Study on the Effect of Vegetation Coverage on Urban Cooling and Energy Conservation: A Case Study of a Typical Hilly City, Chenzhou, China
Abstract
:1. Introduction
2. Materials and Methods
2.1. Framework of this Study
2.2. Data and Methods
2.2.1. Data Resources
2.2.2. Inversion of Surface Temperature and Vegetation Coverage
3. Data Collection and Data Integration
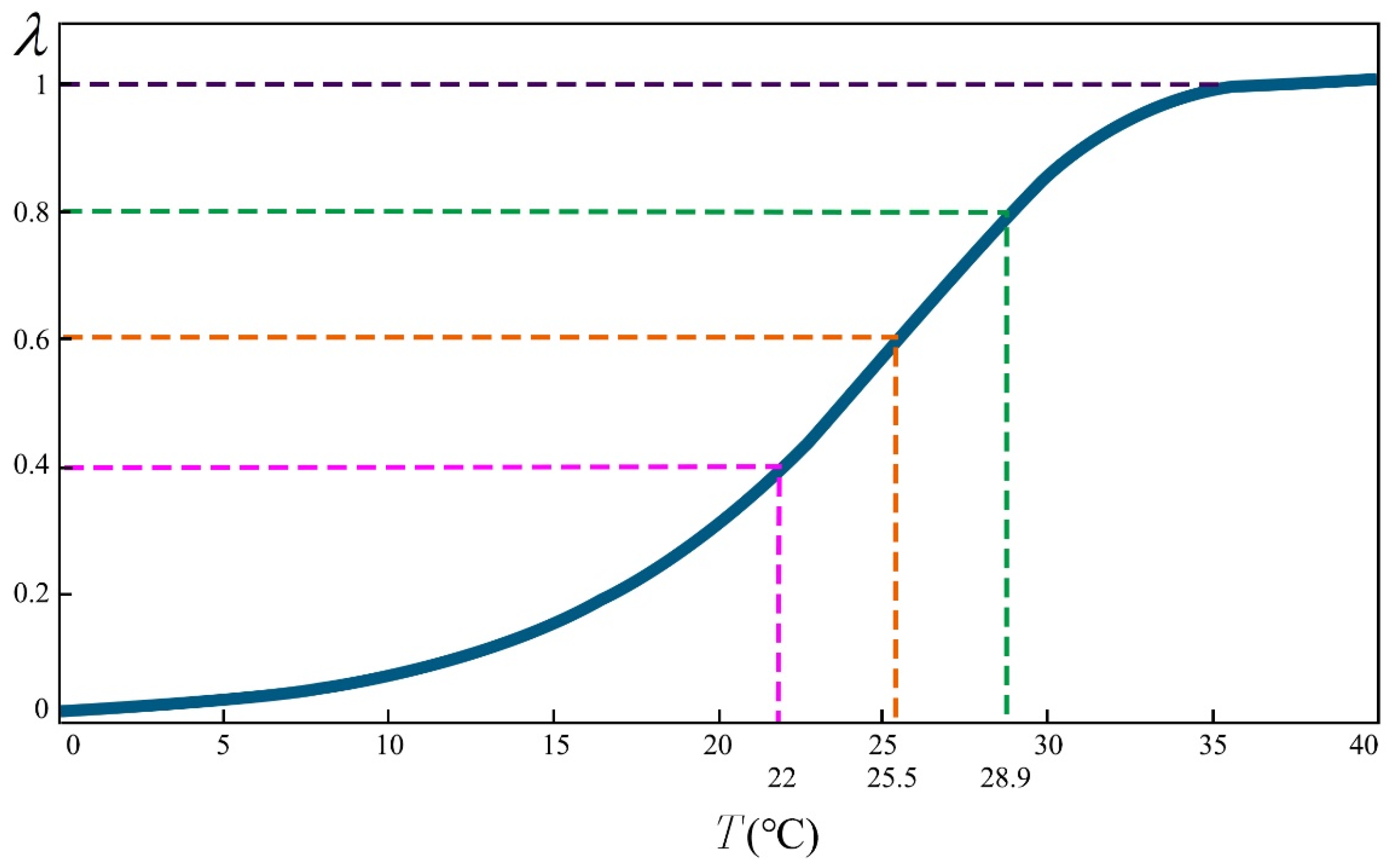
4. Effect on Energy Conservation
5. Conclusions
- (1)
- Although there is a close relationship between land surface temperature and the air temperature around the surface, the temperature in the “λ-T” model is not the land surface temperature, which may reduce the accuracy of the conclusion. The follow-up research will be carried out on the topic of land surface temperature and air temperature around the land surface.
