Abstract
Light curves by Woudt and Warner (WW) of recurrent nova IM Nor show eclipse-like dips that they saw as too wide for eclipses alone, and interpreted as mainly a reflection effect due to irradiation of the companion (mass donor) star with some amplitude increase due to eclipse of IM Nor’s disk. A mainly reflection interpretation cannot be made to work because reflection does not produce dips over a restricted phase range but a somewhat distorted sinusoid that extends over the entire orbital cycle. Here, the dip features are interpreted in two ways, with testing via quantitative light curve modeling that includes an equipotential disk. One way is as alternating eclipses of and by the disk that surrounds this cataclysmic variable’s accreting white dwarf, rather than purely a succession of disk-by-star eclipses. WW’s estimated period of was accordingly doubled to , with the observed dips now half of their previous width in phase, and with the modeled eclipses matching the observed dips in width and shape. In the 2nd interpretation, a toroidal disk’s capability to produce very wide eclipses is demonstrated computationally. Furthermore, much of the perceived eclipse width can be recognized as an apparent effect due to tidal stretching of the companion star and the disk. In overview, disk eclipses and tidal variation combine with reflection to produce a light curve waveform of approximately the observed shape and duration. Eclipses, tides, and reflection all have essential roles in the 2nd interpretation and no change from WW’s period is needed. Radial velocity observations will be crucial for identification of the correct resolution of the ”excessively wide eclipse” problem.
1. Introduction
IM Normae (Nova Nor 1920) is one of only 10 known Galactic recurrent novae, thus making its orbit period, MLR1 data, and overall configuration of great interest. Its outburst events in 1920 and 2002 are listed in Table 1 of Schaefer [1] along with known outbursts of nine other recurrent novae. Only sketchy information about its binary system parameters are at hand, as its light curves are seriously disturbed by transients (mostly disk-related), and no radial velocity measures exist. Published photometry is mainly from eruption times rather than in or near quiescence and there are no previous light curve analyses. To save space, the reader is referred to the long reference list in Wilson [2] for papers on theory, analytic models, related objects, other kinds of observations, and historical background.
Woudt & Warner [3] (WW) observed unfiltered optical light curves of IM Nor on four nights in February-March of 2003. The binary was then still dimming from its outburst about 13 months earlier (), as shown by Figure 7 of Schaefer [1], although having mostly settled down. Four V-shaped features were observed in their entirety by WW, along with parts of four others. WW referred to the phenomenon as an ”eclipse-like recurrent dip” and commented that ”the width of the main brightness dip is too large for it to be the eclipse of an accretion disk …”2. They suggested that a reflection effect, with some depth enhancement due to eclipse, produces the wide dips. However the reflection effect is a whole-cycle phenomenon that does not produce an eclipse-like dip over a restricted phase range but a smooth cosine-like wave that extends over all phases. The next section expands on that point.
2. Reflection Effect Waveform Conceptually
WW’s recurring dip is interpreted in their Section 3 as mostly due to reflection from the white dwarf’s companion star3, as irradiated by the white dwarf. The resulting minimum would correspond to times when star 2’s comparatively dark non-irradiated region is most prominently in view. Examining this idea, one sees that less than half of star 2 is irradiated because of the white dwarf’s small size and small distance from star 2. Accordingly, the modeled “dark” region covers more than half of star 2 and is always partly in view (for any inclination). The observed dip extends over phases if the period is WW’s , so it is seen over about half the cycle. Conceptual dimming due to reduction of reflected light would not end there because part of the ”dark” region is seen at all phases, going on for the rest of the cycle. This full cycle extent of dimming is a fundamental characteristic of reflection effect geometry. What if the irradiation source is not the tiny white dwarf but the much larger hot disk? Then the “dark” region is somewhat smaller, covering about half of star 2’s surface, but still its associated feature will extend over most or all of the cycle–not end abruptly at phases when about half of the ”dark” region remains in view. The classic reflection waveform has a well understood theory that has been refined over many decades (e.g., Budaj [4], Milne [5], Sen [6], Wilson [7]) and checked against hundreds, if not thousands, of close binaries. Accordingly a mainly reflection model cannot produce the observed eclipse-like waveform.
