Larval Rearing and Nutrition of the Polyphagous Tephritid Pest Anastrepha ludens on Artificial Diets with Calcium Alginate, Agar, or Carrageenan as Gelling Agents at Various Concentrations and across Extreme Larval Density Conditions
Abstract
Simple Summary
Abstract
1. Introduction
2. Materials and Methods
2.1. Origin of Experimental Flies
2.2. Experimental Design
2.3. Diets
2.3.1. Preparation of Diets
2.4. Larval Density Treatments
2.5. Experimental Procedures
2.5.1. Evaluation of Response Variables
- Firmness of diets (kgF). Gel diet samples (3.5 cm diameter and 0.5 cm thickness) were prepared as indicated in Section 2.3.1. Preparation of Diets. And individually placed in 8.5 cm diameter Petri dishes. The diet samples were compressed to 1 mm (ca. 20% of its thickness) by applying 0.1 kgF pressure with a 4 cm diameter compression plate adapted to a probe of the Fruit Texture Analyzer model GS25 (Geneq Inc., Montreal, QC, Canada) adjusted to the following conditions: (i) operating range of 50–25,000 g, (ii) forward speed: 10 mm/s, (iii) reverse speed: 10 mm/s, (iv) measure speed: 10 mm/s, (v) measure distance: 1.0 mm, and (vi) reverse increment: 12 mm. Each sample was tested two to five times (depending on the available sampling points that had no evident mechanical damage and showed consistency with the readings in the same sample). To gain insights into the firmness conditions of the natural diets of A. ludens larvae, we also measured the firmness of a commercial host mango cv. ‘Manila’ (M. indica) (n = 6), a new potential host apple cv. ‘Golden Delicious’ (M. × domestica) (n = 4), and the wild host white sapote (Casimiroa edulis Llave et Lex. (Rutaceae)) (n = 4). White sapote fruit was collected at Xalapa, Veracruz, Mexico (19°32’24.15” N, 96°54’21.83” W, 1397 m elevation), mango cv. ‘Manila’ fruit was collected at Actopan, Veracruz, Mexico (19°26’31.89” N, 96°30’8.10” W, 103 m elevation), and apple cv. ‘Golden Delicious’ was purchased at Xalapa’s supply center. In the case of white sapote and mango cv. ‘Manila’, fruits were bagged with terylene cloth bags before collection to avoid natural fruit fly infestation. All the fruits analyzed were at a green-mature ripening stage, i.e., when the fruit is fully developed physically but is still green and when it is cut from the tree it does not stop ripening but rather accelerates maturation. This is the stage at which first-instar A. ludens larvae are found infesting such fruit in nature. From each fruit, three pieces of pulp (squares of 4 × 4 cm and 5 mm thick) from the top, middle, and bottom sections were collected with a cutter and analyzed five times with the Fruit Texture Analyzer following the same configuration conditions used for gel diet analyses.
- Penetration resistance of diets (kgF). The same samples of gel diets used for the firmness analyses were used for penetration resistance analyses. The diet samples were penetrated up to 2.5 mm (50% of the thickness of the gel-diet sample) by applying 0.1 kgF pressure with an 8 mm diameter probe attached to the Fruit Texture Analyzer adjusted to the conditions used to measure firmness. Each sample was tested one to five times in different places. Pulp from mango cv. ‘Manila’ (n = 6), apple cv. ‘Golden Delicious’ (M. × domestica) (n = 4), and white sapote (n = 4) were also analyzed using the same fruit as in the firmness analyses.
- pH of diets. Samples of 6 g of each gel diet were manually mixed with 5 mL of distilled water in 15 mL conical Falcon tubes. The pH was measured using a pH meter (HANNA HI2221, Hanna Instruments Inc., Woonsocket, RI, USA). Pulps from mango cv. ‘Manila’ (n = 4), apple cv. ‘Golden Delicious’ (M. × domestica) (n = 4), and white sapote (n = 4) were also analyzed.
- Carbohydrate, lipid, and protein contents of diets. Samples of 50 mg of each diet were diluted and manually homogenized in 500 µL of distilled water. Lipids and carbohydrates were extracted based on methods described in Warburg and Yuval [57]. In short, 100 µL of 20% sodium sulfate and 1 mL of a 1:2 ratio chloroform:methanol mixture were added to 300 µL of the diet samples. The samples were individually homogenized in a vortex (Vortex-Gene 2 G560, Scientific Industries, Bohemia, NY, USA) for ca. 1 min and centrifuged at 9402× g for 10 min at 4 °C in a microcentrifuge (Prism R, Labnet, Edison, NJ, USA). Then, the organic and aqueous phases were separated. For lipid extraction, the organic phase was evaporated in a heating block (Multi-Blok Heater; Lab-Line Instruments Inc., Melrose Park, IL, USA) at 80 °C for ca. 1 h. For carbohydrate extraction, the aqueous phase was evaporated in the heating block at 75 °C for ca. 3 h. The contents of carbohydrates and lipids were determined as described by Nestel et al. [58]. In short, the evaporated lipid samples obtained were diluted with 300 µL of sulfuric acid and incubated at 100 °C for 10 min. Then, 30 µL of this solution were incubated with 270 µL of vanillin (600 mg of vanillin (Sigma-Aldrich) dissolved in 100 mL of distilled water and 400 mL of 85% of H3PO4) at room temperature for 25 min. The absorbance was read at 490 nm by using a UV-Vis spectrophotometer (BioTek™ Epoch 2 Microplate Spectrophotometer, Biotek® Instruments Inc., Winooski, VT, USA); triolein (Sigma-Aldrich) was used as standard. Evaporated carbohydrate samples were diluted with 200 µL of distilled water, then 50–100 µL of this solution were incubated with 1 mL of Anthron (300 mg of Anthron (Sigma-Aldrich) dissolved in 100 mL of sulfuric acid) at 90 °C for 10 min; the absorbance was monitored at 630 nm and glucose (Sigma-Aldrich) was used as standard. For protein content determination, the bicinchoninic acid (BCA) method (BCA assay kit, Sigma-Aldrich) was used with samples (2 to 5 µL depending on the opacity of the sample) of the entire homogenates, following the manufacturer’s instructions. Bovine serum albumin (BSA) was used as standard, and absorbance was read at 540 nm. Concentration curves were prepared with six concentrations of the corresponding standard in a range of 2.5–40 mg/mL for carbohydrates, 25–300 mg/mL for lipids, and 2.5–40 mg/mL for proteins, and a linear regression was adjusted to the data with an R2 ≥ 0.98. Then, we calculated the mg of macronutrients per mg of fresh weight considering the amount (mg) of sample used in each determination. Finally, the percentage of macronutrients per sample was calculated considering 100% at 100 mg of sample.
- Number of larvae recovered per rearing tray. The weight of all the larvae in each rearing tray was obtained and then a sample of 50 larvae was weighed. Then, the number of larvae was obtained by multiplying the weight (g) of all larvae recovered per rearing tray by 50, and the resulting product was divided by the weight (g) of 50 larvae from the same rearing tray. When the number of larvae per rearing tray was less than 50, the larvae were counted individually. The number of larvae recovered per rearing tray was the sum of the larvae sampled for the determination of nutrients and nitrogen products in larval excretions, as explained in Section 2.5. Experimental Procedures, and the estimates of the total number of larvae recovered.
- Pupation after 24 h (proportion). Estimated as the quotient of the number of pupae recovered from each diet 24 h after larval separation from the diet divided by the number of all larvae recovered from the same rearing tray.
- Pupal weight (mg). Estimated as the mean weight from samples of 2–104 three-day-old pupae; two being the minimum number of pupae obtained per rearing tray.
