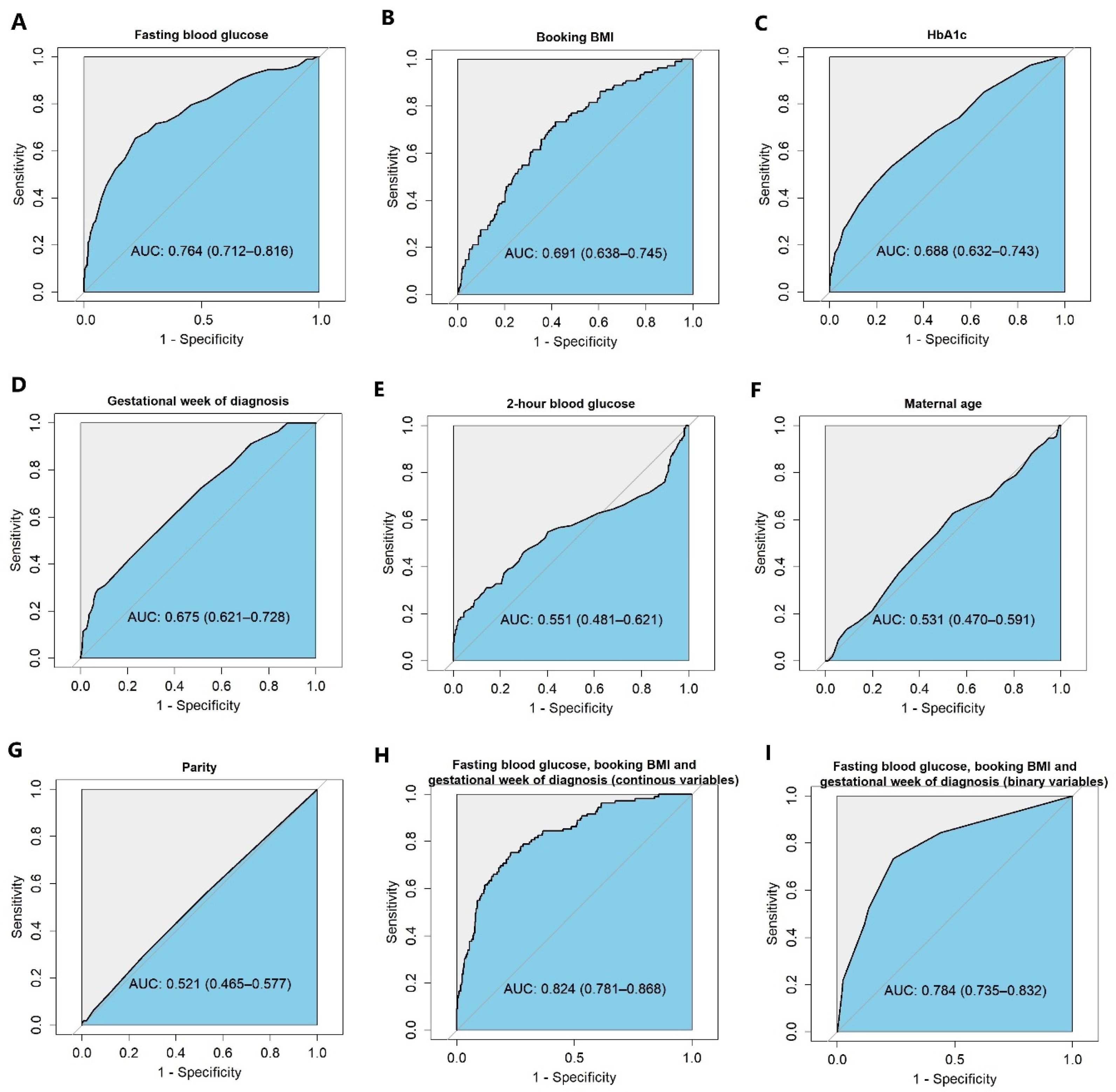
The associations between candidate predictors and insulin requirement were identified via univariate analysis separately (Table 2). The fasting blood glucose concentration, 2 h blood glucose concentration, HbA1c, booking BMI, and gestational weeks at the time of GDM diagnosis were significant predictors at the setting of p < 0.20. Fasting blood glucose had the greatest discriminative ability to predict whether patients would need insulin treatment (Figure 1). These variables were then included in the initial multiple logistic regression model. After applying a stepwise selection method with AIC criteria, HbA1c and 2 h blood glucose dropped out. In the final predictive model, patients with a higher fasting blood glucose concentration and higher booking BMI had an increased risk of requiring insulin therapy (OR 2.41, 95% CI 1.84–3.15 per mmol/L and OR 1.48, 95% CI 1.07–2.03 per kg/m2, respectively). A later gestational-weeks-at-diagnosis value had a lower risk of insulin therapy (OR 0.71, 95% CI 0.62–0.81 per week) (Table 2).
