Abstract
It has become a feasible green building development strategy to prepare recycled aggregate concrete (RAC) by processing construction and demolition (C&D) wastes into a recycled coarse aggregate (RCA). On the other hand, defects such as low strength and easy cracking of RAC seriously limit its application in construction materials. In this paper, RCA was strengthened by pre-coated nano-silica (NS) slurry to improve RAC performance. The effect of nano-modified recycled coarse aggregate (MRCA) on concrete compressive strength and chloride ion penetration after replacing ordinary RCA or natural coarse aggregate (NCA) was studied. The SEM, MIP and nano-indentation techniques were used to evaluate the effect of MRCA in concrete. The results show that the replacement of NCA with RCA or MRCA reduces the mechanical property and chloride ion penetration of concrete. Under the same conditions, the mechanical property and chloride ion penetration of nano-modified recycled aggregate concrete (MRAC) are better than those of RAC. Compared with RAC, the width of interface transition zone (ITZ) and indentation modulus of MRAC increased by 23.1% and 89.4%. This is mainly attributed to the filling effect of NS slurry, which reduces the number of pores and microfractures on the surface of RCA, and the pozzolanic effect of NS consumes part of calcium hydroxide to produce more calcium silicate hydrate gel, which improves the ITZ of RAC. In addition, the use of NS slurry pre-coating modified RCA has good economic and environmental benefits.
1. Introduction
With the acceleration of urbanization, more and more buildings are demolished or rebuilt, resulting in China’s annual production of construction and demolition (C&D) of up to 1.8 billion tons, and the utilization rate of resources is less than 5%. In addition to a small amount for engineering backfilling and recycling, most are still simply stacked. This takes up a lot of land resources and causes environmental pollution problems [1]. Previous reports show that construction waste can be processed into recycled aggregate for reusage. However, the old mortar attached to the surface of recycled coarse aggregate (RCA) directly affects the performance of recycled aggregate concrete (RAC) [2]. Because of its high-water absorption, low strength and high porosity, the mechanical properties of RAC are much lower than those of natural aggregate concrete (NAC). In addition, RCA has a negative impact on the durability of RAC [3].
Recently, numerous studies on strengthening RCA have been carried out. The results show that the modification methods of RCA mainly include removing old mortar and strengthening old mortar [1]. As far as removing old mortar is concerned, some scholars have found that mechanical grinding and heat treatment can significantly improve the characteristics of RCA [4]. The RCA modified by heat treatment enhances the compressive strength and durability of RAC. Akbarnezhad et al. [5] treated RCA using microwave technology, which made the old mortar on RCA surface embrittle and fall off, and effectively improved the mechanical properties of RAC. It is worth noting that mechanical or heat treatment is accompanied by high energy consumption in improving RCA quality, which is obviously against the concept of green development. The acid solution can remove the old mortar on the surface of recycled aggregate, thus improving the mechanical properties of RAC. However, acid treatment reduces the durability of RAC, and the waste acid solution is easy to pollute the environment [6]. On the other hand, some scholars used carbon dioxide to strengthen the RCAs [6]. Its mechanism is that the pores and cracks on the surface of RCA are filled with CaCO3 by the reaction of CO2 with calcium hydroxide or hydrated calcium silicate [7]. However, the research results of Pan et al. [8]. confirmed that carbonization treatment significantly enhanced the recycled aggregate made from freshly concrete in the laboratory. However, when the RCA obtained from C&D wastes was carbonized, the improvement effect of RAC performance was not obvious. Furthermore, it is also an effective method to pre-coating RCA with slurry. Kou and Poon. [9] indicated that the water absorption of the RCA was significantly decreased, and its apparent density increased obviously by pre-soaking RCA with 6–12% PVA. The compressive strength and durability of PVA modified RAC are close to those of NAC. Ho et al. [10] significantly improved the mechanical properties of RAC by pre-coating modified RCA with fly ash, granulated ground blast slag and PVA. The microstructure analysis shows that the ITZ’s porosity and width are decreased after the pre-coating modification. Hu et al. [2] found that compared with the RAC sample, the slurry pre-coating treatment can improve the quality of RCA and the performance of RAC. In general, the slurry pre-coating method is an environmentally friendly and effective method to improve RCA.
In recent years, nanomaterials have been widely used in cement-based materials, among which nano-silica (NS) has been favored for its excellent pozzolanic activity, crystal nucleation and micro aggregate filling [11,12]. Studies have shown that NS can enhance the mechanical properties and durability of concrete [13]. Mukharjee et al. [14] found that the compressive strength of RAC is obviously improved by adding 3% NS, together with the denser microstructure of ITZ. Compared with unmodified RAC, the RAC treated with NS showed lower porosity [15]. Mukharjee et al. [16] used statistical analysis to show that the content of RCA and NS had a significant impact on the mechanical properties, static elastic modulus, permeability, density, and pore volume of RAC. The mechanical properties and durability of RAC decrease with the increase in RCA content and increases with the increase in NS content [17]. Zhang et al. [18] studied the modification effect of NS slurry on the mechanical properties of RAC. In the test of structural beams, it was found that NS improves the crack resistance of RAC, mainly because NS slurry enhances the ITZ of RAC and strengthens the old mortar on the surface of RCA. However, the effect of NS on the durability of RAC was not discussed.
