The Influences of Parameters on the Dynamic Characteristics of a Multi-Foil Aerodynamic Journal Bearing with Bump-Backing Foils: Model Predictions
Abstract
1. Introduction
2. Numerical Models
2.1. Reynolds Equation
2.2. Gas Film Thickness Equation
2.3. Perturbation of Pressure Governing Equation
2.4. Relationship Between Gas Film Thickness and Pressure
2.5. Solution Method and Boundary Conditions
2.6. Solution Flow Chart of Dynamic Characteristic
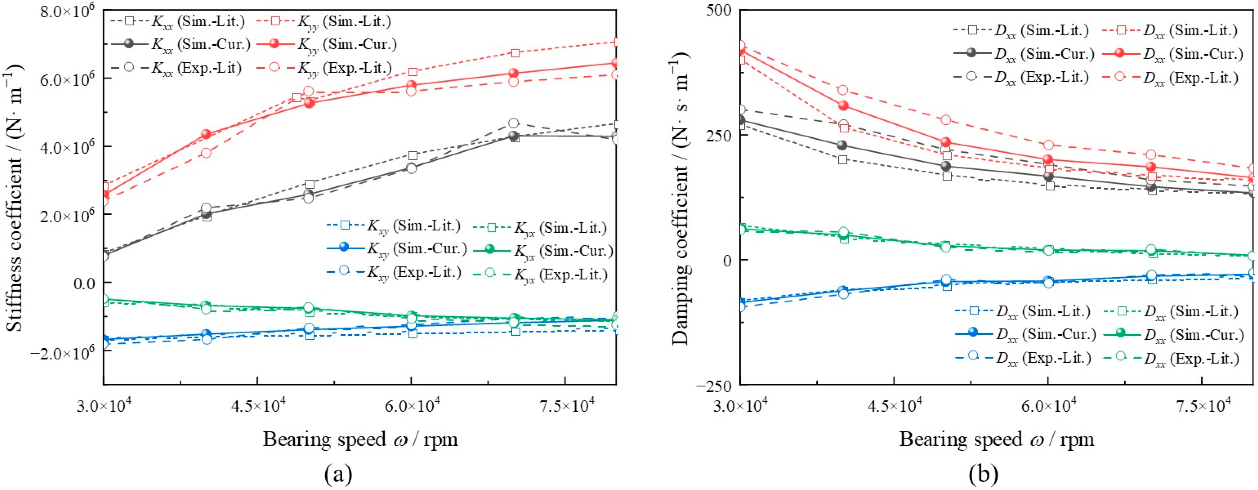
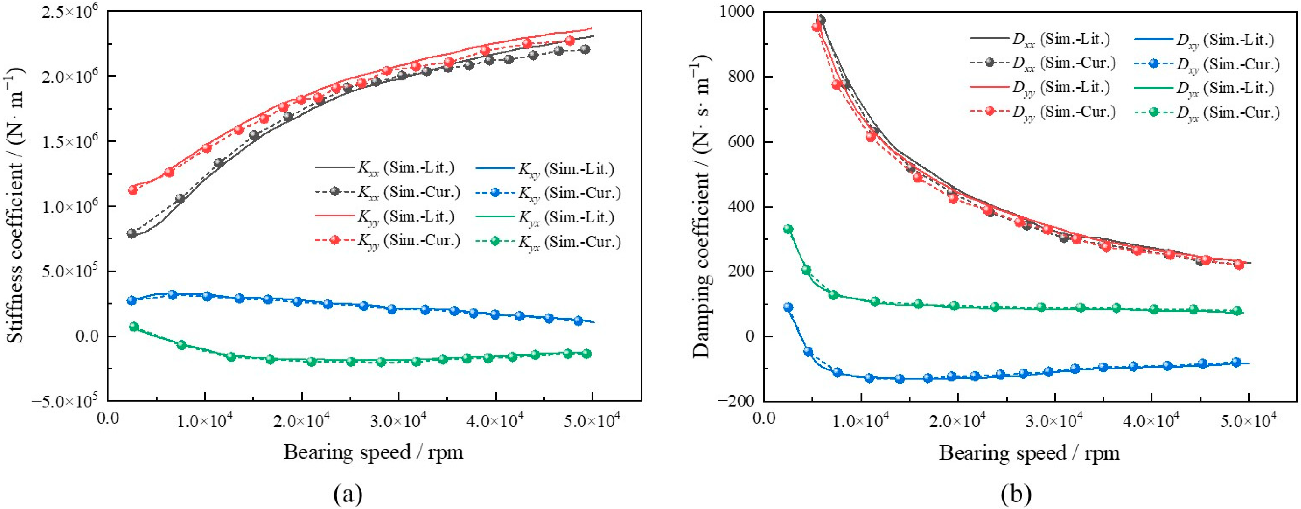
2.7. Validation of Model
3. Results and Discussion
3.1. Eccentricity Ratio
3.2. Disturbance Frequency
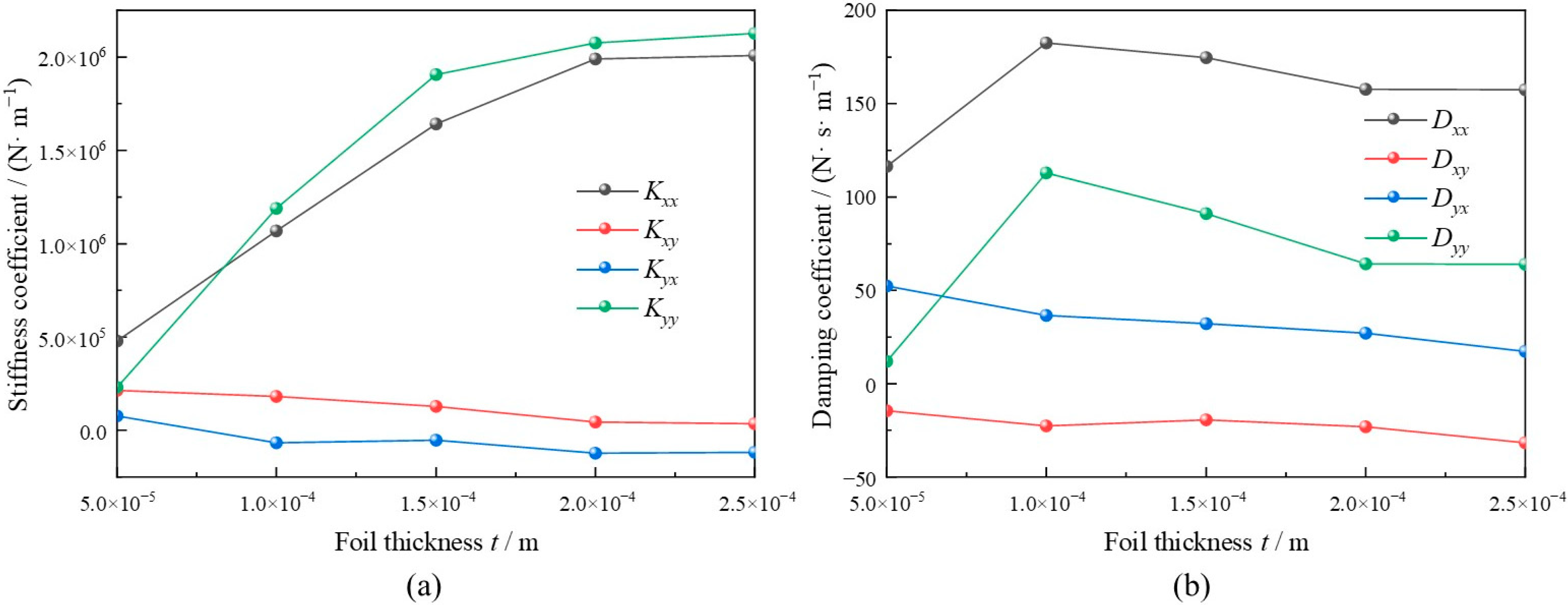
3.3. Foil Thickness
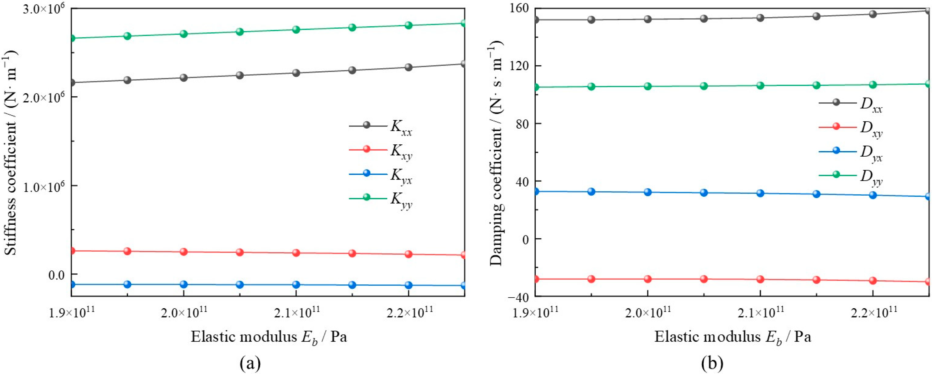
