Effect of Coiling Temperature on Microstructure and Properties of Titanium Strengthened Weathering Building Steel
Abstract
:1. Introduction
2. Materials and Methods
3. Results and Discussion
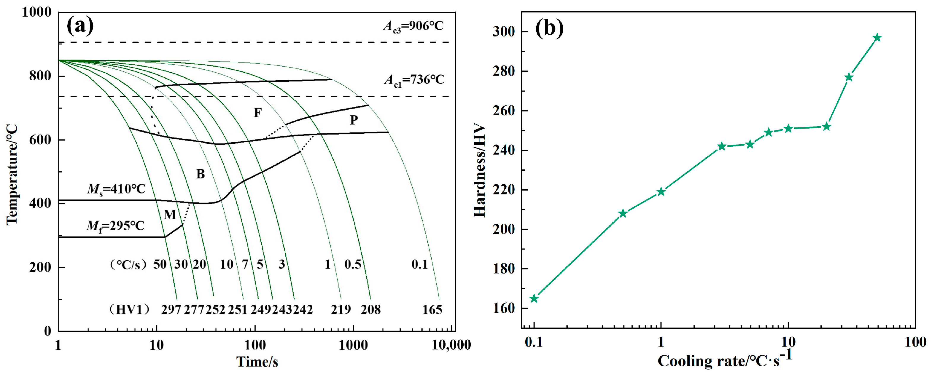
3.1. Study of Continuous Cooling Transformation of Undercooled Austenite
3.2. Effect of Coiling Temperature on the Mechanical Properties of the Test Steel
4. Conclusions
Author Contributions
Funding
Institutional Review Board Statement
Informed Consent Statement
Data Availability Statement
Conflicts of Interest
References
- Jia, C.; Shao, Y.; Guo, L.; Liu, H. Cyclic behavior and constitutive model of high strength low alloy steel plate. Eng. Struct. 2020, 217, 110798. [Google Scholar] [CrossRef]
- Dillmann, P.; Balasubramaniam, R.; Beranger, G. Characterization of protective rust on ancient Indian iron using microprobe analyses. Corros. Sci. 2002, 44, 2231–2242. [Google Scholar] [CrossRef]
- Yamashita, M.; Konishi, H.; Kozakura, T.; Mizuki, J.; Uchida, H. In situ observation of initial rust formation process on carbon steel under Na2SO4 and NaCl solution films with wet/dry cycles using synchrotron radiation X-rays. Corros. Sci. 2005, 47, 2492–2498. [Google Scholar] [CrossRef]
- Gan, X.; Yuan, Q.; Zhao, G.; Hu, H.; Tian, J.; Xu, G. Investigating the Properties of Coil Tail in Ti-Nb-Mo Microalloyed Hot-Rolled Strip. Steel Res. Int. 2019, 90, 1900040. [Google Scholar] [CrossRef]
- Gan, X.; Yang, G.; Zhao, G.; Mao, X.; Huang, H.; Xu, G. Effect of Vanadium on the Phase Transformation Behavior of Ti–Mo Microalloyed Ultra-High Strength Steel. Steel Res. Int. 2018, 89, 1800112. [Google Scholar] [CrossRef]
- Abbas, M.A.; Hong, S.H.; Yusupov, D.; Kang, G.C.; Choi, J.W.; Jumaev, E.; Park, H.J.; Kim, K.B. Evolution of microstructure and mechanical properties of a Ti80 (CoFeNi) 20 ultrafine eutectic composite during thermal processing. Intermetallics 2023, 154, 107786. [Google Scholar] [CrossRef]
- Jumaev, E.; Abbas, M.A.; Mun, S.C.; Song, G.; Hong, S.J.; Kim, K.B. Nano-scale structural evolution of quaternary AlCrFeNi based high entropy alloys by the addition of specific minor elements and its effect on mechanical characteristics. J. Alloy. Compd. 2021, 868, 159217. [Google Scholar] [CrossRef]
- Hong, S.H.; Hwang, Y.J.; Park, S.W.; Park, C.H.; Yeom, J.T.; Park, J.M.; Kim, K.B. Low-cost beta titanium cast alloys with good tensile properties developed with addition of commercial material. J. Alloy Compd. 2019, 793, 271–276. [Google Scholar] [CrossRef]
- Xu, Y.; Zhang, W.; Sun, M.; Yi, H.; Liu, Z. The blocking effects of interphase precipitation on dislocations’ movement in Ti-bearing micro-alloyed steels. Mater. Lett. 2015, 139, 177–181. [Google Scholar] [CrossRef]
