Hall-Petch Strengthening by Grain Boundaries and Annealing Twin Boundaries in Non-Equiatomic Ni2FeCr Medium-Entropy Alloy
Abstract
1. Introduction
2. Materials and Methods
2.1. Processing
2.2. Characterization and Testing
2.3. Grain Boundary and Grain Size Analysis
3. Results and Discussion
3.1. Phase Identification and Phase Stability
3.2. Grain and Crystallite Sizes
3.3. Microstructure and Texture
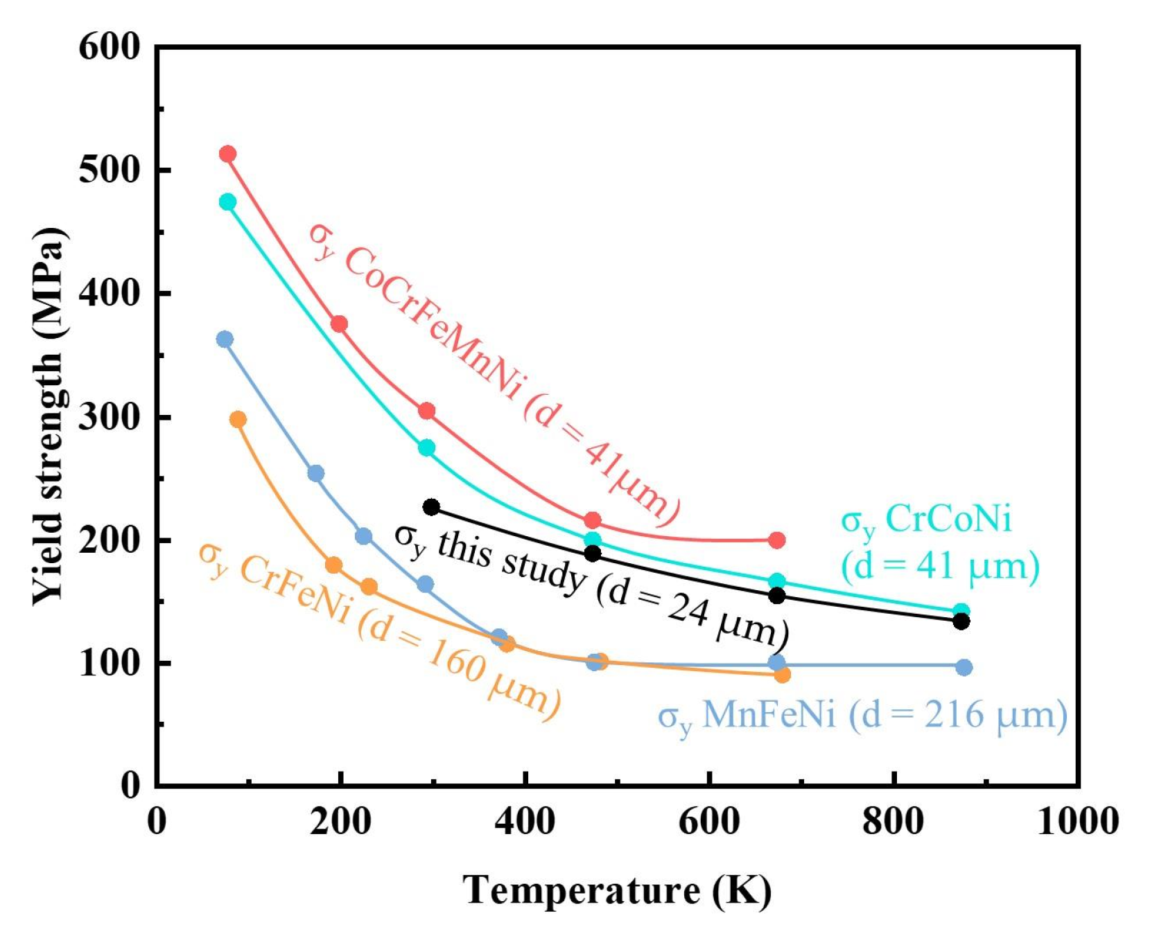
3.4. Effect of Grain Size and Temperature on Mechanical Properties
3.5. Analyses of Interactions between Slip Dislocations and Annealing Twins
- The leading partial dislocation intersects with the (111)M twin boundary and reacts to generate a a/6[]T twin partial dislocation and a stair-rod dislocation. The stair-rod dislocation has a non-conventional Burgers vector (of a type a/6[]M = a/18[]T) in that it does not correspond to either a slip or twin Burgers vector of the FCC matrix (which include a/2<110> perfect dislocation, a/6<112> Shockley dislocation, and a/3<111> Frank dislocation).
