Abstract
Stable service performance of spring steel under complex working conditions is essential, and under the synergistic effect of corrosive environment and stress, stress corrosion cracking is very likely to occur. Austempering can change the microstructure of spring steel and thereby improve its stress corrosion sensitivity. In this study, methods such as scanning electron microscopy and slow strain tensile tests were adopted to investigate the effects of different austempering temperatures on the microstructure and stress corrosion resistance of 52CrMoV4 spring steel. The results show that crack initiation during stress corrosion cracking in the test steel is mainly related to anodic dissolution. The coarsening of bainite laths and the increase in the area of martensite–austenite islands accelerate stress corrosion cracking once stress concentration occurs. The steel austempered at 310 °C has the best resistance to stress corrosion, with a stress corrosion sensitivity value of only 2.4%, which is much lower than those of specimens under traditional processes (15.5–23.7%).
1. Introduction
The 52CrMoV4 (according to EN 10089: 2002 [1]) is a high-strength alloy spring steel, which is widely used in spring components with high stress, fatigue resistance, and high-temperature resistance, such as automotive suspension systems, spring plates, and torsion bars [2,3]. The synergistic effect of alloying elements Cr and Mo can improve the hardenability and high-temperature tempering stability of the steel. The micro alloying element V in 52CrMoV4 can form nano-scale VC precipitates, which can inhibit grain growth and improve fatigue strength. However, the corrosive environment containing chloride ions formed by deicing salts or seawater atmospheres on coastal roads leads to the deterioration of the mechanical properties of 52CrMoV4 spring steel and reduce the alloy’s resistance to crack initiation and propagation, which in turn causes stress corrosion cracking (SCC) [4,5,6]. SCC primarily proceeds via two distinct mechanisms: anodic dissolution at propagating crack tips, and cathodically absorbed hydrogen leading to embrittlement [7]. The susceptibility of the steel to SCC largely depends on three material factors: (i) the chemical composition of the alloy, (ii) crystallographic grain characteristics, and (iii) distribution of age-hardening precipitates [8,9,10,11]. Pan et al. investigated the correlation between the heat treatment and the polarization potentials with the SCC in duplex stainless steel and found that ferrite is the weakest region for SCC initiation and extension, and lower Cr and Mo contents in ferrite induced the formation of pitting SCC [12]. With the negative shift in the potential, hydrogen increased the SCC susceptibility by deteriorating the passivation film, inhibiting re-passivation, and causing severe damages [13]. Huang et al. combined the low-cycle fatigue (LCF) with SCC, investigated the effect of LCF on the SCC susceptibility of CrNiMoV steels, and found that the reduction in residual stress, phase transformation, and increase in low-energy structures improved the resistance to SCC. Based on the linear relationship between the kernel-averaged misorientation (KAM) and the coefficient of stress corrosion susceptibility, they found that the effect of fatigue damage on the stress corrosion susceptibility was predictable [6].
Thermomechanical processing (e.g., heat treatment [14,15]) and compositional adjustment via microalloying synergistically modify the microstructure [16,17], thereby dictating the resultant mechanical properties of engineered materials. Obtaining the bainitic microstructure via austempering with salt bath can improve the toughness of steel, but at the expense of its strength and hardness [18]. Su et al. found that the pearlitic content of GCr15 steel increased with prolonged austempering duration, and the rate of increase gradually became slower [19].
Currently, most of the studies on SCC are focused on the field of alloys and engineering structural steels, and studies on austempering are mainly focused on its impact on microstructural evolution and mechanical performance. However, little research has been conducted on the effect of austempering temperatures (AT) on SCC, especially in the field of spring steels. In fact, spring steels have a high probability of undergoing stress corrosion cracking in their service conditions, and there is still great potential for their performance enhancement, which should be explored by investigating the effect of heat treatment on SCC of spring steel to improve its overall performance.
The 52CrMoV4 spring steel used in automotive suspension systems often experiences SCC. In order to study its SCC mechanism, this study performed austempering treatments at varying temperatures on 52CrMoV4 steel. Through slow strain rate testing (SSRT), we systematically investigated stress corrosion susceptibility under different heat treatment processes. Fractography analysis via scanning electron microscopy (SEM) elucidated how microstructural evolution governs stress cracking behavior in corrosive environments. The findings provide fundamental guidance for engineering applications of 52CrMoV4 spring steel in corrosive environments.