3.4. Foil Elastic Modulus
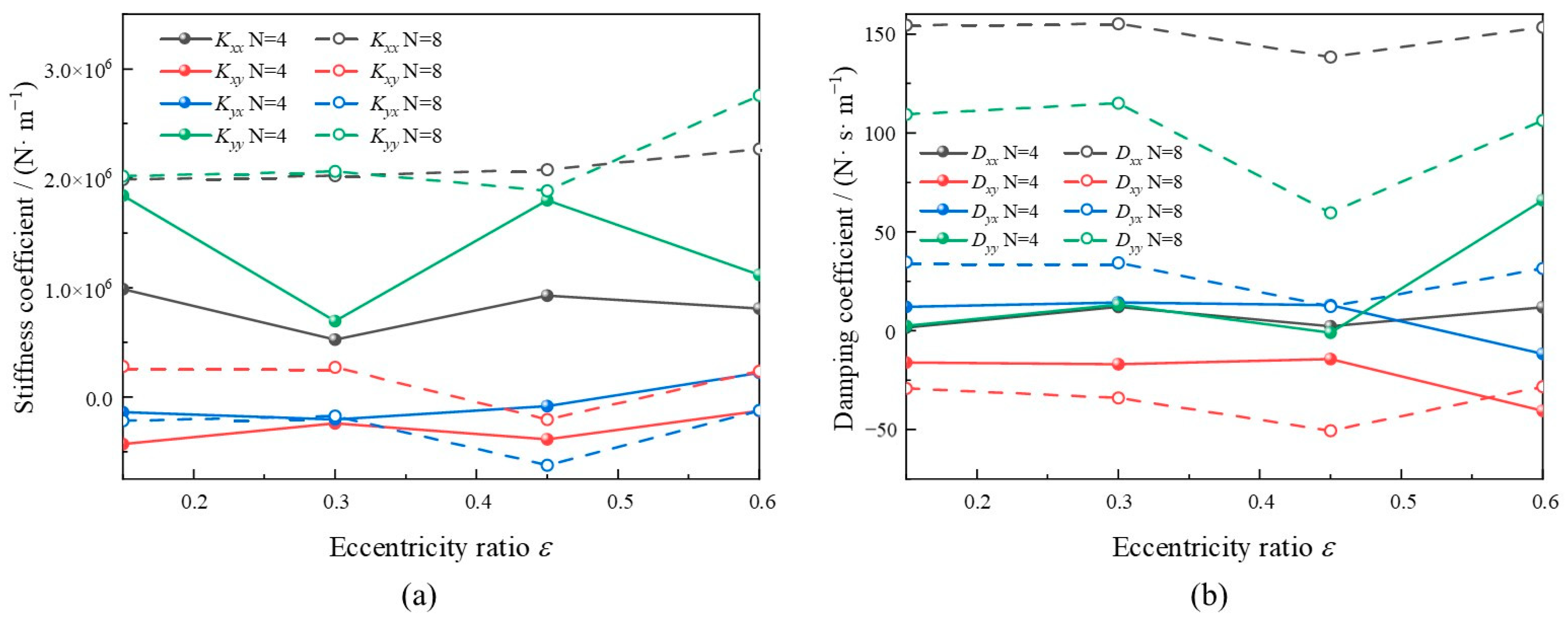
3.5. Foil Number
3.6. Length-to-Diameter Ratio
4. Conclusions
- (1)
- The established numerical model enables dynamic characteristics analysis of the MFJB. The effects of the parameters, especially, can be directly and accurately obtained by numerical results with high computational efficiency.