- Fliers (proportion). Twelve-day-old pupae were placed inside a 9 cm diameter by 10 cm high black PVC cylinder that was covered inside with a neutral talcum powder to prevent non-flying adults from escaping the cylinder by climbing. A cardboard ring was placed around the pupae at the bottom of each cylinder so that the emerging flies had a place to hang on and fly. PVC cylinders with pupae were placed in 60 cm wide by 60 cm long by 90 cm high white mesh cages containing four sticky traps (Trapper Max) and four plastic bottle traps baited with 150 mL of red wine (Padre Kino) hanging from the ceiling of the cage. Flying insects flew out of the PVC cylinders, and those not caught in the traps were manually removed three times a day. Sticky and red wine traps were replaced as needed. Two days after emergence finished, dead adults, empty puparia, partially emerged insects, and deformed adults remaining inside the cylinders were counted. Fliers were expressed as the proportion of flying insects in relation to the total number of adults that emerged.
- Diet removed per larva (g). For each experimental run/rearing tray, we first estimated the weight (g) of the uneaten diet plus excretions in the diet by subtracting the weight of the larvae and the clean and dry tray from the weight of the same tray with larvae and the uneaten diet after nine days of larval rearing. Then, we estimated the diet removed by the larvae in each rearing tray as the difference between the initial fresh weight (g) of the diet and the weight of the uneaten diet plus excretions minus the percentage of fresh weight loss estimated from an additional batch of the same diet formulation without larvae (as indicated in Section 2.3.1. Preparation of Diets). When the diets were collected with larvae, the larvae were removed from the diets as explained in Section 2.5. Experimental Procedures. Diet removed per larva (g) was then estimated by dividing the diet removed (g) per rearing tray by the number of larvae recovered from the same rearing tray.
- Relative consumption of carbohydrates, lipids, and proteins per larva (g). Based on the estimations of diet removed per larva and on the analyses of nutrient content in the diets, the relative consumption of macronutrients was calculated by multiplying the diet removed per larva (g) by the carbohydrate, lipid, and protein contents of the diets and dividing the product by 100.
- Carbohydrate, lipid, and protein contents in larvae and larval excretions. Seven days after larvae were inoculated into the diets, we sampled ca. 10% of the estimated number of larvae inoculated into each rearing tray (between 6 and 75 larvae per tray). The larvae were washed with purified water, dried with a paper towel, and placed in 8.5 cm diameter sterile Petri dishes at 29 ± 1 °C and 70 ± 5% RH for 24 h. Then, the larvae from each rearing tray were weighed on an analytical balance (Sartorius CP64, Sartorius AG, Goettingen, Germany), transferred to vials, frozen in liquid nitrogen, and homogenized in a mortar with a pestle by using 200 µL of sodium phosphate buffer (50 mM, pH 7.4) (PB) per larva. These samples were kept at −80 °C in a freezer (Thermo Fisher Scientific, FORMA 900 Series, Marietta, OH, USA) until analysis. To collect larval excretions, the Petri dishes in which the larvae were kept for 24 h were washed with 500 to 1000 µL of Milli-Q water. The washing water was poured into 1.5 mL vials. Samples were then dried for 12 h at 45 °C in an incubator (Binder BD 53-UL E2, GmbH, Bohemia, NY, USA). After drying, the concentrated samples were diluted in 400 µL of distilled water. For carbohydrate, lipid, and protein contents, we followed the procedure explained before for the diets.
- Ammonia and uric acid in larval excretions. An amount of 2 to 20 μL of the larval excretions, obtained as described above, were analyzed as indicated in the commercial assay kits AA0100 and MAK077 (Sigma-Aldrich, St. Louis, MO, USA).
- Carbohydrate, lipid, and protein contents in female and adult flies. Pools of five newly emerged (less than 12 h) females and five males were weighed, frozen, and homogenized with 1 mL of PB in a Tissue Lyser II (Qiagen®, Hilden, Germany) at 30 rpm for 3 min. The carbohydrate, lipid, and protein contents were determined as explained above.
2.6. Statistical Analyses
3. Results
3.1. Physical, Chemical, and Nutritional Traits of the Diets
3.1.1. Firmness
3.1.2. Penetration Resistance
3.1.3. Acidity
3.1.4. Carbohydrate, Lipid, and Protein Contents of Diets
- Carbohydrates: A reduced linear model was fitted to describe the carbohydrate content in the diets as a function of the gel type and the gel content in diets (F = 5.86; df = 3, 61; p = 0.0014; R2adj = 0.185). The carbohydrate content of diets increased as the gel content in diets increased (F = 13.46; df = 1, 61; p = 0.0005; Figure 2e). The effect of the gel type on the carbohydrate content of diets was statistically unclear (F = 3.13; df = 2, 61; p = 0.0509).
- Lipids and proteins: A reduced two-factor interaction model indicated that the effects of the gel type and the gel content in the diets on the lipid content were not statistically clear (F = 1.44; df = 5, 59; p = 0.2239; R2adj = 0.033). In the case of the protein content, the best descriptor of the data was a null model with an overall mean (std. dev.) of 3.39% (1.78%).
3.2. Production and Quality Parameters of Flies
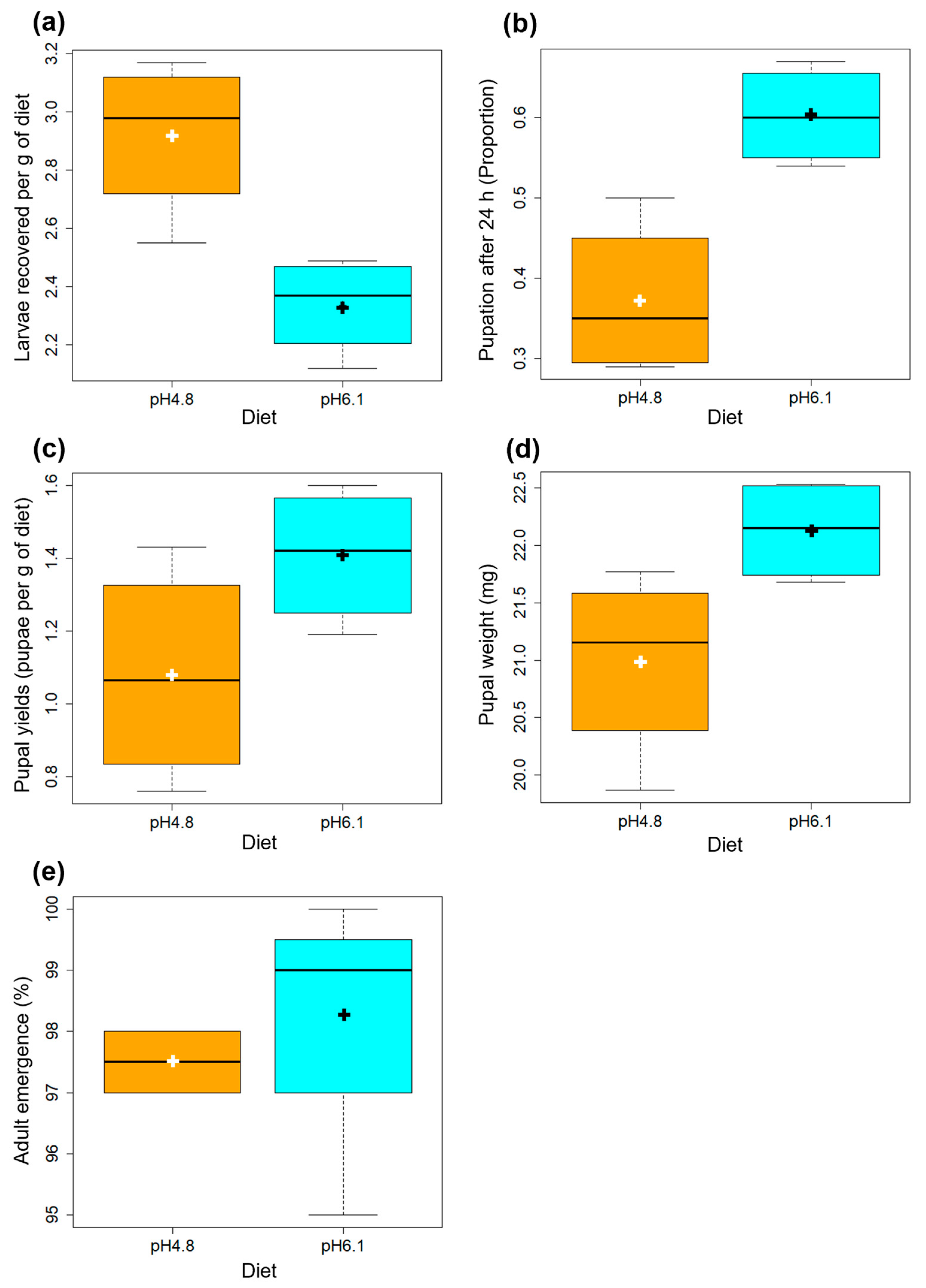
3.2.1. Estimated Number of Larvae Recovered from Diets
3.2.2. Pupation after 24 h
3.2.3. Pupal Weight
3.2.4. Fliers
3.3. Diet Removal and Larval and Adult Nutritional Traits
3.3.1. Diet Removed per Larva
3.3.2. Relative Consumption of Carbohydrates, Lipids, and Proteins per Larva