Currently, the research results of adding NS to RAC are abundant, mainly focusing on direct mixing, pre-soaking, and pre-spraying. However, there are few studies on preparing NS into cement slurry to wrap recycled aggregate. The effect of NS slurry-modified RCA on the microstructure evolution of recycled concrete is unknown. The strengthening mechanism of NS slurry also needs to be further explored. Meanwhile, in order to promote the effective use of RCA in the field of architecture, this paper proposes the use of three different types of coarse aggregate, including NCA, RCA and MRCA, to prepare RAC and study its compressive strength and chloride ion penetration. The mechanism of RCAs and MRCAs on RAC was analyzed at multiple scales. Scanning electron microscopy (SEM), the mercury intrusion porosimetry (MIP) method and the nanoindentation test were used to investigate the microstructure evolution of RAC matrix and ITZs.
2. Materials and Methods
2.1. Materials
P·O 42.5 ordinary Portland cement was used, and its chemical composition is shown in Table 1. NS is a transparent liquid from Hangzhou Hengna New Material Co., LTD, China. Table 2 gives the properties of NS. Figure 1 shows the TEM image of NS. RCA with diameters ranging from 5 mm to 20 mm was obtained from the C&D waste. The slurry with a water-binder ratio of 0.5 was prepared by mixing 4% NS and 96% cement, and then RCA and slurry were mixed in a ratio of 500:23. The slurry was stirred in a mixing bucket for 15 min, then placed in a curing room for 28 days, and the MRCA was obtained after air drying. Figure 2 shows the XRD pattern of the slurry. Hydration products of slurry mainly include Ca(OH)2, SiO2, CaCO3 and unhydrated cement clinker (CS). To ensure the same test conditions, the RCA curing condition and MRCA were the same and air dried before use. Table 3 shows the physical characteristics of the coarse aggregates. The fine aggregate is natural river sand, with a fineness module of 2.5, moisture content of 2.2% and an apparent density of 2580 kg/m3. The admixture uses a polycarboxylate superplasticizer (PS), and its water-reducing rate is 25%.
Table 1.
Chemical compositions of cement (%).
Table 2.
Physical characteristics of NS.
Figure 1.
TEM image of NS (From the merchant).
Figure 2.
XRD pattern of the slurry.
Table 3.
Properties of aggregate.
Three kinds of coarse aggregates are used to prepare concrete, among which NAC is the concrete prepared by NAC, RAC is the concrete prepared by RAC replacing NAC; MRAC1 means modified recycled aggregate replaces natural aggregate; MRAC2 represents the replacement of unmodified recycled aggregate by modified recycled aggregate. The water-cement ratio of concrete is kept as 0.4. In addition, this paper added additional water consumption according to the aggregate water absorption rate to allow the aggregate reach the surface saturation state to reduce the influence of aggregate water absorption on concrete performance. By adjusting the PS dosage, the RAC slump was kept in the range of 180~220 mm. Table 4 shows the mix ratio of RAC.
Table 4.
Mixture proportions of concretes (kg/m3).
2.2. Methods
2.2.1. Compressive Strength
The concrete steps of the compressive strength test conform to the Chinese standard GB/T 50081-2019. After mixing and pouring, the compressive strength test specimen (150 × 150 × 150 mm) was demolded after curing at room temperature for 24 h. Then, the samples were placed in a curing room (T = 20 ± 2 °C, RH > 95%) for 28 days and 91 days.
2.2.2. Chloride Ion Penetration
The test instrument voltage setting (30 ± 0.2) V, the initial current I0 was set at (30–60) mA, and the power on time was 24 h. The solution at the anode was 0.2 mol/L potassium hydroxide solution to ensure that the anode plate and the surface of the specimen were completely immersed in the solution, and the solution at the cathode was 0.2 mol/L potassium hydroxide solution containing 5% sodium chloride, and the liquid level of anode and cathode solution was kept flush. The voltage value, current value and initial temperature of the electrolyte were recorded every 2 h after the test. The concrete chloride diffusion coefficient calculation formula is as follows:
where DRCM,0 is the chloride diffusion coefficient of concrete (m2/s); T is the initial and final average temperature of the anodic electrolyte (K); h is the height of the specimen (m); Xd is chloride ion diffusion depth (m); t is power-on time (s); α is an auxiliary variable.