- The a/18[]T stair-rod dislocation dissociates as it passes through the twin boundary to form a a/6[]T twin partial dislocations and an a/6[]T Shockley dislocation that slips into the twin [50]. Note that the solution for stair-rod partitioning factors (λ) needs to be introduced in order to ensure the equality of the vectors before and after the reaction, as in Table 4, λ = 2/3.
4. Conclusions
- (1)
- The Ni2CrFe MEA was found to be single-phase FCC after annealing at 873–1323 K for 40 min–6 h. The comparison with the CrFeNi alloy, which was reported in the literature to have a BCC + FCC two-phase microstructure after annealing at low temperatures, indicates that increasing the content of Ni improves the VEC value and stabilizes the FCC phase.
- (2)
- Deformed subgrains and adiabatic shear bands were observed in the cold-rolled Ni2CrFe alloy. The main crystallographic orientation of the cold-rolled alloy was a {} <313> texture. Additionally, all recrystallized microstructures are weakly textured, except for the alloy annealing at 1023 K for 6 h.
- (3)
- Yield stress as a function of grain size (excluding annealing twins) and crystallite size (including both grain and annealing twin boundaries) was investigated at 293 K and found to be consistent with the Hall-Petch relationship. The intrinsic lattice strength of a single-phase FCC Ni2CrFe polycrystal is determined to be = 90 MPa at 293 K.
- (4)
- The evolution of the yield stress of the Ni2CrFe MEA (d = 24 μm, c = 15 μm) with temperature between 293 K and 873 K is found to be in reasonable agreement with other alloys. However, this alloy has a stronger resistance to softening at high temperatures compared with others.
- (5)
- TEM images show that pile-ups form at twin boundaries in deformation, suggesting that twin boundaries do act as obstacles to dislocation ship and that crystallite size is a more relevant length scale to characterize Hall-Petch strengthening. Additionally, the thickening of the annealing twin boundary after deformation was observed and illustrated by the interaction between different dislocations and twin boundaries in FCC alloys.
Author Contributions
Funding
Data Availability Statement
Conflicts of Interest
References
- Yeh, J.W.; Chen, S.K.; Lin, S.J.; Gan, J.Y.; Chin, T.S.; Shun, T.T.; Tsau, C.H.; Chang, S.Y. Nanostructured high-entropy alloys with multiple principal elements: Novel alloy design concepts and outcomes. Adv. Eng. Mater. 2004, 6, 299–303. [Google Scholar] [CrossRef]
- Cantor, B.; Chang, I.T.H.; Knight, P.; Vincent, A.J.B. Microstructural development in equiatomic multicomponent alloys. Mater. Sci. Eng. A 2004, 375, 213–218. [Google Scholar] [CrossRef]
- Yeh, J.W.; Chen, Y.L.; Chen, S.K. High-entropy alloys—A new era of exploitation. Mater. Sci. Forum 2007, 560, 1–9. [Google Scholar] [CrossRef]
- Miracle, D.B.; Senkov, O.N. A critical review of high entropy alloys and related concepts. Acta Mater. 2018, 122, 448–511. [Google Scholar] [CrossRef]
- Senkov, O.N.; Wilks, G.B.; Scott, J.M.; Miracle, D.B. Mechanical properties of Nb25Mo25Ta25W25 and V20Nb20Mo20Ta20W20 refractory high entropy alloys. Intermetallics 2011, 19, 698–706. [Google Scholar] [CrossRef]
