Effect of Incremental Utilization of Unground Sea Sand Ore on the Consolidation and Reduction Behavior of Vanadia–Titania Magnetite Pellets
Abstract
1. Introduction
2. Experimental
2.1. Raw Materials
2.2. Characteristic Analysis of New Zealand Sea Sand Ore
2.3. Experimental Methods
3. Results and Discussion
3.1. Effect of Sea Sand Ore Dosage on the Performance of Green Pellets
3.1.1. Falling Strength and Moisture of Green Pellets
3.1.2. Compressive Strength and Moisture of Green Pellets
3.2. Effect of Sea Sand Ore Dosage on the Compressive Strength of Oxidized Pellets
3.3. Effect of Sea Sand Ore Dosage on Reduction Swelling Index
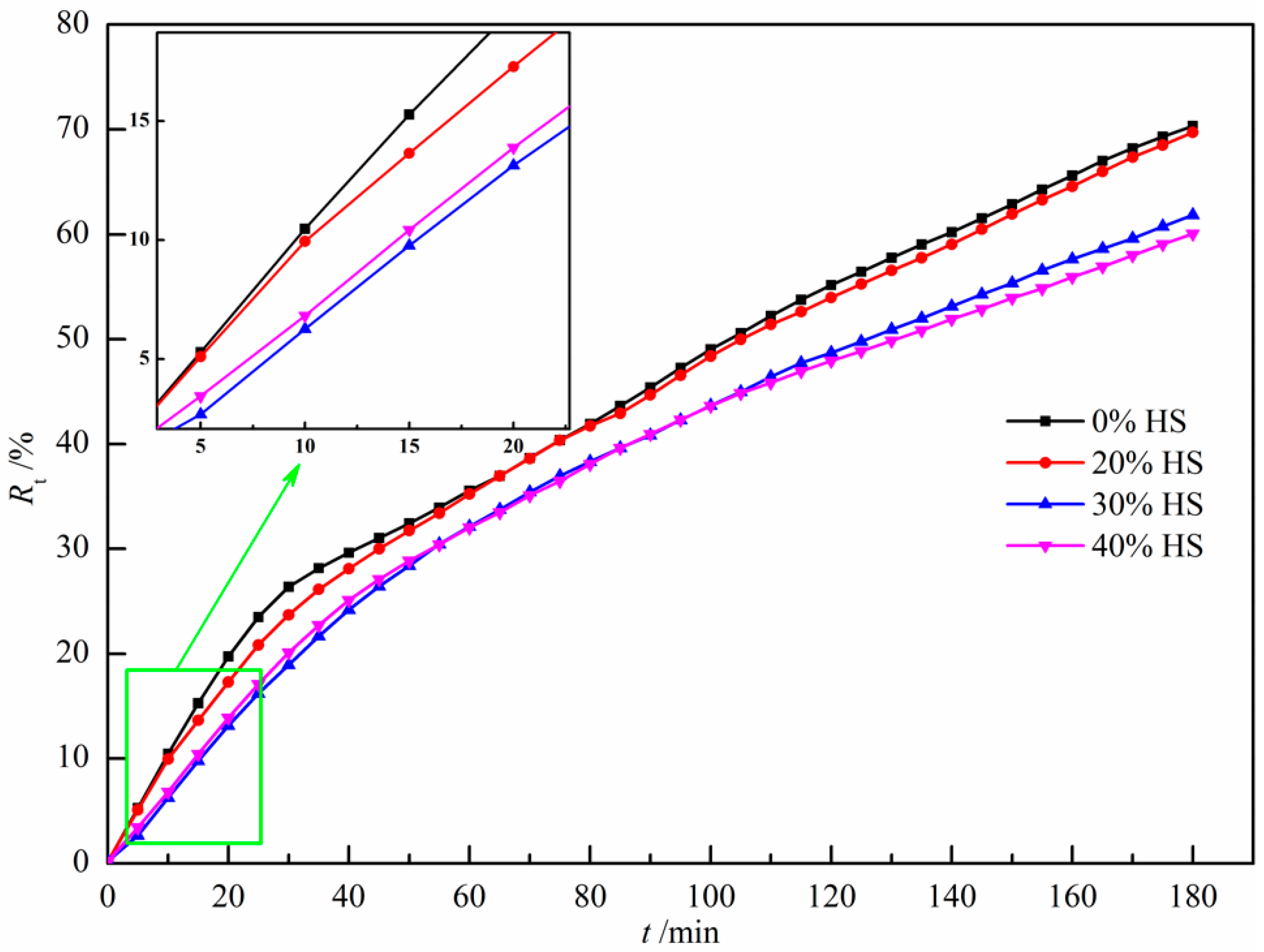
3.4. Effect of Sea Sand Ore Dosage on the Reduction Degree of Oxidized Pellets
4. Conclusions
- (1)
- The moisture of green pellets with sea sand ore did not change much, and basically maintained at about 8%, which was in line with the best moisture for the preparation of green pellets. The falling strength of green pellets and the compressive strength of the oxidized pellets gradually increased with the increase in sea sand ore dosage, while the compressive strength of green pellets gradually decreased, but it still met the requirements of blast furnace ironmaking raw material production.