DRCM,0 = 2.872 × 10−6 Th[Xd − α(Xd)1/2]/t
α = 3.338 × 10−3 (Th)1/2
2.2.3. Microstructure Analysis
After the compressive strength test, small fragments inside the sample were taken for the SEM test to analyze the micro-morphology of the RAC ITZ. The pore structure of the sample was quantitatively analyzed by MIP (Quantchrorome POREMASTE 33, Florida, USA). The matrix near the aggregate from the crushed concrete sample was selected for MIP testing. The matrix size was less than 10 mm.
2.2.4. Nanoindentation Test
The preparation technology of nano-indentation samples is described in detail in the literature [19]. The transverse and vertical directions indentation spacing in the ITZs area of the sample was 5 μm, and the matrix distribution of indentation points in the area was 4 × 25 (Figure 3). For each ITZ region, the nano-indentation test was randomly performed to obtain the distribution of indentation modulus. The calculation formula of indentation modulus E has been introduced in detail in the published literature [20].
Figure 3.
Schematic diagrams of the grid nanoindentation area.
2.3. Economic and Environmental Impact Evaluations
The cost index (Cp, $/MPa·m3) and CO2 emission index (CI, kg/MPa·m3) are given to analyses RAC’s economic and environmental benefits. Cp and CI are calculated by the following formula [21]:
where, Cost is the total cost of one cubic meter of RAC ($/m3); fc is the compressive strength of RAC at 28 d (MPa). Cweight is the total weight of CO2 in one cubic meter of RAC (kg/m3). The price of NS is 680 $/ton, and the price of slurry is about 101.6 $/ton. Therefore, the price of MRCA is about 4.65 $/ton. Meanwhile, the costs of raw materials and carbon dioxide emissions are shown in Table 5.
Cp = Cost/fc
CI = Cweight/fc
Table 5.
Cost and carbon dioxide emissions of the raw materials.
3. Results and Discussions
3.1. Compressive Strength
It can be observed from Figure 4 that RCA has an obvious negative effect on the compressive strength of RAC. Compared with NAC, the compressive strength of RAC gradually decreases with the increase in RCAs content. As a result, the old mortar in RCAs forms a weak ITZ in fresh RAC [25], which is consistent with previous studies [26]. With the percentage of MRCAs replacing NCA increasing, the compressive strength of MRAC at different ages decreases. However, comparing with RAC with the same composition, the compressive strength of MRAC is improved, and the 28-day compressive strength of MRAC-100 and MRAC1-50 increased by 22.6% and 15.9%, respectively. When 50% MRCA replaces RCA, the compressive strength of MRCA2-50 sample is 9.1% higher than that of RAC-100. The changing trend of the 28-day compressive strength of concrete is similar to that of the 91-day compressive strength. However, it is worth noting that the enhancement effect of NS slurry decreases somewhat in the later stage of concrete. The 91-day compressive strength of MRAC-100 and MRAC1-50 increased by 19.9% and 12.5%, respectively, compared to RAC with the same composition. The above results show that the compressive strength of RAC is improved by pre-coasting RCA with 4%NS and 96% cement slurry. The main mechanism may be that the pores and microfractures on MRCA surface are filled with slurry containing NS, and the unhydrated NS particles occurred secondary reaction of hydration with the hydration products CH of the newly mixed cement, which significantly improves the ITZ of MRAC.
Figure 4.
Compressive strengths of RAC.