- Carbohydrates: A reduced quadratic model was fitted to the data on relative carbohydrate consumption per recovered larvae (F = 60.74; df = 6, 55; p < 0.0001; R2adj = 0.855). The model indicated clear statistical main effects for the larval density in the diet (F = 2.76; df = 1, 55; p < 0.0001), the gel type (F = 24.75; df = 2, 55; p < 0.0001), and the larval density in the diet × the gel type (F = 3.29; df = 2, 55; p = 0.0447) and a quadratic effect for larval density in the diet (F = 80.34; df = 1, 55; p < 0.0001) on the relative amount of carbohydrate consumed per larva. A higher relative consumption of carbohydrates per larva was observed in calcium alginate diets at low larval densities when compared with the agar and carrageenan diets; however, at high larval densities the relative amount of carbohydrates consumed per larva decreased and did not differ among diets (Figure 4d).
- Lipids: A reduced quadratic model was used to describe the relative consumption of lipid per recovered larvae (F = 15.03; df = 7, 54; p < 0.0001; R2adj = 0.617). The model showed clear statistical main effects for the larval density in the diet (F = 78.2; df = 1, 54; p < 0.0001) and the gel type (F = 3.76; df = 2, 54; p = 0.0295) and quadratic effects for larval density in the diet (F = 15.66; df = 1, 54; p = 0.0002) on relative lipid consumption. However, the main effects of the gel content in the diet (F = 3.46; df = 1, 54; p = 0.0684) and the interaction effects of the gel content in the diet × gel type (F = 3.16; df = 2, 54; p = 0.0504) were not statistically clear. Relative lipid consumption per larva decreased quadratically as the larval density in the diet increased (Figure 4e). A trend towards higher relative lipid intake was observed in calcium alginate diets with high gel contents compared with agar and carrageenan diets (Figure 4f).
- Proteins: A reduced quadratic model was used to describe the relative protein consumption per larva (F = 15.73; df = 4, 57; p < 0.0001; R2adj = 0.491). We found clear statistical main effects for the larval density in the diet (F = 48.47; df = 1, 57; p < 0.0001) and the gel type (F = 5.58; df = 2, 57; p = 0.0061) and quadratic effects for larval density in the diet (F = 12.58; df = 1, 57; p = 0.008) on the relative protein intake by individual larva. We found a curved decrease in the relative quantity of proteins consumed per larva as larval density in the diet increased (Figure 4g). We found a higher relative consumption of proteins in larvae reared on the calcium alginate diets than on the agar and carrageenan diets (Figure 4h).
3.3.3. Carbohydrates, Lipids, and Proteins in Excretions of Third-Instar Larvae
- Carbohydrates: A null model indicated that, regardless of the gel type, for the gel content and the larval density treatments an overall mean (std. dev.) of 4.34% (0.57%) provided the best description of the carbohydrate content in larval excretions.
- Lipids: A reduced linear model indicated that the gel type used had a clear statistical effect on the percentage of lipids found in larval excretions, with a higher mean percentage of lipids found in excretions from larvae reared on the calcium alginate diets (F = 3.92; df = 2, 62; p = 0.0250; R2adj = 0.084; Figure 5a).
- Proteins: A reduced quadratic model was fitted to the data on the percentage of protein in larval excretions (F = 3.83; df = 7, 57; p = 0.0018; R2adj = 0.236). We found a clear statistical relationship between the protein content in larval excretions and the larval density in the diet (linear effect: F = 4.37; df = 1, 57; p = 0.0411; quadratic effect: F = 8.17; df = 1, 57; p = 0.0059), with an initial positive effect as the larval density increased to ca. intermediate larval densities that remained somewhat stable until approaching the highest larval densities and then began to decrease (Figure 5b). We also found clear statistical effects for an interaction between the gel type and the gel content in the diet (F = 5.34; df = 2, 57; p = 0.0075) affecting the protein content in larval excretions. At low levels of gel content in the diets, the excretions of larvae from the calcium alginate diets had more protein than the excretions of larvae from the agar and carrageenan diets; however, the protein percentage in excretions from larvae on the calcium alginate diets decreased as the gel content in the diet increased, whereas the protein content in the excretions of larvae from the agar and carrageenan diets showed an opposite trend (Figure 5c).
3.3.4. Ammonia and Uric Acid in the Excretions of Third-Instar Larvae
- Ammonia: A reduced linear model was fitted to the data on the percentage of ammonia in the excretions of third-instar A. ludens larvae (F = 14.56; df = 3, 61; p < 0.0001; R2adj = 0.388). The ammonia content in larval excretions decreased as the larval density increased (F = 4.81; df = 1, 61; p = 0.032; Figure 5d), and larvae reared on the calcium alginate diets had the lowest levels of ammonia in their excretions when compared with the excretions of larvae from the agar and carrageenan diets (F = 18.36; df = 2, 61; p < 0.0001; Figure 5e).
- Uric acid: A reduced quadratic model was fitted to the data on the percentage of uric acid in the excretions of third-instar A. ludens larvae (F = 4.00; df = 6, 58; p = 0.002; R2adj = 0.220). We found a clear statistical relationship between the uric acid levels in larval excretions and the larval density in the diet (linear effect: F = 8.28; df = 1, 58; p = 0.0056; quadratic effect: F = 8.56; df = 1, 58; p = 0.0049). The content of uric acid in larval excretions decreased as larval density increased, from an estimated 0.73% at the lowest larval densities to 0.22% at the highest larval density (Figure 5f). Larvae from the calcium alginate diets had the highest levels of uric acid in their excretions, followed by larvae from the carrageenan diets (F = 3.42; df = 2, 58; p = 0.0393; Figure 5g). The main effects for the gel content in the diet (F = 0.46; df = 1, 58; p = 0.4980) and the interaction effects between the gel content in the diet and the larval density in the diet (F = 2.41; df = 1, 58; p = 0.1257) were not statistically clear.