2. Materials and Methods
2.1. Materials
The chemical composition of the experimental steel is shown in Table 1, which was tested by an optical emission spectrometer model OES8000S from Skyray Instrument (Jiangsu Skyray Instrument Co., Ltd., Kunshan, China).
Table 1.
Chemical compositions of the 52CrMoV4 spring steel (wt.%).
The supply status of this steel is hot rolling (final rolling temperature 850–900 °C) and annealing, with an intercepting area of 30 × 90 mm. The conventional heat treatment routes are illustrated in Figure 1a. The specimens were heated to 860 °C and held for 0.5 h in a resistance furnace, followed by oil quenching to room temperature. Subsequently, the specimens were tempered either at 450 °C for 2 h or 470 °C for 3 h. These specimens are designated as Oil Quenching-450 °C (OQ-450 °C) and Oil Quenching-470 °C (OQ-470 °C), respectively. The bainitic heat treatment processes are illustrated in Figure 1b. The specimens were heated to 860 °C and held for 0.5 h, followed by austempering in salt baths at varying temperatures ranging from 270 °C to 400 °C for 2 h. Finally, they were subjected to tempering at 440 °C for 1 h.
Figure 1.
Schematic diagrams of the heat treatment process: (a) Traditional processes: quenching + tempering; (b) Bainitic processes: austempering + tempering.
2.2. Observation of Microstructure
The microstructure was observed using a Hitachi SU-8200 cold field emission SEM (Hitachi High-Technologies Corporation, Tokyo, Japan) and an ICX41M Optical Microscope (OM) (Ningbo Sunny Instruments Co., Ltd., Ningbo, China). An industrial camera was used to observe the macroscopic appearance of the fracture, which was observed immediately after the specimen was fractured. The microstructure of the surface and fracture characterization was observed by SEM. The specific parameters for SEM observations are as follows: the acceleration voltage was 10 KV, the working distance was 8.0–9.2 mm, and the magnification was 400–3000 times. The fracture morphology was observed as soon as possible after fracturing, and those that could not be observed in time were immersed in an air-insulating medium such as anhydrous ethanol, cleaned with pure water, and washed and dried with anhydrous ethanol before observation.
2.3. SCC Test
The electrochemical test was conducted using a CHI660E electrochemical workstation (Shanghai Chenhua Instrument Co., Ltd., Shanghai, China). In this paper, a three-electrode system was adopted for measurement. The electrolyte selected was a 3.5 wt.% NaCl solution and the specimen size was 5 × 10 × 10 mm. The polarization curve test experiment was repeated three times to ensure the stability and reproducibility of the electrochemical state. For the SCC test, the specimens were tested at room temperature using the WDW-100MF slow strain rate stress corrosion testing machine (Jinan Shichuang Testing Equipment Co., Ltd., Jinan, China). The experimental parameters were designed to simulate marine service environments for 52CrMoV4 spring steel applications. The strain rate of 1.3 × 10−6 s−1 was selected in strict accordance with GB/T 15970.7-2017 [20,21]. The 3.5 wt.% NaCl solution directly corresponds to the average chloride concentration in oceanic environments as defined by ASTM D1141-98 [22]. For each process, slow strain rate tensile tests were required to be conducted, respectively, in the air and in the corrosive medium. Each group of experiments was conducted at least three times, and the average results were selected for presentation. We reduced the impact of random errors through multiple repeated experiments and key data were reported in the form of mean ± standard deviation (mean ± SD) in the paper. The specimen dimensions are shown in Figure 2. The elongation loss (Iδ) parameter was used to evaluate the SCC sensitivity of the test steel. The larger the Iδ value, the weaker the specimen’s ability to resist stress corrosion. Iδ was calculated according to the following equation [23,24]:
where δE and δ0 are the elongations of test steel in solution and in air, respectively.
Figure 2.
The dimensions of the specimen for the SCC test.
3. Results
3.1. Microstructure
Different heat treatment processes cause the specimens to present different microstructures. The SEM images of the heat-treated specimens at varying AT are presented in Figure 3. The black plate-like microstructure is bainitic ferrite (BF) and the blocky area is the Martensite–Austenite (M/A) island. From Figure 3a–f, it can be seen that the area of the M/A island in the microstructure increases gradually with the increase in AT, and it increases further after an AT of 360 °C. This is mainly because when the AT is relatively high, the migration tendency of carbon atoms strengthens. The out-diffusion of carbon from bainite and ferrite enriches the adjacent austenite, stabilizing it and leading to M/A retention during cooling. The bainite slats generated at 270 °C are fine and disordered. When the AT is between 300 °C and 360 °C, the bainite slats are almost parallel and arranged in slat bundles, and the white undissolved carbides (UC) are uniformly distributed inside the slats. With the increase in AT, the length and width of bainite slats are increased. The bainite slats are further roughened after austempering at 400 °C.
