Abstract
The reduction of hematite with ammonia is a potentially environmentally friendly method of ironmaking. Previous studies on ammonia reduction of pellets typically involved samples weighing only 2.8 g and lacked detailed activation energy analysis for the ammonia-hydrogen co-reduction of pellets. Therefore, to further investigate the reduction thermodynamics and kinetics of NH3–H2 reduction of pellets, this study uses 50 g pellets for reduction experiments. By increasing the pellet mass, the study expands the scope of kinetic research on ammonia reduction of pellets. The results indicate that nitrogen gas produced from ammonia decomposition reduces the equilibrium components of the reducing gas. In the temperature range of 700–850 °C, the formation of iron nitride exhibits a narrow range during ammonia reduction of hematite. In the reduction of 50 g of pellets, the reduction rate using 100% NH3 is lower than that using a 50% NH3 and 50% H2 mixed gas, which is, in turn, slower than using 100% H2. As temperature increases, the reduction effect of 50% NH3 and 50% H2 approaches that of 100% H2. Among common gas-solid reaction mathematical models, the Phase-boundary-controlled model with the Contracting Cylinder Model is selected as the most plausible mechanistic function. For the reduction of 50 g of pellets, the activation energies for reactions using 100% NH3, 50% NH3 and 50% H2, and 100% H2 are 65.42, 54.37, and 29.17 kJ/mol, respectively. The decomposition of NH3 has a negative effect on the reduction of Fe2O3. XRD analysis and electron microscopy element line scanning show that Fe4N is formed during the reduction of Fe2O3 with 100% NH3. The use of a 50% NH3 and 50% H2 mixture significantly reduces the formation of Fe4N during the reduction of the pellets.
1. Introduction
The potential of blast furnace ironmaking technology to improve energy efficiency and reduce carbon emissions is nearing its limit. As a result, the development of sustainable and innovative low-carbon technologies to address global warming has become a key research focus in the field of metallurgy [1,2,3].
Globally, several novel low-emission ironmaking technologies have been developed to reduce CO2 emissions through innovative methods, including blast furnace top gas recovery, electric arc furnace direct reduction (HyDR-EAF), electrolysis, and carbon capture and storage (CCS) [4]. Examples of such technologies include COURSE50 in Japan, ULCOS in Europe, hydrogen flash ironmaking technology in the United States, and HYBRIT in Sweden [5,6,7].
Hydrogen-based direct reduction-electric furnace melting separation (HyDR-EAF) is one of the most promising methods to reduce carbon dioxide emissions in ironmaking, replacing the traditional BF converter (BF-BOF) process [8]. In the world, hydrogen-based direct-reduction processes such as MidrexH, Energiron, HYBRIT, and ULCORED have been continuously developed [9]. In China, Baowu Zhanjiang, Hegang Xuangang, and Shanxi Zhongjin Company have also made practical progress in hydrogen-based direct-reduction ironmaking technology [10]. Studies have shown that compared with the traditional route of BF-BOF, the HyDR-EAF process can significantly reduce CO2 emissions per ton of crude steel to less than 0.3 tons and has the potential to reduce total CO2 emissions by about 84% [11]. However, the use and transportation of hydrogen are faced with important problems, such as high diffusion coefficient, inflammability and explosion, high liquefaction difficulty, and low hydrogen storage density of liquid hydrogen [12]. At present, hydrogen is mainly transported by road such as long-tube trailers, while long-distance pipeline hydrogen transport technology is still in the project-demonstration stage, with high transportation cost and low efficiency, which seriously restricts the further development of the hydrogen energy industry [13].
Compared with hydrogen, ammonia has great development potential in the hydrogen storage carrier market due to its convenient storage, high safety, and mature transportation system [14]. The main performance is that in all hydrogen carriers, ammonia can be liquefied at −33 °C, 1 atm (0.1 MPar at room temperature) conditions, while hydrogen liquefaction conditions is −252.9 °C and liquid ammonia volume hydrogen density is 1.5 to 1.7 times higher than liquid hydrogen. In addition, because ammonia molecules are much larger than hydrogen molecules, this reduces the risk of ammonia leakage and explosion [15]. Ammonia is also a kind of clean energy, its combustion products are nitrogen and water steam, and ammonia can be directly used for hematite reduction [16].