Table 2.
Univariate, multivariate, and model selection results of logistic regressions for predicting insulin treatment.
Figure 1.
The ROCs of logistic models predicting insulin requirement. (A–G): ROC curves derived from univariate logistic regression model predicting insulin requirement. (H): The ROC curve of the multiple logistic regression model with three continuous variables (fasting blood glucose, booking BMI, and gestational week of GDM diagnosis). Model formula: Y = 0.974 × fasting blood glucose − 0.116 × gestational weeks at diagnosis + 0.047 × booking BMI − 5.258. (I): The ROC curve of the multiple logistic regression model with dichotomous variables (fasting blood glucose < 5.6 mmol/L or ≥5.6 mmol/L, booking BMI < 30 kg/m2 or ≥30 kg/m2 and gestational weeks at diagnosis ≥ 24 weeks or <24 weeks). ROC: receiver operating characteristic.
The missing data in the model development cohort are shown in Table S1. In the sensitivity analysis, we repeated the model selection process using five imputed datasets. The same three variables (fasting blood glucose, gestational weeks at GDM diagnosis, and booking BMI) were selected in the final predictive model (Table S2).
3.2. Developing a Simple Risk Stratification Tool to Stratify the Two Groups and the Performance of This Simple Risk Stratification Tool
The predictive performance of the model with continuous variables was shown by the area under the receiver operating characteristic curve (AUC ROC) to be 0.82 (95% CI 0.78 to 0.87) (Figure 1H). A nomogram was constructed based on the model with continuous variables to calculate the probability of insulin requirement for patients with GDM (Figure S1). A subgroup with a higher risk of insulin therapy was identified at the setting of 10% probability. This cutoff showed a sensitivity of 85.3%, specificity of 54.8%, PPV of 29.6%, and NPV of 94.4% (Table S3). A total of 284 (47%) patients were classified into the low-risk group, of whom 5.6% (n = 16/284) received insulin (Table S3).
In order to improve clinical utility, we dichotomised three variables separately (fasting blood glucose < 5.6 mmol/L or ≥5.6 mmol/L, booking BMI < 30 kg/m2 or ≥30 kg/m2, and GDM diagnosed before or after 24 weeks’ gestation) and built a predictive model with these categorical variables. These criteria were selected pragmatically from clinical experience and based on established diagnostic thresholds and the clinical delivery of care. These were very similar to the cutoffs chosen by the statistical method where Youden’s index is maximum (Figure S2). The performance of the model with binary variables was slightly compromised compared to the model with continuous variables, (ROC AUC 0.78, 95% CI 0.74 to 0.83) (Figure 1). We identified 291/598 (49%) of patients who did not have these risk factors for insulin requirement (fasting blood glucose < 5.6 mmol/L, booking BMI < 30 kg/m2, and gestational weeks at diagnosis ≥ 24 weeks) (Table 3) and defined this group as the low-risk group; those with any criterion increasing the likelihood of insulin requirement were defined as being in the high-risk group. This classification showed a specificity of 56.0%, sensitivity of 84.4%, PPV of 30.0%, and NPV of 94.2% (Table 3). The performance was similar to setting a 0.1 probability to cutoff values in the model with continuous variables (Table S3). Using this stratification, only 6% (17/291) of the low-risk group received insulin, OR 0.14 (95% CI 0.08–0.25). Compared to the high-risk group, they also had a lower risk of GDM-related composite adverse pregnancy outcomes (OR 0.53, 95% CI 0.34–0.82) (Table S4).
Table 3.
Sensitivity, specificity, positive predictive value, and negative predictive value data of the stratification tool in model development cohort.
