Flexural Behaviour of Lightweight Reinforced Concrete Beams Internally Reinforced with Welded Wire Mesh
Abstract
1. Introduction
2. Material Properties
2.1. Cement
2.2. Fly Ash
2.3. Aggregates
2.4. Expanded Clay Aggregate
2.5. Welded Wire Mesh
2.6. Concrete Mix Preparation
3. Experimental Setup
3.1. Specimen Details
3.2. Casting of Beams
3.3. Curing of Concrete
3.4. Loading Setup
4. Result and Discussions
4.1. General
4.2. Structural Observation
4.3. Comparison of NWC and LWC Beam
4.3.1. Failure Modes
4.3.2. Load vs. Deflection
4.4. Comparison of WWM Reinforced LWC Beams to LWC Beam
4.4.1. Failure Modes
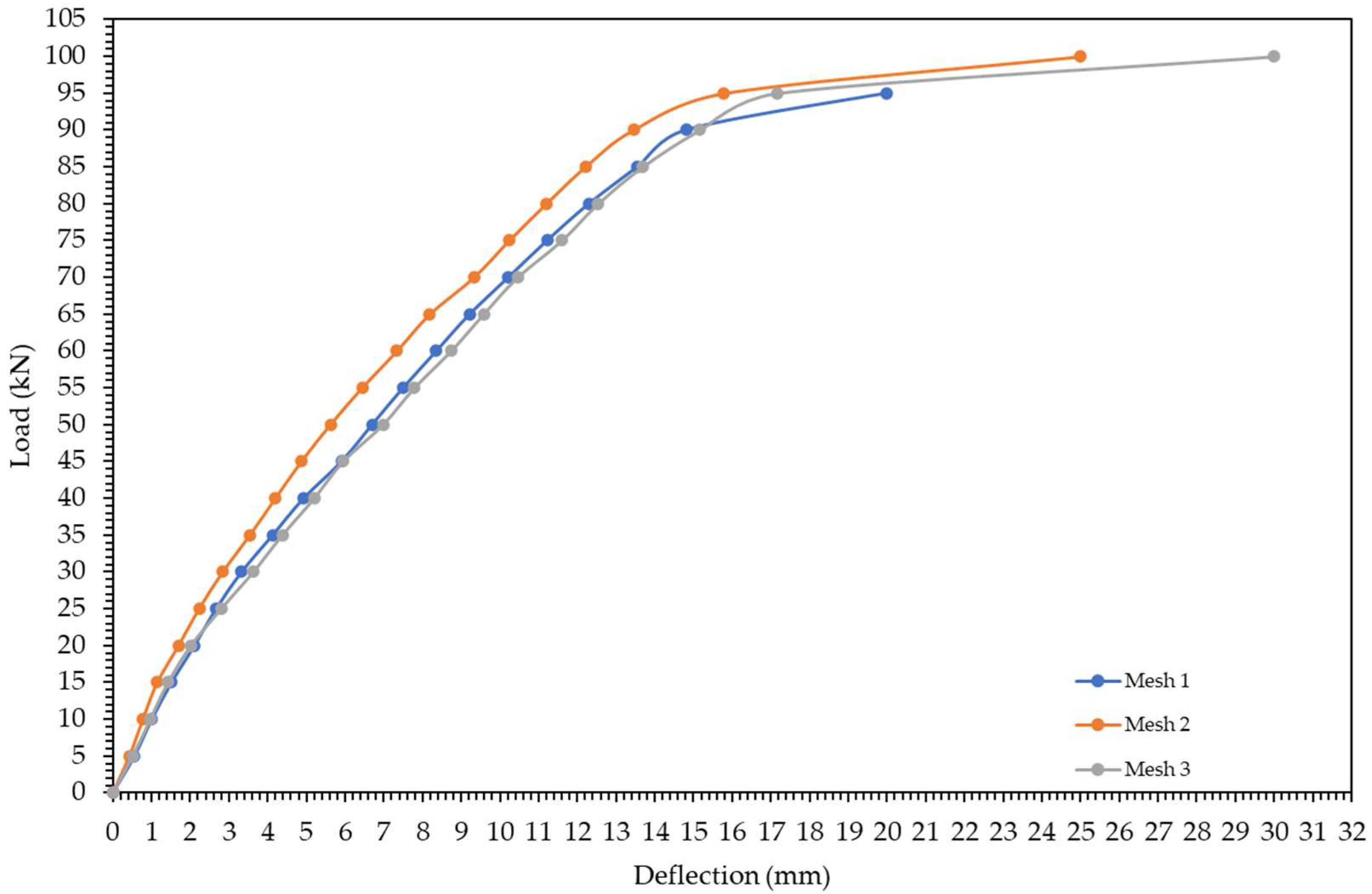
4.4.2. Load vs. Deflection
4.5. Analysis of other Mechanical Properties
4.5.1. Ductility Study
4.5.2. Ductility Index
4.5.3. Displacement Ductility Index
4.5.4. Energy Absorption Ductility Index
4.6. Tensile Strain
5. Analytical Results
5.1. Analytical Model
5.2. Analytical Tensile Behaviour of Beams
5.3. Analytical Deflection Behaviour
6. Conclusions
- The load carrying and deflection of conventional and lightweight beams are almost similar. The ultimate load for LWC beam was 75 kN and the deflection under ultimate load was 14.47 mm, and for NWC beams, the ultimate load was 85 kN and the deflection was 13.95 mm. The difference in load-carrying capacity is because of the reduced young’s modulus value of lightweight concrete and lower crushing strength of LECA.
- The beam reinforced with mesh closely spaced improves the load-carrying capacity of the beam by 19 percentage and reduces the cracks. The beams with closely spaced WWM exhibit lesser compressive stresses than LWC beams without WWM reinforcement.