Through quadrupole mass spectrometry analysis, HOSOKAI SOU et al. [17] believe that with the increase in temperature, the reduction mechanism of hematite by ammonia changes. Starting at 430 °C, the reduction process shifts from direct reduction by ammonia to an indirect reduction via hydrogen produced by the thermal decomposition of ammonia. Yasuda et al. [18] studied the reduction and nitriding behavior of hematite powder under 5, 10, 20, and 30% ammonia atmosphere. It is believed that hematite is directly reduced to magnetite by ammonia at temperatures between 500 and 590 °C. The magnetite produced by the reaction of hematite with ammonia is reduced to iron at 600 °C by the hydrogen produced by the decomposition of ammonia. According to the in situ XRD results, it is found that hematite is reduced to magnetite by ammonia at 500 °C, nitrided to form ε-Fe3-xN at 600 °C, and decomposed to form γ′-Fe4N phase at 700 °C. Iron nitride will decompose at higher temperatures, the nitriding potential is proportional to the ammonia concentration, and the ammonia reduction rate is weaker than the hydrogen reduction rate. However, the dynamics of this process are still poorly understood. Yan Ma et al. [19] conducted a reduction experiment on a single pellet (2.7 g) using ammonia and hydrogen with a purity of 99.999% and gas flow rate of 10 L/h at 700 °C through thermogravimetric (TG) analysis. It is found that the reduction kinetics of ammonia are similar to that of hydrogen, and the reduction of iron at 700 °C is accompanied by a large amount of Fe-nitride doping. Triana et al. [1] employed FactSage 8.2 to perform thermodynamic calculations on the ammonia reduction of hematite, investigating the stability conditions of different phases under various reaction conditions, the formation and stability of iron nitride phases, and constructing a phase diagram for the dominant regions of ammonia-reduced hematite. Similarly, Jovičević-Klug et al. [2] studied the thermodynamics and nitriding effects of ammonia reduction in individual pellets, exploring the impact of temperature on reduction efficiency and nitriding, and analyzing the role of diffusion in the formation of reduced iron phases and their chemical evolution.
Ammonia reduction of hematite is a potential eco-friendly ironmaking process. It also presents several challenges. These include the high cost of ammonia, complex handling and safety issues due to ammonia’s toxicity and hazardous nature, lower efficiency and yield, ammonia decomposition at high temperatures, and other environmental and sustainability concerns. Specifically, ammonia production is energy-intensive and often relies on fossil fuels, which may counteract some of the expected sustainability benefits.
The reduction of hematite with ammonia typically requires high temperatures for an efficient reaction. Previous studies have shown that this reaction generally occurs within the temperature range of 500–700 °C. Below 500 °C, the reduction rate is usually slow, which may lead to incomplete conversion. Above 700 °C, ammonia decomposes into nitrogen and hydrogen, which then effectively reduces hematite to iron. However, temperatures exceeding 700 °C accelerate ammonia decomposition, resulting in excessive nitrogen production, potential energy inefficiencies, and more complex handling requirements [1].
Previous studies on ammonia reduction of pellets typically involved small sample sizes of only 2.8 g and lacked detailed activation energy analysis for the ammonia-hydrogen co-reduction of pellets. To further investigate the thermodynamics and kinetics of NH3–H2 reduction of pellets, this study uses 50 g pellets in reduction experiments. By increasing the pellet mass, the scope of kinetic research on ammonia reduction of pellets is expanded.
2. Materials and Methods
2.1. Materials
The compressive strength of the pellet was measured using an automatic pellet pressure testing machine (model ETM204C-Y) produced by Dongjing Machinery Equipment Co., Ltd (Zhejiang, Shaoxing, China). This machine has a maximum pressure capacity of 10 kN. A minimum of 40 pellets were tested, with the results showing an average compressive strength of 3238.5 ± 724.6 N/pellet.
The porosity of the pellets was determined using an optical microscope. Three pellet samples were polished along their diameter using a Buehler ECOMET 250 Pro produced by Buehler (Lake Bluff, IL, USA) with diamond spray polishing agent to create a flat surface. Under a 50× magnification, nine observation points were selected at average intervals from the core to the outermost edge of the pellet. Image pre-processing, including noise removal and contrast enhancement, was performed using software such as ImageJ 1.54k. Porosity at each observation point was calculated based on grayscale values, and the average porosity of the nine points was used to determine the final porosity. The resulting porosity of the pellets was found to be 24.2 ± 0.6%.
The pellet sample diameters ranged from 10 to 12 mm.
FeO content in the pellets was determined using a potassium dichromate fusion titration method. The chemical composition was analyzed using X-ray fluorescence (XRF), with all elements other than Fe, S, and P being reported in oxide form. The chemical composition of the pellets is shown in Table 1. From Table 1, it is noted that the silica (SiO2) content is relatively high (greater than 5%), while the other parameters are within the expected range.
Table 1.
Chemical composition (all in wt.%) of the pellets.
The mineral phase structure of the pellets is shown in Figure 1. As seen in Figure 1, the hematite (Fe2O3) crystals in the pellets are well-formed, with high intergranular bonding. The internal porosity of the pellets is relatively rounded, and SiO2 is predominantly present as plate-like inclusions between the hematite crystals.
Figure 1.
Pellet phase structure.
The X-ray diffraction (XRD) phase composition of the pellets is shown in Figure 2. As observed in the figure, the XRD phase composition is primarily composed of Fe2O3 and SiO2.
Figure 2.
Pellet XRD phase composition.
Ammonia (NH3), hydrogen (H2), and nitrogen (N2) gases were supplied by Nanjing Special Gas Plant Co., Ltd. (Nanjing, China), with a purity of 99.9%.