Figure 3.
SEM images of the test steels at different AT: (a) 270 °C; (b) 300 °C; (c) 310 °C; (d) 320 °C; (e) 360 °C; (f) 400 °C. (Note: BF—bainitic ferrite; UC—undissolved carbides; M/A—martensite–austenite).
Microstructural features characteristic of traditional processed spring steel are captured in the SEM images of Figure 4, revealing tempered martensite with uniformly dispersed carbides. The primary microstructure is tempered martensite, exhibiting distinct differences from the austempering microstructure (Figure 3). After oil quenching, the microstructure of the steel predominantly consists of martensite with minor M/A island area. The redistribution of carbon atoms will occur in subsequent tempering process, and the microstructure of the martensite and M/A gradually decompose into ferrite and carbides [25]. Globular carbides and ferrite collectively form the tempered martensite microstructure.
Figure 4.
The OM (a) and SEM (b) pictures of the traditional process (OQ-470 °C). (Note: F—ferrite; C—carbide; M/A—martensite–austenite).
3.2. SCC Test Results
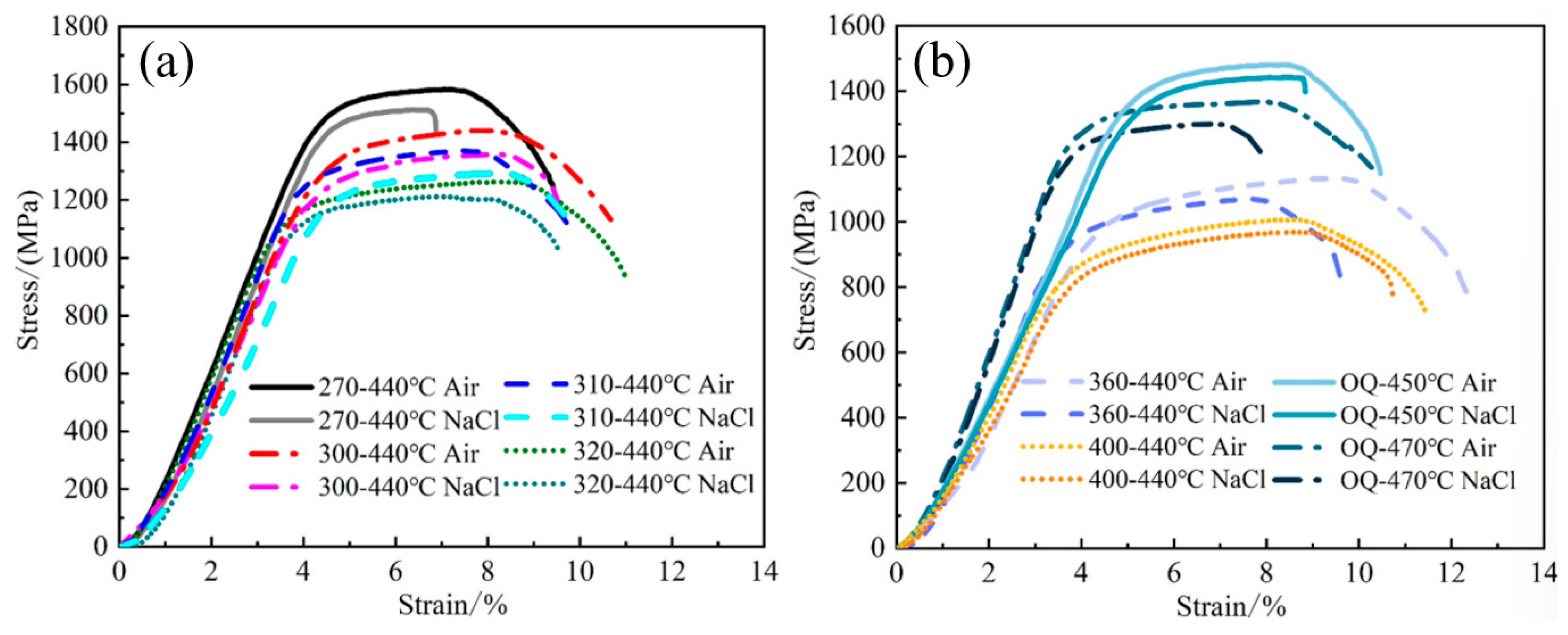
The stress–strain (SS) curves of the test steel obtained in both air and 3.5 wt.% NaCl solution after different heat treatments are displayed in Figure 5. The difference between the SS behavior of the specimens in air and in solution is obvious, and the difference between the tensile strength of the specimens in air and in the corrosive medium is basically within 100 MPa. For the 270 °C austempered test steel in the corrosive medium for slow strain tensile testing, the specimen fractured in the plastic deformation stage. The material’s loss of plasticity is obvious, and its resistance to fracture is significantly reduced, which indicates that the processed spring steel materials in this test conditions have a high susceptibility to stress corrosion cracking [26]. With the gradual increase in AT, the slope of the SS curve in the elastic deformation stage gradually decreases.