3.3.5. Carbohydrates, Lipids, and Proteins in Third-Instar Larvae
- Carbohydrates: The carbohydrate content in third-instar A. ludens larvae increased as larval density in the diet increased (reduced linear model: F = 9.24; df = 1, 48; p = 0.0034; R2adj = 0.114; Figure 6a).
- Lipids: A reduced linear model was fitted to the data on the lipid content in larvae (F = 4.76; df = 3, 61; p = 0.0048; R2adj = 0.150). The lipid content in larvae increased as the larval density in the diet increased (F = 10.12; df = 1, 61; p = 0.0023; Figure 6b). The effect of the gel type used in diets on the lipid content in larvae was statistically unclear (F = 2.61; df = 2, 61; p = 0.0816).
- Proteins: A reduced cubic model was fitted to the data on the protein content in larvae (F = 2.49; df = 11, 53; p = 0.0132; R2adj = 0.204). We found clear statistical quadratic effects for the larval density in the diet (F = 5.08; df = 1, 53; p = 0.0284) and interaction effects between the quadratic larval density term and the gel type (F = 5.05; df = 2, 53; p = 0.0099) on the larval protein content. The protein content of larvae from the agar and carrageenan diets showed a slight increase as larval density increased (Figure 6c), whereas for larvae from the calcium alginate diets, their initial protein content was lower than that observed in the agar and carrageenan diets but it increased notably as the larval density increased up to ca. intermediate densities, after which the protein content in the larvae began to decrease (Figure 6c). We also found clear statistical interactions between the gel type and the gel content in the diet (F = 3.45; df = 2, 53; p = 0.0391). The protein content in larvae from diets with the lowest level of carrageenan was higher than in larvae from the agar and calcium alginate diets; however, at the highest gel contents, the highest protein contents in larvae were observed in flies reared on calcium alginate diets (Figure 6d). The linear effects of the gel content in the diet (F = 0.52; df = 1, 53; p = 0.4740), the larval density in the diet (F = 3.09; df = 1, 53; p = 0.0848), and the gel type (F = 1.2; df = 2, 53; p = 0.6394) were statistically unclear, as was the interaction between the linear terms of larval density in the diet and the gel type (F = 0.45; df = 2, 53; p = 0.6394).
3.3.6. Carbohydrates, Lipids, and Proteins in Adult Female and Male Flies
- Carbohydrates: The carbohydrate content in female flies was better explained by a null model with an overall mean (std. dev.) of 0.705% (0.04%). In the case of male flies, a reduced quartic model showed no clear statistical effect for the predictors on the carbohydrate content of males (F = 1.17; df = 17, 46; p = 0.3247; R2adj = 0.044).
- Lipids: The effects of the predictors on the lipid content in female flies were statistically unclear (reduced linear model: F = 3.02; df = 2, 61; p = 0.0563; R2adj = 0.060). Likewise, the effects of the predictors on the lipid content in male flies were statistically unclear (reduced quartic model: F = 1.59; df = 20, 43; p = 0.0997; R2adj = 0.158).
- Proteins: The gel type had clear statistical effects on the protein content in female flies (reduced linear model: F = 4.09; df = 2, 61; p = 0.0215; R2adj = 0.090). Females from calcium alginate diets had, on average, 1.5 and 2.5% more protein content than females from the agar and carrageenan diets, respectively (Figure 6e). A reduced quadratic model was fitted to the data on protein content in adult males (F = 3.48; df = 2, 61; p = 0.0370; R2adj = 0.073). The model indicated that the main (F = 3.97; df = 1, 61; p = 0.0507) and quadratic (F = 3.36; df = 1, 61; p = 0.0716) effects of the larval density on the protein content in male flies were statistically unclear (Figure 6f).
4. Discussion
5. Conclusions
Supplementary Materials
Author Contributions
Funding
Data Availability Statement
Acknowledgments
Conflicts of Interest
Appendix A
Appendix A.1. Preparation of Diets and Experimental Procedures
Appendix A.2. Results

Appendix B
| Diet | Gel Content (% w/w) | Gel Cost (USD) | 
|---|---|---|
| Agar −1.0 | 0.12 | 0.05 | 
| Agar −0.5 | 0.215 | 0.08 | 
| Agar 0.0 | 0.31 | 0.12 | 
| Agar 0.5 | 0.405 | 0.16 | 
| Agar 1.0 | 0.5 | 0.20 | 
| Carrageenan −1.0 | 0.2 | 0.04 | 
| Carrageenan −0.5 | 0.3 | 0.06 | 
| Carrageenan 0.0 | 0.4 | 0.09 | 
| Carrageenan 0.5 | 0.5 | 0.11 | 
| Carrageenan 1.0 | 0.6 | 0.13 | 
| Calcium alginate −1.0 | 0.57 | 0.43 | 
| Calcium alginate −0.5 | 1.0 | 0.75 | 
| Calcium alginate 0.0 | 1.43 | 1.07 | 
| Calcium alginate 0.5 | 1.855 | 1.34 | 
| Calcium alginate 1.0 | 2.285 | 1.70 | 
References
- Hernández-Ortiz, V.; Aluja, M. Listado de especies de especies del género neotropical Anastrepha (Diptera: Tephritidae) con notas sobre su distribución y plantas hospederas. Folia Entomol. Mex. 1993, 33, 88–105. [Google Scholar]
- Birke, A.; Guillén, A.; Midgarden, D.; Aluja, M. Fruit flies, Anastrepha ludens (Loew), A. obliqua (Macquart) and A. grandis (Macquart) (Diptera: Tephritidae): Three pestiferous tropical fruit flies that could potentially expand their range to temperate areas. In Potential Invasive Pests of Agricultural Crops; Peña, J., Ed.; CABI International: Boca Raton, FL, USA, 2013; pp. 192–213. [Google Scholar]
- Aluja, M.; Piñero, J.; López, M.; Ruíz, C.; Zúñiga, A.; Piedra, E.; Díaz-Flescher, F.; Sivinski, J. New host plant and distribution records in Mexico for Anastrepha spp., Toxotrypana curvicauda Gerstacker, Rhagoletis zoqui Bush, Rhagoletis sp., and Hexachaeta sp. (Diptera: Tephritidae). Proc. Entomol. Soc. Wash. 2000, 102, 802–815. [Google Scholar]
- Aluja, M.; Mangan, R.L. Fruit fly (Diptera: Tephritidae) host status determination: Critical conceptual, methodological and regulatory considerations. Annu. Rev. Entomol. 2008, 53, 473–502. [Google Scholar] [CrossRef] [PubMed]
- Aluja, M.; Birke, A.; Ceymann, M.; Guillén, L.; Arrigoni, E.; Baumgartner, D.; Pascacio-Villafán, C.; Samietz, J. Agroecosystem resilience to an invasive insect species that could expand its geographical range in response to global climate change. Agric. Ecosyst. Environ. 2014, 186, 54–63. [Google Scholar] [CrossRef]