2.2. Instruments
The experimental device for NH3–H2 reduction of pellets is shown in Figure 3. The pressure condition of the reaction is 1atm. The reaction device is composed of a gas flow controller, a tubular reaction bed, and a weighing device. For each experimental condition, 50 ± 1 g of pellets (25 ± 1 pellets) were placed in a hanging basket with a diameter of 60 mm. The basket was suspended from the bottom of a balance (accuracy: ±0.001 g) and positioned inside a reaction tube with a diameter of 86 mm. Prior to the reaction, nitrogen gas was introduced into the system at a flow rate of 7 ± 0.2 L/min to serve as a protective gas. The reaction tube is heated at a rate of 10 °C/min to the specified thermocouple holding temperature setting value (700, 750, 800, 850 °C), the temperature is kept unchanged, nitrogen is replaced by pure reaction gas into the reaction bed at a flow rate of 7 ± 0.2 L/min, and the weight loss is recorded. The gas composition conditions of the NH3–H2 reduction reaction of the pellets are shown in Table 2. After the reduction reaction is completed, the introduction of reaction gas is stopped, nitrogen is continuously injected until the temperature of the reaction tube is cooled below 100 °C, and the pellet is removed to detect its chemical composition and microstructure.
Figure 3.
Pellet NH3–H2 reduction experimental device.
Table 2.
Gas composition conditions for the NH3–H2 reduction reaction of pellets.
The reason we did not select lower temperatures is based on the study by Tiara Triana, which investigated the reduction kinetics of 2.5 g of pellets. According to their findings, the reduction rate of hematite with ammonia at temperatures below 700 °C is significantly slower compared to temperatures above 700 °C. As a result, our study focuses on the reduction behavior of hematite with ammonia at temperatures above 700 °C, where the reaction is more efficient and the kinetics are more suitable for investigation.
The reducibility index of the pellets over time is plotted based on the weight change of the pellets during the experiment. During this process, since the amount of Fe4N formed is minimal and its formation is accompanied by oxygen removal, the study ignores the influence of Fe4N and other components, assuming that all the weight loss is due to the reduction of iron oxides. The reducibility index is calculated according to the GB/T 24189-2024 standard method [20]. Following this method to calculate the oxygen mass fraction in the Fe2O3, firstly, the TFe is subtracted by the Fe mass fraction in FeO, which gives the Fe mass fraction in Fe2O3. From this, the oxygen mass fraction in Fe2O3 is then calculated, and the oxygen mass fraction in FeO is added to obtain the final oxygen mass fraction in the pellets.
The XRD analysis instrument is produced by Bruker GMBH in Germany, the model specification is D8 ADVANCE, and the test Angle is 5–85°. The sample was polished with Buehler ECOMET 250 Pro equipment, and the optical mineral phase microstructure of the reduced pellets was observed with a Zeiss optical microscope. ZEISS Sigma 500 field emission scanning electron microscope produced by Carl Zeiss AG (Oberkochen, Baden-Württemberg, Germany) was used for the morphology observation and the elemental analysis.
2.3. Thermodynamic Analysis Method
The phase equilibrium calculation was performed using HSC Chemistry 6.0 thermochemistry software and its associated database. This thermodynamic software conducts equilibrium and stable-phase analysis of potential chemical reactions under varying conditions, such as molar ratios, pressures, and iron oxide types. Two modules—Reaction Equations and Equilibrium Compositions—were employed for the calculations. The Reaction Equations module computes the changes in thermochemical properties for several chemical reactions involved in the reduction process, including enthalpy (H), entropy (S), Gibbs free energy (G), and the reaction equilibrium constant (K). These calculations encompass the decomposition of NH3, the reduction of each iron oxide (Fe2O3, Fe3O4, and FeO) with H2 and NH3 under standard conditions, as well as the nitridation reaction of Fe and NH3 under standard conditions. The Equilibrium Compositions module uses the Gibbs free energy minimization principle to calculate multi-component equilibrium conditions under various scenarios. The equilibrium module was used to calculate the reduction reactions of NH3 and H2 with different iron species, their oxides, and ferric nitride under standard conditions, yielding the equilibrium components at different temperatures.
3. Results and Discussion
3.1. Thermodynamic Analysis of NH3–H2 Reduction in Pellets
Using the HSC Chemistry 6.0 Equilibrium Compositions module, it is calculated that in the temperature range of 0–1000 °C, under 1 atm, the change of substance quantity during the reaction of 2 mol of NH3 and 1 mol of Fe2O3 and 3 mol of H2 and 1 mol of Fe2O3 is shown in Figure 4. The calculation results show that the increase in temperature will increase the decomposition equilibrium conversion of NH3 and promote the increase of H2 and N2 contents. The decomposition of two moles of NH3 to three moles of H2 and one mole of N2, at 400 °C, 1 atm, two moles of NH3 can reach 99% equilibrium decomposition and transformation. For the reduction of 1 mol Fe2O3 by 2 mol NH3 and 3 mol H2, the thermodynamic equilibrium phase composition is basically equal at temperatures greater than 260 °C.
Figure 4.
Panel (a): The number of substances involved in the reaction of 2 mol NH3 and 1 mol Fe2O3. Panel (b): The number of substances involved in the reaction of 2 mol NH3 and 1 mol Fe2O3.