Two resolutions are offered below to account for the feature’s unusual width. One is that the dips are eclipses of two kinds–of and by the disk, rather than repetitions of one kind of eclipse. Another tests a disk’s capability to produce very wide eclipses via its toroidal geometry, along with the role of tides in producing apparent eclipse widths that can be substantially larger than actual widths.
3. Alternating Eclipse Type Interpretation (Resolution I)
First to be considered is the ordinary situation with eclipses both of and by the disk. A ‘single eclipse type’ interpretation would seem natural for IM Nor, as most CV disks are believed to be much hotter than their donor star companions, so eclipses of a disk can be striking features of some CV light curves in quiescence, while eclipses of star 2 by the disk are very shallow or even undetectable in most CVs4. Furthermore, WW’s eight dips are roughly similar in form and depth–at first sight they look like repetitions of the same kind of event, although being individually disturbed by transients. Is there a way to save the eclipse interpretation from the excessive width problem? Yes–if the orbital period is twice that previously adopted, which was founded on the premise that all the dips are markers of a single phenomenon such as eclipses of the disk by star 2.
If the orbital motion is circular, as usual for CVs, then geometry dictates that any transit and occultation eclipses have the same durations (true for disks as well as stars unless their figures are time-variable). Shapes of the two eclipse types may differ somewhat but not very much, as the timewise forms mainly follow from changing projected area coverage, while surface brightness distributions are a secondary issue. Depths of the two eclipses can differ greatly because of the relative disk and star surface brightnesses that mostly depend on surface effective temperatures. A common assumption is that CV disks have much hotter surfaces than their eclipsing stars. However, only for a few of the better conditioned post-novae, such as U Scorpii Schaefer, et al. [8] and CI Aquilae Wilson & Honeycutt [9], is that characteristic clearly demonstrable from primary and secondary eclipse depth ratios, so systems with similar temperatures for disk and star could exist. Then, eclipses of and by the disk would have the same duration, nearly the same shape, and nearly the same depth, thereby being difficult to distinguish in the presence of the irregular behavior seen in most CVs.
The suggestion here (Resolution I) is that IM Nor may be such a system, with approximately the same disk and star 2 effective temperatures. Eclipses of similar appearance but different type (transit vs. occultation) are then spaced by , that being half the orbit period of . If so, occurrence times show that WW’s six better covered events5 happen to alternate in type, with the first, third, and fifth likely being eclipses of the star and the second, fourth, and sixth being eclipses of the disk. Interchange of the type assignments is not ruled out, but the shapes near mid-eclipse suggest the identifications adopted here. A radial velocity (RV) curve of the disk or companion star would directly decide if the period needs to be doubled, but no RV curve has been published to date. Measuring one will be challenging due to IM Nor’s faintness in its low state () and to the very crowded field–see Figure 1 and Figure 2 of Kato, et al. [10].
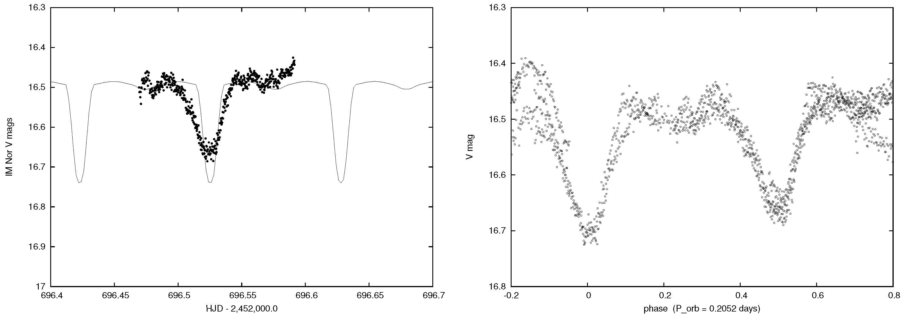
Figure 1.