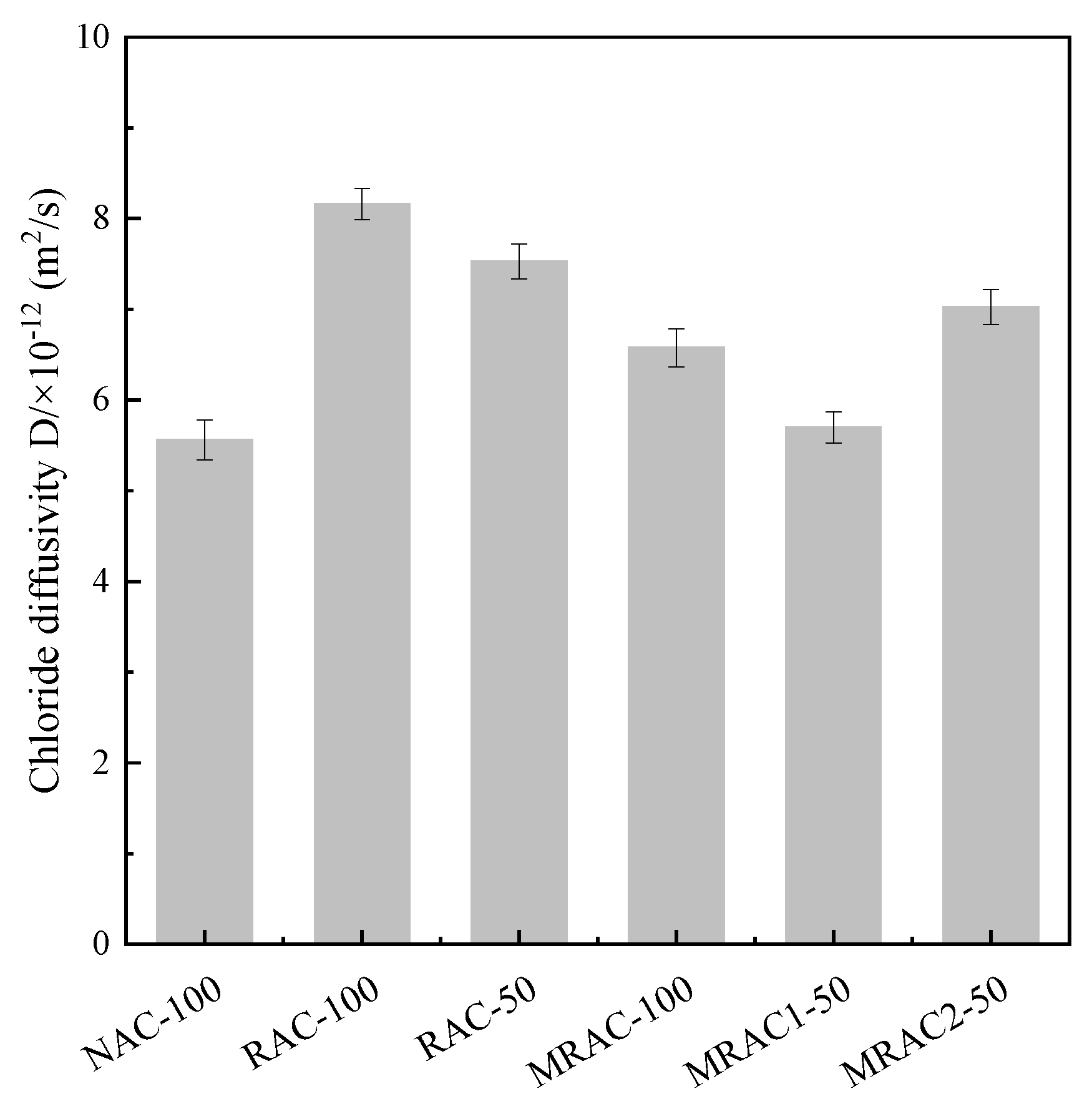
3.2. Chloride Ion Penetration
Figure 5 indicates the chloride ion penetration results of concrete samples at 28 days. It can be found that the chloride diffusivities of NAC-100 sample is 5.56 × 10−12 m2/s. The chloride diffusivities of the concretes enhanced with different proportions of RCA and MRCA replacement NCA. Compared with NAC-100, the chloride diffusivities of RAC samples with different replacement rates increased by 35.4~46.7%, while that of MRAC samples increased by 2.4~26.3%. This can be attributed to the increase in porosity between cement paste and aggregate and the weak ITZ, which reduces the penetration resistance of concrete to chloride ions. Notably, compared with RAC with the same composition, the chloride diffusivities of MRAC-100 and MRAC-1-50 samples decreased by 19.4% and 24.3%, respectively. When 50% MRCA replaces RCA, the chloride diffusivities of MRAC2-50 sample decreases by 13.9% compared with RAC-100 sample. The above results may be attributed to the fact that the modification of NS slurry improves the ITZ of concrete, hinders the penetration of chloride ions, and leads to a reduction in the diffusion coefficient of chloride ions.
Figure 5.
Chloride diffusivities of RAC at 28 days.
3.3. SEM Analysis
The microstructure of ITZ of different concrete samples was measured by SEM, as shown in Figure 6. In the NAC-100 sample, the microstructure near aggregate is dense (Figure 6a). There are a lot of microfractures and pores (Figure 6b,c) in the ITZ of RAC samples. However, compared with unmodified RAC, the number of microfractures and pores in ITZ microstructure of MRAC sample reduced after pre-coating with 4%NS and 96% cement paste (Figure 6d–f). The mechanism is as follows: NS slurry is wrapped on the surface of RCA, which leads to the filling of pores and microfractures in the old mortar [18]. Meanwhile, in freshly mixed RAC, NS reacts with calcium hydroxide to form C-S-H gel (as shown in Equations (5) and (6)) [27], which strengthens the ITZ of the RAC. These results can explain why the MRAC sample has higher compressive strength and lower chloride diffusivities than RAC with the same composition.
CaO + H2O = Ca(OH)2
SiO2 + xCa(OH)2 + mH2O = xCaO·SiO2·nH2O
Figure 6.