Although thermodynamic calculations indicate that the reduction of hematite by NH3 and H2 is similar, the reduction process using NH3 is different. In addition to hydrogen, the decomposition of NH3 also produces N2. The presence of N2 dilutes the reducing gas mixture, which lowers the equilibrium concentration of the reducing gas available for the reduction of Fe2O3. The study of Naoto YASUDA et al. [18] has proven the view. Naoto YASUDA et al. [18] studied the intensity change of H2O in exhaust gas through QMS, calculated the reducibility of Fe2O3 powder, and concluded that the reduction rate of NH3 reduction capacity is weaker than H2.
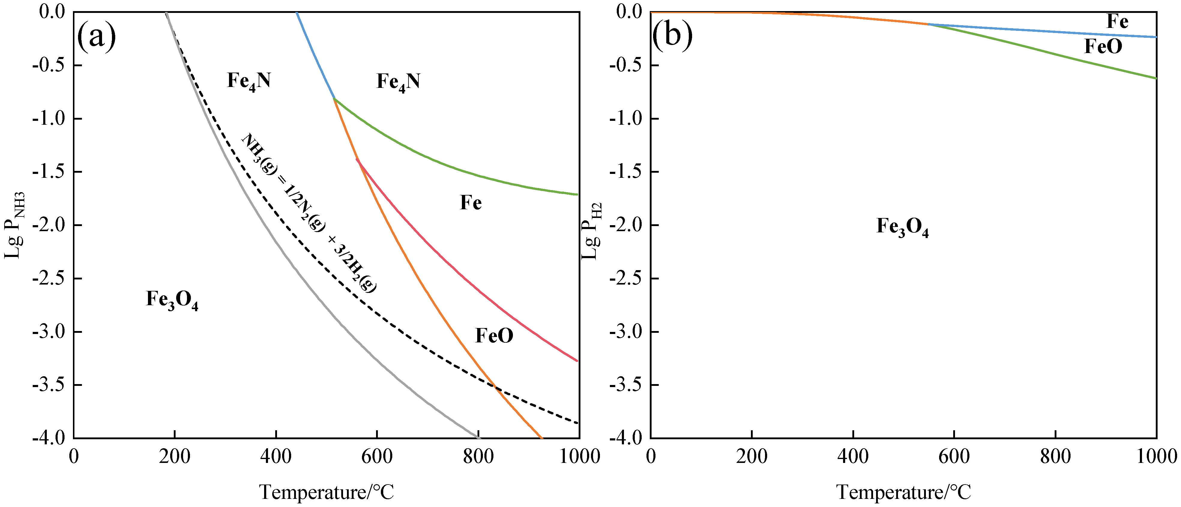
Using the Equilibrium data of HSC Chemistry 6.0 Reaction Equations and Equilibrium Compositions, the reaction region dominance diagrams of the Fe-O-NH3 system and the Fe-O-H2 system were constructed, respectively, as shown in Figure 5. Figure 5a plots the temperature stability region where Fe, FeO, Fe2O3, Fe3O4, and Fe4N exist with the relative partial pressure and temperature changes of reduced NH3.
Figure 5.
Panel (a): Fe-O-NH3 system reaction region dominance diagram; Panel (b): Fe-O-H2 system reaction region dominance diagram.
Similar to the H2 reduction, Fe2O3 can be reduced to Fe3O4 by NH3. The decomposition of NH3 leads to two main effects: first, it narrows the formation range of Fe4N; second, it promotes the reduction of Fe3O4 by NH3 and H2 (produced from NH3 decomposition) to FeO, which can further reduce to Fe. The molecular structure and reactivity of H2 allow it to remain stable under the given temperature and pressure conditions, making the reduction of Fe2O3 by pure H2 a simpler process. Figure 5a explains the findings of SOU HOSOKAI et al. [17]. In the study of SOU HOSOKAI et al. [17], at 450 °C, the final equilibrium phase of Fe2O3 reduction consists of a large amount of Fe4N and a small amount of Fe. When the temperature is higher than 450 °C, the decomposition rate of NH3 will increase significantly. This will cause Fe2O3 to be more inclined to produce FeO and Fe at high temperatures.
3.2. Kinetics Analysis of NH3–H2 Reduction in Pellets
The change curves of the pellet reducibility index with time under different temperatures and atmospheres, and the change curves of the pellet reduction rate with time under different temperatures and atmospheres, are shown in Figure 6 and Figure 7. As can be seen from Figure 6, at 3600 s, the reducibility index of pellets under different atmospheres varies significantly with temperature. From 700 °C to 850 °C, the reducibility index of A100 pellets increases significantly from 37.06% to 84.69%, and that of A50H50 pellets increases from 50.77% to 92.28%. The reducibility index of H100-reduced pellets was increased from 72.03% to 94.66%. The reducibility index of H100-reduced pellets is higher than that of A50H50 and A100 at the same time. In addition, with the increase in temperature, the reducibility index curves of H100-reduced pellets and A50H50-reduced pellets are gradually close, and the two curves almost coincide at 850 °C. The result is consistent with the thermodynamic analysis. From Figure 7, it can be seen that from 700 °C to 850 °C, the reduction rate of A100-reduced pellets is lower than that of A50H50 and H100, and the highest reduction rate occurs mostly within 180 to 360 s from the beginning of reduction. In addition, it can be seen from Figure 7 that the reduction rate of A100 and A50H50 mixed reduction pellets is more unstable than that of H100 reduction pellets. The reason is that the reduction of Fe2O3 by H100 is simpler and more controllable. The molecular structure and reactive properties of H2 enable it to exist stably under given temperature and pressure conditions and participate in the direct-reduction reaction of Fe2O3. Compared with H100, the reduction of Fe2O3 by A50H50 and the reduction of Fe2O3 by A100 are unstable. In addition, the reaction stability and reaction efficiency of the mixed reduction of Fe2O3 by A00 or A50H50 are significantly affected by temperature. In this experiment, the temperature of stable reduction of Fe2O3 by A50H50 is 850 °C.