(Left) panel: A model eclipse light curve (stars + disk + ) for WW’s orbital period and inclination , compared with the light curve for WW’s first night (dots). Star 2 (donor star) accurately fills its limiting lobe. Excessive width of the observed eclipse is obvious, with no parameter adjustments being sufficient to correct the gross mismatch. The disk is sufficiently thick to produce complete eclipses of star 2, and the disk’s temperature has been raised to make it about 5 brighter in V band than the un-irradiated side of star 2. The panel quantifies WW’s comments that the observed dips are too wide to be eclipses (if neither Resolution I nor Resolution II of this paper is considered). (Right) panel: WW’s nights 1, 2, and 3 plotted together, phased on the doubled period (by Resolution I’s hypothesis, the true orbit period) so readers can judge whether the depths and shapes of even and odd numbered dips are the same or differ. Figure 2 and Figure 3 also are for and include theoretical model curves so as to test whether a doubled period solves the eclipse width problem.
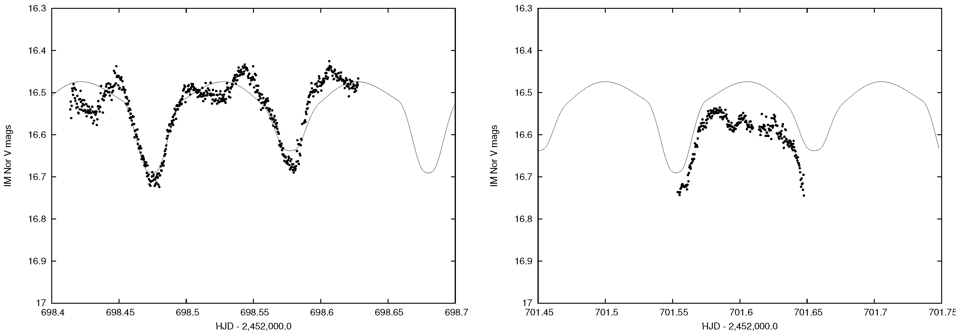
Figure 2.
Nights 1 (left panel) and 2 (right panel) of IM Nor observing by WW. Dots represent the (unfiltered) data, with lines for the computed V light curve of this paper’s model (based on orbit period , twice the previously recognized value). The model light curve is the same for all nights, with no vertical shift. Note the somewhat flat bottom on night 1 that suggests a nearly total eclipse of star 2 by the disk. Strong asymmetry of the observed eclipse clearly demonstrates major transient behavior that makes the solution process exceptionally difficult. These night 1 and 2 data were not fitted–only night 3’s data were entered into the solution, as explained in Section 3. Note that the eclipse width problem is gone (cf. Figure 1).
The ‘two eclipse type’ hypothesis is checked graphically in the right panel of Figure 1 by phasing WW’s first three nights of observations with the doubled period so that even numbered eclipses overlie around phase zero and odd numbered eclipses do so around phase . The figure separates the odd and even numbered eclipses within one phased cycle, with each type easily averaged by eye for ready comparison of depths and shapes. Each reader can thereby form an opinion as to whether the features are of two types or one, and thus whether the ‘two type’ hypothesis is true or false. The ‘two eclipse type’ hypothesis was again tested in the same way with fully quiescent light curve data (mostly from amateur observers) on the AAVSO website. That test was inconclusive due to the very large scatter band (about wide, compared to about for WW), although it did produce a rough depth estimate for quiescent times.
Parameter Estimation for Resolution I
The observations from WW’s night 3 were analyzed via the Wilson [2] model that adds a self-gravitating disk to the analytic close binary model of Wilson & Van Hamme [11]. The photometric response function for WW’s unfiltered observations is not among the 95 such functions in the computer model, so Johnson V was adopted. The model disk has an equipotential structure in which accretion and decretion play interacting roles. The disk is formally allowed to be semi-transparent, but densities for the IM Nor solutions were high enough to make the disk nearly opaque near the surface. The computational algorithm can require either or both stars to fill their limiting lobes6 accurately. That condition was invoked for the white dwarf (presumed spun up to the surface limit by accretion) and for the synchronously rotating star 2 (presumed to be at its limit since it is rapidly transferring matter into the disk). Both star sizes are thus set as fractions of the orbit size for any given mass ratio, ). The disk’s surface potential equals that of the white dwarf since disk and star are to join smoothly (no-slip condition) at the inner effective gravity null point on the line of star centers. These mathematical constraints ensure that all solutions are morphologically consistent with the characteristic CV configuration. The white dwarf is intrinsically far dimmer than the other three light sources (star 2, disk, and ”third light”7) and its light is almost entirely blocked by the thick disk (semi-thickness ) at high inclinations.