- Guillén, L.; Pascacio-Villafán, C.; Osorio-Paz, I.; Ortega-Casas, R.; Enciso-Ortíz, E.; Altúzar-Molina, A.; Velázquez, O.; Aluja, M. Coping with global warming: Adult thermal thresholds in four pestiferous Anastrepha species determined under experimental laboratory conditions and development/survival times of immatures and adults under natural field conditions. Front. Physiol. 2022, 13, 991923. [Google Scholar] [CrossRef] [PubMed]
- Bakri, A.; Metha, K.; Lance, D.R. Sterilizing insects with ionizing radiation. In Sterile Insect Technique Principles and Practice in Area-Wide Integrated Pest Management, 2nd ed.; Dyck, V.A., Hendrichs, J., Robinson, A.S., Eds.; CRC Press: Boca Raton, FL, USA, 2021; pp. 355–398. [Google Scholar] [CrossRef]
- Knipling, E.F. Sterile-male method of population control. Science 1959, 130, 902–904. [Google Scholar] [CrossRef] [PubMed]
- Klassen, W.; Vreysen, M.J.B. Area-wide integrated pest management and the sterile insect technique. In Sterile Insect Technique Principles and Practice in Area-Wide Integrated Pest Management, 2nd ed.; Dyck, V.A., Hendrichs, J., Robinson, A.S., Eds.; CRC Press: Boca Raton, FL, USA, 2021; pp. 75–112. [Google Scholar]
- Parker, A.G.; Mamai, W.; Maiga, H. Mass-rearing for the sterile insect technique. In Sterile Insect Technique Principles and Practice in Area-Wide Integrated Pest Management, 2nd ed.; Dyck, V.A., Hendrichs, J., Robinson, A.S., Eds.; CRC Press: Boca Raton, FL, USA, 2021; pp. 283–316. [Google Scholar] [CrossRef]
- Orozco-Dávila, D.; Quintero, L.; Hernández, E.; Solís, E.; Artiaga, T.; Hernández, R.; Ortega, C.; Montoya, P. Mass rearing and sterile insect releases for the control of Anastrepha spp. pests in Mexico—A review. Entomol. Exp. Appl. 2017, 164, 176–187. [Google Scholar] [CrossRef]
- Cohen, A.C. Design, Operation and Control of Insect-Rearing Systems: Science, Technology and Infrastructure, 1st ed.; CRC Press: Boca Raton, FL, USA, 2021. [Google Scholar] [CrossRef]
- Montoya, P.; Liedo, P.; Benrey, B.; Cancino, J.; Barrera, J.F.; Sivinski, J.; Aluja, M. Biological control of Anastrepha spp. (Diptera: Tephritidae) in mango orchards through argumentative releases of Diachasmimorpha longicaudata (Ashmead) (Hymenoptera: Braconidae). Biol. Control. 2000, 18, 216–224. [Google Scholar] [CrossRef]
- Cohen, A.C. Insect Diets: Science and Technology, 1st ed.; CRC Press: Boca Raton, FL, USA, 2003. [Google Scholar]
- Aceituno-Medina, M.; Hernández, E. Dietas artificiales: Evolución, retos y tendencias. In Moscas de la Fruta: Fundamentos y Procedimientos para su Manejo; Montoya, P., Toledo, J., Hernández, E., Eds.; S y G Editores: Ciudad de México, Mexico, 2020; pp. 421–448. [Google Scholar]
- Aceituno-Medina, M.; Ventura, C.; Hernández, E. A novel approach for quality assurance of bulking agents for larval mass-rearing of Anastrepha ludens: Mycotoxins content. In Proceedings of the 9th Meeting of the Tephritid Workers of the Western Hemisphere, Buenos Aires, Argentina, 20 October 2016; Abstract Book: Buenos Aires, Argentina, 2016. [Google Scholar]
- Aceituno-Medina, M.; Rincón-Betancurt, O.; Martínez-Salgado, R.T.; Hernández, E. A novel, low-cost coconut fiber larval diet for mass rearing Anastrepha (Diptera: Tephritidae). J. Econ. Entomol. 2019, 112, 1112–1119. [Google Scholar] [CrossRef]
- Rivera, J.P.; Hernández, E.; Toledo, J.; Salvador, M.; Silva, R. Dieta texturizada con agar para el desarrollo larvario de tres especies de moscas de la fruta (Diptera: Tephritidae). Folia Entomol. Mex. 2007, 46, 37–52. [Google Scholar]
- Hernández, E.; Rivera, P.; Bravo, B.; Salvador, M.; Chang, C. Improved and developed of alternative larval diets for mass rearing fruit flies species of the genus Anastrepha. In Proceedings of the 8th International Symposium on Fruit Flies of Economic Importance, Valencia, Spain, 26 September–1 October 2010; pp. 152–168. [Google Scholar] [CrossRef]
- Pascacio-Villafán, C.; Guillén, L.; Aluja, M. Agar and carrageenan as cost-effective gelling agents in yeast-reduced artificial diets for mass-rearing fruit flies and their parasitoids. Insects 2020, 11, 131. [Google Scholar] [CrossRef] [PubMed]
- Cohen, A.C. Ecology of insect rearing systems: A mini-review of insect rearing papers from 1906–2017. Adv. Entomol. 2018, 6, 86–115. [Google Scholar] [CrossRef]
- Mainali, B.P.; Moadeli, T.; Ponton, F.; Taylor, P.W. Comparison of gel larval diet with traditional lucerne chaff and carrot solid diets for rearing of Queensland fruit fly (Diptera: Tephritidae). J. Econ. Entomol. 2019, 112, 2278–2286. [Google Scholar] [CrossRef] [PubMed]
- Hernández, E.; Rivera, J.P.; Artiaga-López, T. Generic larval diet for mass-rearing of three species of Anastrepha (Diptera: Tephritidae). Int. J. Trop. Insect Sci. 2014, 34, S13–S18. [Google Scholar] [CrossRef]
- Moadeli, T.; Taylor, P.W.; Ponton, F. High productivity gel diets for rearing of Queensland fruit fly, Bactrocera tryoni. J. Pest Sci. 2017, 90, 507–520. [Google Scholar] [CrossRef]
- Pascacio-Villafán, C.; Birke, A.; Williams, T.; Aluja, M. Modeling the cost-effectiveness of insect rearing on artificial diets: A test with a tephritid fly used in the sterile insect technique. PLoS ONE 2017, 12, e0173205. [Google Scholar] [CrossRef] [PubMed]
- FAO; IAEA; USDA. Product Quality Control for Sterile Mass-Reared and Released Tephritid Fruit Flies, Version 7.0; International Atomic Energy Agency: Vienna, Austria, 2019. [Google Scholar]
- Mastrangelo, T.; Kovaleski, A.; Maset, B.; Costa, M.d.L.Z.; Barros, C.; Lopes, L.A.; Caceres, C. Improvement of the mass-rearing protocols for the South American fruit fly for application of the sterile insect technique. Insects 2021, 12, 622. [Google Scholar] [CrossRef]
- Rincón-Betancurt, O.; Aceituno-Medina, M.; García-Fajardo, L.V.; Hernández, E. Big particles, best nutrition? Absorption and excretion of protein by Anastrepha obliqua larvae (Diptera: Tephritidae). Bull. Entomol. Res. 2020, 111, 210–216. [Google Scholar] [CrossRef]
- Aceituno-Medina, M.; Hernández, E.; Rincón-Betancourt, O.; García-Fajardo, L.V.; Diego-García, E. Effects of a bulking agent on the protein:carbohydrate ratio, bioconversion and cost-effectiveness of a larval diet for Anastrepha ludens (Diptera: Tephritidae). J. Econ. Entomol. 2022, 115, 739–747. [Google Scholar] [CrossRef]
- Cohen, A.C. Standards for effective insect rearing science and technology papers. Adv. Entomol. 2018, 6, 256–284. [Google Scholar] [CrossRef][Green Version]