Figure 6.
Panel (a): The change curve of the pellet-reducibility index with time under different NH3–H2 atmospheres at 700 °C; Panel (b): The change curve of the pellet-reducibility index with time under different NH3–H2 atmospheres at 750 °C; Panel (c): The change curve of the pellet-reducibility index with time under different NH3–H2 atmospheres at 800 °C; Panel (d): The change curve of the pellet-reducibility index with time under different NH3–H2 atmospheres at 850 °C.
Figure 7.
Panel (a): Curve of the pellet-reduction rate with time under different NH3–H2 atmospheres at 700 °C; Panel (b): Curve of the pellet-reduction rate with time under different NH3–H2 atmospheres at 750 °C; Panel (c): Curve of the pellet-reduction rate with time under different NH3–H2 atmospheres at 800 °C; Panel (d): Curve of the pellet-reduction rate with time under different NH3–H2 atmospheres at 850 °C.
The reaction rate of the pellet-reduction process can be expressed by two different forms of equation [21]:
Differential form:
g(x) = k(T)t
The variables in Equations (1) and (2) are defined as follows: x is the degree of reduction; k(T) is the relation between reaction rate constant and temperature; f(x) is the differential form of the reaction mechanism function; g(x) is the integral form of the reaction mechanism function.
The relationship between f(x) and g(x):
The relationship between k(T) and the reaction temperature T (absolute temperature) can be expressed by the Arrhenius equation:
The variables in Equation (4) are defined as follows: Ea is the reduction activation energy, kJ/mol; A is the pre-factor of the activation energy of the reduction reaction; R is the universal constant, R = 8.314J/(K·mol).
The relationship between ln[k(T)] and 1/RT can be simplified as follows:
Under isothermal conditions, for a simple reaction, its rate constant k(T) can be expressed as a constant term k. By constructing a linear relationship between g(x) and k − t, the reaction rate constant k at a certain temperature can be obtained. At this time, the g(x) function selected is the reaction mechanism function, and different rate constants can be calculated at different temperatures using the same method. Then the activation energy of the reaction can be further obtained. The specific steps are as follows: select a group of x and t values on the x − t curve and put them into the formula g(x) of the common dynamic mechanism function, select g(x) that can make the line fit best linearly as the most probable mechanism function, and the slope of the line is k.
Common mathematical models describing gas-solid reactions summarized by Daniel Spreitzer et al. [22] were used to select the most probable mechanism function. There are Phaseboundary-controlled models (PBCM), Diffusion models (DM) and Reaction order models (ROM), Nucleation models (NM), and Power-law models (PLM). The most probable mechanism function was selected by comparing the four temperatures under different atmosphere and reaction models with linear fitting R2 average values, and the results were shown in Figure 8.
Figure 8.
Fitting R2 values of different kinetic mechanism functions under different atmospheres.
As shown in Figure 8, the contracting cylinder model (PBCM2) and contracting sphere model (PBCM3) within the phase-boundary-controlled models are the most suitable for describing the reduction process of pellets. The phase-boundary-controlled model assumes that, during the early stages of phase transformation, the nucleation process (i.e., the formation of new phases) is rapid and nearly instantaneous. Since the time required for nucleation is very short compared to the phase transformation itself, it is typically neglected. Therefore, the model assumes that the reaction process is limited by phase-boundary reactions, with the new phase gradually replacing the original phase through the expansion of the phase boundary. The movement of the phase boundary determines the speed and nature of the phase transformation, meaning that the reaction rate is limited by the velocity of the phase boundary movement rather than the nucleation rate.
Considering the cylindrical shape of the reaction vessel, the contracting cylinder model (PBCM2) is preferred as the reaction mechanism function in this study. The expression for the contracting cylinder model (g(x)) is given by: [g(x) = 1 − (1 − x)1/2].
The logarithmic value of the reaction rate constant (lnk) versus (1/RT) for the contracting cylinder model (PBCM2) is shown in Figure 9. From Figure 5, it can be seen that the activation energy for the reduction of A100 pellets is 65.42 kJ/mol, for A50H50 pellets is 54.37 kJ/mol, and for H100 pellets is 29.17 kJ/mol.
Figure 9.