- (2)
- As the amount of sea sand ore used increased, the reduction swelling index of pellets gradually increased, while the compressive strength of the pellets after reduction swelling showed a trend of gradual decline. When the amount of sea sand ore used was 40%, the reduction swelling index of pellets was 16.31%, which can still be used as the raw materials for blast furnace ironmaking.
- (3)
- When the amount of sea sand ore used gradually increased, the reduction of pellets was inhibited, the reduction index decreased, and the compressive strength of pellets after reduction also gradually decreased. The microscopic morphology of reductive pellets showed that the reductive pellets were mainly composed of metallic iron, wuestite, ilmenite, and slag phases such as silica and silicate. When the amount of sea sand ore used was 40%, the reduction degree of pellets was 60.06%, and the compressive strength of the reductive pellets was 612 N/pellet.
Author Contributions
Funding
Institutional Review Board Statement
Informed Consent Statement
Data Availability Statement
Conflicts of Interest
References
- Hu, T.Y.; Sun, T.C.; Kou, J.; Geng, C.; Wang, X.; Chen, C. Recovering titanium and iron by co-reduction roasting of seaside titanomagnetite and blast furnace dust. Int. J. Miner. Process. 2017, 165, 28–33. [Google Scholar] [CrossRef]
- Cheng, G.J.; Liu, J.X.; Liu, Z.G.; Chu, M.-S.; Xue, X.-X. Non-isothermal reduction mechanism and kinetics of high chromium vanadium–titanium magnetite pellets. Ironmak. Steelmak. 2015, 42, 17–26. [Google Scholar] [CrossRef]
- Cheng, G.J.; Xue, X.X.; Gao, Z.X.; Jiang, T.; Yang, H.; Duan, P.N. Effect of Cr2O3 on the Reduction and Smelting Mechanism of High-Chromium Vanadium-titanium Magnetite Pellets. ISIJ Int. 2016, 56, 1938–1947. [Google Scholar] [CrossRef]
- Cheng, G.J.; Xue, X.X.; Jiang, T.; Duan, P. Effect of TiO2 on the Crushing Strength and Smelting Mechanism of High-Chromium Vanadium-Titanium Magnetite Pellets. Metall. Mater. Trans. B 2016, 47, 1713–1726. [Google Scholar] [CrossRef]
- Wright, J.B. Iron-titanium oxides in Some New Zealand ironsands. N. Z. J. Geol. Geophys. 1964, 7, 424–444. [Google Scholar] [CrossRef]
- Wright, J.B. Heating experiments on New Zealand ironsands and the presence of pseudobrookite. N. Z. J. Geol. Geophys. 1967, 10, 659–665. [Google Scholar] [CrossRef][Green Version]
- Wright, J.B.; Lovering, J.F. Electron-probe micro-analysis of the iron–titanium oxides in some New Zealand ironsands. Miner. Mag. 1965, 35, 604–621. [Google Scholar] [CrossRef]
- Wang, Z.; Pinson, D.; Chew, S.; Rogers, H.; Monaghan, B.J.; Pownceby, M.I.; Webster, N.A.S.; Zhang, G. Behavior of New Zealand Ironsand During Iron Ore Sintering. Metall. Mater. Trans. B 2016, 47, 330–343. [Google Scholar] [CrossRef]
- Zhang, Y.P.; Zhang, J.L.; Wang, Z.Y.; Liu, Z.J.; Liu, X.L. Sintering characteristics of titanium sands after grinding and its influence mechanism on the quality of sinter. Chin. J. Eng. 2016, 38, 468–475. [Google Scholar]