- (2)
- When the bearing speed is less than 30,000 rpm, the stiffness is strengthened with the increase of the eccentricity ratio at a declining magnitude. However, when the bearing speed reaches as high as 80,000 rpm, that enhancement effect created by the eccentricity ratio is confined. Similarly, too large of a foil thickness can restrict the strengthening effect of stiffness.
- (3)
- Compared with bearing speed, the bearing eccentricity ratio more effectively affects the dynamic characteristics when under different L/D. The foil thickness will have an obvious influence on the dynamic characteristics, whereas the influence of the elastic modulus is very limited.
- (4)
- Within the research scope, compared with the four-foil type, the eight-foil bearing exhibits overall better dynamic characteristics, which could result in its better operational stability in engineering applications.
Author Contributions
Funding
Data Availability Statement
Conflicts of Interest
Nomenclature
| Symbols | tb | Thickness of bump foil, m | |
| e | Eccentricity, m | Dimensionless time | |
| Eb | Foil elastic modulus, Pa | u | foil radial deformation |
| Fall | Gas film pressure vector acting on the surface of top foil | U | Dimensionless foil radial deformation |
| fd | Disturbance frequency, Hz | Uall | Foil deformation |
| H | Dimensionless gas film thickness | υb | Foil Poisson’s ratio |
| h | Average film thickness, m | Z | Dimensionless bearing length |
| L | Bearing length, m | ||
| lo | Half-bump length, m | Greek | |
| ls | Unit length of bump foil, m | ε | Eccentricity ratio |
| N | Foil number | μ | Dynamic viscosity, Pa·s−1 |
| O | Center | θ | Circular angle coordinate, rad |
| P | Dimensionless pressure | Λ | Bearing number |
| pa | Circumstance pressure, Pa | ω | Bearing speed, rpm |
| R | Bearing radius, m | φ | Deflection angle, rad |
| s | Span of bump foil, m | ωs | Oscillation angular frequency, rad·s−1 |
| Tp | Tangential point of top foil | γ | Vortex frequency |
| Subscripts | |||
| b | Bearing house | j | Bearing shaft |
| c | Cavitation | 0 | Original |
References
- Pattnayak, M.R.; Ganai, P.; Pandey, R.K. An overview and assessment on aerodynamic journal bearings with important findings and scope for explorations. Tribol. Int. 2022, 174, 107778. [Google Scholar] [CrossRef]
- Samanta, P.; Murmu, N.C.; Khonsari, M.M. The evolution of foil bearing technology. Tribol. Int. 2019, 135, 305–323. [Google Scholar] [CrossRef]
- Lai, T.; Guo, Y.; Zhao, Q. Numerical and experimental studies on stability of cryogenic turbo-expander with protuberant foil gas bearings. Cryogenics 2018, 96, 62–74. [Google Scholar] [CrossRef]
- Li, Y.Y.; Lei, G.; Sun, Y. Effect of environmental pressure enhanced by a booster on the load capacity of the aerodynamic gas bearing of a turbo expander. Tribol. Int. 2017, 105, 77–84. [Google Scholar] [CrossRef]
- Andres, L.S.; Rodriguez, B. Experiments with a rotor-hybrid gas bearing system under going maneuver loads from its base support. J. Eng. Gas Turb. Power 2020, 142, 111004. [Google Scholar] [CrossRef]
- Guo, Z.Y.; Peng, L.; Feng, K. Measurement and prediction of nonlinear dynamics of a gas foil bearing supported rigid rotor system. Measurement 2017, 121, 205–217. [Google Scholar] [CrossRef]