3.3. Internal and External Validation
The sensitivity (76.6%) and NPV (92.9%) of the stratification tool in the internal validation cohort were similar to those in the model development cohort (Table 4). By applying this tool, a total of 253 patients (52%) were classified as being in the low-risk group, of whom only 18 patients (7%) required insulin therapy, which was similar to the result from the model development cohort. The low-risk group identified by the simple tool had a lower risk of requiring insulin treatment (OR 0.23 95% CI 0.13–0.40), although no difference in the risk of GDM-related composite adverse birth outcomes was noted (OR 0.71, 95% CI 0.44–1.16) (Table S5).
Table 4.
The performance of stratification tool in internal and external validation cohorts.
The sensitivity and NPV of the stratification tool in the external validation cohort were 78.3% and 90.4%, respectively. The performance was similar to that in the model development cohort and internal validation cohort. The lower-risk group identified by the simple tool in the external cohort had a similarly lower risk of requiring insulin therapy (OR 0.19, 95% CI 0.09–0.41) but not a lower risk of experiencing any of the composite adverse outcomes (OR 0.60, 95% CI 0.27–1.32), consistent with the internal validation cohort.
4. Discussion
We developed a pragmatic tool to identify a low-risk group of patients with GDM not requiring insulin treatment; this tool was successfully validated with internal and external patient cohorts. Using three stratification criteria at diagnosis (booking BMI < 30 kg/m2, fasting blood glucose < 5.6 mmol/L, and gestational weeks at diagnosis ≥ 24 weeks), almost half of the patients with GDM were at low risk of requiring insulin, enabling the stratification of patients’ care pathways.
One strength of this study was that our simple risk stratification tool used predictors present at GDM diagnosis, and we were reassured that the tool performed similarly for patients with GDM after the COVID pandemic (during which antenatal care modifications occurred). External validation from a district general hospital, but also within a London borough, similarly demonstrated the utility of our simple model. A further strength of this study was the mixed ethnicity in our populations, which made this tool more likely to be applicable to a broader range of settings.
There were several limitations of our study. Our tool was developed for GDM diagnosed by NICE criteria; it is unclear how well this tool works for populations diagnosed using different criteria. Another limitation was the retrospective study design based on the data existing in the electronic patient records.
Multiple factors have previously been identified as predictors for insulin requirement at different stages of pregnancy [11,12,13,20]. Aiming to develop a pragmatic model to be applied at the time of GDM diagnosis, we selected the readily accessible maternal characteristics and biochemical variables as candidate predictors. It is striking that our “real world” data identified variables predictive of subsequent insulin requirement similar to those identified in a recent systematic review of personalised medicine approaches in gestational diabetes approaches [21]; we support the suggestion of these authors that future research should harness more complex “omic” technology to further advance the application of personalised medicine within GDM management.
The three variables included in our final models had all been identified as risk factors for insulin requirement in previous studies [13]. Despite use in different patient population and with different GDM diagnostic criteria, that fasting blood glucose was the strongest predictor of insulin requirement was consistent with previous work [11,22,23,24]; this was also tenable in early-onset GDM [14]. Whether the inclusion of other markers of hyperglycemia in predictive models is of benefit differs between studies: HbA1c and post-carbohydrate glucose measurements in the OGTT were not additionally relevant for us or for Akinci’s model [25]. However, Barnes [26] reported that HbA1c retained significance in the multivariable regression model, and others have found both HbA1c and 2 h glucose are independent predictors of insulin requirement after adjustment for fasting blood glucose [20,27]. These inconsistencies suggest the value of developing tools appropriate to the target population.
Although several studies had developed a risk prediction model for the necessity of insulin therapy, none had specially aimed to identify a lower-risk-of-GDM group. A common stratification method was setting a probability cutoff after predictive models were established; some studies chose to set a cutoff of 50% probability of insulin requirement, implying that false positive and false negative classifications are equally important; however, Greenland [28] argues that missing a patient with the event is usually more important than the incorrect classification of a patient without the outcome. Sapienza [29] stratified two groups by setting a cutoff value of 30% probability of insulin requirement: 177 patients had less than 0.3 probability of requiring insulin; however, 42.4% and 44.6% of 177 patients received insulin treatment based on two separate models, which was not adequate for our clinical need. Accordingly, we set a 0.9 probability of not requiring insulin as a cutoff to identify the “low-risk” patients. This cutoff classified almost half (46%) of our patients into the low-risk group, of whom only 5.9% received insulin.