Figure 5.
The SSRT stress–strain curves of the test steels after different heat treatments. (a): Austempered at 270–320 °C; (b): Austempered at 360–400 °C and OQ 450–470 °C. (Note: Air-tested in the air; NaCl-tested in NaCl solution).
The elongations (%) from the SSRT experiments of the specimens under different medium after different heat treatments are shown in Table 2. The elongations of the steels in the air are significantly greater than those in the NaCl medium. The influence of the corrosive medium varies with heat treatment: in the corrosive environment, elongation first increases and then decreases with AT, and it rises again after austempering at 400 °C. The elongation of conventional processed test steel in the corrosive medium is lower than that of most bainitic process test steels.
Table 2.
Elongation (%) of the SSRT experiments of the specimens under different medium after austempering or quenching treatment.
The stress corrosion sensitivity coefficients of the specimen after different heat treatments are shown in Table 3 and Figure 6. With the increase in AT, the stress corrosion sensitivity (SCS) coefficient first decreases and then increases, and decreases again after austempering at 400 °C. The data in the table shows that the SCS of austempered specimens is significantly lower than that of oil-quenched specimens overall, indicating that austempering can significantly improve the SCC resistance of the specimens. The test steel austempered at 270 °C has the highest stress corrosion sensitivity coefficient, meaning its resistance to SCC is lowest; in contrast, the steel austempered at 310 °C has the lowest SCS coefficient, indicating the strongest resistance to stress corrosion cracking.
Table 3.
Stress corrosion sensitivity coefficients of the specimens after austempering or quenching treatment (Iδ: elongation loss).
Figure 6.
The variation curve of stress corrosion sensitivity coefficient with austempering temperature.
It can be seen from Figure 7 that the sample shows obvious dissolution during the anodic polarization stage, as indicated by the blue arrow in the figure.
Figure 7.
The polarization curves of the test steels after different heat treatments.
3.3. Fracture Morphology
The macroscopic fracture morphologies of tensile specimens under different heat treatments are presented in Figure 8. These air-tested specimens exhibit predominantly toughness fracture with discernible necking deformation and distinctively brighter fracture surfaces characterized by high reflectivity. The specimens exposed to the NaCl medium exhibited complete surface corrosion with black pitting. Distinct striations caused by corrosion and tensile deformation were observable beneath the rust layer. The fracture surface of the specimen austempered at 270 °C displayed brittle fracture characteristics. The specimens austempered at 310 °C and 400 °C and tested in the corrosive medium showed limited necking at the fracture zone; however, the degree of necking was still significantly small compared with specimens tested in air.
Figure 8.
Macroscopic fracture morphologies of SSRT tests of the steel treated by different austempering temperatures (AT) or quenching (OQ): (a) AT-270 °C; (b) AT-300 °C; (c) AT-310 °C; (d) AT-320 °C; (e) AT-360 °C; (f) AT-400 °C; (g) OQ-450 °C; (h) OQ-470 °C.
The SEM images of microscopic fracture morphologies for these specimens austempered at different temperatures and tested in air are presented in Figure 9. The fracture surfaces exhibit extensive dimple morphologies, indicating ductile fracture mechanisms. The specimen austempered at 270 °C displays reduced surface undulation with shallower dimples, signifying less pronounced plastic deformation during fracture. In contrast, the specimen austempered at 300 °C exhibits larger and deeper dimples compared to the specimen austempered at 270 °C, demonstrating an enhanced plastic deformation during fracture [27]. With increasing austempering temperature, the fracture surfaces become increasingly irregular, suggesting greater plasticity.
Figure 9.
SEM images of microscopic fracture morphologies for SSRT specimens austempered at different temperatures and tested in air: (a) AT-270 °C; (b) AT-300 °C; (c) AT-310 °C; (d) AT-320 °C; (e) AT-360 °C; (f) AT-400 °C.