Linear fitting relationship between lnk and 1/RT for ammonia reduction of different atmosphere pellets.
The choice of different reaction models leads to significant differences in the calculated activation energies. For example, Wang et al. [23] used the contracting sphere model within the phase-boundary-controlled model and found the activation energy for hydrogen reduction of pellets to be 28.1 kJ/mol in the temperature range of 800 to 1000 °C. Similarly, Kovtun et al. [24] used the same contracting sphere model and found the activation energy to be 33.642 kJ/mol in the temperature range of 700 to 1000 °C. In this study, the activation energy obtained using the contracting cylinder model (PBCM2) is similar to those obtained in previous studies employing phase-boundary-controlled models for hydrogen reduction of pellets.
Activation energy refers to the energy barrier that reactants must overcome in a chemical reaction, reflecting the difficulty of the reaction: the higher the activation energy, the more difficult the reaction; the lower the activation energy, the easier the reaction. Based on the results of this study, the reduction of 50 g of A50H50 and H100 pellets is relatively easier. This suggests that, although ammonia reduction of hematite has favorable thermodynamic conditions, its relatively high activation energy makes ammonia a weaker reducing agent in comparison.
3.3. Structural Change of NH3–H2 Reduction Phase in Pellets
The phase composition of A100, A50H50, and H100 after 60 min of reduction at different temperatures is shown in Figure 10. As the temperature increases, the rate of mutual conversion reactions between different types of iron oxides changes, leading to variations in observed peak intensities. A100 still contains some Fe2O3 at 700 °C. As the temperature increases, Fe2O3 is gradually reduced to Fe3O4, which results in an increase in the peak intensity of Fe3O4. Between 700 and 800 °C, the peak intensity of Fe4N is lower than that of Fe and FeO. This suggests that during the reduction of Fe2O3 by pure NH3 at 700 to 800 °C, the formation of Fe4N is constrained by the NH3 decomposition reaction, and Fe is primarily produced by the reduction of FeO by NH3 and H2. Between 750 and 800 °C, the increase in Fe3O4 production correlates with a rise in Fe4N, indicating that Fe4N is formed during the reduction of Fe3O4 by NH3. At 850 °C, the decomposition reactions of NH3 and Fe4N become more intense, resulting in a higher partial pressure of H2. This facilitates the reduction of Fe3O4 and FeO by H2, and the generated FeO is more readily reduced to iron by H2 and NH3, leading to a sharp decrease in the peak intensity of Fe4N. Additionally, the decomposition of Fe4N is more readily facilitated at higher temperatures, resulting in the formation of the pure Fe phase.
Figure 10.
Panel (a): The phase structure composition of pellets after 60 min of reduction under different temperatures in A100. Panel (b): The phase structure composition of pellets after 60 min of reduction under different temperatures in A50H50. Panel (c): The phase structure composition of pellets after 60 min of reduction under different temperatures in H100.
Due to the difference in the partial pressure of NH3, the Fe4N generated in A50H50 is lower, which indicates that Fe3O4 in A50H50 is reduced to Fe after being protoformed into FeO by NH3 and H2. Compared to H100, A50H50 also contains more unreduced Fe3O4 and FeO in its phase structure at the same temperature and duration.
The Fe4N in the pellets after reduction mainly concentrated in the reduced iron layer, and there were obvious differences in the structure of the outermost reduced iron layer at different reducibility indexes. The structure and microscopic composition of the iron layer at 700 and 800 °C and at 60 min of A100 reduction were shown as follows. In Figure 11a, the phase composition of the reduced iron layer is mainly Fe3O4 and FeO and a small amount of Fe and Fe4N. Due to the difference in the reducibility index, the reduced iron layer has a high content of Fe3O4 at 700 °C, so it still maintains a good crystalline structure [23,24,25]. This further supports the view that Fe4N is Fe3O4 by reduction. At 800 °C, Fe3O4 grains are further reduced, and O removal occurs in FeO. Due to the mismatch of grain volume and the related stress between precipitates and product phases, multiple lattice defects (such as dislocation and cracks) are generated in Fe3O4, which results in more “feather” structures in the reduced iron layer at 800 °C [26]. Further reduction of Fe3O4 also promoted the formation of more Fe4N in the reduced iron layer and increased the distribution of N element in the reduced iron layer.
Figure 11.
Panel (a): Structure and microstructure of A100 reduced iron layer at 700 °C; Panel (b): Structure and microstructure of A100 reduced iron layer at 800 °C.
The structure of the reduced iron layer of pellets at different temperatures and in different reducing atmospheres is shown in Figure 12. There is always a multi-phase coexistence structure in the reduced iron layer, and there is a large reduction-state gradient inside the pellets. At 700 °C and 60 min of A100 reduction, the reducibility index of pellets is 37.06%, and FeO is not obviously formed. Due to the structural difference between Fe2O3 and Fe3O4 crystal forms, a loose porous structure is formed inside the pellets after grinding and polishing. With the increase of reduction temperature within 60 min of A100 reduction, the content of Fe phase and FeO phase in the reduced iron layer inside the pellets increases and the reduction of Fe2O3 is completed. The internal structure of the pellet is more stable. After the reduction of A50H50 and H100 at 850 °C for 60 min, the internal mineral phase structure of the pellets is similar, which is consistent with the XRD results.