The analytic model includes the rigorous reflection logic of Wilson [7] for the disk and star 2, with added logic to deal with effects of possible disk semi-tranparency [12]. Other basic eclipsing binary phenomena are in place, including tides, gravity brightening, and limb darkening for disk and star.
With the orbit period doubled from that by WW, a number of trial & error experiments eventually produced a reasonable preliminary fit to WW’s third night of observing (HJD 2452698.41532 to 2452698.62647). No attempt was made to fit their other observations since the transients that distort the light curves within a given night are even more problematic from night to night (see Figure 3, especially the right panel). The actual input data were 10-point averages of the individual WW datapoints. The coverage in the original observations was so dense that, even after a factor 10 reduction in datapoint density, coverage followed the variation faithfully. Then the same data were entered into a differential corrections program (similar to those of Wilson & Devinney [13], Wilson [14], and Wilson & Van Hamme [11]), now generalized Wilson [15] to incorporate the analytic disk model of Wilson [2], with disk parameters among those evaluated. Results are in Table 1. Figure 2 and Figure 3 compare the model light curves with WW’s observations.
Figure 3.
Nights 3 (left panel) and 4 (right panel) of IM Nor observing by WW. Night 3 is the one fitted by the method of differential corrections. The depth of star 2’s eclipse by the disk is not reproduced well on night 3, although data within that time interval (HJD 2,452,698.525 to 2,452,698.625) may be strongly affected by a very large upward transient that is wider than the eclipse. The most dramatic transient in WW’s four nights of observing occurred on night 4, when systemic brightness dropped by about ten percent in just three days for reasons unknown. The main objective for now is to see if the eclipse width problem disappears when the orbital period is doubled. This has happened as shown by the figures.
Table 1.
IM Nor Parameters for Resolution I. Fixed quantities are above the horizontal line and adjusted quantities below the line. refers to superior conjunction of the white dwarf/disk and differs by about a half-cycle of the orbit period from WW’s reference time. Their is referenced to the first observed eclipse (considered here to be an eclipse of star 2). The uncertainties are standard errors from the solution. They should not be considered realistic because of the major transients that complicate the IM Nor light variation, although they may be useful as minimum error estimates.
One may ask how eclipses that are complete or nearly so can both be shallow. Of course that can happen if one component is much smaller than the other, but IM Nor’s star 2 and disk are of the same order of size8. However, overall system brightness is augmented in IM Nor by an extra light source that dilutes the light of the binary–the nova shell that was still brighter than the binary when WW made their observations. In addition, the crowded field has several stars within 10 arc seconds of IM Nor Kato, et al. [10], so other sources are there if needed.
Actual masses and radii remain unknown in the absence of RV curves, but assumption of along with the orbital period from WW and a plausible mass ratio around 0.15 give a white dwarf mass of about one solar mass. To keep the same masses at twice the period, Kepler’s third law requires the relative orbital semi-major axis length, , to be multiplied by . Due to its transients, IM Nor is among the more difficult binaries for which a solution is likely to be attempted, whether by personal parameter estimation or by objective fitting such as with the Least Squares criterion.
4. Case of Eclipses with Strong Tidal Variation in Disk and Star 2 (Resolution II)
The inevitable presence of important tidal stretching and resulting timewise variation in the light of both star 2 and the disk is unmentioned in the IM Nor literature. Star 2 is presumed to fill its limiting lobe and accordingly must be strongly tidally stretched by the white dwarf. The disk, being rather large, must be stretched by star 2. The overall situation is yet more complicated because of likely tidal lag in the disk (perhaps time-variable) and the chaotic transients9 mentioned above, but let us focus on eclipses and static tides since they are meaningfully computable.
Reflection capability has now been incorporated within the equipotential disk model of Wilson [2,15], allowing proper evaluation of eclipses, tides, and also reflection Wilson [12]. Computations show that eclipses can be significantly widened by adoption of a disk with nearly the maximum equatorial dimensions, as limited by an outer null point of effective gravity on the x-axis (line of star centers), with computation of the point’s location explained in section 5.9 of Wilson [2]. Naturally both star 2 and the disk will be tidally distended in many or even most CVs. Further “eclipse widening” could be an apparent effect due to tidal variation, as in W Ursae Majoris-type overcontact binaries where eclipses can appear wider than they actually are, with ingress and egress times difficult to estimate. In other words, tidal variation can be so strong as to render eclipse phase limits nearly or entirely unrecognizable.