Many predictive models in GDM care with good AUCs are hard to translate into clinical use as they include variables not routinely measured, such as sex hormone binding globulin (SHBG) [30]. Some studies have reported complex equations including numerous predictors, which make their models unfeasible to apply with current technology in the busy clinical setting, including those models developed using supervised machine learning algorithms [12]. Instead of setting a cutoff probability, some studies have categorised the variables for easier clinical application. Barnes [26] dichotomised seven predictors of insulin requirement although they did not define low- and high-risk groups. Eleftheriades [22] introduced a classification tree method, by which eight groups of patients with GDM were separated by risk of insulin requirement; 67% of patients formed the lowest-risk group, with 8% probability of insulin requirement; however, the performance measures (sensitivity, specificity, PPV, and NPV) of these criteria were not reported. Koefoed [31] developed a point score system, and 642 (58.2%) patients were categorised into a “low-risk group” with a cutoff score < 3; however, of these, 77 (27.3%) of these still required insulin treatment. The tool that we proposed classified almost half (49%) of our patients into the low-risk group, of whom only 6% received insulin. In order to avoid many false negatives (patients requiring insulin who are misclassified into the low-risk group), the tool has a relatively low specificity (56%) with 44% of patients who do not require insulin being allocated to the high-risk group (false positive). For the organisation of our clinical service, we believe that this trade-off is justified; the unique nature of this simple predictive tool is that it differs from many others, which aim to maximize specificity at the expense of sensitivity.
Given that smoking has been associated with increased insulin resistance and higher rates of insulin requirement in GDM [32], for populations with higher background rates of pre-pregnancy smoking, this could be included in future iterations of this predictive model; locally, the South East London patient group has low, and falling, rates of smoking in pregnancy, and therefore, the inclusion of this as another variable would be unlikely to have additional benefit.
5. Conclusions
In summary, we have demonstrated the use of routinely collected data to enable the development of a risk stratification tool to identify patients with GDM at low risk of needing insulin treatment; the validity of the tool can be applied to a similar population within the region. Future work will assess the clinical impact of adoption of this tool within the clinical setting.
6. Patients
The study population included the following: (1) patients who were diagnosed with GDM by 75 g oral glucose tolerance tests (OGTTs), (2) patients whose treatment information was available in the electronic medical record, and (3) patients giving birth at St Thomas’ Hospital during 2019 (model development cohort) and from the second quarter of 2022 (end of the pandemic restrictions in the UK) to the first quarter of 2023 (internal vali-dation cohort) or patients giving birth at Princess Royal University Hospital in 2022 (external validation cohort). Patients’ details were included as part of a clinical audit of patient care and a quality improvement project for the management of patients with gestational diabetes mellitus. Following extraction from electronic patient records (Badgernet), identifying patient details were removed by pseudoanonymising data. The audits were registered with the GSTT clinical governance team (7591 and 16167) and the Princess Royal University Hospital clinical governance team (OBS4/2022/PRUH).
Supplementary Materials
The following supporting information can be downloaded at: https://www.mdpi.com/article/10.3390/jpm15060223/s1, Figure S1: Nomogram representing the results of the logistic regression model for the prediction of insulin requirement; Figure S2: The cutoff of each variable based on where the Youden’s index was maximum; Table S1: Characteristics of data used for model development cohort and proportion with missing data; Table S2: Multiple logistic regression results of predicting insulin requirement after data imputation; Table S3: The performance of classification based on the cutoff of 0.1 probability of insulin treatment; Table S4: The risk of insulin treatment and GDM-related composite adverse outcome in model development cohort; Table S5: The risk of insulin treatment and GDM-related adverse outcome in validation cohorts.
Author Contributions
C.O., K.P., M.C. and A.B. contributed to the conception and design of the study. T.I.M.K., C.O., E.E.O., H.L.N., A.H. and D.A. collected the data. X.Y. and T.I.M.K. cleaned the data. X.Y. performed the data analysis. X.Y. wrote the initial draft of the manuscript, with significant contributions from C.O. All authors have read and agreed to the published version of the manuscript.