SEM images of different concretes at 28 d (a) NAC-100, (b) RAC-100, (c) RAC-50, (d) MRAC-100, (e) MRAC1-50, and (f) MRAC2-50.
3.4. MIP
Figure 7 shows the pore structure distribution of the concrete sample at 28d. According to previous literature studies [28,29], the pore categories mainly include harmless, less-harm, harmful and more-harmful pores, whose pore sizes range from < 20 nm, 20 to 50 nm, 50 to 200 nm and >200 nm, respectively. The total porosity of NAC-100, RAC-100 and MRAC-100 samples is 14.9%, 21.3% and 15.4%, respectively, while the change trend of concrete pore volume is the same as that of porosity, as shown in Table 6. More remarkably, compared with the RAC-100 sample, the number of harmful pores (>200 nm) in the MRAC-100 sample was reduced by 53.2%. Therefore, NS slurry modified the pore structure of matrix near aggregate, which corresponds to the results of compressive strength and chloride ion penetration of concrete.
Figure 7.
Pore size distribution of hardened pastes of the concrete at 28 days.
Table 6.
The porosity in varied pore size intervals for hardened pastes.
3.5. Nano-Indentation Analysis
Figure 8 shows the contour maps of indentation modulus distributions in ITZ for the NAC-100, RAC-100 and MRAC-100 samples. Nanoindentation technology is a continuous process of measuring the indentation modulus of the indentation point [29]. From Figure 8a, it can be clearly found that the nanoindentation test starts from NCA, goes through ITZ, and ends at the new matrix. The area adjacent to the NCA is blue, which means that the indentation modulus value of this area is low, which is consistent with previous results [2], indicating a weak area near the aggregate. In Figure 8b, the indentation modulus of the old mortar is significantly different from that of the new matrix, which means that the nanoindentation technique positively affects determining the ITZ region in RAC. Furthermore, the indentation area of MRAC-100 covers the old mortar, NS slurry coating layer, ITZ and new mortar layer (Figure 8c).
Figure 8.
Contour maps for the ITZs (a) NAC-100, (b) RAC-100, and (c) MRAC-100.
Figure 9 shows the ITZ width and indentation modulus of specimens NAC-100, RAC-100 and MRAC-100. It can be found from the figure that the ITZ widths of the NAC-100, Rac-100 and MRAC-100 samples are 45 μm, 65 μm and 50 μm, respectively. In terms of indentation modulus, the average ITZ indentation modulus of the NAC-100 sample is 21.5 GPa. With the replacement of NCA with RCA, the average indentation modulus of ITZ decreases by 47.4%, while the nano-modified treatment increases the average indentation modulus of ITZ from 11.3 GPa to 21.4 GPa, which is close to that of NAC-100. More notably, compared with the NAC-100 sample, the average indentation modulus of the new matrix of the RAC-100 sample is 22.7 GPa, which is 20% lower. However, the average indentation modulus of the new matrix of the MRAC-100 sample is 26.3 GPa, which is 15.9% higher than that of the RAC-100 sample.
Figure 9.
Distributions of modulus for the ITZs (a) NAC-100, (b) RAC-100, and (c) MRAC-100.
Therefore, the mechanism of the effects of nanomaterials on RAC are described as follows: (1) Nucleation effect. NS on the surface of RCA provides nucleation sites for cement hydration, which causes more C-S-H gels to gather near RCA [18,27], strengthening the ITZ region of the RAC. (2) Filling effect. The particle size of silica nanoparticles is 0–20 nm, which is significantly lower than that of cement particles. In addition, the cement paste can fill the pores and micro-cracks on the surface of the RCA and play a role in strengthening the RCA (Figure 6). The MIP test results confirmed that the porosity of the matrix near the aggregate in the modified RAC with NS slurry was lower than that of the unmodified RAC (Figure 7 and Table 6). Meanwhile, by comparing Figure 9b,c, it can be found that the number of indentation points less than 12 GPa modulus in the ITZ of RAC modified with NS slurry was less than that of unmodified RAC. In general, the modulus of the pores is lower than 12 GPa [21,25]. These results imply that NS slurry improves the pore structure of the ITZ in RAC. In addition, similar conclusions have been obtained in other literature. Zhang et al. [18] studied that the NS slurry enhanced the new ITZ between the old and new mortars in RAC, and surface-strengthened the old mortar. They thought that the enhancement effect of NS slurry was related to its filling and pozzolanic effect. Li et al. [30] found that after spraying or soaking NS suspension on the surface of RA, part of the NS suspension penetrated the porous surface layer of RA, of which the thickness was about 200 μm. (3) Pozzolanic effect. XRD images of the slurry confirmed the existence of partial NS in the slurry (Figure 2). NS reacts with calcium hydroxide in a secondary hydration reaction to produce C-S-H gels [31,32].