- Couzinié, J.P.; Dirras, G.; Perrière, L.; Chauveau, T.; Leroy, E.; Champion, Y.; Guillot, I. Microstructure of a near-equimolar refractory high-entropy alloy. Mater. Lett. 2014, 126, 285–287. [Google Scholar] [CrossRef]
- Guo, N.N.; Wang, L.; Luo, L.S.; Li, X.Z.; Su, Y.Q.; Guo, J.J.; Fu, H.Z. Microstructure and mechanical properties of refractory MoNbHfZrTi high-entropy alloy. Mater. Design 2015, 84, 87–94. [Google Scholar] [CrossRef]
- Wu, Z.; Bei, H.; Pharr, G.M.; George, E.P. Temperature dependence of the mechanical properties of equiatomic solid solution alloys with face-centered cubic crystal structures. Acta Mater. 2014, 81, 428–441. [Google Scholar] [CrossRef]
- He, J.Y.; Wang, H.; Huang, H.L.; Xu, X.D.; Chen, M.W.; Wu, Y.; Liu, X.J.; Nieh, T.G.; An, K.; Lu, Z.P. A precipitation-hardened high-entropy alloy with outstanding tensile properties. Acta Mater. 2016, 102, 187–196. [Google Scholar] [CrossRef]
- Yang, T.; Zhao, Y.L.; Tong, Y.; Jiao, Z.B.; Wei, J.; Cai, J.X.; Han, X.D.; Chen, D.; Hu, A.; Kai, J.J.; et al. Multicomponent intermetallic nanoparticles and superb mechanical behaviors of complex alloys. Science 2018, 362, 933. [Google Scholar] [CrossRef]
- Otto, F.; Dlouhy, A.; Somsen, C.; Bei, H.; Eggeler, G.; George, E.P. The influences of temperature and microstructure on the tensile properties of a CoCrFeMnNi high-entropy alloy. Acta Mater. 2013, 61, 5743–5755. [Google Scholar] [CrossRef]
- Roy, U.; Roy, H.; Daoud, H.; Glatzel, U.; Ray, K.K. Fracture toughness and fracture micromechanism in a cast AlCoCrCuFeNi high entropy alloy system. Mater. Lett. 2014, 132, 186–189. [Google Scholar] [CrossRef]
- Gludovatz, B.; Hohenwarter, A.; Catoor, D.; Chang, E.H.; George, E.P.; Ritchie, R.O. A fracture-resistant high-entropy alloy for cryogenic applications. Science 2014, 345, 1153–1158. [Google Scholar] [CrossRef] [PubMed]
- Zhang, Z.J.; Sheng, H.W.; Wang, Z.J.; Gludovatz, B.; Zhang, Z.; George, E.P.; Yu, Q.; Mao, S.X.; Ritchie, R.O. Dislocation mechanisms and 3D twin architectures generate exceptional strength-ductility-toughness combination in CrCoNi medium-entropy alloy. Nat. Commun. 2017, 8, 14390. [Google Scholar] [CrossRef] [PubMed]
- Tong, Y.; Chen, D.; Han, B.; Wang, J.; Feng, R.; Yang, T.; Zhao, C.; Guo, W.; Shimizu, Y.; Liu, Y.T.; et al. Outstanding tensile properties of a precipitation-strengthened FeCoNiCrTi0.2 high-entropy alloy at room and cryogenic temperatures. Acta Mater. 2019, 165, 228–240. [Google Scholar] [CrossRef]
- Pradeep, K.G.; Tasan, C.C.; Yao, M.J.; Deng, Y.; Springer, H.; Raabe, D. Non-equiatomic high entropy alloys: Approach towards rapid alloy screening and property-oriented design. Mater. Sci. Eng. A 2015, 648, 183–192. [Google Scholar] [CrossRef]
- Ma, D.C.; Yao, M.J.; Pradeep, K.G.; Tasan, C.C.; Springer, H.; Raabe, D. Phase stability of non-equiatomic CoCrFeMnNi high entropy alloys. Acta Mater. 2015, 98, 288–296. [Google Scholar] [CrossRef]
- Cho, K.; Fujioka, Y.; Nagase, T.; Yasuda, H.Y. Grain refinement of non-equiatomic Cr-rich CoCrFeMnNi high-entropy alloys through combination of cold rolling and precipitation of sigma phase. Mater. Sci. Eng. A 2018, 735, 191–200. [Google Scholar] [CrossRef]