- (2)
- The samples analyzed in this study are 26 districts of the city. More samples will be studied in the follow-up study to strengthen the universality of the conclusions.
Author Contributions
Funding
Institutional Review Board Statement
Informed Consent Statement
Data Availability Statement
Acknowledgments
Conflicts of Interest
References
- Balsa-Barreiro, J.; Li, Y.; Morales, A. Globalization and the shifting centers of gravity of world’s human dynamics: Implications for sustainability. J. Clean. Prod. 2019, 239, 117923. [Google Scholar] [CrossRef]
- Liu, H.; Fang, C.; Miao, Y.; Ma, H.; Zhang, Q.; Zhou, Q. Spatio-temporal evolution of population and urbanization in the countries along the Belt and Road 1950–2050. J. Geogr. Sci. 2018, 28, 919–936. [Google Scholar] [CrossRef] [Green Version]
- Hu, Y.; Peng, L.; Li, X.; Yao, X.; Lin, H.; Chi, T. A novel evolution tree for analyzing the global energy consumption structure. Energy 2018, 147, 1177–1187. [Google Scholar] [CrossRef]
- Doygun, H.; Alphan, H. Monitoring urbanization of Iskenderun, Turkey, and its negative implications. Environ. Monit. Assess. 2006, 114, 145–155. [Google Scholar] [CrossRef] [PubMed]
- Zhang, X.; Han, L.; Wei, H.; Tan, X.; Zhou, W.; Li, W.; Qian, Y. Linking urbanization and air quality together: A review and a perspective on the future sustainable urban development. J. Clean. Prod. 2022, 346, 130988. [Google Scholar] [CrossRef]
- Byomkesh, T.; Nakagoshi, N.; Dewan, A.M. Urbanization and green space dynamics in Greater Dhaka, Bangladesh. Landsc. Ecol. Eng. 2012, 8, 45–58. [Google Scholar] [CrossRef]
- Yu, Z.; Wang, Y.; Deng, J.; Shen, Z.; Wang, K.; Zhu, J.; Gan, M. Dynamics of hierarchical urban green space patches and implications for management policy. Sensors 2017, 17, 1304. [Google Scholar] [CrossRef] [Green Version]
- Kaloustian, N.; Diab, Y. Effects of urbanization on the urban heat island in Beirut. Urban Clim. 2015, 14, 154–165. [Google Scholar] [CrossRef]
- Lai, D.; Liu, W.; Gan, T.; Liu, K.; Chen, Q. A review of mitigating strategies to improve the thermal environment and thermal comfort in urban outdoor spaces. Sci. Total Environ. 2019, 661, 337–353. [Google Scholar] [CrossRef]
- Yan, H.; Wu, F.; Dong, L. Influence of a large urban park on the local urban thermal environment. Sci. Total Environ. 2018, 622, 882–891. [Google Scholar] [CrossRef]
- Hardin, P.J.; Jensen, R.R. The effect of urban leaf area on summertime urban surface kinetic temperatures: A terre haute case study. Urban For. Urban Green. 2007, 6, 63–72. [Google Scholar] [CrossRef]
- Hermosilla, T.; Wulder, M.A.; White, J.C.; Coops, N.C.; Hobart, G.W. Disturbance-informed annual land cover classification maps of Canada’s forested ecosystems for a 29-year landsat time series. Can. J. Remote Sens. 2018, 44, 67–87. [Google Scholar] [CrossRef]
- Lu, Y.; Coops, N.C.; Hermosilla, T. Estimating urban vegetation fraction across 25 cities in pan-Pacific using Landsat time series data. ISPRS J. Photogramm. Remote Sens. 2017, 126, 11–23. [Google Scholar] [CrossRef]
- Hermosilla, T.; Ruiz, L.; Recio, J.; Cambra-López, M. Assessing contextual descriptive features for plot-based classification of urban areas. Landsc. Urban Plan. 2012, 106, 124–137. [Google Scholar] [CrossRef] [Green Version]
