Fatigue Damage Map of AZ31B-F Magnesium Alloys under Multiaxial Loading Conditions
Abstract
:1. Introduction
2. Materials and Methods
2.1. Material
2.2. Experimental Program
2.3. Fatigue Damage Map Assessment Method
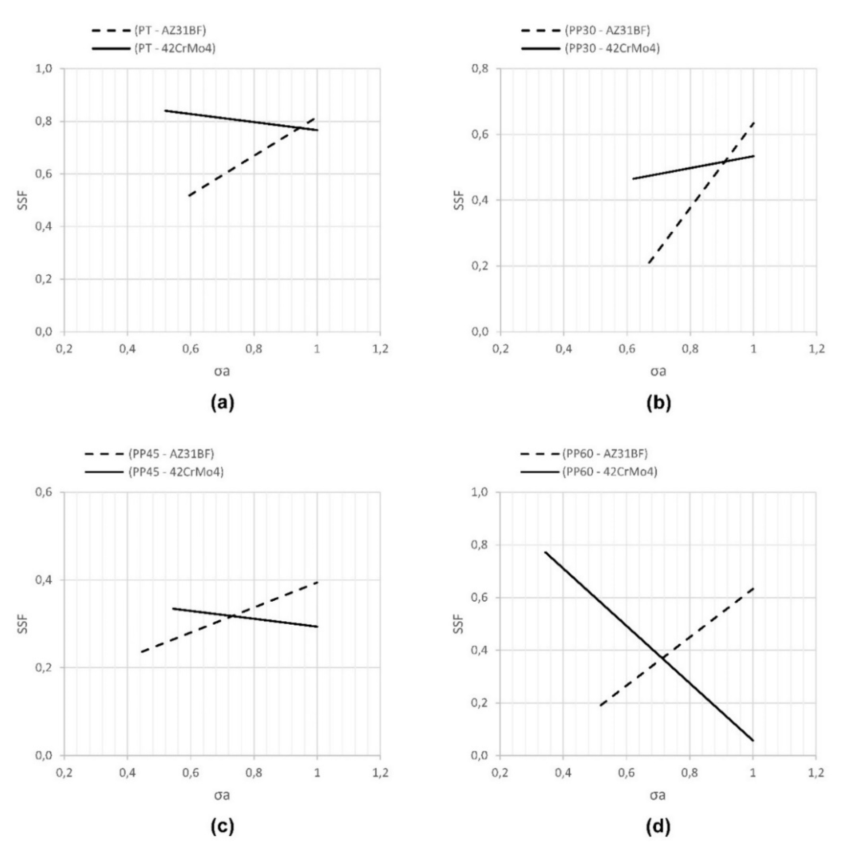
3. Results and Discussion
3.1. S-N Experimental Results
3.2. Stress Scale Factor (ssf) Determination Based on Experimental Results
4. Conclusions
- The ssf damage map has been successfully evaluated for AZ32BF and can be used to estimate the fatigue life of AZ31BF components and structures under proportional loads.
- As for 42CrMo4, the damage scale between normal and shear stresses (ssf) in AZ31B-F material varies depending on the stress amplitude ratio and stress intensity, but the pattern of this variation is different from 42CrMo4 material.
- The regression study showed that the 42CrMo4 expression for the damage map was also valid for AZ31B-F material, but with a lower R2 compared to the R2 obtained for the best fit condition.
- It is concluded that the polynomial function with eight constants initially obtained for the 42CrMo4 material is a good candidate for modelling the ssf damage map of a variety of materials, but further studies are needed to confirm this hypothesis.
- Based on the AZ31B-F damage map, an expression was developed to calculate the safety factor of AZ31B-F under proportional loading. This safety factor was developed with respect to infinite life conditions.