- Zhou, Y.; Zhou, D.; Jin, X.; Zhang, L.; Du, X.Y.; Li, B.S. Design of non-equiatomic medium-entropy alloys. Sci. Rep. 2018, 8, 1236. [Google Scholar] [CrossRef]
- Deng, H.W.; Wang, M.M.; Xie, Z.M.; Wang, X.P.; Xiong, Y. Enhancement of strength and ductility in non-equiatomic CoCrNi medium-entropy alloy at room temperature via transformation-induced plasticity. Mater. Sci. Eng. A 2021, 804, 140516. [Google Scholar] [CrossRef]
- Li, J.; Xie, B.B.; Fang, Q.H.; Liu, B.; Liu, Y.; Liaw, P.K. High-throughput simulation combined machine learning search for optimum elemental composition in medium entropy alloy. J. Mater. Sci. Technol. 2021, 68, 70–75. [Google Scholar] [CrossRef]
- Wu, Z.; Bei, H.; Otto, F.; Pharr, G.M.; George, E.P. Recovery, recrystallization, grain growth and phase stability of a family of FCC-structured multi-component equiatomic solid solution alloys. Intermetallics 2014, 46, 131–140. [Google Scholar] [CrossRef]
- Schneider, M.; Laplanche, G. Effects of temperature on mechanical properties and deformation mechanisms of the equiatomic CrFeNi medium-entropy alloy. Acta Mater. 2021, 204, 116470. [Google Scholar] [CrossRef]
- Sun, S.J.; Tian, Y.Z.; Lin, H.R.; Dong, X.G.; Wang, Y.H.; Zhang, Z.J.; Zhang, Z.F. Enhanced strength and ductility of bulk CoCrFeMnNi high entropy alloy having fully recrystallized ultrafine-grained structure. Mater. Design 2017, 133, 122–127. [Google Scholar] [CrossRef]
- Lu, W.J.; Luo, X.; Yang, Y.Q.; Huang, B. Hall-petch relationship and heterogeneous strength of CrCoNi medium-entropy alloy. Mater. Chem. Phys. 2020, 251, 123073. [Google Scholar] [CrossRef]
- Nakanishi, K.; Suzuki, H. Analysis of the grain size dependence of the yield stress in copper-aluminum and copper-nickel alloys. J. Jpn. I. Met. 1974, 15, 435–440. [Google Scholar] [CrossRef]
- Schneider, M.; George, E.P.; Manescau, T.J.; Zalezak, T.; Hunfeld, J.; Dlouhy, A.; Eggeler, G.; Laplanche, G. Analysis of strengthening due to grain boundaries and annealing twin boundaries in the CrCoNi medium-entropy alloy. Int. J. Plasticity 2019, 124, 155–169. [Google Scholar] [CrossRef]
- Schneider, M.; Werner, F.; Langenkämper, D.; Reinhart, C.; Laplanche, G. Effect of temperature and texture on Hall–Petch strengthening by grain and annealing twin boundaries in the MnFeNi medium-entropy alloy. Metals 2019, 9, 84. [Google Scholar] [CrossRef]
- Kumar, N.; Komarasamy, M.; Nelaturu, P.; Tang, Z.; Liaw, P.K.; Mishra, R.S. Friction stir processing of a high entropy alloy Al0.1CoCrFeNi. J. Occup. Med. 2015, 67, 1007–1013. [Google Scholar] [CrossRef]
- Sangid, M.D.; Ezaz, T.; Sehitoglu, H.; Robertson, I.M. Energy of slip transmission and nucleation at grain boundaries. Acta Mater. 2011, 59, 283–296. [Google Scholar] [CrossRef]
- Samaee, V.; Dupraz, M.; Pardoen, T.; Van Swygenhoven, H.; Schryvers, D.; Idrissi, H. Deciphering the interactions between single arm dislocation sources and coherent twin boundary in nickel bi-crystal. Nat. Commun. 2021, 12, 962. [Google Scholar] [CrossRef] [PubMed]