Disk nature and tides are much more important than reflection to IM Nor’s light curve modeling. Reflection has no noteworthy role with regard to IM Nor’s eclipse widths–it just lights up the inner facing sides of star 2 and the disk. In addition, reflection is a small scale effect–typically a few hundredths of a magnitude, and not even noticeable in the post-eruption light curve [9] of recurrent nova CI Aql10. Disks have an important role in true widening of eclipses. The maximal location of the disk edge, where it crosses the x-axis, can be computed. So we have a size limit for the disk and can place its outer edge just a small distance inside without structural inconsistency11. Tidal stretching (both disk and star 2) has an important role with regard to apparent eclipse widths, as seen long ago in W UMa binaries.
5. Final Comments on the Proposed Resolutions
For general orientation, here is a brief summary of this paper’s proposed resolutions for the excess eclipse width problem. These represent the only published computations to date of IM Nor theoretical light curves:
- Resolution I: The orbit period is doubled from to . The disk and star 2 temperatures are set nearly equal. Figure 1’s left panel illustrates the width mismatch if P= =, in agreement with WW’s comments. The right panel appears to show primary and secondary eclipses of slightly different depth and shape and doubled width when displayed for 3 nights to help in visual averaging.
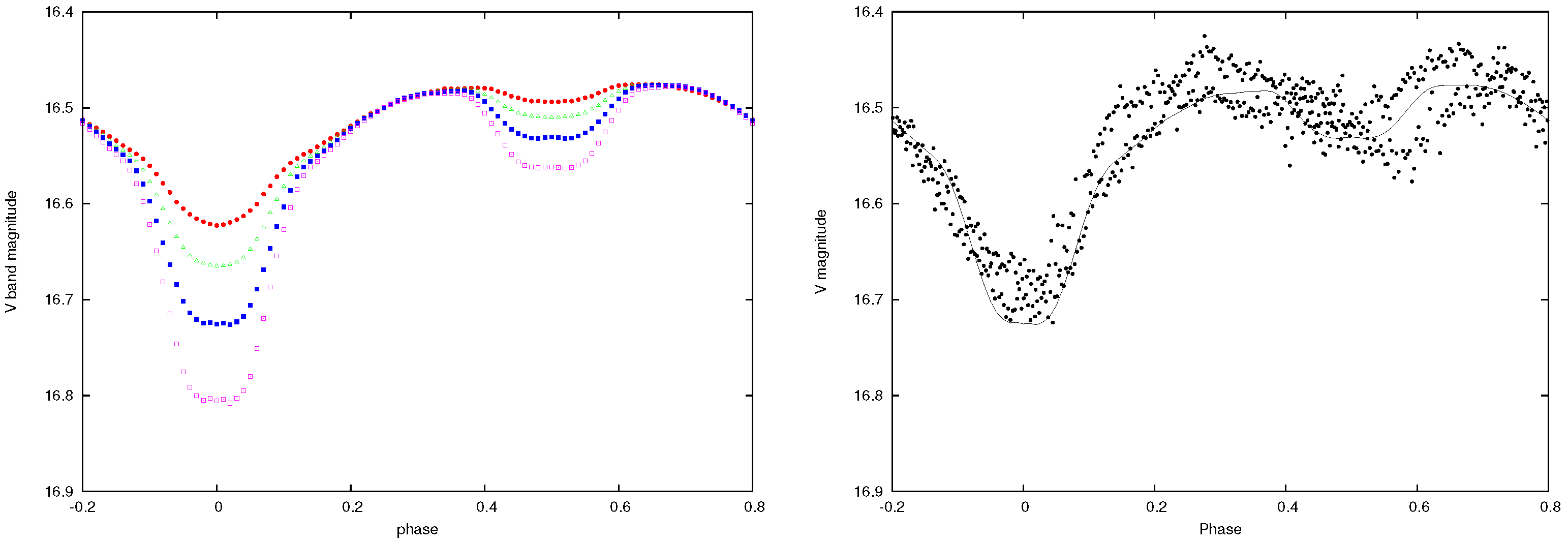
- Resolution II: The period is . Widening of the computed eclipse is accomplished by having a disk with nearly the maximum equatorial dimensions ( vs. in the positive x-coordinate, where a is the orbital semi-major axis length). Apparent further widening is due to phase-dependent tidal variations of disk and star 2, with consequent difficulty in judging eclipse limits.
