Effective Removal of Arsenic from Copper Matte by Sodium Carbonate
Abstract
1. Introduction
2. Experimental and Analytical Methods
2.1. Materials
2.2. Experimental Approach
2.3. Analytical Methods
2.4. Thermodynamic Calculations
3. Results and Discussion
3.1. Copper Matte Characteristics Analysis
3.2. Reaction Thermodynamic Analysis
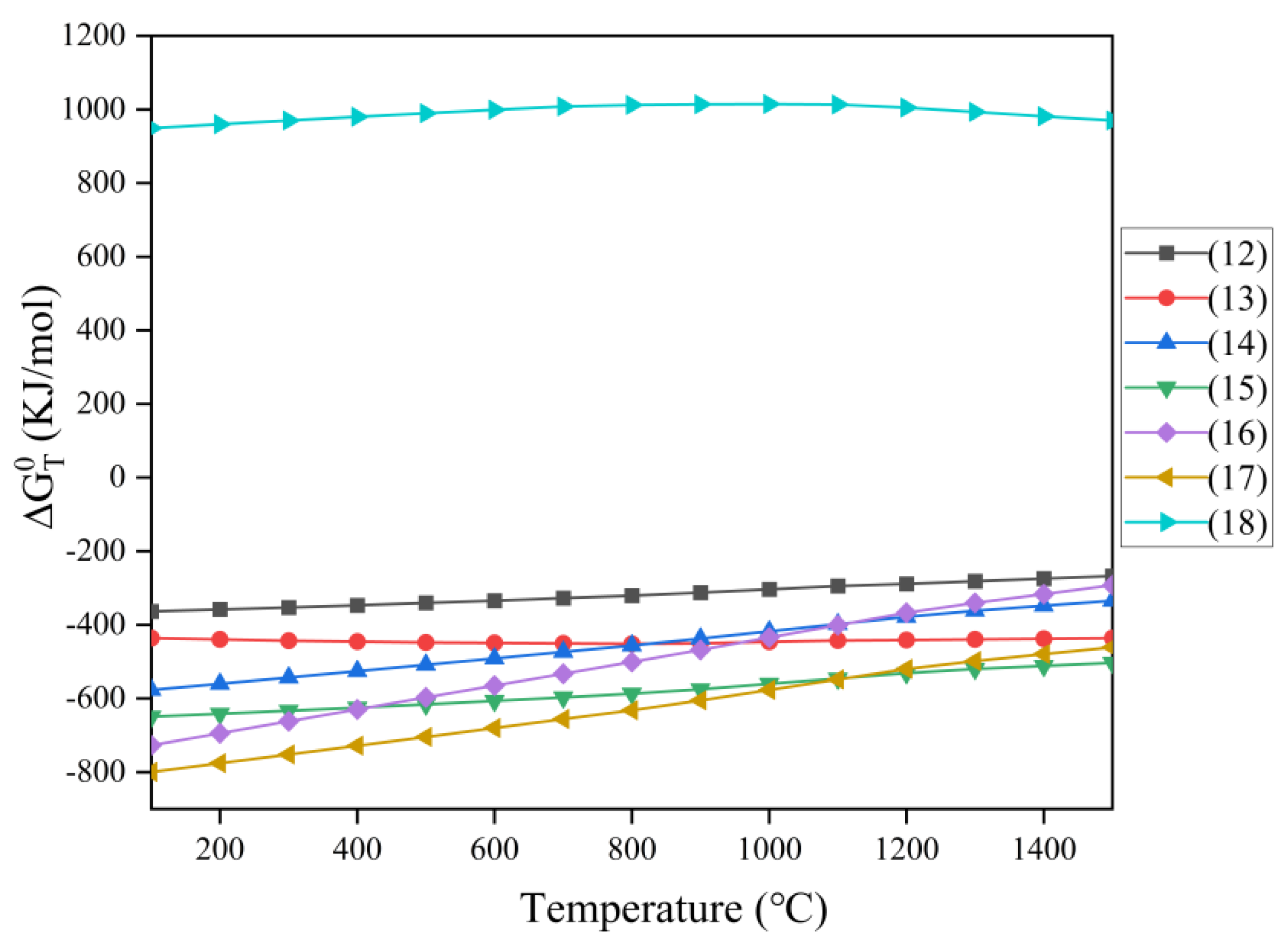
3.2.1. Gibbs Free Energy Change
3.2.2. Equilibrium Phase Composition
3.3. The Influence Factors of Arsenic Removal by Na2CO3
3.3.1. Effect of Na2CO3 Content
3.3.2. Effect of Reaction Temperature
3.3.3. Effect of Reaction Time
3.4. Arsenic in Copper Matte Removal Mechanism
3.4.1. Phase Transition Analysis
3.4.2. XPS Analyses
3.4.3. Micromorphology Analysis
4. Conclusions
- The main state of arsenic in matte is copper-based alloy compounds, where arsenic is combined with copper under the action of metal bonds. Since the metal bond between Cu-As is extremely stable, it is difficult to separate arsenic from it, which is also the key reason why arsenic in matte is difficult to completely remove.