- Shin, H.J.; Jeong, H.T.; Lee, D.N. Deformation and annealing textures of silver wire. Mater. Sci. Eng. A 2000, 279, 244–253. [Google Scholar] [CrossRef]
- Priester, L. “Dislocation-interface” interaction-stress accommodation processes at interfaces. Mater. Sci. Eng. A 2001, 309, 430–439. [Google Scholar] [CrossRef]
- Kacher, J.; Eftink, B.P.; Cui, B.; Robertson, I.M. Dislocation interactions with grain boundaries. Curr. Opin. Solid St. M. 2014, 18, 227–243. [Google Scholar] [CrossRef]
- Laplanche, G.; Kostka, A.; Reinhart, C.; Hunfeld, J.; Eggeler, G.; George, E.P. Reasons for the superior mechanical properties of medium-entropy CrCoNi compared to high-entropy CrMnFeCoNi. Acta Mater. 2017, 128, 292–303. [Google Scholar] [CrossRef]
- Laplanche, G.; Gadaud, P.; Barsch, C.; Demtroder, K.; Reinhart, C.; Schreuer, J.; George, E.P. Elastic moduli and thermal expansion coefficients of medium-entropy subsystems of the CrMnFeCoNi high-entropy alloy. J. Alloys Compd. 2018, 746, 244–255. [Google Scholar] [CrossRef]
- Guo, S.; Ng, C.; Lu, J.; Liu, C.T. Effect of valence electron concentration on stability of fcc or bcc phase in high entropy alloys. J. Appl. Phys. 2011, 109, 103505. [Google Scholar] [CrossRef]
- Fullman, R.L.; Fisher, J.C. Formation of annealing twins during grain growth. J. Appl. Phys. 1951, 22, 1350–1355. [Google Scholar] [CrossRef]
- Baik, S.I.; Gupta, R.K.; Kumar, K.S.; Seidman, D.N. Temperature increases and thermoplastic microstructural evolution in adiabatic shear bands in a high-strength and high-toughness 10 wt.% Ni steel. Acta Mater. 2021, 205, 116568. [Google Scholar] [CrossRef]
- English, A.T.; Chin, G.Y. On the variation of wire texture with stacking fault energy in fcc metals and alloys. Acta Metall. 1965, 13, 1013–1016. [Google Scholar] [CrossRef]
- Lee, D.N.; Chung, Y.H.; Shin, M.C. Preferred orientation in extruded aluminum alloy rod. Scripta Metall. Mater. 1983, 17, 339–342. [Google Scholar] [CrossRef]
- Laplanche, G.; Horst, O.; Otto, F.; Eggeler, G.; George, E.P. Microstructural evolution of a CoCrFeMnNi high-entropy alloy after swaging and annealing. J. Alloys Compd. 2015, 647, 548–557. [Google Scholar] [CrossRef]
- Gopinath, K.; Gogia, A.K.; Kamat, S.; Ramamurty, U. Dynamic strain ageing in Ni-base superalloy 720Li. Acta Mater. 2009, 57, 1243–1253. [Google Scholar] [CrossRef]
- Suzuki, H. Chemical Interaction of Solute Atoms with Dislocations. Sci. Rep. Res. Inst. Tohoku Univ. 1952, 4, 455–463. [Google Scholar]
- Cottrell, A.H.; Bilby, B.A. Dislocation theory of yielding and strain ageing of iron. Proc. Phys. Soc. Lond. Sect. A 1949, 62, 49–62. [Google Scholar] [CrossRef]
- Hall, E.O. The Deformation and Ageing of Mild Steel: III Discussion of Results. Proc. Phys. Soc. Sect. B 1951, 21, 2891–2896. [Google Scholar] [CrossRef]
- Petch, N.J. The cleavage strength of polycrystals. J. Iron Steel Inst. 1953, 174, 25–28. [Google Scholar]
- Varvenne, C.; Luque, A.; Curtin, W.A. Theory of strengthening in fcc high entropy alloys. Acta Mater. 2016, 118, 164–176. [Google Scholar] [CrossRef]
- Hirth, J.P.; Lothe, J. Theory of Dislocations (2nd ed.). J. Appl. Mech. 1983, 50, 476–477. [Google Scholar] [CrossRef]