Funding
This research received no external funding.
Institutional Review Board Statement
Ethical approval is not required because these data were generated as part of a quality improvement project rather than a clinical research project. Approval was granted through the institutional clinical audit committees rather than review boards.
Informed Consent Statement
Patient consent was not required due to these data being pseudoanonymised and collected as clinical audit data for the purpose of review and quality improvement.
Data Availability Statement
Data were collected as part of registered clinical audits at both St Thomas’ Hospital and Princess Royal University Hospital (GSTT audit IDs: 7591 and 16167, PRUH audit ID: OBS4/2022/PRUH). Individual participant data would not be available for data sharing, although summary data would be available at reasonable request to the corresponding author.
Acknowledgments
We acknowledge all the patients involved in this study. We acknowledge the healthcare professionals and institutions that provided support during the data collection process.
Conflicts of Interest
C.O. has consulted for Mirum Pharmaceuticals. Other authors declare no conflict of interest.
Abbreviations
The following abbreviations have been used in this manuscript:
| GDM | Gestational diabetes mellitus |
| OR | Odds ratio |
| NPV | Negative predictive value |
| OGTT | Oral glucose tolerance test |
| OASI | Obstetric anal sphincter injury |
| IQR | Interquartile range |
| AIC | Akaike Information Criterion |
| AUC | Area under the ROC curve |
| PPV | Positive predictive value |
| CI | Confidence interval |
| BMI | Body mass index |
References
- Biju, P.B.; Chaudhary, R.K.; Radhakrishnan, K.; Shetty, S.; Mateti, U.V.; Raju, B.N.; Sonkusare, S. Gestational Diabetes and Analysis of Maternal and Fetal Outcomes Among Pregnant Women: A Cross-Sectional Study. J. Obstet. Gynecol. India 2023, 74, 447–453. [Google Scholar] [CrossRef] [PubMed]
- Saeedi, M.; Cao, Y.; Fadl, H.; Gustafson, H.; Simmons, D. Increasing prevalence of gestational diabetes mellitus when implementing the IADPSG criteria: A systematic review and meta-analysis. Diabetes Res. Clin. Pract. 2021, 172, 108642. [Google Scholar] [CrossRef] [PubMed]
- Deitch, J.; Yates, C.J.; Hamblin, P.S.; Kevat, D.; Shahid, I.; Teale, G.; Lee, I. Prevalence of gestational diabetes mellitus, maternal obesity and associated perinatal outcomes over 10 years in an Australian tertiary maternity provider. Diabetes Res. Clin. Pract. 2023, 203, 110793. [Google Scholar] [CrossRef] [PubMed]
- Xu, T.; Dainelli, L.; Yu, K.; Ma, L.; Silva Zolezzi, I.; Detzel, P.; Fang, H. The short-term health and economic burden of gestational diabetes mellitus in China: A modelling study. BMJ Open 2017, 7, e018893. [Google Scholar] [CrossRef]
- Yu, Y.H.; Platt, R.W.; Reynier, P.; Yu, O.H.Y.; Filion, K.B. Use of metformin and insulin among pregnant women with gestation diabetes in the United Kingdom: A population-based cohort study. Diabet. Med. J. Br. Diabet. Assoc. 2023, 40, e15108. [Google Scholar] [CrossRef]
- Bogdanet, D.; Egan, A.; Reddin, C.; Kirwan, B.; Carmody, L.; Dunne, F. ATLANTIC DIP: Despite insulin therapy in women with IADPSG diagnosed GDM, desired pregnancy outcomes are still not achieved. What are we missing? Diabetes Res. Clin. Pract. 2018, 136, 116–123. [Google Scholar] [CrossRef]
- Sheng, B.; Ni, J.; Lv, B.; Jiang, G.; Lin, X.; Li, H. Short-term neonatal outcomes in women with gestational diabetes treated using metformin versus insulin: A systematic review and meta-analysis of randomized controlled trials. Acta Diabetol. 2023, 60, 595–608. [Google Scholar] [CrossRef]
- Wu, R.; Li, Z. Cost-effectiveness analysis of metformin versus insulin in the treatment of gestational diabetes mellitus. Arch. Gynecol. Obstet. 2024, 310, 135–144. [Google Scholar] [CrossRef]
- Yeung, R.O.; Retnakaran, R.; Savu, A.; Butalia, S.; Kaul, P. Gestational diabetes: One size does not fit all-an observational study of maternal and neonatal outcomes by maternal glucose profile. Diabet. Med. J. Br. Diabet. Assoc. 2024, 41, e15205. [Google Scholar] [CrossRef]
- NICE Diabetes in Pregnancy: Management from Preconception to the Postnatal Period. 2015. Available online: https://www.nice.org.uk/guidance/ng3 (accessed on 15 May 2025).