- Under the action of sodium carbonate, Cu3As can be easily converted into sodium arsenate or sodium arsenite, but sodium arsenate itself is difficult to decompose at high temperatures. The bornite in matte is decomposed into elemental copper and iron oxide phase, and Cu3As is converted into sodium arsenate and elemental copper; this reaction needs to be at a temperature above 1200 °C to occur, and the higher the temperature, the more conducive it is to the transformation reaction.
- Under the optimal experimental conditions of 4 wt.% sodium carbonate addition, reaction temperature of 1250 °C, and reaction time of 60 min, more than 98% of arsenic in copper matte was removed. When the sodium carbonate addition amount is 0 wt.% to 1 wt.%, sodium carbonate can effectively lower the melting point of the reaction and enhance the fluidity of the sample due to its low melting point, thereby improving the oxidizing atmosphere of the reaction system and promoting the decomposition and oxidation of the bornite phase in the matte. When the additional amount of sodium carbonate reaches 2 wt.%, sodium carbonate plays two roles in the transformation of the arsenic phase in the matte. First, sodium carbonate will form a layer of sodium salt on the surface of the matte. These sodium salts will reduce the oxidation reaction between the matte and the air, hindering its decomposition and oxidation. However, sodium carbonate decomposes into sodium oxide at high temperatures. The copper-arsenic alloy compound phase in the matte can be more specifically converted into the sodium arsenate phase under the action of sodium carbonate, thereby removing arsenic from the matte.
Author Contributions
Funding
Data Availability Statement
Conflicts of Interest
References
- Zhang, Y.; Jin, B.; Huang, Y.; Song, Q.; Wang, C. Two-stage leaching of zinc and copper from arsenic-rich copper smelting hazardous dusts after alkali leaching of arsenic. Sep. Purif. Technol. 2019, 220, 250–258. [Google Scholar] [CrossRef]
- Yang, W.; Qian, L.; Jin, B.; Feng, Q.; Li, L.; He, K.; Yang, J. Leaching behaviors of copper and arsenic from high-arsenic copper sulfide concentrates by oxygen-rich sulfuric acid leaching at atmospheric pressure. J. Environ. Chem. Eng. 2022, 10, 107358. [Google Scholar] [CrossRef]
- Padilla, R.; Aracena, A.; Ruiz, M.C. Reaction mechanism and kinetics of enargite oxidation at roasting temperatures. Metall. Mater. Trans. B 2012, 43, 1119–1126. [Google Scholar] [CrossRef]
- Li, X.; Zhu, X.; Qi, X.; Li, K.; Wei, Y.; Wang, H.; Hu, J.; Hui, X.; Zhang, X. Pyrolysis of arsenic-bearing gypsum sludge being substituted for calcium flux in smelting process. J. Anal. Appl. Pyrolysis 2018, 130, 19–28. [Google Scholar] [CrossRef]
- Montenegro, V.; Sano, H.; Fujisawa, T. Recirculation of high arsenic content copper smelting dust to smelting and converting processes. Miner. Eng. 2013, 49, 184–189. [Google Scholar] [CrossRef]
- de las Torres, A.G.; Ríos, G.; Almansa, A.R.; Sánchez-Rodas, D.; Moats, M.S. Solubility of bismuth, antimony and arsenic in synthetic and industrial copper electrorefining electrolyte. Hydrometallurgy 2022, 208, 105807. [Google Scholar] [CrossRef]
- Chen, C.; Zhang, L.; Jahanshahi, S. Thermodynamic modeling of arsenic in copper smelting processes. Metall. Mater. Trans. B 2010, 41, 1175–1185. [Google Scholar] [CrossRef]
- Xu, B.; Ma, Y.; Gao, W.; Yang, J.; Yang, Y.; Li, Q.; Jiang, T. A review of the comprehensive recovery of valuable elements from copper smelting open-circuit dust and arsenic treatment. JOM 2020, 72, 3860–3875. [Google Scholar] [CrossRef]