- Chang, C.L.; Vargas, R.I.; Jang, E.B.; Caceres, C.; Cho, I.K. Development and assessment of a liquid larval diet for Bactrocera dorsalis (Hendel) (Diptera: Tephritidae). Ann. Entomol. Soc. Am. 2006, 99, 1191–1198. [Google Scholar] [CrossRef]
- Pascacio-Villafán, C.; Righini, N.; Nestel, D.; Birke, A.; Guillén, L.; Aluja, M. Diet quality and conspecific larval density predict functional trait variation and performance in a polyphagous frugivorous fly. Funct. Ecol. 2022, 36, 1163–1176. [Google Scholar] [CrossRef]
- Morimoto, J.; Than, A.T.; Nguyen, B.; Lundbäck, I.; Dinh, H.; Ponton, F. Density-by-diet interactions during larval development shape adult life history trait expression and fitness in a polyphagous fly. Am. Nat. 2022, 199, E170–E185. [Google Scholar] [CrossRef] [PubMed]
- Aceituno-Medina, M.; Hernández, E.; Garcia-Fajardo, L.V.; Diego-Garcia, E. Impact of high larval density on the performance of Anastrepha ludens: Competition or feeding facilitation? J. Appl. Entomol. 2023, 147, 530–541. [Google Scholar] [CrossRef]
- Lapointe, S.L.; Evens, T.J.; Niedz, R.P. Insect diets as mixtures: Optimization for a polyphagous weevil. J. Insect Physiol. 2008, 54, 1157–1167. [Google Scholar] [CrossRef] [PubMed]
- Damiens, D.; Benedict, M.Q.; Wille, M.; Gilles, J.R.L. An inexpensive and effective larval diet for Anopheles arabiensis (Diptera: Culicidae): Eat like a horse, a bird, or a fish? J. Med. Entomol. 2014, 49, 1001–1011. [Google Scholar] [CrossRef] [PubMed]
- Hickin, M.; Nadel, H.; Schal, C.; Cohen, A.C. Optimization of a diet for the greater wax moth (Lepidoptera: Pyralidae) using full factorial and mixture design. J. Econ. Entomol. 2021, 114, 1091–1103. [Google Scholar] [CrossRef] [PubMed]
- Laurens, L.M.; Lane, M.; Nelson, R.S. Sustainable seaweed biotechnology solutions for carbon capture, composition, and deconstruction. Trends Biotechnol. 2020, 38, 1232–1244. [Google Scholar] [CrossRef]
- Cao, Y.; Mezzenga, R. Design principles of food gels. Nat. Food 2020, 1, 106–118. [Google Scholar] [CrossRef]
- Cao, L.; Lua, W.; Mata, A.; Nishinarib, K.; Fang, Y. Egg-box model-based gelation of alginate and pectin: A review. Carbohydr. Polym. 2020, 242, 116389. [Google Scholar] [CrossRef]
- Moore, I.; Navon, A. Rearing of the cotton worm, Spodoptera littoralis (Boisduval), on a calcium alginate medium. In Application of Induced Sterility for Control of Lepidopterous Populations; International Atomic Energy Agency: Vienna, Austria, 1971; pp. 81–86. [Google Scholar]
- Moore, I.; Navon, A. A new gelling technique and improved calcium-alginate medium for rearing Spodoptera littoralis. J. Econ. Entomol. 1973, 66, 565–566. [Google Scholar] [CrossRef]
- Spencer, N.R.; Leppla, N.C.; Presser, G.A. Sodium alginate as a gelling agent in diets for the cabbage looper, Trichoplusia ni. Entomol. Exp. Appl. 1976, 20, 39–42. [Google Scholar] [CrossRef]
- Morimoto, M.; Matsuda, K.; Ohta, Y.; Ihara, T.; Komai, K. Evaluation of calcium-alginate gel as an artificial diet medium for bioassays on common cutworms. J. Agric. Food Chem. 2004, 52, 4737–4739. [Google Scholar] [CrossRef] [PubMed]
- Cohen, A.C.; Cheah, C.A.J.; Strider, J.; Hain, F. Diet development for hemlock woolly adelgids and their predators. In Proceedings of the Fourth Symposium on Hemlock Woolly Adelgid in the Eastern United States, Hartford, CT, USA, 12–14 February 2008. [Google Scholar]
- Tan, X.L.; Wang, S.; Zhang, F. Optimization an optimal artificial diet for the predatory bug Orius sauteri (Hemiptera: Anthocoridae). PLoS ONE 2013, 8, e61129. [Google Scholar] [CrossRef] [PubMed]
- Tan, X.L.; Zhao, J.; Wang, S.; Zhang, F. Optimization and evaluation of microencapsulated artificial diet for mass rearing the predatory ladybird Propylea japonica (Coleoptera: Coccinellidae). Insect Sci. 2015, 22, 111–120. [Google Scholar] [CrossRef] [PubMed]
- Aluja, M.; Sivinski, J.; Ovruski, S.; Guillen, L.; Lopez, M.; Cancino, J.; Torres-Anaya, A.; Gallegos-Chang, G.; Ruíz, L. Colonization and domestication of seven species of native New World hymenopterous larval-prepupal and pupal fruit fly (Diptera: Tephritidae) parasitoids. Biocontrol Sci. Technol. 2009, 19, 49–79. [Google Scholar] [CrossRef]
- Pascacio-Villafán, C.; Guillén, L.; Altúzar-Molina, A.; Tellez-Mora, J.A.; Cruz-Hernández, E.; Aluja, M. Feeding on the fruit waste orange bagasse modifies immature protein content, body weight, scent bouquet composition and copula duration in males of a tephritid frugivorous fly. Biology 2023, 12, 739. [Google Scholar] [CrossRef] [PubMed]
- Anderson, M.J.; Whitcomb, P.J. RSM Simplified-Optimizing Processes Using Response Surface Methods for Design of Experiments; Productivity Inc.: New York, NY, USA, 2005. [Google Scholar] [CrossRef]
- Días, N.P.; Nava, D.E.; Smaniotto, G.; Garcia, M.S.; Valgas, R.A. Rearing two fruit flies pests on artificial diet with variable pH. Braz. J. Biol. 2019, 79, 104–110. [Google Scholar] [CrossRef] [PubMed]
- Morimoto, J.; Nguyen, B.; Dinh, H.; Than, A.T.; Taylor, P.W.; Ponton, F. Crowded developmental environment promotes adult sex-specific nutrient consumption in a polyphagous fly. Front. Zool. 2019, 16, 1–11. [Google Scholar] [CrossRef] [PubMed]
- Nestel, D.; Papadopoulos, N.T.; Pascacio-Villafán, C.; Righini, N.; Altuzar-Molina, A.R.; Aluja, M. Resource allocation and compensation during development in holometabolous insects. J. Insect Physiol. 2016, 95, 78–88. [Google Scholar] [CrossRef]
- Wu, Q.; Yu, G.; Cheng, X.; Gao, Y.; Fan, X.; Yang, D.; Xie, M.; Wang, T.; Piper, M.D.W.; Yang, M. Sexual dimorphism in the nutritional requirement for adult lifespan in Drosophila melanogaster. Aging Cell 2020, 19, e13120. [Google Scholar] [CrossRef]
- Sarmiento-Huertas, P.A. Desarrollo de geles a base de alginato de sodio con alto contenido de ácido αL-gulurónico para uso potencial como adhesivo para huesos. Bachelor’s Thesis, Universidad de los Andes, Bogotá, Colombia, 2015. [Google Scholar]
- DGSV-DMF. Dirección General de Sanidad Vegetal-Dirección de Moscas de la Fruta. Cría masiva de Anastrepha ludens; SENASICA-Dirección de Moscas de la Fruta: Ciudad de México, Mexico, 2009. [Google Scholar]
- Warburg, M.S.; Yuval, B. Effects of energetic reserves on behavioral patterns of Mediterranean fruit flies (Diptera: Tephritidae). Oecologia 1997, 112, 314–319. [Google Scholar] [CrossRef] [PubMed]