3.6. Economic and Environmental Assessment
Figure 10a shows the strength-normalized cost of RAC (Cp, $/MPa·m3). It can be found that NAC-100 has the lowest Cp value. The cost of RCA is low, but the compressive strength of RAC samples is obviously reduced by adding RCA at 28d, leading to the increase in the Cp value of RAC. It is worth noting that the Cp value of MRAC-100 sample is slightly higher than that of NAC-100 sample. Compared with RAC-100, the Cp values of MRAC-100, MRAC1-50 and MRAC2-50 samples decreased by 9.0%, 9.5% and 3.5%, respectively. The slightly higher cost of MRAC than NAC is mainly attributed to the higher price of NS. However, the application of MRAC is beneficial in reducing the expenses incurred by RCA landfills. Compared with the RAC sample, MRAC showed an excellent economic effect and higher compressive strength under the same conditions [33].
Figure 10.
The cost and environmental impact assessment of the concrete. (a) Cp, (b) CI.
The environmental effect of RAC is shown in Figure 10b. It can be found that the changing trend of CI value is similar to that of Cp value. The NAC-100 sample showed the lowest CI value. The CI value of MRAC sample is lower than that of RAC sample with the same composition. Compared with the NAC-100 sample, the CI value of MRCA sample is improved. However, compared with RAC-100 and RAC-50 with the same composition, the CI values of MRAC-100 and MRAC-50 samples decreased by 18.4% and 13.7%, respectively. Therefore, using MRCA as a substitute for RCA can obviously reduce the carbon footprint of RAC, which not only has a good environmental effect, but also reduces the consumption of non-renewable energy resources [34,35].
4. Conclusions
This paper studied the effects of NS-impregnated pre-coating RCA on the compressive strength and chloride ion penetration of RAC. SEM, MIP, and nano-indentation technology were used to explore the microstructure evolution of nano-modified concrete. This study concludes as follows:
- (1)
- MRCAs can be used instead of RCAs in concrete. Compared with RAC with the same composition at different ages, the compressive strength of MRAC samples was increased by 12.5~22.6%. However, the compressive strength of MRCA-100 at different ages is still lower than that of NAC-100.
- (2)
- Compared with RAC with the same composition, the chloride diffusivities of MRAC-100 and MRAC-1-50 samples decreased by 19.4% and 24.3%, respectively. Similarly, when MRCA replaces 50% RCA, MRAC2-50 shows lower chloride diffusivities than RAC-100.
- (3)
- SEM and MIP results show that compared with RAC with the same composition, the microstructure of MRAC near ITZ is denser and the porosity is lower. This is mainly due to the fact that NS slurry filled the pores and microfracture on RCA surface, and the secondary hydration reaction between unreacted NS and the hydration product calcium hydroxide of fresh cement produced more C-S-H gel to fill the pores in ITZ.
- (4)
- Nanoindentation tests demonstrated that ITZs had the lowest indentation modulus in concrete, suggesting that ITZs had a negative effect on concrete performance. Compared with the ITZ in the RAC-100 sample, the ITZ width of MRAC-100 sample decreased by about 23.1%, and the average indentation modulus of ITZ and new mortar increased by 89.4% and 15.9%, respectively.
- (5)
- Compared with ordinary RAC, NS slurry improves the economic and environmental benefits of RAC and is similar to NAC. In addition, the use of MRCA can reduce the consumption of non-renewable resources.
Author Contributions
Conceptualization, H.S. and Z.Y.; methodology, H.S.; writing—original draft preparation, H.S.; writing—review and editing, Z.Y.; visualization, Z.Y.; supervision, H.S.; project administration, H.S.; funding acquisition, H.S. All authors have read and agreed to the published version of the manuscript.
Funding
This work was financially supported by the National Natural Science Foundation of China (41572305), Construction Research Project of Zhejiang Province (2019K148), General Research Project of Education Department of Zhejiang Province (Y201941058).
Data Availability Statement
No data, models, or code were generated or used during the study.
Acknowledgments
The authors are grateful for the financial support from the National Natural Science Foundation of China.
Conflicts of Interest
The authors declare no conflict of interest.