- Zhang, Y.; Feng, X.; Qian, L.; Luan, J.; Jin, B. Separation of arsenic and extraction of zinc and copper from high-arsenic copper smelting dusts by alkali leaching followed by sulfuric acid leaching. J. Environ. Chem. Eng. 2021, 9, 105997. [Google Scholar] [CrossRef]
- Che, J.; Zhang, W.; Deen, K.M.; Wang, C. Eco-friendly treatment of copper smelting flue dust for recovering multiple heavy metals with economic and environmental benefits. J. Hazard. Mater. 2024, 465, 133039. [Google Scholar] [CrossRef]
- Guo, X.-Y.; Chen, Y.-L.; Wang, Q.-M.; Wang, S.-S.; Tian, Q.-H. Copper and arsenic substance flow analysis of pyrometallurgical process for copper production. Trans. Nonferrous Met. Soc. China 2022, 32, 364–376. [Google Scholar] [CrossRef]
- Zhou, H.; Liu, G.; Zhang, L.; Zhou, C. Mineralogical and morphological factors affecting the separation of copper and arsenic in flash copper smelting slag flotation beneficiation process. J. Hazard. Mater. 2021, 401, 123293. [Google Scholar] [CrossRef] [PubMed]
- Hassan, K.M.; Fukushi, K.; Turikuzzaman, K.; Moniruzzaman, S.M. Effects of using arsenic–iron sludge wastes in brick making. Waste Manag. 2014, 34, 1072–1078. [Google Scholar] [CrossRef]
- Alka, S.; Shahir, S.; Ibrahim, N.; Ndejiko, M.J.; Vo, D.-V.N.; Manan, F.A. Arsenic removal technologies and future trends: A mini review. J. Clean. Prod. 2021, 278, 123805. [Google Scholar] [CrossRef]
- Wang, X.; Wang, X.; Liu, B.; Wang, M.; Wang, H.; Liu, X.; Zhou, S. Promotion of copper electrolyte self-purification with antimonic oxides. Hydrometallurgy 2018, 175, 28–34. [Google Scholar] [CrossRef]
- Wang, X.; Wang, X.; Wang, M. Characteristics of BiAsO4 precipitate formation in copper electrolyte. Hydrometallurgy 2017, 171, 95–98. [Google Scholar] [CrossRef]
- Yu, T.; Shen, Y.; Zhang, H.; Xu, S.; Cao, H.; Zheng, G. Efficient removal of bismuth with supersoluble amorphous antimony acids: An insight into synthesis mechanism and Sb (V)-Bi (III) interaction behaviors. Chem. Eng. J. 2021, 420, 127617. [Google Scholar] [CrossRef]
- Jafari, S.; Kiviluoma, M.; Kalliomäki, T.; Klindtworth, E.; Aji, A.T.; Aromaa, J.; Wilson, B.P.; Lundström, M. Effect of typical impurities for the formation of floating slimes in copper electrorefining. Int. J. Miner. Process. 2017, 168, 109–115. [Google Scholar] [CrossRef]
- Benabdallah, N.; Luo, D.S.; Youcef, M.H.; Lopez, J.; de Labastida, M.F.; Sastre, A.M.; Valderrama, C.A.; Cortina, J.L. Increasing the circularity of the copper metallurgical industry: Recovery of Sb (III) and Bi (III) from hydrochloric solutions by integration of solvating organophosphorous extractants and selective precipitation. Chem. Eng. J. 2023, 453, 139811. [Google Scholar] [CrossRef]
- González de las Torres, A.I.; Moats, M.S.; Ríos, G.; Rodríguez Almansa, A.; Sánchez-Rodas, D. Removal of Sb impurities in copper electrolyte and evaluation of As and Fe species in an electrorefining plant. Metals 2021, 11, 902. [Google Scholar] [CrossRef]
- Xiao, F.-X.; Cao, D.; Mao, J.-W.; Shen, X.-N.; Ren, F.-Z. Role of trivalent antimony in the removal of As, Sb, and Bi impurities from copper electrolytes. Int. J. Miner. Metall. Mater. 2013, 20, 9–16. [Google Scholar] [CrossRef]
- Wang, Q.; Guo, X.; Tian, Q.; Chen, M.; Zhao, B. Reaction Mechanism and Distribution Behavior of Arsenic in the Bottom Blown Copper Smelting Process. Metals 2017, 7, 302. [Google Scholar] [CrossRef]
- Wang, Q.; Wang, Q.; Tian, Q.; Guo, X. Simulation Study and Industrial Application of Enhanced Arsenic Removal by Regulating the Proportion of Concentrates in the SKS Copper Smelting Process. Processes 2020, 8, 385. [Google Scholar] [CrossRef]