- Nestel, D.; Tolmasky, D.; Rabossi, A.; Quesada-Allué, L.A. Lipid, carbohydrates and protein patterns during metamorphosis of the Mediterranean fruit fly, Ceratitis capitata (Diptera: Tephritidae). Ann. Entomol. Soc. Am. 2003, 96, 237–244. [Google Scholar] [CrossRef]
- Zuur, A.F.; Ieno, E.N.; Elphick, C.S. A protocol for data exploration to avoid common statistical problems. Methods Ecol. Evol. 2010, 1, 3–14. [Google Scholar] [CrossRef]
- Dushoff, J.; Kain, M.P.; Bolker, B.M. I can see clearly now: Reinterpreting statistical significance. Methods Ecol. Evol. 2019, 10, 756–759. [Google Scholar] [CrossRef]
- Raubenheimer, D.; Simpson, S.J. Nutritional PharmEcology: Doses, nutrients, toxins, and medicines. Integr. Comp. Biol. 2009, 49, 329–337. [Google Scholar] [CrossRef]
- Pascacio-Villafán, C.; Williams, T.; Sivinski, J.; Birke, A.; Aluja, M. Costly nutritious diets do not necessarily translate into better performance of artificially reared fruit flies (Diptera: Tephritidae). J. Econ. Entomol. 2015, 108, 53–59. [Google Scholar] [CrossRef]
- Benkel, B.F.; Hickey, D.A. Glucose repression of amylase gene expression in Drosophila melanogaster. Genetics 1986, 114, 137–144. [Google Scholar] [CrossRef]
- Brown, M.R.; Crim, J.W.; Arata, R.C.; Cai, H.N.; Chun, C.; Shen, P. Identification of a Drosophila brain-gut peptide related to the neuropeptide Y family. Peptides 1999, 20, 1035–1042. [Google Scholar] [CrossRef]
- Wu, Q.; Wen, T.; Lee, G.; Park, J.H.; Cai, H.N.; Shen, P. Developmental control of foraging and social behavior by the Drosophila neuropeptide Y-like system. Neuron 2003, 39, 147–161. [Google Scholar] [CrossRef]
- Rodrigues, M.A.; Martins, N.E.; Balance, L.F.; Broom, L.N.; Días, A.J.; Fernandes, A.S.; Rodrigues, F.; Sucena, E.; Mirth, C.K. Drosophila melanogaster larvae make nutritional choices that minimize developmental time. J. Insect Physiol. 2015, 81, 69–80. [Google Scholar] [CrossRef] [PubMed]
- Pimentel, A.C.; Montali, A.; Bruno, D.; Tettamanti, G. Metabolic adjustment of the larval fat body in Hermetia illucens to dietary conditions. J. Asia Pac. Entomol. 2017, 20, 1307–1313. [Google Scholar] [CrossRef]
- Gold, M.; Tomberlin, J.K.; Diener, S.; Zurbrügg, C.; Mathys, A. Decomposition of biowaste macronutrients, microbes, and chemicals in black soldier fly larval treatment: A review. Waste Manag. 2018, 82, 302–318. [Google Scholar] [CrossRef]
- Rivera-Ciprian, J.P.; Aceituno-Medina, M.; Guillen, K.; Hernández, E.; Toledo, J. Midgut protease activity during larval development of Anastrepha obliqua (Diptera: Tephritidae) fed with natural and artificial diet. J. Insect Sci. 2017, 17, 116. [Google Scholar] [CrossRef]
- Terra, W.R.; Ferreira, C. Insect digestive enzymes: Properties, compartmentalization and function. Comp. Biochem. Physiol. B 1994, 109, 1–62. [Google Scholar] [CrossRef]
- Díaz-Fleischer, F.; Aluja, M. Clutch size in frugivorous insects as a function of host firmness: The case of the tephritid fly Anastrepha ludens. Ecol. Entomol. 2003, 28, 268–277. [Google Scholar] [CrossRef]
- Chandra, M.V.; Shamasundar, B.A. Texture profile analyses and functional properties of gelatin from the skin of three species of fresh water fish. Int. J. Food Prop. 2015, 18, 572–584. [Google Scholar] [CrossRef]
- Toprak, U.; Hegedus, D.; Doğan, C.; Güney, G. A journey into the world of insect lipid metabolism. Arch. Insect Biochem. Physiol. 2020, 104, e21682. [Google Scholar] [CrossRef]
- Behmer, S.T. Insect herbivore nutrient regulation. Annu. Rev. Entomol. 2009, 54, 165–187. [Google Scholar] [CrossRef]
- Jurtshuk, P.J. Bacterial Metabolism. In Medical Microbiology, 4th ed.; Baron, S., Ed.; University of Texas Medical Branch at Galveston: Galveston, TX, USA, 1996; Chapter 4. [Google Scholar]
- O’Donnell, M. Insect excretory mechanisms. Adv. Insect Physiol. 2008, 35, 1–122. [Google Scholar] [CrossRef]
- Miller, R.W.; Sirois, J.C. Calcium and magnesium effects on symbiotic nitrogen fixation in the alfalfa (M. sativa)—Rhizobium meliloti system. Physiol. Plant. 1983, 58, 464–470. [Google Scholar] [CrossRef]
- Behar, A.; Yuval, B.; Jurkevitch, E. Enterobacteria-mediated nitrogen fixation in natural populations of the fruit fly Ceratitis capitata. Mol. Ecol. 2005, 14, 2637–2643. [Google Scholar] [CrossRef] [PubMed]
- Ochoa-Sánchez, M.; Cerqueda-García, D.; Moya, A.; Ibarra-Laclette, E.; Altúzar-Molina, A.; Desgarennes, D.; Aluja, M. Bitter friends are not always toxic: The loss of acetic acid bacteria and the absence of Komagataeibacter in the gut microbiota of the polyphagous fly Anastrepha ludens could inhibit its development in Psidium guajava in contrast to A. striata and A. fraterculus that flourish in this host. Front. Microbiol. 2022, 13, 979817. [Google Scholar] [CrossRef]
- Ren, X.; Cao, S.; Akami, M.; Mansour, A.; Yang, Y.; Jiang, N.; Wang, H.; Zhang, G.; Qi, X.; Xu, P.; et al. Gut symbiotic bacteria are involved in nitrogen recycling in the tephritid fruit fly Bactrocera dorsalis. BMC Biol. 2002, 20, 201. [Google Scholar] [CrossRef] [PubMed]
- Pascacio-Villafán, C.; Cohen, A.C. How rearing systems for various species of flies benefit humanity. Insects 2023, 14, 553. [Google Scholar] [CrossRef] [PubMed]
- Gordon, S.; Dickinson, M.H. Role of calcium in the regulation of mechanical power in insect flight. Proc. Natl. Acad. Sci. USA 2006, 103, 4311–4315. [Google Scholar] [CrossRef] [PubMed]
- Morris, D.L. Quantitative determination of carbohydrates with dreywood’s anthrone reagent. Science 1948, 107, 254–255. [Google Scholar] [CrossRef]
- Shell, B.C.; Schmitt, R.E.; Lee, K.M.; Johnson, J.C.; Chung, B.Y.; Pletcher, S.D. Measurement of solid food intake in Drosophila via consumption-excretion of a dye tracer. Sci. Rep. 2018, 8, 11536. [Google Scholar] [CrossRef]
- Raza, M.F.; Yao, Z.; Bai, S.; Cai, Z.; Zhang, H. Tephritidae fruit fly gut microbiome diversity, function and potential for applications. Bull. Entomol. Res. 2020, 110, 423–437. [Google Scholar] [CrossRef]
- Jiang, B.; Tsao, R.; Li, Y.; Miao, M. Food safety: Food analysis technologies/techniques. Encycl. Agric. Food Syst. 2014, 3, 273–288. [Google Scholar] [CrossRef]
- Lee, J.C. What we can learn from the energetic levels of insects: A guide and review. Ann. Entomol. Soc. Am. 2019, 112, 220–226. [Google Scholar] [CrossRef]