Author Contributions
Funding
Institutional Review Board Statement
Informed Consent Statement
Data Availability Statement
Conflicts of Interest
References
- Tolliver, C.; Keeley, A.R.; Managi, S. Drivers of Green Bond Market Growth: The Importance of Nationally Determined Contributions to the Paris Agreement and Implications for Sustainability. J. Clean. Prod. 2020, 244, 118643. [Google Scholar] [CrossRef]
- Salawitch, R.J.; Canty, T.P.; Hope, A.P.; Tribett, W.R.; Bennett, B.F. Paris Climate Agreement: Beacon of Hope; Springer Nature: London, UK, 2017; pp. 1–35. [Google Scholar]
- Aghion, E.; Bronfin, B.; Eliezer, D. The Role of the Magnesium Industry in Protecting the Environment. J. Mater. Process. Technol. 2001, 117, 381–385. [Google Scholar] [CrossRef]
- Kulekci, M.K. Magnesium and Its Alloys Applications in Automotive Industry. Int. J. Adv. Manuf. Technol. 2008, 39, 851–865. [Google Scholar] [CrossRef]
- Dai, Y.; Chen, X.-H.; Yan, T.; Tang, A.-T.; Zhao, D.; Luo, Z.; Liu, C.-Q.; Cheng, R.-J.; Pan, F.-S. Improved Corrosion Resistance in AZ61 Magnesium Alloys Induced by Impurity Reduction. Acta Metall. Sin. 2020, 33, 225–232. [Google Scholar] [CrossRef] [Green Version]
- Yao, H.-L.; Yi, Z.-H.; Yao, C.; Zhang, M.-X.; Wang, H.-T.; Li, S.-B.; Bai, X.-B.; Chen, Q.-Y.; Ji, G.-C. Improved Corrosion Resistance of AZ91D Magnesium Alloy Coated by Novel Cold-Sprayed Zn-HA/Zn Double-Layer Coatings. Ceram. Int. 2020, 46, 7687–7693. [Google Scholar] [CrossRef]
- Zeng, R.; Zhang, J.; Huang, W.; Dietzel, W.; Kainer, K.U.; Blawert, C.; Wei, K.E. Review of Studies on Corrosion of Magnesium Alloys. Trans. Nonferr. Met. Soc. China 2006, 16, s763–s771. [Google Scholar] [CrossRef]
- Albinmousa, J.; Jahed, H. Multiaxial Effects on LCF Behaviour and Fatigue Failure of AZ31B Magnesium Extrusion. Int. J. Fatigue 2014, 67, 103–116. [Google Scholar] [CrossRef]
- Albinmousa, J.; Jahed, H.; Lambert, S. Cyclic Axial and Cyclic Torsional Behaviour of Extruded AZ31B Magnesium Alloy. Int. J. Fatigue 2011, 33, 1403–1416. [Google Scholar] [CrossRef]
- Albinmousa, J.; Jahed, H.; Lambert, S. Cyclic Behaviour of Wrought Magnesium Alloy under Multiaxial Load. Int. J. Fatigue 2011, 33, 1127–1139. [Google Scholar] [CrossRef]
- Xiong, Y.; Yu, Q.; Jiang, Y. Multiaxial Fatigue of Extruded AZ31B Magnesium Alloy. Mater. Sci. Eng. A 2012, 546, 119–128. [Google Scholar] [CrossRef]
- Yu, Q.; Zhang, J.; Jiang, Y.; Li, Q. Multiaxial Fatigue of Extruded AZ61A Magnesium Alloy. Int. J. Fatigue 2011, 33, 437–447. [Google Scholar] [CrossRef]