References
- Xu, Y.; Jin, R.; Hu, L.; Li, B.; Chen, W.; Shen, J.; Wu, P.; Fang, J. Studying the mix design and investigating the photocatalytic performance of pervious concrete containing TiO2-Soaked recycled aggregates. J. Clean. Prod. 2020, 248, 119281. [Google Scholar] [CrossRef]
- Hu, H.; He, Z.; Fan, K.; Shibro, T.; Liu, B.; Shi, J. Properties enhancement of recycled coarse aggregates by pre-coating/pre-soaking with zeolite powder/calcium hydroxide. Constr. Build. Mater. 2021, 286, 122888. [Google Scholar] [CrossRef]
- Zhan, P.; He, Z. Application of shrinkage reducing admixture in concrete: A review. Constr. Build. Mater. 2019, 201, 676–690. [Google Scholar] [CrossRef]
- Li, W.; Jiang, T.; Jin, R.; Xu, Y. Optimization of the preparation process of Fair-Faced concrete incorporating recycled aggregates. Constr. Build. Mater. 2022, 326, 126908. [Google Scholar] [CrossRef]
- Akbarnezhad, A.; Ong, K.C.G.; Zhang, M.H.; Tam, C.T.; Foo, T.W.J. Microwave-assisted beneficiation of recycled concrete aggregates. Constr. Build. Mater. 2011, 25, 3469–3479. [Google Scholar] [CrossRef]
- Wang, B.; Yan, L.; Fu, Q.; Kasal, B. A Comprehensive Review on Recycled Aggregate and Recycled Aggregate Concrete. Resour. Conserv. Recycl. 2021, 171, 105565. [Google Scholar] [CrossRef]
- Zhang, J.; Shi, C.; Li, Y.; Pan, X.; Poon, C.-S.; Xie, Z. Performance Enhancement of Recycled Concrete Aggregates through Carbonation. J. Mater. Civ. Eng. 2015, 27, 04015029. [Google Scholar] [CrossRef]
- Xu, Y.; Song, Y. Chemical-mechanical transformation of the expansion effect for nonuniform steel corrosion and its application in predicting the concrete cover cracking time. Cem. Concr. Compos. 2022, 127, 104376. [Google Scholar] [CrossRef]
- Kou, S.; Poon, C. Properties of concrete prepared with PVA-impregnated recycled concrete aggregates. Cem. Concr. Compos. 2010, 32, 649–654. [Google Scholar] [CrossRef]
- Ho, H.; Huang, R.; Lin, W.; Cheng, A. Pore-structures and durability of concrete containing pre-coated fine recycled mixed aggregates using pozzolan and polyvinyl alcohol materials. Constr. Build. Mater. 2018, 160, 278–292. [Google Scholar] [CrossRef]
- Xu, J.; Wang, B.; Zuo, J. Modification effects of nanosilica on the interfacial transition zone in concrete: A multiscale approach. Cem. Concr. Compos. 2017, 81, 1–10. [Google Scholar] [CrossRef]
- He, Z.; Shen, M.; Shi, J.; Yalçınkaya, C.; Du, S.; Yuan, Q. Recycling coral waste into eco-friendly UHPC: Mechanical strength, microstructure, and environmental benefits. Sci. Total. Environ. 2015, 61, 7–17. [Google Scholar] [CrossRef]
- Xu, Y.; Zeng, J.; Chen, W.; Jin, R.; Li, B.; Pan, Z. A holistic review of cement composites reinforced with graphene oxide. Constr. Build. Mater. 2018, 171, 291–302. [Google Scholar] [CrossRef]
- Mukharjee, B.B.; Barai, S.V. Influence of incorporation of nano-silica and recycled aggregates on compressive strength and microstructure of concrete. Constr. Build. Mater. 2014, 71, 570–578. [Google Scholar] [CrossRef]
- Zhan, P.; He, Z.; Ma, Z.; Liang, C.; Zhang, X.; Abreham, A.A.; Shi, J. Utilization of nano-metakaolin in concrete: A review. J. Build. Eng. 2020, 30, 101259. [Google Scholar] [CrossRef]
- Mukharjee, B.B.; Barai, S.V. Statistical techniques to analyze properties of nano-engineered concrete using Recycled Coarse Aggregates. J. Clean. Prod. 2014, 83, 273–285. [Google Scholar] [CrossRef]
- Zheng, Y.; Zhuo, J.; Zhang, P. A review on durability of nano-SiO2 and basalt fiber modified recycled aggregate concrete. Constr. Build. Mater. 2021, 304, 124659. [Google Scholar] [CrossRef]
- Zhang, H.; Zhao, Y.; Meng, T.; Shah, S.P. The modification effects of a nano-silica slurry on microstructure, strength, and strain development of recycled aggregate concrete applied in an enlarged structural test. Constr. Build. Mater. 2015, 95, 721–735. [Google Scholar] [CrossRef]
- Yeke, L.; Yu, Z. Effect of graphene oxide on mechanical properties of UHPC and analysis of micro-control mechanism. Mater. Res. Express 2021, 8, 095001. [Google Scholar] [CrossRef]