Figure 12.
Structure of reduced iron layers in pellets at different temperatures and reducing atmospheres.
4. Conclusions
- (1)
- The nitrogen gas produced by ammonia decomposition reduces the reducing gas balance components. During the ammonia reduction of hematite at temperatures between 700 °C and 850 °C, the formation of iron nitride occurs within a narrow temperature range.
- (2)
- In the reduction process of 50 g pellets, the reduction rate with 100% NH₃ is slower than that with a 50% NH₃ and 50% H₂ mixture, which in turn is slower than that with 100% H₂. As the temperature increases, the reduction effect of the 50% NH₃ and 50% H₂ mixture approaches that of 100% H₂.
- (3)
- Among common gas-solid reaction models, the Phase-boundary-controlled models, specifically the Contracting cylinder model, is selected as the most likely mechanism. For the reduction of 50 g pellets, the activation energies for reactions with 100% NH₃, 50% NH₃ and 50% H₂, and 100% H₂ are 65.42, 54.37, and 29.17 kJ/mol, respectively. The decomposition of NH₃ negatively affects the reduction of Fe₂O₃.
- (4)
- XRD analysis and electron microscope surface scanning results indicate that Fe₄N is formed during the reduction of Fe₂O₃ with 100% NH₃. Using a 50% NH₃ and 50% H₂ mixture significantly reduces the formation of Fe₄N.
Author Contributions
Conceptualization, X.Z.; Writing—original draft, B.W.; Writing—review and editing, Z.F.; Visualization, Z.H.; Supervision, A.M.; Project administration, J.C.; Funding acquisition, J.Y. All authors have read and agreed to the published version of the manuscript.
Funding
This research received no external funding.
Data Availability Statement
The original contributions presented in the study are included in the article, further inquiries can be directed to the corresponding author.
Conflicts of Interest
Author Xiaoping Zhang was employed by Ma’anshan Iron and Steel Co., Ltd. The remaining authors declare that the research was conducted in the absence of any commercial or financial relationships that could be construed as a potential conflict of interest.
References
- Triana, T.; Brooks, G.A.; Rhamdhani, M.A.; Pownceby, M.I. Iron Oxide Direct Reduction and Iron Nitride Formation Using Ammonia: Review and Thermodynamic Analysis. J. Sustain. Metall. 2024, 10, 1428–1445. [Google Scholar] [CrossRef]
- Jovičević-Klug, M.; Ma, Y.; Jovičević-Klug, P.; Prabhakar, J.M.; Rohwerder, M.; Raabe, D. Thermal Kinetics and Nitriding Effect of Ammonia-Based Direct Reduction of Iron Oxides. ACS Sustain. Chem. Eng. 2024, 12, 9882–9896. [Google Scholar] [CrossRef] [PubMed]
- Lu, L.; Wang, H.; Wang, F.; Qiu, J.; Ping, X. Development status and application of hydrogen metallurgy technology. Iron Steel 2024, 59, 183–196. [Google Scholar]
- Miškovičová, Z.; Legemza, J.; Demeter, P.; Buľko, B.; Hubatka, S.; Hrubovčáková, M.; Futáš, P.; Findorák, R. An Overview Analysis of Current Research Status in Iron Oxides Reduction by Hydrogen. Metals 2024, 14, 589. [Google Scholar] [CrossRef]
- Zhang, X.; Jiao, K.; Zhang, J.; Guo, Z. A review on low carbon emissions projects of steel industry in the World. J. Clean. Prod. 2021, 306, 127259. [Google Scholar] [CrossRef]
- Chen, W.-H.; Sarles, P.; Park, Y.-K.; Rajendran, S.; Nguyen, T.-B.; Dong, C.-D. Thermodynamic analysis of novel ammonia addition to raw iron making followed by neural network development prediction. Fuel 2023, 353, 129246. [Google Scholar] [CrossRef]
- Xing, Y.; Cui, Y.K.; Tian, J.L.; Su, W.; Wang, W.L.; Zhang, X.; Liu, Y.; Zhao, X.J. Application status and prospect of low carbon technology in iron and steel industry. Chin. J. Eng. 2022, 44, 801–811. [Google Scholar]
- Kim, S.-H.; Zhang, X.; Ma, Y.; Filho, I.R.S.; Schweinar, K.; Angenendt, K.; Vogel, D.; Stephenson, L.T.; El-Zoka, A.A.; Mianroodi, J.R.; et al. Influence of microstructure and atomic-scale chemistry on the direct reduction of iron ore with hydrogen at 700 C. Acta Mater. 2021, 212, 116933. [Google Scholar] [CrossRef]