- Wilson, J.S.; Clay, M.; Martin, E.; Stuckey, D.; Vedder-Risch, K. Evaluating environmental influences of zoning in urban ecosystems with remote sensing. Remote Sens. Environ. 2003, 86, 303–321. [Google Scholar] [CrossRef]
- Weng, Q.; Lu, D.; Schubring, J. Estimation of land surface temperature–vegetation abundance relationship for urban heat island studies. Remote Sens. Environ. 2004, 89, 467–483. [Google Scholar] [CrossRef]
- Tran, H.; Uchihama, D.; Ochi, S.; Yasuoka, Y. Assessment with satellite data of the urban heat island effects in Asian mega cities. Int. J. Appl. Earth Obs. Geoinf. 2006, 8, 34–48. [Google Scholar] [CrossRef]
- Liao, J.; Tan, X.; Li, J. Evaluating the vertical cooling performances of urban vegetation scenarios in a residential environment. J. Build. Eng. 2021, 39, 102313. [Google Scholar] [CrossRef]
- Srivanit, M.; Hokao, K. Evaluating the cooling effects of greening for improving the outdoor thermal environment at an institutional campus in the summer. Build. Environ. 2013, 66, 158–172. [Google Scholar] [CrossRef]
- Shi, D.; Song, J.; Huang, J.; Zhuang, C.; Guo, R.; Gao, Y. Synergistic cooling effects (SCEs) of urban green-blue spaces on local thermal environment: A case study in Chongqing, China. Sustain. Cities Soc. 2020, 55, 102065. [Google Scholar] [CrossRef]
- Cai, Y.; Chen, Y.; Tong, C. Spatiotemporal evolution of urban green space and its impact on the urban thermal environment based on remote sensing data: A case study of Fuzhou City, China. Urban For. Urban Green. 2019, 41, 333–343. [Google Scholar] [CrossRef]
- Ko, Y. Trees and vegetation for residential energy conservation: A critical review for evidence-based urban greening in North America. Urban For. Urban Green. 2018, 34, 318–335. [Google Scholar] [CrossRef]
- Li, J.; Zheng, B.; Shen, W.; Xiang, Y.; Chen, X.; Qi, Z. Cooling and energy-saving performance of different green wall design: A simulation study of a block. Energies 2019, 12, 2912. [Google Scholar] [CrossRef] [Green Version]
- Roy, D.P.; Wulder, M.A.; Loveland, T.R.; Woodcock, C.E.; Allen, R.G.; Anderson, M.C.; Helder, D.; Irons, J.R.; Johnson, D.M.; Kennedy, R. Landsat-8: Science and product vision for terrestrial global change research. Remote Sens. Environ. 2014, 145, 154–172. [Google Scholar] [CrossRef] [Green Version]
- Geospatial Data Cloud. Available online: http://www.gscloud.cn (accessed on 15 May 2021).
- Li, Y.; Yang, K.; Yang, R. Land Surface Temperature Estimation from Remote Sensing Data—A Case Study in Kun Ming City. In Proceedings of the 2015 23rd International Conference on Geoinformatics, Wuhan, China, 19–21 June 2015; pp. 1–6. [Google Scholar]
- Zheng, B.; Li, J.; Chen, X.; Liu, L.; Li, Z. Study on the Efficiency of Cool Island Effect in Urban Channel Water. In Proceedings of the 2018 3rd International Conference on Smart City and Systems Engineering (ICSCSE), Xiamen, China, 29–30 December 2018; pp. 140–145. [Google Scholar]
- Sobrino, J.A.; Jiménez-Muñoz, J.C.; Paolini, L. Land surface temperature retrieval from LANDSAT TM 5. Remote Sens. Environ. 2004, 90, 434–440. [Google Scholar] [CrossRef]
- Li, H. Detection distance calculation model of flying target and atmospheric influence analysis. Optik 2017, 129, 248–255. [Google Scholar] [CrossRef]
- Atmospheric Correction Parameter Calculator. Available online: http://atmcorr.gsfc.nasa.gov/ (accessed on 25 May 2021).