- Wang, Y.; Culbertson, D.; Jiang, Y. An Experimental Study of Anisotropic Fatigue Behavior of Rolled AZ31B Magnesium Alloy. Mater. Des. 2020, 186, 108266. [Google Scholar] [CrossRef]
- Wang, F.; Feng, M.; Jiang, Y.; Dong, J.; Zhang, Z. Cyclic Shear Deformation and Fatigue of Extruded Mg-Gd-Y Magnesium Alloy. J. Mater. Sci. Technol. 2020, 39, 74–81. [Google Scholar] [CrossRef]
- Zhao, X.; Gao, P.; Zhang, Z.; Wang, Q.; Yan, F. Fatigue Characteristics of the Extruded AZ80 Automotive Wheel. Int. J. Fatigue 2020, 132, 105393. [Google Scholar] [CrossRef]
- Liu, Y.; Chen, Y.; He, C.; Liu, F.; Yang, K.; Li, L.; Zhang, H.; Wang, C.; Wang, Q. Vacuum Retarding and Air Accelerating Effect on the High-Cycle and Very-High-Cycle Fatigue Behavior of a ZK60 Magnesium Alloy. Mater. Des. 2020, 109310. [Google Scholar] [CrossRef]
- Anes, V.; Reis, L.; Li, B.; Freitas, M. Crack Path Evaluation on HC and BCC Microstructures under Multiaxial Cyclic Loading. Int. J. Fatigue 2014, 58, 102–113. [Google Scholar] [CrossRef]
- Anes, V.; Reis, L.; de Freitas, M. Evaluation of a Phenomenological Elastic-Plastic Approach for Magnesium Alloys under Multiaxial Loading Conditions. Fatigue Fract. Eng. Mater. Struct. 2019, 42, 2468–2486. [Google Scholar] [CrossRef] [Green Version]
- Anes, V.; Reis, L.; Freitas, M. Evaluation of the AZ31 Cyclic Elastic-Plastic Behaviour under Multiaxial Loading Conditions. Frat. Ed. Integrità Strutt. 2014, 8, 282–292. [Google Scholar] [CrossRef] [Green Version]
- Jahed, H.; Albinmousa, J. Multiaxial Behaviour of Wrought Magnesium Alloys–A Review and Suitability of Energy-Based Fatigue Life Model. Theor. Appl. Fract. Mech. 2014, 73, 97–108. [Google Scholar] [CrossRef]
- Anes, V.; Reis, L.; Li, B.; Fonte, M.; De Freitas, M. New Approach for Analysis of Complex Multiaxial Loading Paths. Int. J. Fatigue 2014, 62, 21–33. [Google Scholar] [CrossRef]
- Socie, D.F.; Marquis, G.B. Multiaxial Fatigue; Society of Automotive Engineers: Warrendale, PA, USA, 2000. [Google Scholar]
- Anes, V.; De Freitas, M.; Reis, L. The Damage Scale Concept and the Critical Plane Approach. Fatigue Fract. Eng. Mater. Struct. 2017, 40, 1240–1250. [Google Scholar]










| Element | Al | Zn | Mn | Fe | Ni | Cu | Ca | Si | Mg |
|---|---|---|---|---|---|---|---|---|---|
| Weight (%) | 3.1 | 1.05 | 0.54 | 0.0035 | 0.0007 | 0.0008 | 0.04 | 0.1 | Balance |
| Microstructure Type | HC |
|---|---|
| Poisson’s ratio | 0.35 |
| Density (Kg/m3) | 1770 |
| Hardness (HV) | 86 |
| Tensile strength (MPa) | 290 |
| Yield strength (MPa) | 203 |
| Elongation (%) | 14 |
| Young’s modulus (GPa) | 45 |