- Lee, S.H.; Yu, J.; Han, K.; Lee, S.W.; You, S.Y.; Kim, H.S.; Cho, J.-H.; Yoon, K.-H.; Kim, M.K. Predicting the Risk of Insulin-Requiring Gestational Diabetes before Pregnancy: A Model Generated from a Nationwide Population-Based Cohort Study in Korea. Endocrinol. Metab. 2023, 38, 129–138. [Google Scholar] [CrossRef]
- Liao, L.D.; Ferrara, A.; Greenberg, M.B.; Ngo, A.L.; Feng, J.; Zhang, Z.; Bradshaw, P.T.; Hubbard, A.E.; Zhu, Y. Development and validation of prediction models for gestational diabetes treatment modality using supervised machine learning: A population-based cohort study. BMC Med. 2022, 20, 307. [Google Scholar] [CrossRef] [PubMed]
- Alvarez-Silvares, E.; Bermúdez-González, M.; Vilouta-Romero, M.; García-Lavandeira, S.; Seoane-Pillado, T. Prediction of insulin therapy in women with gestational diabetes: A systematic review and meta-analysis of observational studies. J. Perinat. Med. 2022, 50, 608–619. [Google Scholar] [CrossRef] [PubMed]
- Souza, A.; Costa, R.A.; Paganoti, C.F.; Rodrigues, A.S.; Zugaib, M.; Hadar, E.; Hod, M.; Francisco, R.P.V. Can we stratify the risk for insulin need in women diagnosed early with gestational diabetes by fasting blood glucose? J. Matern.-Fetal Neonatal Med. 2019, 32, 2036–2041. [Google Scholar] [CrossRef]
- Nicolaides, K.H.; Wright, D.; Syngelaki, A.; Wright, A.; Akolekar, R. Fetal Medicine Foundation fetal and neonatal population weight charts. Ultrasound Obstet. Gynecol. 2018, 52, 44–51. [Google Scholar] [CrossRef]
- Chowdhury, M.Z.I.; Turin, T.C. Variable selection strategies and its importance in clinical prediction modelling. Fam. Med. Community Health 2020, 8, e000262. [Google Scholar] [CrossRef]
- Schomaker, M.; Heumann, C. Model selection and model averaging after multiple imputation. Comput. Stat. Data Anal. 2014, 71, 758–770. [Google Scholar] [CrossRef]
- R Core Team. R: A Language and Environment for Statistical Computing; R Foundation for Statistical Computing: Vienna, Austria, 2020; Available online: https://www.r-project.org (accessed on 5 May 2025).