- Sim, K.; Lee, Y.B.; Kim, T.H. Effects of mechanical preload and bearing clearance on rotordynamic performance of lobed gas foil bearings for oil free turbochargers. Tribol. Trans. 2013, 56, 224–235. [Google Scholar] [CrossRef]
- Zhang, B.; Qi, S.M.; Feng, S. An experimental investigation of a microturbine simulated rotor supported on multileaf gas foil bearings with backing bump foils. Proc. Inst. Mech. Eng. Part J J. Eng. Tribol. 2018, 232, 1169–1180. [Google Scholar] [CrossRef]
- Lehn, A.; Mahner, M.; Schweizer, B. A contribution to the thermal modeling of bump type air foil bearings: Analysis of the thermal resistance of bump foils. J. Tribol. 2017, 139, 061702. [Google Scholar] [CrossRef]
- Hu, H.; Feng, M.; Ren, T. Study on the performance of gas foil journal bearings with bump-type shim foil. Proc. Inst. Mech. Eng. Part J J. Eng. Tribol. 2020, 235, 509–523. [Google Scholar] [CrossRef]
- Shalash, K.; Schiffmann, J. Experimental assessment of a 3d-printed stainless steel gas foil bearing. J. Tribol. 2020, 142, 081802. [Google Scholar] [CrossRef]
- Zhang, C.B.; Ao, H.R.; Jiang, H.Y.; Zhou, N.N. Investigations on start-up performances of novel hybrid metal rubber-bump foil bearings. Tribol. Int. 2021, 154, 106751. [Google Scholar] [CrossRef]
- Pattnayak, M.R.; Dutt, J.K.; Pandey, R.K. Rotordynamics of an accelerating rotor supported on aerodynamic journal bearings. Tribol. Int. 2022, 176, 107883. [Google Scholar] [CrossRef]
- Chen, G.D.; Ju, B.F.; Fang, H. Air bearing: Academic insights and trend analysis. Int. J. Adv. Manuf. Technol. 2019, 106, 1191–1202. [Google Scholar] [CrossRef]
- Baum, C.; Hetzler, H.; Schroders, S.; Leister, T.; Seemann, W. A computationally efficient nonlinear foil air bearing model for fully coupled, transient rotor dynamic investigations. Tribol. Int. 2021, 153, 106434. [Google Scholar] [CrossRef]
- Li, H.; Geng, H.P.; Sun, Y.H.; Tang, S.X.; Qi, L.; Yu, L. Simulation analysis for influence of installation position on gas bearing performances. J. Xi’an Jiaotong Univ. 2019, 53, 81–87. [Google Scholar]
- Zhao, X.; Xiao, S. A Finite Element Model for Static Performance Analysis of Gas Foil Bearings Based on Frictional Contacts. Tribol. Trans. 2020, 64, 275–286. [Google Scholar] [CrossRef]
- Xu, H.J.; Yang, J.P.; Gao, L.; An, Q. The influences of bump foil structure parameters on the static and dynamic characteristics of bump-type gas foil bearings. Proc. Inst. Mech. Eng. J J. Eng. Tribol. 2020, 234, 1642–1657. [Google Scholar] [CrossRef]
- Andres, L.S. A Review of Turbine and Compressor Aerodynamic Forces in Turbomachinery. Lubricants 2023, 11, 26. [Google Scholar] [CrossRef]
- Jiang, Y.L.; Xu, B.; Zhu, Q.J.; Huang, Z.W.; Gao, D.Y. Parameter Effects on the Static Characteristics of the Multi-Foil Aerodynamic Journal Bearing with Bump-Backing Foils. Lubricants 2024, 12, 246. [Google Scholar] [CrossRef]
- Jiang, Y.L.; Xu, B.; Lu, X.; Liu, D. Multiscale simulation of flow in gas-lubricated journal bearings: A comparative study between the Reynolds equation and lattice Boltzmann methods. Eng. Appl. Comp. Fluid 2021, 15, 1792–1810. [Google Scholar] [CrossRef]