| σ′f—Fatigue strength coefficient (MPa) | 450 |
| b—Fatigue strength coefficient | −0.12 |
| ε′f—Fatigue ductility coefficient | 0.26 |
| c—Fatigue ductility exponent | −0.71 |
| Loading Case | Normal Stress (MPa) | Shear Stress (MPa) | Nf |
|---|---|---|---|
| Case 1 PT | 140 | 13,164 | |
| 135 | 22,873 | ||
| 130 | 38,102 | ||
| 120 | 62,352 | ||
| 105 | 721,573 | ||
| 100 | 1,000,000 | ||
| Case 2 PS | 75 | 88,871 | |
| 69 | 128,769 | ||
| 64 | 227,808 | ||
| 59 | 388,236 | ||
| 53 | 1,000,000 | ||
| Case 3 PP30 | 112.58 | 37.53 | 65,318 |
| 108.25 | 36.08 | 84,432 | |
| 103.92 | 34.64 | 170,311 | |
| 99.59 | 33.2 | 366,799 | |
| 95.26 | 31.75 | 1,000,000 | |
| Case 4 PP45 | 106 | 61 | 16,800 |
| 92 | 53 | 46,874 | |
| 78 | 45 | 138,986 | |
| 74 | 43 | 242,685 | |
| 71 | 41 | 353,718 | |
| 67 | 39 | 1,000,000 | |
| Case 5 PP60 | 60 | 60 | 52,110 |
| 55 | 55 | 94,116 | |
| 50 | 50 | 191,187 | |
| 45 | 45 | 1,000,000 |
| Case | λ = τa/σa | Trend Line [MPa] |
|---|---|---|
| 1 | 0 | σa = 283.93(Nf)−0.075 |
| τa = 0 | ||
| 2 | ∞ | σa = 0 |
| τa = 365.14(Nf)−0.141 | ||
| 3 | 0.33 | σa = 211.65(Nf)−0.058 |
| τa = 70.572(Nf)−0.058 | ||
| 4 | 0.56 | σa = 322.22(Nf)−0.117 |
| τa = 180.44(Nf)−0.114 | ||
| 5 | 1 | σa = 163.66(Nf)−0.095 |
| τa = 163.66(Nf)−0.095 |
| Nf | (1) Pure Shear (Case 2) τa = 365.14(Nf)^(−0.141) [MPa] | (2) Pure tension (Case 1) σa = 283.93(Nf)^(−0.075) [MPa] | ssf = (1)/(2) |
|---|---|---|---|
| 103 | 138 | 169 | 138/169 = 0.82 |
| 104 | 100 | 142 | 0.70 |
| 5 × 104 | 79 | 126 | 0.63 |
| 105 | 72 | 120 | 0.60 |
| 5 × 105 | 57 | 106 | 0.54 |
| 106 | 52 | 101 | 0.52 |
| Nf | (1) Pure Shear (Case 2) τa = 365.14(Nf)^(−0.141) [MPa] | (2) Normal (Case 3) σa = 211,65(Nf)^(−0.058) [MPa] | (3) Shear (Case 3) τa = 70,572(Nf)^(−0.058) [MPa] | ssf = ((1)−(3))/(2) |
|---|---|---|---|---|
| 103 | 138 | 142 | 47 | 0.64 |
| 104 | 100 | 124 | 41 | 0.47 |
| 5 × 104 | 79 | 113 | 38 | 0.37 |
| 105 | 72 | 109 | 36 | 0.33 |
| 5 × 105 | 57 | 99 | 33 | 0.25 |
| 106 | 52 | 95 | 32 | 0.21 |
| Nf | (1) Pure Shear (Case 2) τa = 365.14(Nf)^(−0.141) [MPa] | (2) Normal (Case 4) σa = 322,21(Nf)^(−0.117) [MPa] | (3) Shear (Case 4) τa = 180,44(Nf)^(−0.114) [MPa] | ssf = ((1)−(3))/(2) |
|---|---|---|---|---|
| 103 | 138 | 144 | 82 | 0.39 |
| 104 | 100 | 110 | 63 | 0.33 |
| 5 × 104 | 79 | 91 | 53 | 0.30 |
| 105 | 72 | 84 | 49 | 0.28 |
| 5 × 105 | 57 | 69 | 40 | 0.24 |
| 106 | 52 | 64 | 37 | 0.23 |
| Nf | (1) Pure Shear (Case 2) τa = 365.14(Nf)^(−0.141) [MPa] | (2) Normal (Case 5) σa = 163,66(Nf)^(−0.095) [MPa] | (3) Shear (Case 5) τa = 163,66(Nf)^(−0.095) [MPa] | ssf = ((1)−(3))/(2) |