- LECA can be used as a replacement for stone aggregate in concrete, and it does not affect the structural aspects of the beams, although there are other factors like creep and fatigue of the LWC concrete with 100% LECA replacement which have to be studied for better understanding. LECA concrete beam with WWM as internal reinforcement can be used to replace conventional beams in suitable works.
- The mesh reinforcement can be used to provide additional tension reinforcement without increasing the depth of the beam. Internal reinforcement of WWM acts monolithically with reinforcement bars, and tensile reinforcement increases without increasing the beam’s depth. The difference between the ultimate load-carrying capacity of lightweight and NWC Beam was 11% in experimental results.
- Providing WWM mesh internally to the tension face of beams has proven to be effective in increasing the structural beam performance without increasing the weight of the beam. A 25% increase in load-carrying capacity was achieved by providing internal WWM reinforcement.
- A weight reduction of about 45% was achieved by replacing granite aggregate with LECA balls. The density of LWC concrete beam is 1600 Kg/m3, which is 60% of conventional concrete beams
- The analytical and experimental results had an error percentage of about 20%. ABAQUS can be used to analyse LWC beams, as it gives results very similar to the experimental results. The ultimate load difference between LWC and NWC beams was 16% analytically.
- The 100 percent replacement of normal aggregate has bought only 10% reduction in the ultimate load carrying capacity of LWC beam without any mesh reinforcement. The amount of binder used is much higher for LWC concrete owing to their water absorption and porous structure, which can be countered by using fly ash.
- The study of durability properties of the LWC concrete using LECA will give a better understanding of this type of concrete’s overall performance, which will be useful for the rational design of structures using LWC concrete.