- Krogstad, J.A.; Sehitoglu, H.; Celebi, O.K.; Mohammed, A.S.K. Evolving dislocation cores at Twin Boundaries: Theory of CRSS Elevation. Int. J. Plasticity 2022, 148, 103141. [Google Scholar] [CrossRef]











| Specimens | Annealing Temperature (K) | Annealing Time |
|---|---|---|
| CR-873/1 | 873 | 1 h |
| CR-1023/0 | 1023 | 40 min |
| CR-1023/1 | 1023 | 1 h |
| CR-1023/2 | 1023 | 2 h |
| CR-1023/4 | 1023 | 4 h |
| CR-1023/6 | 1023 | 6 h |
| CR-1173/1 | 1173 | 1 h |
| CR-1323/1 | 1323 | 1 h |
| Specimens | d (μm) | c (μm) | n |
|---|---|---|---|
| CR-1023/1 | 11.99 ± 1.02 | 7.99 ± 0.95 | 0.50 ± 0.12 |
| CR-1023/2 | 17.89 ± 0.92 | 12.84 ± 0.80 | 0.39 ± 0.06 |
| CR-1023/4 | 23.58 ± 1.91 | 15.02 ± 0.95 | 0.56 ± 0.08 |
| CR-1023/6 | 23.63 ± 1.45 | 16.70 ± 1.52 | 0.42 ± 0.09 |
| CR-1173/1 | 25.56 ± 2.23 | 17.37 ± 2.42 | 0.47 ± 0.14 |
| CR-1323/1 | 34.11 ± 2.26 | 23.88 ± 1.77 | 0.42 ± 0.05 |
| Alloys | σ0 (MPa) | ky (Grain Size, MPa μm1/2) | ky (Crystallite Size, MPa μm1/2) |
|---|---|---|---|
| Ni2CrFe | 90 | 673 | 544 |
| Ni | 14 | 180 | - |
| CrCoNi | 150 | 815 | 600 |
| CrCoNi | 143 | 653 | - |
| CrFeNi | 80 | 966 | - |
| FeMnNi | 97 | 660 | 590 |
| CoCrFeNi | 90 | 866 | - |
| CoCrFeMnNi | 194 | 490 | - |
| Type (#) | Candidate Dislocation | Reaction | Solution for Stair-Rod Partitioning Factors (λ) |
|---|---|---|---|
| I | |||
| II | λ = 2/3 |
Disclaimer/Publisher’s Note: The statements, opinions and data contained in all publications are solely those of the individual author(s) and contributor(s) and not of MDPI and/or the editor(s). MDPI and/or the editor(s) disclaim responsibility for any injury to people or property resulting from any ideas, methods, instructions or products referred to in the content. |
© 2023 by the authors. Licensee MDPI, Basel, Switzerland. This article is an open access article distributed under the terms and conditions of the Creative Commons Attribution (CC BY) license (https://creativecommons.org/licenses/by/4.0/).
Share and Cite
Li, Z.; Wang, L.; Liu, C.; Zhao, J.; Wang, B.; Li, Z.; Luo, L.; Chen, R.; Su, Y.; Guo, J. Hall-Petch Strengthening by Grain Boundaries and Annealing Twin Boundaries in Non-Equiatomic Ni2FeCr Medium-Entropy Alloy. Metals 2023, 13, 134. https://doi.org/10.3390/met13010134
Li Z, Wang L, Liu C, Zhao J, Wang B, Li Z, Luo L, Chen R, Su Y, Guo J. Hall-Petch Strengthening by Grain Boundaries and Annealing Twin Boundaries in Non-Equiatomic Ni2FeCr Medium-Entropy Alloy. Metals. 2023; 13(1):134. https://doi.org/10.3390/met13010134
Chicago/Turabian StyleLi, Zhiwen, Liang Wang, Chen Liu, Junbo Zhao, Binbin Wang, Zhe Li, Liangshun Luo, Ruirun Chen, Yanqing Su, and Jingjie Guo. 2023. "Hall-Petch Strengthening by Grain Boundaries and Annealing Twin Boundaries in Non-Equiatomic Ni2FeCr Medium-Entropy Alloy" Metals 13, no. 1: 134. https://doi.org/10.3390/met13010134
APA StyleLi, Z., Wang, L., Liu, C., Zhao, J., Wang, B., Li, Z., Luo, L., Chen, R., Su, Y., & Guo, J. (2023). Hall-Petch Strengthening by Grain Boundaries and Annealing Twin Boundaries in Non-Equiatomic Ni2FeCr Medium-Entropy Alloy. Metals, 13(1), 134. https://doi.org/10.3390/met13010134