- Fatu, A.; Arghir, M. Numerical analysis of the impact of manufacturing errors on the structural stiffness of foil bearings. J. Eng. Gas Turb. Power 2017, 140, 041506. [Google Scholar] [CrossRef]
- Andres, L.S.; Kim, D.J. Analysis of gas foil bearings integrating FE top foil models. Tribol. Int. 2009, 42, 111–120. [Google Scholar] [CrossRef]
- Andres, L.S.; Chirathadam, T. A metal mesh foil bearing and a bump-type foil bearing: Comparison of performance for two similar size gas bearings. J. Eng. Gas Turb. Power 2012, 134, 102501. [Google Scholar] [CrossRef]
- Leister, T.; Baum, C.; Seemann, W. Computational analysis of foil air journal bearings using a runtime-efficient segmented foil model. J. Fluids Eng. 2018, 140, 021115. [Google Scholar] [CrossRef]
- Arghir, M.; Benchekroun, O. A simplified structural model of bump-type foil bearings based on contact mechanics including gaps and friction. Tribol. Int. 2019, 134, 129–144. [Google Scholar] [CrossRef]
- Wu, Y.; Yang, L.H.; Xu, T.F.; Xu, H.L. Combined Effect of Rarefaction and Effective Viscosity on Micro-Elasto-Aerodynamic Lubrication Performance of Gas Microbearings. Micromachines 2019, 10, 657. [Google Scholar] [CrossRef]
- Larsen, J.S.; Santos, I.F.; Osmanski, S.V. Stability of rigid rotors supported by air foil bearings: Comparison of two fundamental approaches. J. Sound Vib. 2016, 381, 179–191. [Google Scholar] [CrossRef]
- Osmanski, S.V.; Larsen, J.S.; Santos, I.F. A fully coupled air foil bearing model considering friction—Theory & experiment. J. Sound Vib. 2017, 400, 660–679. [Google Scholar]
- Gu, Y.P.; Ren, G.X.; Zhou, M. A fully coupled elastohydrodynamic model for static performance analysis of gas foil bearings. Tribol. Int. 2020, 147, 106297. [Google Scholar] [CrossRef]
- Zywica, G.; Baginski, P.; Bogulicz, M. Experimental and numerical evaluation of the damping properties of a foil bearing structure taking into account the static and kinetic dry friction. J. Braz. Soc. Mech. Sci. 2021, 43, 7. [Google Scholar] [CrossRef]
- Zywica, G.; Baginski, P.; Bogulicz, M.; Martowicz, A.; Roemer, J.; Kantor, S. Numerical identification of the dynamic characteristics of a nonlinear foil bearing structure: Effect of the excitation force amplitude and the assembly preload. J. Sound Vib. 2022, 520, 116663. [Google Scholar] [CrossRef]
- Chi, C.Z. Hydrodynamic Lubrication; National Deference Industry Press: Beijing, China, 1998; pp. 485–487. [Google Scholar]
- Pilkey, W.D. Formulas for Stress, Strain, and Structural Matrices; John Wiley and Sons Incorporation: Hoboken, NJ, USA, 1994; pp. 878–879. [Google Scholar]
- Jia, C.H.; Liu, S.M.; Liu, H.; Ma, W.S.; Li, D.D.; Zhang, F. Dynamic characteristic analysis of foil gas bearings based on fluid-structure coupling. J. Vib. Eng. 2024, 37, 394–401. [Google Scholar]
- Kim, T.H.; Andres, L.S. Effects of a mechanical preload on the dynamic force response of gas foil bearings: Measurements and model predictions. Tribol. Trans. 2009, 52, 569–580. [Google Scholar] [CrossRef]
- Tian, Y.; Sun, Y.H.; Yu, L. Structural stiffness and damping coefficients of a multileaf foil bearing with bump foils underneath. Tribol. Trans. 2014, 136, 044501. [Google Scholar] [CrossRef]