The tensile fracture morphologies of specimens austempered at different temperatures in NaCl corrosive medium are presented in Figure 10. The images indicate that the fracture surfaces retain trace amounts of corrosion products while exhibiting abundant dimples. Compared to fractures produced in air, the specimens tested in NaCl solution display smaller dimples with an increased number of white tearing ridges, accompanied by generally flatter fracture surfaces. The specimens austempered at 360 °C and 400 °C show relatively smooth fracture surfaces with inconspicuous dimples.
Figure 10.
SEM images of microscopic fracture morphologies for SSRT specimens austempered at different temperatures and testing in 3.5 wt.% NaCl solution: (a) AT-270 °C; (b) AT-300 °C; (c) AT-310 °C; (d) AT-320 °C; (e) AT-360 °C; (f) AT-400 °C.
The fracture morphologies of SSRT specimens subjected to conventional heat treatments under different mediums are displayed in Figure 11. These fracture surfaces exhibit fewer dimples and river-patterned cleavage facets, showing a marked contrast to those of the austempered specimens. Notably, the specimen treated with OQ-470 °C processing demonstrates distinct transgranular fracture characteristics on its corrosion fracture surface [28].
Figure 11.
SEM images of fracture morphologies for SSRT specimens treated by conventional quenching and tempering under different mediums: (a) OQ-450 °C-Air; (b) OQ-470 °C-Air; (c) OQ-450 °C-NaCl; (d) OQ-470 °C-NaCl.
4. Discussion
Deformation will accelerate the dissolution of metals in corrosive media [29]. The strain caused by stress in the test steel will increase the number of vacancies and the dislocation density, resulting in an increase in the number of active sites on the surface, thereby intensifying the corrosion reaction. Under continuous stress, the passive film on the surface of the test steel ruptures and microcracks emerge. Once microcracks generate, they expose the fresh surface of the experimental steel to corrosive media. The Cr and Mo elements in the steel can promote repassivation of these fresh surfaces. This “crack–repassivation” cycle phenomenon causes SCC cracks to expand into the interior of the steel, accelerating the fracture of the specimen.
The variation in AT leads to changes in the distribution and morphology of bainite laths, dislocation density, and M/A island area [18], which affect the stress corrosion resistance of spring steel. In the presence of tensile stress, for SCC, stress concentration in the microstructure plays a more important role than corrosion [30]. The specimen austempered at 270 °C achieves a refined microstructure with elevated dislocation densities and disordered bainite laths. This microstructural characteristic multiplies electrochemically active sites on the surface, which is highly favorable for oxidation reactions. The concurrent application of stress and corrosive media accelerate corrosion degradation. Once the AT exceeds 320 °C, the bainite laths become coarser as AT increases, making it is easier for stress concentration to occur [31], which results in a decline in stress corrosion resistance. At the same time, as AT increases, the area of M/A islands also increases. Due to phases differences between the bainite and M/A, a potential difference exists, making microelectrolyte coupling corrosion likely. In the corrosive medium, the ferrite slats around M/A islands are preferentially dissolved as the anode to form etch pits [32], and the bottom of the etch pit will continue to dissolve, which will lead to stress concentration, promote crack initiation, and eventual propagation, resulting in plasticity degradation.
When AT increases from 310 °C to 320 °C, the synergistic effect of stress and corrosion amplifies the slight coarsening of the bainite laths and the increase in small M/A islands, reducing properties [33]. This increases the possibility of stress concentration and further decreases stress corrosion resistance. The lower SCS coefficient of the test steel obtained after austempering at 400 °C may be due to the smaller residual stress in the microstructure, which reduces stress concentration and improves SCC resistance [34]. Another factor may be the reduction in subgrain boundary in the microstructure after 400 °C AT, while higher AT causes redistribution of carbides as well as enhancement of residual austenite content [35]. In spite of the increase in the area of M/A island after austempering at 400 °C [36], the SCC resistance of the test steel is still improved by the combination of the above factors.
Although the fracture surface exhibits ductile dimples, the effect of hydrogen cannot be completely ruled out due to the harsh chloride environment. Hydrogen may accelerate the final ductile fracture process by affecting dislocation motion or promoting microvoid nucleation.
5. Conclusions
- (1)
- The main type of cracking that occurs in the SCC process of the test steel is anodic dissolution-type stress cracking. Under the action of tensile stress, stress concentration plays a more important role in SCC initiation than corrosion.