- van Smeden, M.; de Groot, J.A.; Moons, K.G.; Collins, G.S.; Altman, D.G.; Eijkemans, M.J.; Reitsma, J.B. No rationale for 1 variable per 10 events criterion for binary logistic regression analysis. BMC Med. Res. Methodol. 2016, 16, 163. [Google Scholar] [CrossRef]
- Zhang, Y.; Shao, J.; Li, F.; Xu, X. Factors in Gestational Diabetes Mellitus Predicting the Needs for Insulin Therapy. Int. J. Endocrinol. 2016, 2016, 4858976. [Google Scholar] [CrossRef]
- Benham, J.L.; Gingras, V.; McLennan, N.M.; Most, J.; Yamamoto, J.M.; Aiken, C.E.; Ozanne, S.E.; Reynolds, R.M. Precision gestational diabetes treatment: A systematic review and meta-analyses. Commun. Med. 2023, 3, 135. [Google Scholar] [CrossRef]
- Eleftheriades, M.; Chatzakis, C.; Papachatzopoulou, E.; Papadopoulos, V.; Lambrinoudaki, I.; Dinas, K.; Chrousos, G.; Sotiriadis, A. Prediction of insulin treatment in women with gestational diabetes mellitus. Nutr. Diabetes 2021, 11, 30. [Google Scholar] [CrossRef]
- Koning, S.H.; Scheuneman, K.A.; Lutgers, H.L.; Korteweg, F.J.; van den Berg, G.; Sollie, K.M.; Roos, A.; van Loon, A.J.; Links, T.P.; van Tol, K.M.; et al. Risk stratification for healthcare planning in women with gestational diabetes mellitus. Neth. J. Med. 2016, 74, 262–269. [Google Scholar] [PubMed]
- Ford, H.L.; Champion, I.; Wan, A.; Reddy, M.; Mol, B.W.; Rolnik, D.L. Predictors for insulin use in gestational diabetes mellitus. Eur. J. Obstet. Gynecol. Reprod. Biol. 2022, 272, 177–181. [Google Scholar] [CrossRef] [PubMed]
- Akinci, B.; Celtik, A.; Yener, S.; Yesil, S. Is fasting glucose level during oral glucose tolerance test an indicator of the insulin need in gestational diabetes? Diabetes Res. Clin. Pract. 2008, 82, 219–225. [Google Scholar] [CrossRef]
- Barnes, R.A.; Wong, T.; Ross, G.P.; Jalaludin, B.B.; Wong, V.W.; Smart, C.E.; Collins, C.E.; MacDonald-Wicks, L.; Flack, J.R. A novel validated model for the prediction of insulin therapy initiation and adverse perinatal outcomes in women with gestational diabetes mellitus. Diabetologia 2016, 59, 2331–2338. [Google Scholar] [CrossRef]
- Aktun, L.H.; Yorgunlar, B.; Karaca, N.; Akpak, Y.K. Predictive Risk Factors in the Treatment of Gestational Diabetes Mellitus. Clin. Med. Insights Women’s Health 2015, 8, 25–28. [Google Scholar] [CrossRef]
- Greenland, S. The need for reorientation toward cost-effective prediction: Comments on ‘Evaluating the added predictive ability of a new marker: From area under the ROC curve to reclassification and beyond’ by M. J. Pencina et al., Statistics in Medicine (DOI: 10.1002/sim.2929). Stat. Med. 2008, 27, 199–206. [Google Scholar] [CrossRef]
- Sapienza, A.D.; Francisco, R.P.; Trindade, T.C.; Zugaib, M. Factors predicting the need for insulin therapy in patients with gestational diabetes mellitus. Diabetes Res. Clin. Pract. 2010, 88, 81–86. [Google Scholar] [CrossRef]
- Thériault, S.; Giguère, Y.; Massé, J.; Girouard, J.; Forest, J.C. Early prediction of gestational diabetes: A practical model combining clinical and biochemical markers. Clin. Chem. Lab. Med. 2016, 54, 509–518. [Google Scholar] [CrossRef]
- Koefoed, A.S.; McIntyre, H.D.; Gibbons, K.S.; Poulsen, C.W.; Fuglsang, J.; Ovesen, P.G. Predicting the Need for Insulin Treatment: A Risk-Based Approach to the Management of Women with Gestational Diabetes Mellitus. Reprod. Med. 2023, 4, 133–144. [Google Scholar] [CrossRef]
- Kim, M.K.; Han, K.; You, S.Y.; Kwon, H.S.; Yoon, K.H.; Lee, S.H. Prepregnancy smoking and the risk of gestational diabetes requiring insulin therapy. Sci. Rep. 2020, 10, 13901. [Google Scholar] [CrossRef]
Disclaimer/Publisher’s Note: The statements, opinions and data contained in all publications are solely those of the individual author(s) and contributor(s) and not of MDPI and/or the editor(s). MDPI and/or the editor(s) disclaim responsibility for any injury to people or property resulting from any ideas, methods, instructions or products referred to in the content. |
© 2025 by the authors. Licensee MDPI, Basel, Switzerland. This article is an open access article distributed under the terms and conditions of the Creative Commons Attribution (CC BY) license (https://creativecommons.org/licenses/by/4.0/).