- Xu, J.; Corr, D.J.; Shah, S.P. Nanomechanical investigation of the effects of nanoSiO(2) on C-S-H gel/cement grain interfaces. Cem. Concr. Compos. 2015, 61, 7–17. [Google Scholar] [CrossRef]
- Zhan, P.; Zhang, X.; He, Z.; Shi, J.; Gencel, O.; Hai Yen, N.T.; Wang, G. Strength, microstructure and nanomechanical properties of recycled aggregate concrete containing waste glass powder and steel slag powder. J. Clean. Prod. 2022, 341, 130892. [Google Scholar] [CrossRef]
- Ali, B.; Qureshi, L.A.; Khan, S.U. Flexural behavior of glass fiber-reinforced recycled aggregate concrete and its impact on the cost and carbon footprint of concrete pavement. Constr. Build. Mater. 2020, 262, 120820. [Google Scholar] [CrossRef]
- Yang, K.H.; Jung, Y.B.; Cho, M.S.; Tae, S.H.; Nazari, A.; Sanjayan, J.G. Effect of Supplementary Cementitious Materials on Reduction of CO2 Emissions from Concrete. J. Clean. Prod. 2015, 103, 774–783. [Google Scholar] [CrossRef]
- Cantero, B.; Bravo, M.; de Brito, J.; Saez del Bosque, I.F.; Medina, C. Mechanical behaviour of structural concrete with ground recycled concrete cement and mixed recycled aggregate. J. Clean. Prod. 2020, 275, 122913. [Google Scholar] [CrossRef]
- Hu, H.-B.; He, Z.-H.; Shi, J.-Y.; Liang, C.-F.; Shibro, T.-G.; Liu, B.-J.; Yang, S.-Y.-B.; He, Z.-H.; Shi, J.-Y.; Liang, C.-F.; et al. Mechanical properties, drying shrinkage, and nano-scale characteristics of concrete prepared with zeolite powder pre-coated recycled aggregate. J. Clean. Prod. 2021, 319, 128710. [Google Scholar] [CrossRef]
- Lu, B.; Shi, C.; Cao, Z.; Guo, M.; Zheng, J. Effect of carbonated coarse recycled concrete aggregate on the properties and microstructure of recycled concrete. J. Clean. Prod. 2019, 233, 421–428. [Google Scholar] [CrossRef]
- Zhan, P.; Xu, J.; Wang, J.; Zuo, J.; He, Z. A review of recycled aggregate concrete modified by nanosilica and graphene oxide: Materials, performances and mechanism. J. Clean. Prod. 2022, 375, 134116. [Google Scholar] [CrossRef]
- Zhan, P.; Xu, J.; Wang, J.; Jiang, C. Multi-scale study on synergistic effect of cement replacement by metakaolin and typical supplementary cementitious materials on properties of ultra-high performance concrete. Constr. Build. Mater. 2021, 307, 125082. [Google Scholar] [CrossRef]
- He, Z.; Zhan, P.; Du, S.; Liu, B.; Yuan, W. Creep behavior of concrete containing glass powder. Compos. Part B-Eng. 2019, 166, 13–20. [Google Scholar] [CrossRef]
- Li, L.; Xuan, D.; Sojobi, A.O.; Liu, S.; Chu, S.H.; Poon, C.S. Development of nano-silica treatment methods to enhance recycled aggregate concrete. Cem. Concr. Compos. 2021, 118, 103963. [Google Scholar] [CrossRef]
- Hou, P.; Kawashima, S.; Wang, K.; Corr, D.J.; Qian, J.; Shah, S.P. Effects of colloidal nanosilica on rheological and mechanical properties of fly ash-cement mortar. Cem. Concr. Compos. 2013, 35, 12–22. [Google Scholar] [CrossRef]
- Yang, H.; Monasterio, M.; Zheng, D.; Cui, H.; Tang, W.; Bao, X.; Chen, X. Effects of nano silica on the properties of cement-based materials: A comprehensive review. Constr. Build. Mater. 2021, 282, 122715. [Google Scholar] [CrossRef]
- Xiang, T.; Liu, J.; Lv, Z.; Wei, F.; Liu, Q.; Zhang, Y.; Ren, H.; Zhou, S.; Chen, D. The effect of silicon-based waterproof agent on the wettability of superhydrophobic concrete and enhanced corrosion resistance. Constr. Build. Mater. 2021, 313, 125482. [Google Scholar] [CrossRef]
- Xiang, T.; Chen, D.; Lv, Z.; Yang, Z.; Yang, L.; Li, C. Robust superhydrophobic coating with superior corrosion resistance. J. Alloy. Compd. 2019, 798, 320–325. [Google Scholar] [CrossRef]
- Dimitriou, G.; Savva, P.; Petrou, M.F. Enhancing mechanical and durability properties of recycled aggregate concrete. Constr. Build. Mater. 2018, 158, 228–235. [Google Scholar] [CrossRef]
Publisher’s Note: MDPI stays neutral with regard to jurisdictional claims in published maps and institutional affiliations. |
© 2022 by the authors. Licensee MDPI, Basel, Switzerland. This article is an open access article distributed under the terms and conditions of the Creative Commons Attribution (CC BY) license (https://creativecommons.org/licenses/by/4.0/).