- (2)
- With the rise in AT, the ability of test steel to resist stress corrosion first rises and then declines, rising again at 400 °C. The test steel austempered at 310 °C has the best stress corrosion resistance, while the test steel austempered at 270 °C has poor resistance due to fine and disordered bainitic laths with more active sites in the microstructure.
- (3)
- When the AT exceeds 310 °C, the coarsening of bainitic laths and the increase in M/A island area in the microstructure increase the possibility of stress concentration. Under the combined action of stress and corrosive media, the plasticity of the test steel decreases when subjected to tensile stress, resulting in reduced resistance to stress corrosion cracking.
- (4)
- The reduction in subgrain boundaries and redistribution of carbides enhance stress corrosion resistance when the steel is austempered at 400 °C. The test steel austempered at 300 °C has a better stress corrosion resistance than that of the test steel treated by the traditional process.
Author Contributions
Conceptualization, Y.W.; methodology, W.S. and Q.L.; software, W.S. and G.W.; validation, Q.Y., J.S., W.S. and H.S.; formal analysis, J.Z. and G.W.; investigation, Q.Y. and H.S.; resources, Y.W. and Q.L.; data curation, Q.Y., J.S., W.S. and G.W.; writing—original draft preparation, Q.Y. and J.S.; writing—review and editing, W.S., G.W., Y.W. and Q.L.; visualization, Q.Y. and W.S.; supervision, Q.Y. and J.Z.; project administration, Q.Y.; funding acquisition, Y.W. All authors have read and agreed to the published version of the manuscript.
Funding
This research was funded by the University Science and Technology Research Project of Hebei Province (CXZX2025027), the National Natural Science Foundation of China (No. 52307032), the National Key R&D Program of China (No. 2022YFF0706904 and 2022YFE03150204), and the Natural Science Foundation of Hubei Province (No. 2024AFD046).
Data Availability Statement
The original contributions presented in this study are included in the article. Further inquiries can be directed to the corresponding authors.
Conflicts of Interest
The authors declare no conflicts of interest.
References
- EN 10089: 2002; Hot Rolled Steels for Quenched and Tempered Springs—Technical Delivery Conditions. British Standards Institute: London, UK, 2002.
- Furuya, Y.; Abe, T. Effect of mean stress on fatigue properties of 1800 MPa-class spring steels. Mater. Des. 2011, 32, 1101–1107. [Google Scholar] [CrossRef]
- Liu, F.; Chen, K.; Kang, C.; Jiang, Z.; Ding, S. Effects of V–Nb microalloying on the microstructure and properties of spring steel under different quenching-tempering times. J. Mater. Res. Technol. 2022, 19, 779–793. [Google Scholar] [CrossRef]
- Wu, S.; Chen, H.; Ramandi, H.L.; Hagan, P.C.; Crosky, A.; Saydam, S. Effects of environmental factors on stress corrosion cracking of cold-drawn high-carbon steel wires. Corros. Sci. 2018, 132, 234–243. [Google Scholar] [CrossRef]
- Komazaki, S.I.; Kobayashi, K.; Misawa, T.; Fukuzumi, T. Environmental embrittlement of automobile spring steels caused by wet–dry cyclic corrosion in sodium chloride solution. Corros. Sci. 2005, 47, 2450–2460. [Google Scholar] [CrossRef]
- Huang, Y.H.; Yang, F.X.; Wang, N.; Zhu, M.L.; Xuan, F.Z. Improvement of stress corrosion cracking resistance by low cycle fatigue of a CrNiMoV steel. npj Mater. Degrad. 2023, 7, 58. [Google Scholar] [CrossRef]
- Zhang, Z.; Wang, L.; Huang, W.; Min, X.; Luo, G.; Wang, H.; Zhou, L.; Fang, F. Stress corrosion cracking mechanisms in bridge cable steels: Anodic dissolution or hydrogen embrittlement. Int. J. Hydrogen Energy 2025, 97, 46–56. [Google Scholar] [CrossRef]