- Peng, Z.; Li, L.; Gao, J.; Huo, X. Precipitation strengthening of titanium microalloyed high-strength steel plates with isothermal treatment. Mater. Sci. Eng. A 2016, 657, 413–421. [Google Scholar] [CrossRef]
- Li, S.; Yu, H.; Lu, Y.; Lu, J.; Wang, W.; Yang, S. Effects of titanium content on the impact wear properties of high-strength low-alloy steels. Wear 2021, 474–475, 203647. [Google Scholar] [CrossRef]
- Li, Q.; Yu, H.; Zhang, X.; Wang, K.; Song, C. Developing 1000 MPa grade LCLA steels through continuous cooling: Effects of Cr and cooling rate on bainitic and martensitic transformations. Mater. Charact. 2022, 187, 111859. [Google Scholar] [CrossRef]
- Chen, S.; Li, L.; Peng, Z.; Huo, X.; Sun, H. On the correlation among continuous cooling transformations, interphase precipitation and strengthening mechanism in Ti-microalloyed steel. J. Mater. Res. Technol. 2021, 10, 580–593. [Google Scholar] [CrossRef]
- Fang, C.; Wang, W.; Qiu, C.; Hu, S.; MacRae, G.; Eatherton, M. Seismic resilient steel structures: A review of research, practice, challenges and opportunities. J. Constr. Steel Res. 2022, 191, 107172. [Google Scholar] [CrossRef]
- Chen, Y.; Ke, K. Seismic performance of high-strength-steel frame equipped with sacrificial beams of non-compact sections in energy dissipation bays. Thin-Walled Struct. 2019, 139, 169–185. [Google Scholar] [CrossRef]
- Tanaka, Y.; Masumura, T.; Tsuchiyama, T.; Takaki, S. Effect of dislocation distribution on the yield stress in ferritic steel under identical dislocation density conditions. Scripta Mater. 2020, 177, 176–180. [Google Scholar] [CrossRef]
- Natarajan, V.V.; Challa, V.S.A.; Misra, R.D.K.; Sidorenko, D.M.; Mulholland, M.D.; Manohar, M.; Hartmann, J.E. The determining impact of coiling temperature on the microstructure and mechanical properties of a titanium-niobium ultrahigh strength microalloyed steel: Competing effects of precipitation and bainite. Mater. Sci. Eng. A 2016, 665, 1–9. [Google Scholar] [CrossRef]
- Peng, Z.; Li, L.; Chen, S.; Huo, X.; Gao, J. Isothermal precipitation kinetics of carbides in undercooled austenite and ferrite of a titanium microalloyed steel. Mater. Des. 2016, 108, 289–297. [Google Scholar] [CrossRef]
- Zhou, C.; Zhang, C.; Li, Y.; Fei, B.; Gao, X. Microstructure and properties of Ti microalloyed 700 MPa weathering steel for container. Trans. Mater. Heat Treat. 2020, 41, 126–133. [Google Scholar]
- Cai, Z.; Han, B.; Tan, W.; Wang, S. Development status of titanium micro-alloying technology. China Metall. 2015, 25, 1–5. [Google Scholar]
- Wang, Z.; Song, X.; Wang, Z.; Liu, C.; Sun, X. Kinetics of strain induced precipitation of TiC by hot compression method. Iron Steel 2015, 50, 90–95. [Google Scholar]
- Wang, X.; Zhao, A.; Zhao, Z.; Huang, Y.; He, J.; Zhao, F. Interphase precipitation characterization of nanometer-sized carbides in low-carbon ferritic steel. Trans. Mater. Heat Treat. 2014, 35, 69–73. [Google Scholar]