- Aluja, M.; Díaz-Fleischer, F.; Papaj, D.R.; Lagunes, G.; Sivinski, J. Effects of age, diet, female density, and the host resource on egg load in Anastrepha ludens and Anastrepha obliqua (Diptera: Tephritidae). J. Insect Physiol. 2001, 47, 975–988. [Google Scholar] [CrossRef]
- R Development Core Team. R: A Language and Environment for Statistical Computing; R Foundation for Statistical Computing: Vienna, Austria, 2017. [Google Scholar]






| Response Variables a | Significance | 
|---|---|
| Physical, chemical, and nutritional traits of the diets | |
| Firmness (kgF) | An indicator of diet texture that influences food intake and nutrition [15]. | 
| Penetration resistance (kgF) | An indicator of diet consistency. Influence the ability of larvae to suck the food [15]. | 
| Acidity (pH units) | pH can alter the properties of the diet, affecting feeding and causing negative effects on larval development and nutrient absorption [14,15,51]. | 
| Carbohydrates, lipids, and protein content (%) | The macronutrient content of the diet can influence the quality parameters of flies [32]. | 
| Production and quality parameters of flies | |
| Estimated number of larvae recovered (No.) | A successful diet must provide a greater larval yield per unit of biomass [15]. | 
| Pupation after 24 h (proportion) | Pupation is a critical step in the life history of flies, and for SIT purposes, pupae are moved to maturation after 24 h [11,26]. | 
| Pupal weight (mg) | Reflect larval nutrition and indicate pupae’s viability [11,26]. | 
| Fliers (proportion) | Flying insects are the product of mass rearing for SIT purposes. It is a critical parameter because sterile flies need to be able to fly to escape predators and find sexual partners in the field [26,29]. | 
| Diet removal and larval and adult nutritional traits | |
| Diet removal per larva (g) | We measured diet removed by larvae as an indirect estimation of diet consumption, which is important to determine if the diet is palatable and adequate for the development of the insect [15]. | 
| Relative consumption of carbohydrates, lipids, and proteins per larva (g) | Knowing the macronutrient content consumed per larva is essential to better understand nutrient absorption and assimilation [52]. | 
| Carbohydrates, lipids, and proteins in larvae (%) | Knowing the macronutrient content in larvae is important to know its storing and assimilation levels [53]. | 
| Carbohydrates, lipids, and proteins in larval excretions (%) | The correlation between the absorption and excretion of nutrients is associated with the quality of food [28]. | 
| Ammonia and uric acid in larval excretions (%) | Uric acid and ammonia are the nitrogen end products of protein catabolism [28]. | 
| Carbohydrates, lipids, and proteins in females and males (%) | The energy use of nutrients can be different depending on the sex by reproduction process of adult flies [54]. | 
| Diet a | Gel Content in Diet (% w/w) | Gel Content in Diet (Coded Units) b | Water Content in Diet (% w/w) | Citric Acid Content in Diet (% w/w) c | 
|---|---|---|---|---|
| Agar1 | 0.12 | −1.0 | 79.44 | 0.44 | 
| Agar2 | 0.215 | −0.5 | 79.34 | 0.44 | 
| Agar3 | 0.31 | 0.0 | 79.25 | 0.44 | 
| Agar4 | 0.405 | 0.5 | 79.15 | 0.44 | 
| Agar5 | 0.5 | 1.0 | 79.06 | 0.44 | 
| Carrageenan6 | 0.2 | −1.0 | 79.36 | 0.44 | 
| Carrageenan7 | 0.3 | −0.5 | 79.26 | 0.44 | 
| Carrageenan8 | 0.4 | 0.0 | 79.16 | 0.44 | 
| Carrageenan9 | 0.5 | 0.5 | 79.06 | 0.44 | 
| Carrageenan10 | 0.6 | 1.0 | 78.96 | 0.44 | 
| Calcium alginate11 | 0.57 | −1.0 | 79.26 | 0.165 | 
| Calcium alginate12 | 1.0 | −0.5 | 78.71 | 0.29 | 
| Calcium alginate13 | 1.43 | 0.0 | 78.16 | 0.41 | 
| Calcium alginate14 | 1.855 | 0.5 | 77.61 | 0.535 | 
| Calcium alginate15 | 2.285 | 1.0 | 77.05 | 0.66 | 
| Disclaimer/Publisher’s Note: The statements, opinions and data contained in all publications are solely those of the individual author(s) and contributor(s) and not of MDPI and/or the editor(s). MDPI and/or the editor(s) disclaim responsibility for any injury to people or property resulting from any ideas, methods, instructions or products referred to in the content. | 
© 2023 by the authors. Licensee MDPI, Basel, Switzerland. This article is an open access article distributed under the terms and conditions of the Creative Commons Attribution (CC BY) license (https://creativecommons.org/licenses/by/4.0/).
Share and Cite
Pascacio-Villafán, C.; Caravantes-Villatoro, L.A.; Osorio-Paz, I.; Guillén, L.; García, H.S.; Enciso-Ortiz, E.; Altúzar-Molina, A.; Barran-Prior, R.; Aluja, M. Larval Rearing and Nutrition of the Polyphagous Tephritid Pest Anastrepha ludens on Artificial Diets with Calcium Alginate, Agar, or Carrageenan as Gelling Agents at Various Concentrations and across Extreme Larval Density Conditions. Insects 2023, 14, 952. https://doi.org/10.3390/insects14120952
Pascacio-Villafán C, Caravantes-Villatoro LA, Osorio-Paz I, Guillén L, García HS, Enciso-Ortiz E, Altúzar-Molina A, Barran-Prior R, Aluja M. Larval Rearing and Nutrition of the Polyphagous Tephritid Pest Anastrepha ludens on Artificial Diets with Calcium Alginate, Agar, or Carrageenan as Gelling Agents at Various Concentrations and across Extreme Larval Density Conditions. Insects. 2023; 14(12):952. https://doi.org/10.3390/insects14120952
Chicago/Turabian StylePascacio-Villafán, Carlos, Luis A. Caravantes-Villatoro, Ixchel Osorio-Paz, Larissa Guillén, Hugo S. García, Erick Enciso-Ortiz, Alma Altúzar-Molina, Roxana Barran-Prior, and Martín Aluja. 2023. "Larval Rearing and Nutrition of the Polyphagous Tephritid Pest Anastrepha ludens on Artificial Diets with Calcium Alginate, Agar, or Carrageenan as Gelling Agents at Various Concentrations and across Extreme Larval Density Conditions" Insects 14, no. 12: 952. https://doi.org/10.3390/insects14120952
APA StylePascacio-Villafán, C., Caravantes-Villatoro, L. A., Osorio-Paz, I., Guillén, L., García, H. S., Enciso-Ortiz, E., Altúzar-Molina, A., Barran-Prior, R., & Aluja, M. (2023). Larval Rearing and Nutrition of the Polyphagous Tephritid Pest Anastrepha ludens on Artificial Diets with Calcium Alginate, Agar, or Carrageenan as Gelling Agents at Various Concentrations and across Extreme Larval Density Conditions. Insects, 14(12), 952. https://doi.org/10.3390/insects14120952
 
        


 
       