- Wang, R.R.; Zhao, Y.Q.; Babich, A.; Senk, D.; Fan, X.Y. Hydrogen direct reduction (H-DR) in steel industry—An overview of challenges and opportunities. J. Clean. Prod. 2021, 329, 129797. [Google Scholar] [CrossRef]
- Guo, X.Y.; Chen, Y.L.; Tian, Q.H. Research progress on hydrogen metallurgy theory and method. Chin. J. Nonferrous Met. 2021, 31, 1891–1906. [Google Scholar]
- Da Costa, A.R.; Wagner, D.; Patisson, F. Modelling a new, low CO2 emissions, hydrogen steelmaking process. J. Clean. Prod. 2013, 46, 27–35. [Google Scholar] [CrossRef]
- Yue, M.; Lambert, H.; Pahon, E.; Roche, R.; Jemei, S.; Hissel, D. Hydrogen energy systems: A critical review of technologies, applications, trends and challenges. Renew. Sustain. Energy Rev. 2021, 146, 111180. [Google Scholar] [CrossRef]
- Asif, M.; Bibi, S.S.; Ahmed, S.; Irshad, M.; Hussain, M.S.; Zeb, H.; Khan, M.K.; Kim, J. Recent advances in green hydrogen production, storage and commercial-scale use via catalytic ammonia cracking. Chem. Eng. J. 2023, 473, 145381. [Google Scholar] [CrossRef]
- He, T.; Pachfule, P.; Wu, H.; Xu, Q.; Chen, P. Hydrogen carriers. Nat. Rev. Mater. 2016, 1, 16059. [Google Scholar] [CrossRef]
- Sun, W.C. Basic Research on Reduction of Iron Ore by Ammonia. Master’s Thesis, University of Science and Technology Liaoning, Anshan, China, 2022; pp. 1–18. [Google Scholar]
- Iwamoto, I.; Kurniawan, A.; Hasegawa, H.; Kashiwaya, Y.; Nomura, T.; Akiyama, T. Reduction Behaviors and Generated Phases of Iron Ores using Ammonia as Reducing Agent. ISIJ Int. 2022, 62, 2483–2490. [Google Scholar] [CrossRef]
- Hosokai, S.; Kasiwaya, Y.; Matsui, K.; Okinaka, N.; Akiyama, T. Ironmaking with ammonia at low temperature. Environ. Sci. Technol. 2011, 45, 821–826. [Google Scholar] [CrossRef]
- Yasuda, N.; Mochizuki, Y.; Tsubouchi, N.; Akiyama, T. Reduction and nitriding behavior of hematite with ammonia. ISIJ Int. 2015, 55, 736–741. [Google Scholar] [CrossRef]
- Ma, Y.; Bae, J.W.; Kim, S.H.; Jovičević-Klug, M.; Li, K.; Vogel, D.; Ponge, D.; Rohwerder, M.; Gault, B.; Raabe, D. Reducing iron oxide with ammonia: A sustainable path to green steel. Adv. Sci. 2023, 10, 2300111. [Google Scholar] [CrossRef]
- GB/T 24189-2024; Iron Ores for Blast Furnace Feedstocks—Determination of the Reducibility by the Final Degree of Reduction Index. National Standard of the People’s Republic of China: Beijing, China, 2024.
- Heidari, A.; Niknahad, N.; Iljana, M.; Fabritius, T. A review on the kinetics of iron ore reduction by hydrogen. Materials 2021, 14, 7540. [Google Scholar] [CrossRef]
- Spreitzer, D.; Schenk, J. Reduction of iron oxides with hydrogen—A review. Steel Res. Int. 2019, 90, 1900108. [Google Scholar] [CrossRef]
- Wang, Z.C.; Liu, Z.G.; Tang, J.; Chu, M.S.; Xue, X.X. Analysis of gas thermodynamic utilization and reaction kinetic mechanism in shaft furnace. J. Iron Steel Res. Int. 2014, 21, 16–23. [Google Scholar] [CrossRef]
- Kovtun, O.; Levchenko, M.; Ilatovskaia, M.O.; Aneziris, C.G.; Volkova, O. Results of Hydrogen Reduction of Iron Ore Pellets at Different Temperatures. Steel Res. Int. 2024, 2300707. [Google Scholar] [CrossRef]
- Bai, M.H.; Long, H.; Ren, S.B.; Liu, D.; Zhao, C.F. Reduction behavior and kinetics of pellets under H2–N2 atmosphere. ISIJ Int. 2018, 58, 1034–1041. [Google Scholar] [CrossRef]
- Kovtun, O.; Levchenko, M.; Oldinski, E.; Gräbner, M.; Volkova, O. Swelling Behavior of pellets during Reduction in H2 and N2/H2 Atmospheres at Different Temperatures. Steel Res. Int. 2023, 94, 2300140. [Google Scholar] [CrossRef]
Disclaimer/Publisher’s Note: The statements, opinions and data contained in all publications are solely those of the individual author(s) and contributor(s) and not of MDPI and/or the editor(s). MDPI and/or the editor(s) disclaim responsibility for any injury to people or property resulting from any ideas, methods, instructions or products referred to in the content. |
© 2024 by the authors. Licensee MDPI, Basel, Switzerland. This article is an open access article distributed under the terms and conditions of the Creative Commons Attribution (CC BY) license (https://creativecommons.org/licenses/by/4.0/).