- Hadjimitsis, D.G.; Clayton, C.R. The use of an improved atmospheric correction algorithm for removing atmospheric effects from remotely sensed images using an atmosphere–surface simulation and meteorological data. Meteorol. Appl. J. Forecast. Pract. Appl. Train. Tech. Model. 2008, 15, 381–387. [Google Scholar] [CrossRef]
- Buytaert, W.; Celleri, R.; Willems, P.; De Bievre, B.; Wyseure, G. Spatial and temporal rainfall variability in mountainous areas: A case study from the south Ecuadorian Andes. J. Hydrol. 2006, 329, 413–421. [Google Scholar] [CrossRef]
- Rosenfeld, A.H.; Akbari, H.; Bretz, S.; Fishman, B.L.; Kurn, D.M.; Sailor, D.; Taha, H. Mitigation of urban heat islands: Materials, utility programs, updates. Energy Build. 1995, 22, 255–265. [Google Scholar] [CrossRef]
- Li, C.; Zhou, J.; Cao, Y.; Zhong, J.; Liu, Y.; Kang, C.; Tan, Y. Interaction between urban microclimate and electric air-conditioning energy consumption during high temperature season. Appl. Energy 2014, 117, 149–156. [Google Scholar] [CrossRef]







| No | ST (°C) | VC | No | ST (°C) | VC | No | ST (°C) | VC |
|---|---|---|---|---|---|---|---|---|
| 1 | 32.2273 | 0.4463 | 10 | 36.3274 | 0.1396 | 19 | 32.5020 | 0.4506 |
| 2 | 34.8395 | 0.1774 | 11 | 35.3807 | 0.1281 | 20 | 33.0571 | 0.3688 |
| 3 | 34.7336 | 0.2951 | 12 | 35.0846 | 0.1284 | 21 | 31.5379 | 0.4849 |
| 4 | 34.6917 | 0.1893 | 13 | 33.9371 | 0.2618 | 22 | 33.6529 | 0.2697 |
| 5 | 35.5906 | 0.1842 | 14 | 33.2060 | 0.3292 | 23 | 33.8655 | 0.3906 |
| 6 | 35.7338 | 0.1306 | 15 | 34.1990 | 0.3018 | 24 | 33.8203 | 0.4010 |
| 7 | 32.1797 | 0.4612 | 16 | 31.3097 | 0.5457 | 25 | 34.0082 | 0.3836 |
| 8 | 33.3703 | 0.2960 | 17 | 33.8162 | 0.3398 | 26 | 33.0308 | 0.2034 |
| 9 | 35.4977 | 0.1600 | 18 | 32.0618 | 0.4616 |
| Descriptive Statistics | |||
| Mean | Std. Deviation | N | |
| Vegetation coverage | 0.30495881 | 0.127784197 | 26 |
| Temperature | 33.83313469 | 1.358457073 | 26 |
| Correlations | |||
| Vegetation coverage | Temperature | ||
| Vegetation coverage | Pearson Correlation | 1 | −0.892 |
| Sig.(2-tailed) | 0 | ||
| N | 26 | 26 | |
| Temperature | Pearson Correlation | −0.892 | 1 |
| Sig.(2-tailed) | 0 | ||
| N | 26 | 26 | |
Publisher’s Note: MDPI stays neutral with regard to jurisdictional claims in published maps and institutional affiliations. |
© 2022 by the authors. Licensee MDPI, Basel, Switzerland. This article is an open access article distributed under the terms and conditions of the Creative Commons Attribution (CC BY) license (https://creativecommons.org/licenses/by/4.0/).
Share and Cite
Luo, X.; Wang, J.; Li, J. Study on the Effect of Vegetation Coverage on Urban Cooling and Energy Conservation: A Case Study of a Typical Hilly City, Chenzhou, China. Buildings 2022, 12, 640. https://doi.org/10.3390/buildings12050640
Luo X, Wang J, Li J. Study on the Effect of Vegetation Coverage on Urban Cooling and Energy Conservation: A Case Study of a Typical Hilly City, Chenzhou, China. Buildings. 2022; 12(5):640. https://doi.org/10.3390/buildings12050640
Chicago/Turabian StyleLuo, Xi, Jingwei Wang, and Jiayu Li. 2022. "Study on the Effect of Vegetation Coverage on Urban Cooling and Energy Conservation: A Case Study of a Typical Hilly City, Chenzhou, China" Buildings 12, no. 5: 640. https://doi.org/10.3390/buildings12050640
APA StyleLuo, X., Wang, J., & Li, J. (2022). Study on the Effect of Vegetation Coverage on Urban Cooling and Energy Conservation: A Case Study of a Typical Hilly City, Chenzhou, China. Buildings, 12(5), 640. https://doi.org/10.3390/buildings12050640