- Chen, J.; Lv, M.; Tang, S.; Liu, Z.; Wang, G. Microstructure, Mechanical Properties and Interphase Precipitation Behaviors in V-Ti Microalloyed Steel. Acta Metall. Sin. 2014, 50, 524–530. [Google Scholar]
- Yi, H.; Long, L.; Liu, Z.; Wang, G. Precipitation in ferrite of Mo-Ti microalloyed steel. Trans. Mater. Heat Treat. 2015, 36, 56–61. [Google Scholar]
- Li, X.; Liu, Y.; Gan, K.; Dong, J.; Liu, C. Acquiring a low yield ratio well synchronized with enhanced strength of HSLA pipeline steels through adjusting multiple-phase microstructures. Mater. Sci. Eng. A 2020, 785, 139350. [Google Scholar] [CrossRef]










| C | Si | Mn | P | S | Cu + Ni + Cr | Ti | Als | N | Fe |
|---|---|---|---|---|---|---|---|---|---|
| 0.07 | 0.40 | 1.35 | 0.005 | 0.002 | 1.14 | 0.07 | 0.04 | 0.002 | Bal. |
| Coiling Temperature/°C | Rel/MPa | Rm/MPa | Rel/Rm | A50/% | Ae/% |
|---|---|---|---|---|---|
| 650 | 464 ± 13 | 581 ± 8 | 0.80 ± 0.011 | 29.5 ± 0.3 | 1.81 ± 0.09 |
| 600 | 538 ± 17 | 645 ± 12 | 0.83 ± 0.010 | 26.1 ± 0.7 | 0.59 ± 0.12 |
| 550 | 695 ± 10 | 784 ± 7 | 0.89 ± 0.005 | 15.6 ± 0.6 | 0 |
Disclaimer/Publisher’s Note: The statements, opinions and data contained in all publications are solely those of the individual author(s) and contributor(s) and not of MDPI and/or the editor(s). MDPI and/or the editor(s) disclaim responsibility for any injury to people or property resulting from any ideas, methods, instructions or products referred to in the content. |
© 2023 by the authors. Licensee MDPI, Basel, Switzerland. This article is an open access article distributed under the terms and conditions of the Creative Commons Attribution (CC BY) license (https://creativecommons.org/licenses/by/4.0/).
Share and Cite
Li, Z.; Lv, Z.; Wang, C.; Liu, L.; Cui, K.; Zhao, Z. Effect of Coiling Temperature on Microstructure and Properties of Titanium Strengthened Weathering Building Steel. Metals 2023, 13, 804. https://doi.org/10.3390/met13040804
Li Z, Lv Z, Wang C, Liu L, Cui K, Zhao Z. Effect of Coiling Temperature on Microstructure and Properties of Titanium Strengthened Weathering Building Steel. Metals. 2023; 13(4):804. https://doi.org/10.3390/met13040804
Chicago/Turabian StyleLi, Zhengrong, Zhenhu Lv, Chuangwei Wang, Lei Liu, Kaiyu Cui, and Zhengzhi Zhao. 2023. "Effect of Coiling Temperature on Microstructure and Properties of Titanium Strengthened Weathering Building Steel" Metals 13, no. 4: 804. https://doi.org/10.3390/met13040804
APA StyleLi, Z., Lv, Z., Wang, C., Liu, L., Cui, K., & Zhao, Z. (2023). Effect of Coiling Temperature on Microstructure and Properties of Titanium Strengthened Weathering Building Steel. Metals, 13(4), 804. https://doi.org/10.3390/met13040804