- Cheng, G.J.; Xing, Z.X.; Yang, H.; Xue, X.-X. Effects of High Proportion Unground Sea Sand Ore on the Preparation Process and Reduction Performance of Oxidized Pellets. Minerals 2021, 11, 87. [Google Scholar] [CrossRef]
- Xing, Z.X.; Cheng, G.J.; Gao, Z.X.; Yang, H.; Xue, X.-X. Optimization of experimental conditions on preparation of oxidized pellets with New Zealand sea sand ore. Metall. Res. Technol. 2020, 117, 411–421. [Google Scholar] [CrossRef]
- Xing, Z.X.; Cheng, G.J.; Yang, H.; Xue, X.-X. xperimental Research on Preparation of Oxidized Pellets with High Proportion Sea Sand Mine. In Proceedings of the 12th CSM Steel Congress, Beijing, China, 15–16 October 2019; Volume 10, pp. 1–4. [Google Scholar]
- Longbottom, R.J.; Ingham, B.; Reid, M.H.; Studer, A.J.; Bumby, C.; Monaghan, B.J. In situ neutron diffraction study of the reduction of New Zealand ironsands in dilute hydrogen mixtures. Miner. Process. Extr. Met. 1937, 19, 227–244. [Google Scholar] [CrossRef]
- Xu, L.B.; Zhou, M.S.; Liu, J.; Han, S.F.; Li, Z.; Zhai, L.W.; Zhang, H. Sintering Characteristics of New Zealand’s Iron Sands. Min. Metall. Eng. 2015, 35, 91–94. [Google Scholar]
- Wang, Z.D.; Shi, J.; Song, H.Q. Sintering experimental of proportioning of New Zealand iron ore concentrates in Panzhihua I&S Co. Sinter. Pelletizing 1999, 24, 19–21. [Google Scholar]
- Cai, X.F.; Tian, T.L. Study on sintering characteristics of malaysia sea sand iron ore. Sinter. Pelletizing 2013, 38, 6–8. [Google Scholar]
- Li, Z.Q.; Zhang, Y. Smelting process analysis of Vanadium titanium sea sand magnetite in New Zealand. Mod. Metall. 2017, 45, 31–33. [Google Scholar]
- Liu, Y.R.; Zhang, J.L.; Wang, Z.Y.; Liu, Z.; Xing, X. Experimental research on the deep reduction—Magnetic separation of ironsand. Chin. J. Eng. 2016, 38, 181–186. [Google Scholar]
- Lv, Q.; Wang, W.S.; Jin, Y.C.; Li, F.M.; Gao, F. Influence of New Zealand sea sand proportioning ratio on metallurgical properties of vanadium-titanium-bearing sinter of Cheng Steel. Iron Steel Vanadium Titan. 2010, 31, 80–83. [Google Scholar]
- Hu, B.S.; Liu, H.; Li, L.; Wang, Y.; Li, W.D. Influence of proportioning sea sand iron ore on sintering process. Sinter. Pelletizing 2006, 31, 16–20. [Google Scholar]
- Park, E.; Ostrovski, O. Reduction of titania–ferrous ore by carbon monoxide. ISIJ Int. 2003, 43, 1316–1325. [Google Scholar] [CrossRef]
- Park, E.; Ostrovski, O. Reduction of Titania–Ferrous Ore by Hydrogen. ISIJ Int. 2004, 44, 999–1005. [Google Scholar] [CrossRef]
- Park, E.; Ostrovski, O. Effects of Preoxidation of Titania–Ferrous Ore on the Ore Structure and Reduction Behavior. ISIJ Int. 2004, 44, 74–81. [Google Scholar] [CrossRef]
- Longbottom, R.J.; Ostrovski, O.; Park, E. Formation of Cementite from Titanomagnetite Ore. ISIJ Int. 2006, 46, 641–646. [Google Scholar] [CrossRef][Green Version]
- Longbottom, R.J.; Monaghan, B.J.; Nightingale, S.A.; Mathieson, J.G. Strength and bonding in reduced ironsand–coal compacts. Ironmak. Steelmak. 2013, 40, 381–389. [Google Scholar] [CrossRef]