|---|---|---|---|---|
| 103 | 138 | 85 | 85 | 0.62 |
| 104 | 100 | 68 | 68 | 0.46 |
| 5 × 104 | 79 | 59 | 59 | 0.36 |
| 105 | 72 | 55 | 55 | 0.31 |
| 5 × 105 | 57 | 47 | 47 | 0.22 |
| 106 | 52 | 44 | 44 | 0.18 |
| σa | λ = atan(τa/σa) (rads) | ssf |
|---|---|---|
| 169 | 0 | 0.82 |
| 142 | 0 | 0.70 |
| 126 | 0 | 0.63 |
| 120 | 0 | 0.60 |
| 106 | 0 | 0.54 |
| 101 | 0 | 0.52 |
| 142 | 0.32 | 0.64 |
| 124 | 0.32 | 0.47 |
| 113 | 0.32 | 0.37 |
| 109 | 0.32 | 0.33 |
| 99 | 0.32 | 0.25 |
| 95 | 0.32 | 0.21 |
| 144 | 0.52 | 0.39 |
| 110 | 0.52 | 0.33 |
| 91 | 0.52 | 0.30 |
| 84 | 0.52 | 0.28 |
| 69 | 0.52 | 024 |
| 64 | 0.52 | 0.23 |
| 85 | 0.79 | 0.62 |
| 68 | 0.79 | 0.46 |
| 59 | 0.79 | 0.36 |
| 55 | 0.79 | 0.31 |
| 47 | 0.79 | 0.22 |
| 44 | 0.79 | 0.18 |
| 0 | 1.57 | 0.8 |
| Variable | Value |
|---|---|
| a | 3.00516795748732 |
| b | 0.138210394574867 |
| c | 2.11406573677796 × 10−3 |
| d | 1.51576767021405 × 10−5 |
| e | −4.82672910096113 × 10−8 |
| f | 5.11194628585213 × 10−11 |
| g | −0.518185467569207 |
| h | −1.19420385023642 |
| i | 2.98394174345283 |
| j | −0.655924758831285 |
| Variable | Value |
|---|---|
| a | −0.759474996569004 |
| b | 2.80999535970111 × 10−2 |
| c | −2.13782035002517 × 10−4 |
| d | 6.13142129539061 × 10−7 |
| f | −5.34317526860744 |
| g | 14.1883590988772 |
| h | −11.7431172616598 |
| i | 3.26772185827734 |
| j | −0.759474996569004 |
Publisher’s Note: MDPI stays neutral with regard to jurisdictional claims in published maps and institutional affiliations. |
© 2021 by the authors. Licensee MDPI, Basel, Switzerland. This article is an open access article distributed under the terms and conditions of the Creative Commons Attribution (CC BY) license (https://creativecommons.org/licenses/by/4.0/).
Share and Cite
Anes, V.; Reis, L.; Freitas, M. Fatigue Damage Map of AZ31B-F Magnesium Alloys under Multiaxial Loading Conditions. Metals 2021, 11, 1616. https://doi.org/10.3390/met11101616
Anes V, Reis L, Freitas M. Fatigue Damage Map of AZ31B-F Magnesium Alloys under Multiaxial Loading Conditions. Metals. 2021; 11(10):1616. https://doi.org/10.3390/met11101616
Chicago/Turabian StyleAnes, Vitor, Luis Reis, and Manuel Freitas. 2021. "Fatigue Damage Map of AZ31B-F Magnesium Alloys under Multiaxial Loading Conditions" Metals 11, no. 10: 1616. https://doi.org/10.3390/met11101616
APA StyleAnes, V., Reis, L., & Freitas, M. (2021). Fatigue Damage Map of AZ31B-F Magnesium Alloys under Multiaxial Loading Conditions. Metals, 11(10), 1616. https://doi.org/10.3390/met11101616