Resolution I (alternate eclipses by and of the disk): This idea solves the eclipse duration problem without introducing other problems and appears to be supported by depth and shape comparisons of odd and even numbered eclipses (right panel of Figure 1). Profile agreement between theory and observation seems good, as seen in Figure 2 and Figure 3. An apparent depth mismatch in Figure 3 is likely due to a wide major transient. A definitive test of the doubled period idea rests on RV curves that do not yet exist and will require large optics as well as a strategy to deal with the very crowded field. To appreciate some of the difficulties in fitting IM Nor’s light curves, note from the figures how much the curves change from night to night. This experience is like attempting basketball shots at an erratically moving basket, but that is how things are with CVs.
Resolution II (maximum-size disk, tides, eclipses, and reflection–all treated with a consistent equipotential disk model): Although light curves thus computed clearly differ in form from those of Resolution I, they seem acceptable within the observational (cycle to cycle) irregularities (See Figure 4).
Figure 4.
(Left) panel: Synthesized eclipsing-tidal-reflection waveforms (Resolution II), phased with WW’s adopted orbit period of . Light dilution due to fractional third light [ is similar to that for Resolution I. The orbital inclinations are 65 (red dots), 70 (green triangles), 75 (filled blue squares), and 80 (empty magenta squares). Other parameter values are the same as for Resolution I. (Right) panel: The 75 inclination case is plotted among the observations as a continuous curve.
A recent observational and discussion paper [16] suggested that IM Nor’s distinctive minima might be “obscuration of a large corona around the primary”, although without modeling of coronal properties. No other new hypotheses for IM Nor’s wide eclipse-like minima have been published to date. Figure 1 of Patterson, et al. [16] shows the minima to have increased in depth from in 2003 to in 2017, as expected due to diminishing brightness of the nova shell and consequent reduced light curve dilution.
With the doubled period implied by Resolution I, IM Nor would no longer lie in the CV period gap but above the gap where virtually all nova-like variables and most post-novae reside (private communication by E. Sion). Perhaps these considerations and others mentioned above will stimulate intensive efforts to generate much needed RVs.
Funding
This research received no external funding.
Data Availability Statement
R.E.W. received the light curve data from P. Woudt and B. Warner, who presumably retain distribution rights.
Acknowledgments
Discussions with Edward Sion and Walter Van Hamme were very stimulating. The referees made a number of good comments that led to improvements. Sending of the light curves by Brian Warner and Patrick Woudt was indispensible and greatly appreciated.
Conflicts of Interest
The authors declare no conflict of interest.