- Kim, D.J. Parametric studies on static and dynamic performance of air foil bearings with different fop foil geometries and bump stiffness distributions. Tribol. Trans. 2007, 129, 354–364. [Google Scholar] [CrossRef]
- Yang, S.P.; Fang, X.Q.; Zhu, C.S. Nonlinear dynamic analysis of worn gas foil bearings. Mech. Based Des. Struct. Mach. 2023, 21, 3564–3582. [Google Scholar] [CrossRef]
- Zhou, R.; Gu, Y.; Cui, J.; Ren, G.; Yu, S. Nonlinear dynamic analysis of supercritical and subcritical hopf bifurcations in gas foil bearing-rotor systems. Nonlinear Dyn. 2021, 103, 2241–2256. [Google Scholar] [CrossRef]























| Parameter Name | Value |
|---|---|
| Shaft radius (Rj) | 23.49 × 10−3 m |
| Bearing length (L) | 30.0 × 10−3~70.0 × 10−3 m |
| Bearing radius (Rb) | 26.25 × 10−3 m |
| Incircle radius (Ri) | 23.5 × 10−3 m |
| Foil radius (Rf) | 25.25 × 10−3 m |
| Foil thickness (t) | 1.0 × 10−4~2.5 × 10−4 m |
| Foil elastic modulus (Eb) | 2.00 × 1011~2.20 × 1011 Pa |
| Foil number (N) | 4~8 |
| Ambient pressure (pa) | 1.01325 × 105 Pa |
| Foil Poisson’s ratio (υb) | 0.3 |
| Bearing speed (ω) | 3.0 × 104~1.2 × 105 rpm |
| Bump foil thickness (tb) | 1.016 × 10−4 m |
| Span of bump foil (s) | 4.2 × 10−3 m |
| Half-length of bump foil (l) | 1.75 × 10−3 m |
| Dynamic viscosity of gas (μ) | 1.932 × 10−5 Pa·s |
| Disturbance frequency (fd) | 50–1500 Hz |
| Eccentricity ratio (ε) | 0.1~0.7 |
Disclaimer/Publisher’s Note: The statements, opinions and data contained in all publications are solely those of the individual author(s) and contributor(s) and not of MDPI and/or the editor(s). MDPI and/or the editor(s) disclaim responsibility for any injury to people or property resulting from any ideas, methods, instructions or products referred to in the content. |
© 2024 by the authors. Licensee MDPI, Basel, Switzerland. This article is an open access article distributed under the terms and conditions of the Creative Commons Attribution (CC BY) license (https://creativecommons.org/licenses/by/4.0/).
Share and Cite
Jiang, Y.; Zhu, Q.; Xu, B.; Huang, Z.; Gao, D. The Influences of Parameters on the Dynamic Characteristics of a Multi-Foil Aerodynamic Journal Bearing with Bump-Backing Foils: Model Predictions. Lubricants 2024, 12, 386. https://doi.org/10.3390/lubricants12110386
Jiang Y, Zhu Q, Xu B, Huang Z, Gao D. The Influences of Parameters on the Dynamic Characteristics of a Multi-Foil Aerodynamic Journal Bearing with Bump-Backing Foils: Model Predictions. Lubricants. 2024; 12(11):386. https://doi.org/10.3390/lubricants12110386
Chicago/Turabian StyleJiang, Yulong, Qianjing Zhu, Bo Xu, Zhongwen Huang, and Dongyan Gao. 2024. "The Influences of Parameters on the Dynamic Characteristics of a Multi-Foil Aerodynamic Journal Bearing with Bump-Backing Foils: Model Predictions" Lubricants 12, no. 11: 386. https://doi.org/10.3390/lubricants12110386
APA StyleJiang, Y., Zhu, Q., Xu, B., Huang, Z., & Gao, D. (2024). The Influences of Parameters on the Dynamic Characteristics of a Multi-Foil Aerodynamic Journal Bearing with Bump-Backing Foils: Model Predictions. Lubricants, 12(11), 386. https://doi.org/10.3390/lubricants12110386