- Rout, P.K.; Ghosh, M.M.; Ghosh, K.S. Influence of aging treatments on alterations of microstructural features and stress corrosion cracking behavior of an Al-Zn-Mg alloy. J. Mater. Eng. Perform. 2015, 24, 2792–2805. [Google Scholar] [CrossRef]
- She, H.; Chu, W.; Shu, D.; Wang, J.; Sun, B.D. Effects of silicon content on microstructure and stress corrosion cracking resistance of 7050 aluminum alloy. Trans. Nonferrous Met. Soc. China 2014, 24, 2307–2313. [Google Scholar] [CrossRef]
- Wang, Y.L.; Jiang, H.C.; Li, Z.M.; Yan, D.S.; Zhang, D.; Rong, L.J. Two-stage double peaks ageing and its effect on stress corrosion cracking susceptibility of Al-Zn-Mg alloy. J. Mater. Sci. Technol. 2018, 34, 1250–1257. [Google Scholar] [CrossRef]
- Knight, S.P.; Pohl, K.; Holroyd, N.J.H.; Birbilis, N.; Rometsch, P.A.; Muddle, B.C.; Goswami, R.; Lynch, S.P. Some effects of alloy composition on stress corrosion cracking in Al–Zn–Mg–Cu alloys. Corros. Sci. 2015, 98, 50–62. [Google Scholar] [CrossRef]
- Pan, Y.; Sun, B.; Wang, L.; Liu, Z.; Jiang, B.; Yang, W.; Deng, Y.; Li, X. Investigating the correlation of microstructure with stress corrosion cracking of the high-temperature heat treated 2205 duplex stainless steel. J. Mater. Res. Technol. 2025, 35, 6280–6295. [Google Scholar] [CrossRef]
- Pan, Y.; Sun, B.; Chen, H.; Liu, Z.; Dai, W.; Yang, X.; Deng, Y.; Li, X. Stress corrosion cracking behavior and mechanism of 2205 duplex stainless steel under applied polarization potentials. Corros. Sci. 2024, 231, 111978. [Google Scholar] [CrossRef]
- Li, Y.; Wang, E.; Zhang, L.; Fautrelle, Y.; Zhao, X.; Guo, X.; Zhang, D. Microstructural evolution and mechanical properties of 60Si2CrVNb spring steel under quenching-tempering heat treatment process. J. Mater. Res. Technol. 2023, 25, 6829–6842. [Google Scholar] [CrossRef]
- Xia, B.; Zhang, P.; Wang, B.; Li, X.; Zhang, Z. Effects of quenching temperature on the microstructure and impact toughness of 50CrMnSiVNb spring steel. Mater. Sci. Eng. A. 2023, 870, 144856. [Google Scholar] [CrossRef]
- DiGiovanni, C.; Rampelberg, C.; Zhou, T.T.; Cathcart, C.; Amirkhiz, B.S.; Zurob, H.; Scott, C. Impact of boron and titanium on the mechanical properties and recrystallization behaviour of low carbon cold rolled and batch annealed HSLA steels. Mater. Sci. Eng. A. 2024, 918, 147424. [Google Scholar] [CrossRef]
- Zheng, Y.; Wang, K.; Yang, Q.; Lin, Y.; Zhu, L.; Wu, X.; Han, B.; Wang, B.; Zhang, D.; Feng, J.; et al. Research on the strengthening mechanism of Nb–Ti microalloyed ultra low carbon IF steel. J. Mater. Res. Technol. 2024, 30, 5785–5803. [Google Scholar] [CrossRef]
- Li, Y.; Jiang, Z.; Wang, P.; Li, D. Effect of austenitizing temperature on isothermal quenching microstructure and mechanical properties of 52100 bearing steel. Mater. Sci. Eng. A. 2024, 892, 146051. [Google Scholar] [CrossRef]
- Su, Y.; Miao, L.J.; Yu, X.F.; Liu, T.M.; Liu, L.; Liu, J.L. Effect of isothermal quenching on microstructure and hardness of GCr15 steel. J. Mater. Res. Technol. 2021, 15, 2820–2827. [Google Scholar] [CrossRef]
- Zhang, D.; Jiang, H.C.; Cui, Z.J.; Yan, D.S.; Song, Y.Y.; Rong, L.J. Synchronous improvement of mechanical properties and stress corrosion resistance by stress-aging coupled with natural aging pre-treatment in an Al-Zn-Mg alloy with high recrystallization fraction. J. Mater. Sci. Technol. 2022, 121, 40–51. [Google Scholar] [CrossRef]
- GB/T 15970.7-2017; Corrosion of Metals and Alloys—Stress Corrosion Testing—Part 7: Slow Strain Rate Testing. General Administration of Quality Supervision, Inspection and Quarantine of the People’s Republic of China, Standardization Administration of China: Beijing, China, 2017.
- ASTM D1141-98; Standard Practice for the Preparation of Substitute Ocean Water. American Society for Testing and Materials: West Conshohocken, PA, USA, 1998.