Notes
| 1 | Acronym MLR means mass, luminosity, and radius. |
| 2 | See left panel of Figure 1 and caption. |
| 3 | Hereafter called star 2, with star 1 being the white dwarf in the center of the disk. |
| 4 | An example from the recurrent novae is U Scorpii, where a deep primary eclipse is accompanied by a shallow secondary eclipse of to that sometimes disappears Schaefer, et al. [8]. |
| 5 | ‘Better covered’ meaning that at least some part of the very bottom was observed. |
| 6 | Limiting lobe size follows from the combined influence of gravitation and rotation. |
| 7 | The third light for WW’s observations is (almost certainly) the fading nova shell, although some contribution from stars cannot be excluded. |
| 8 | Eclipse width is set by the sum of the component radii as fractions of component separation (Rdisk/a + R2/a), and by the orbital inclination. The central problem for IM Nor has been that eclipse width has seemed “impossibly wide”, so none of these three parameters can be small. Each must contribute substantially to eclipse width–neither Rdisk/a nor R2/a can “do it all by itself”. Otherwise explanation of the large eclipse width indeed becomes impossible. Note that the requirement is not ‘almost same size’ but ‘same order of size’. |
| 9 | See Section 2.4 in Wilson [2] for ideas on the main cause of the transients. |
| 10 | Reflection is noticeable at about 0.02 magnitude semi-amplitude in Honeycutt’s pre-eruption light curve shown in Wilson [2]. |
| 11 | Logically all local effective gravity vectors must point toward the disk’s interior to be part of the disk. |
References
- Schaefer, B.E. Comprehensive Photometric Histories of All Known Galactic Recurrent Novae. Astrophys. J. Suppl. 2010, 187, 275. [Google Scholar] [CrossRef]
- Wilson, R.E. Self-gravitating Semi-transparent Circumstellar Disks: An Analytic Model. Astrophys. J. 2018, 869, 19. [Google Scholar] [CrossRef]
- Woudt, P.A.; Warner, B. High-speed photometry of the recurrent nova IM Normae. Mon. Not. R. Astron. Soc. 2003, 343, 313–314. [Google Scholar] [CrossRef][Green Version]
- Budaj, J. The Reflection Effect In Interacting Binaries Or In Planet–Star Systems. Astron. J. 2011, 141, 59. [Google Scholar] [CrossRef]
- Milne, E.A. The Reflection Effect in Eclipsing Binaries. Mon. Not. R. Astron. Soc. 1926, 87, 43–55. [Google Scholar] [CrossRef]
- Sen, H.K. Reflection Effect in Eclipsing Binaries for a Point-Source of Light. Proc. Natl. Acad. Sci. USA 1948, 34, 311. [Google Scholar] [CrossRef] [PubMed]
- Wilson, R.E. Accuracy and efficiency in the binary star reflection effect. Astrophys. J. 1990, 356, 613–622. [Google Scholar] [CrossRef]
- Schaefer, B.E.; Pagnotta, A.; LaCluyze, A.P.; Reichart, D.E.; Ivarsen, K.M.; Haislip, J.B.; Nysewander, M.C.; Moore, J.P.; Oksanen, A.; Worters, H.L. Eclipses during the 2010 eruption of the recurrent nova U Scorpii. Astrophys. J. 2011, 742, 113. [Google Scholar] [CrossRef]
- Wilson, R.E.; Honeycutt, R.K. Outburst-related period changes of recurrent nova CI aquilae. Astrophys. J. 2014, 795, 8. [Google Scholar] [CrossRef]
- Kato, M.; Yamaoka, H.; Liller, W.; Monard, B. Recurrent nova IM Normae. Astron. Astrophys. 2002, 391, L7–L9. [Google Scholar] [CrossRef]
- Wilson, R.E.; Van Hamme, W. Unification of binary star ephemeris solutions. Astrophys. J. 2014, 780, 151. [Google Scholar] [CrossRef]
- Wilson, R.E.; University of Florida, Gainesville, FL, USA. Unpublished work. 2023.
- Wilson, R.E.; Devinney, E.J. Realization Of Accurate Close-Binary Light Curves: Application to Mr Cygni. Astrophys. J. 1971, 166, 605–619. [Google Scholar] [CrossRef]
- Wilson, R.E. Eccentric orbit generalization and simultaneous solution of binary star light and velocity curves. Astrophys. J. 1979, 234, 1054–1066. [Google Scholar] [CrossRef]
- Wilson, R.E. An analytic self-gravitating disk model: Inferences and logical structure. Contrib. Astron. Obs. Skalnate Pleso 2020, 50, 523–529. [Google Scholar] [CrossRef]
- Patterson, J.; Kemp, J.; Monard, B.; Myers, G.; De Miguel, E.; Hambsch, F.J.; Warhurst, P.; Rea, R.; Dvorak, S.; Menzies, K. IM Normae: The Death Spiral of a Cataclysmic Variable? Astrophys. J. 2022, 924, 27. [Google Scholar] [CrossRef]
Publisher’s Note: MDPI stays neutral with regard to jurisdictional claims in published maps and institutional affiliations. |
© 2022 by the author. Licensee MDPI, Basel, Switzerland. This article is an open access article distributed under the terms and conditions of the Creative Commons Attribution (CC BY) license (https://creativecommons.org/licenses/by/4.0/).