- Longbottom, R.J.; Monaghan, B.J.; Mathieson, J.G. Development of a Bonding Phase within Titanomagnetite-Coal Compacts. ISIJ Int. 2013, 53, 1152–1160. [Google Scholar] [CrossRef]
- Gao, E.X.; Sun, T.C.; Liu, Z.G.; Geng, C.; Xu, C.-Y. Effect of Sodium Sulfate on Direct Reduction of Beach Titanomagnetite for Separation of Iron and Titanium. J. Iron Steel Res. Int. 2016, 23, 428–433. [Google Scholar] [CrossRef]
- Geng, C.; Sun, T.C.; Ma, Y.W.; Xu, C.-Y.; Yang, H.-F. Effects of embedding direct reduction followed by magnetic separation on recovering titanium and iron of beach titanomagnetite concentrate. J. Iron Steel Res. Int. 2017, 24, 156–164. [Google Scholar] [CrossRef]
- Zhao, Y.Q.; Sun, T.C.; Zhao, H.Y.; Chen, C.; Wang, X.-P. Effect of reductant type on the embedding direct reduction of beach titanomagnetite concentrate. Int. J. Miner. Metall. Mater. 2019, 26, 152–159. [Google Scholar] [CrossRef]




















| Compositions | TFe | FeO | SiO2 | CaO | MgO | Al2O3 | TiO2 | V2O5 | S | P | 
|---|---|---|---|---|---|---|---|---|---|---|
| HS | 58.36 | 28.23 | 3.27 | 1.15 | 2.88 | 3.33 | 6.95 | 0.47 | 0.003 | 0.15 | 
| SJY | 65.29 | 17.99 | 6.72 | 0.22 | 0.42 | 0.42 | 0.12 | 0.03 | 0.061 | 0.021 | 
| YT-14 | 66.27 | 24.77 | 1.83 | 0.69 | 0.88 | 1.41 | 2.48 | 0.29 | 0.066 | 0.045 | 
| Compositions | SiO2 | CaO | MgO | Al2O3 | Na2O | K2O | 
|---|---|---|---|---|---|---|
| Content | 44.88 | 4.08 | 2.88 | 12.88 | 4.18 | 1.03 | 
| Raw Materials | HS | SJY | YT-14 | 
|---|---|---|---|
| BET (m2/g) | 0.3 | 70.2 | 8.2 | 
| Publisher’s Note: MDPI stays neutral with regard to jurisdictional claims in published maps and institutional affiliations. | 
© 2021 by the authors. Licensee MDPI, Basel, Switzerland. This article is an open access article distributed under the terms and conditions of the Creative Commons Attribution (CC BY) license (http://creativecommons.org/licenses/by/4.0/).
Share and Cite
Xing, Z.; Cheng, G.; Gao, Z.; Yang, H.; Xue, X. Effect of Incremental Utilization of Unground Sea Sand Ore on the Consolidation and Reduction Behavior of Vanadia–Titania Magnetite Pellets. Metals 2021, 11, 269. https://doi.org/10.3390/met11020269
Xing Z, Cheng G, Gao Z, Yang H, Xue X. Effect of Incremental Utilization of Unground Sea Sand Ore on the Consolidation and Reduction Behavior of Vanadia–Titania Magnetite Pellets. Metals. 2021; 11(2):269. https://doi.org/10.3390/met11020269
Chicago/Turabian StyleXing, Zhenxing, Gongjin Cheng, Zixian Gao, He Yang, and Xiangxin Xue. 2021. "Effect of Incremental Utilization of Unground Sea Sand Ore on the Consolidation and Reduction Behavior of Vanadia–Titania Magnetite Pellets" Metals 11, no. 2: 269. https://doi.org/10.3390/met11020269
APA StyleXing, Z., Cheng, G., Gao, Z., Yang, H., & Xue, X. (2021). Effect of Incremental Utilization of Unground Sea Sand Ore on the Consolidation and Reduction Behavior of Vanadia–Titania Magnetite Pellets. Metals, 11(2), 269. https://doi.org/10.3390/met11020269
 
         
                                                
 
       