- Sun, X.Y.; Zhang, B.; Lin, H.Q.; Zhou, Y.T.; Sun, L.; Wang, J.Q.; Han, E.H.; Ke, W. Correlations between stress corrosion cracking susceptibility and grain boundary microstructures for an Al–Zn–Mg alloy. Corros. Sci. 2013, 77, 103–112. [Google Scholar] [CrossRef]
- Du, X.S.; Su, Y.J.; Li, J.X.; Qiao, L.J.; Chu, W.Y. Stress corrosion cracking of A537 steel in simulated marine environments. Corros. Sci. 2012, 65, 278–287. [Google Scholar] [CrossRef]
- Wang, Y.; Liu, B.; Pan, Q.; Zhao, J.; Zhao, X.; Sun, H.; Xu, D.; Yang, Z. Effect of austempering on mechanical properties of Nb/V microalloyed bainitic bearing steel. Crystals 2022, 12, 1001. [Google Scholar] [CrossRef]
- Zhou, Z.; Tan, J.; Guo, X.; Han, Z. Stress corrosion cracking of a high strength steel in organic salt drilling fluids. Mater. Test. 2020, 62, 277–284. [Google Scholar] [CrossRef]
- Das, A. Geometry of dimples and its correlation with mechanical properties in high-strength bainitic steel. Philos. Mag. 2024, 104, 421–451. [Google Scholar] [CrossRef]
- Zhu, L. Probing intergranular mixed transgranular stress corrosion cracking under the high constant load. Sci. Rep. 2022, 12, 12390. [Google Scholar] [CrossRef] [PubMed]
- Truschner, M.; Janda, A.; Bodner, S.C.; Keplinger, A.; Mori, G. Effect of cold deformation on the stress corrosion cracking resistance of a high-strength stainless steel. J. Mater. Sci. 2022, 57, 20447–20461. [Google Scholar] [CrossRef]
- Jia, C.; Shao, Y.; Guo, L.; Huang, H. Surface topography and stress concentration analysis for corroded high strength steel plate. J. Constr. Steel Res. 2021, 187, 106952. [Google Scholar] [CrossRef]
- Hajizad, O.; Kumar, A.; Li, Z.; Petrov, R.H.; Sietsma, J.; Dollevoet, R. Influence of microstructure on mechanical properties of bainitic steels in railway applications. Metals 2019, 9, 778. [Google Scholar] [CrossRef]
- Chen, H.; Lv, Z.; Lu, L.; Huang, Y.; Li, X. Correlation of micro-galvanic corrosion behavior with corrosion rate in the initial corrosion process of dual phase steel. J. Mater. Res. Technol. 2021, 15, 3310–3320. [Google Scholar] [CrossRef]
- Guo, H.; Li, Q.; Fan, Y.; Feng, X. Bainite transformation behavior, microstructural feature and mechanical properties of nanostructured bainitic steel subjected to ausforming with different strain. J. Mater. Res. Technol. 2020, 9, 9206–9218. [Google Scholar] [CrossRef]
- Jiang, J.; Zhao, M. Influence of residual stress on stress concentration factor for high strength steel welded joints. J. Constr. Steel Res. 2012, 72, 20–28. [Google Scholar] [CrossRef]
- Liu, W.; Liang, J.; Jiang, Y.; Zhang, B.; Zhao, A. A study of blocky retained austenite and properties under variously heat-treated ultra-fine bainitic steel. Mater. Res. Express 2019, 6, 105607. [Google Scholar] [CrossRef]
- Wang, J.J.; Sun, H.Q.; Wang, Y.H.; Harvey, C.M.; Zhao, L.J.; Zeng, H.T.; Zhang, X.L.; Li, Y.G.; Chen, Q.A. Effect of austempering temperatures on microstructure and mechanical properties of 52CrMoV4 spring steel. Mater. Des. 2025, 253, 113898. [Google Scholar] [CrossRef]
Disclaimer/Publisher’s Note: The statements, opinions and data contained in all publications are solely those of the individual author(s) and contributor(s) and not of MDPI and/or the editor(s). MDPI and/or the editor(s) disclaim responsibility for any injury to people or property resulting from any ideas, methods, instructions or products referred to in the content. |
© 2025 by the authors. Licensee MDPI, Basel, Switzerland. This article is an open access article distributed under the terms and conditions of the Creative Commons Attribution (CC BY) license (https://creativecommons.org/licenses/by/4.0/).