- Jia, W.; Li, B.; Zhou, S.; Wei, Y.; Wang, H. Distribution behavior and deportation of arsenic in copper top-blown smelting process. Metall. Res. Technol. 2023, 120, 507. [Google Scholar] [CrossRef]
- Gu, H. Removal of Arsenic from Liquid Copper by Use of Sodium Carbonate. Doctoral Dissertation, Purdue University, West Lafayette, IN, USA, 1993. [Google Scholar]
- Gong, A.; Cao, C.; Yan, K.; Li, J.; Tian, L.; Ke, L.; Chen, T.; Xu, Z. A novel method for rapid and highly selective removal of arsenic from copper electrolyte using zirconium salts. Chem. Eng. J. 2024, 481, 148460. [Google Scholar] [CrossRef]
- Zhao, Z.; Wang, Z.; Xu, W.; Qin, W.; Lei, J.; Dong, Z.; Liang, Y. Arsenic removal from copper slag matrix by high temperature sulfide-reduction-volatilization. J. Hazard. Mater. 2021, 415, 125642. [Google Scholar] [CrossRef]
- Wang, H.-Y.; Zhu, R.; Dong, K.; Zhang, S.-Q.; Wang, Y.; Lan, X.-Y. Effect of injection of different gases on removal of arsenic in form of dust from molten copper smelting slag prior to recovery process. Trans. Nonferrous Met. Soc. China 2023, 33, 1258–1270. [Google Scholar] [CrossRef]
















| ID | Matte Quality (g) | Na2CO3 Addition Quality (g) | Na2CO3 Addition Ratio (%) | Reaction Time (min) | Reaction Temperature (°C) |
|---|---|---|---|---|---|
| C1 | 5 | 0 | 0 | 60 | 1250 |
| C2 | 5 | 0.025 | 0.5 | 60 | 1250 |
| C3 | 5 | 0.05 | 1 | 60 | 1250 |
| C4 | 5 | 0.1 | 2 | 60 | 1250 |
| C5 | 5 | 0.2 | 4 | 60 | 1250 |
| Element | Cu | Fe | S | Pb | Zn | Sb | As |
| Content | 58.1 | 8.55 | 21.3 | 2.38 | 1.27 | 0.28 | 0.35 |
| Element | Co | K | Mn | Se | Si | Sn | Ag |
| Content | 0.037 | 0.025 | 0.017 | 0.017 | 0.018 | 0.015 | 0.086 |
| Mineral Composition and Content of Matte (wt.%) | As Content in Mineral (wt.%) | Mineral Composition and Content of Matte (wt.%) | As Content in Minerals (wt.%) | ||
|---|---|---|---|---|---|
| Bornite | 93.06 | 0 | Glass | 0.03 | 0 |
| Cu-Pb-Fe-As-S allay | 4.89 | 31.02 | Fayalite-Glass | 0.02 | 0.07 |
| Domeykite | 0.02 | 2.99 | |||
| Native copper | 0.75 | 0 | Nickeline | 0.02 | 4.29 |
| Cu-Ni-Sb-As-S allay | 0.61 | 60.54 | |||
| Arsenopyrite | 0.01 | 0.33 | |||
| Magnetite | 0.39 | 0 | Lollingite | 0.01 | 0.34 |
| Sphalerite | 0.09 | 0 | |||
| Fibroferrite | 0.05 | 0 | |||
| Quartz | 0.03 | 0 | |||
Disclaimer/Publisher’s Note: The statements, opinions and data contained in all publications are solely those of the individual author(s) and contributor(s) and not of MDPI and/or the editor(s). MDPI and/or the editor(s) disclaim responsibility for any injury to people or property resulting from any ideas, methods, instructions or products referred to in the content. |
© 2024 by the authors. Licensee MDPI, Basel, Switzerland. This article is an open access article distributed under the terms and conditions of the Creative Commons Attribution (CC BY) license (https://creativecommons.org/licenses/by/4.0/).
Share and Cite
Wang, D.; Tang, J.; Song, Y. Effective Removal of Arsenic from Copper Matte by Sodium Carbonate. Metals 2024, 14, 1078. https://doi.org/10.3390/met14091078
Wang D, Tang J, Song Y. Effective Removal of Arsenic from Copper Matte by Sodium Carbonate. Metals. 2024; 14(9):1078. https://doi.org/10.3390/met14091078
Chicago/Turabian StyleWang, Dawei, Jinyao Tang, and Yuxia Song. 2024. "Effective Removal of Arsenic from Copper Matte by Sodium Carbonate" Metals 14, no. 9: 1078. https://doi.org/10.3390/met14091078
APA StyleWang, D., Tang, J., & Song, Y. (2024). Effective Removal of Arsenic from Copper Matte by Sodium Carbonate. Metals, 14(9), 1078. https://doi.org/10.3390/met14091078