Author Contributions
Funding
Institutional Review Board Statement
Informed Consent Statement
Data Availability Statement
Conflicts of Interest
References
- Melorose, J.; Perroy, R.; Careas, S. Microstructure, Properties, and Materials. Statew. Agric. Land Use Baseline 2015, 1, 684. [Google Scholar]
- Lu, S.M.; Lu, C.; Tseng, K.T.; Chen, F.; Chen, C.L. Energy-Saving Potential of the Industrial Sector of Taiwan. Renew. Sustain. Energy Rev. 2013, 21, 674–683. [Google Scholar] [CrossRef]
- Unnikrishna Pillai, S.; Menon, D. Reinforced Concrete Design, 4th ed.; McGraw Hill Education: Noida, India, 2021. [Google Scholar]
- Libre, N.A.; Shekarchi, M.; Mahoutian, M.; Soroushian, P. Mechanical Properties of Hybrid Fiber Reinforced Lightweight Aggregate Concrete Made with Natural Pumice. Constr. Build. Mater. 2011, 25, 2458–2464. [Google Scholar] [CrossRef]
- Nadesan, M.S.; Dinakar, P. Mix Design and Properties of Fly Ash Waste Lightweight Aggregates in Structural Lightweight Concrete. Case Stud. Constr. Mater. 2017, 7, 336–347. [Google Scholar] [CrossRef]
- Alengaram, U.J.; Jumaat, M.Z.; Mahmud, H. Ductility Behaviour of Reinforced Palm Kernel Shell Concrete Beams. Eur. J. Sci. Res. 2008, 23, 406–420. [Google Scholar]
- ACI. 213R-03 Guide for Structural Lightweight-Aggregate Concrete; ACI Committee: Farmington Hills, MI, USA, 2006; ISBN 9780870318979. [Google Scholar]
- Al-Jabri, K.S.; Hago, A.W.; Al-Nuaimi, A.S.; Al-Saidy, A.H. Concrete Blocks for Thermal Insulation in Hot Climate. Cem. Concr. Res. 2005, 35, 1472–1479. [Google Scholar] [CrossRef]
- Uysal, H.; Demirboga, R.; Şahin, R.; Gül, R. The Effects of Different Cement Dosages, Slumps, and Pumice Aggregate Ratios on the Thermal Conductivity and Density of Concrete. Cem. Concr. Res. 2004, 34, 845–848. [Google Scholar] [CrossRef]
- Al-Khaiat, H.; Haque, M.N. Effect of Initial Curing on Early Strength and Physical. Cem. Concr. Res. 1998, 28, 859–866. [Google Scholar] [CrossRef]
- Arioz, O.; Kilinc, K.; Karasu, B.; Kaya, G.; Arslan, G.; Tuncan, M.; Tuncan, A.; Korkut, M.; Kivrak, S. A Preliminary Research on the Properties of Lightweight Expanded Clay Aggregate. J. Aust. Ceram. Soc. 2008, 44, 23–30. [Google Scholar]
- Roces, E.; Muñiz-Menéndez, M.; González-Galindo, J.; Estaire, J. Lightweight Expanded Clay Aggregate Properties Based on Laboratory Testing. Constr. Build. Mater. 2021, 313, 125486. [Google Scholar] [CrossRef]
- Payam, S.; Chai, L.J.; Mahmud, H.B.; Nomeli, M.A. A Comparison Study of the Fresh and Hardened Properties of Normal Weight and Lightweight aggregate Concretes. J. Build. Eng. 2018, 15, 252–260. [Google Scholar]
- Zukri, A.; Nazir, R.; Said, K.N.M.; Moayedi, H. Physical and Mechanical Properties of Lightweight Expanded Clay Aggregate (LECA). MATEC Web Conf. 2018, 250, 01016. [Google Scholar] [CrossRef]
- Mahdy, M. Structural Lightweight Concrete Using Cured LECA. Int. J. Eng. Innov. Technol. 2016, 5, 25–31. [Google Scholar] [CrossRef]
- Topqu, I.B. Lightweight Concretes Produced by Volcanic Slags. Cem. Concr. Res. 1997, 27, 15–21. [Google Scholar] [CrossRef]
- Sajedi, F.; Shafigh, P. High-Strength Lightweight Concrete Using Leca, Silica Fume, and Limestone. Arab. J. Sci. Eng. 2012, 37, 1885–1893. [Google Scholar] [CrossRef]
- Fahmy, E.H.; Shaheen, Y.B.I.; Abdelnaby, A.M.; Abou Zeid, M.N. Applying the Ferrocement Concept in Construction of Concrete Beams Incorporating Reinforced Mortar Permanent Forms. Int. J. Concr. Struct. Mater. 2014, 8, 83–97. [Google Scholar] [CrossRef]
- Tayeh, B.A.; Abu Maraq, M.A.; Ziara, M.M. Flexural Performance of Reinforced Concrete Beams Strengthened with Self-Compacting Concrete Jacketing and Steel Welded Wire Mesh. Structures 2020, 28, 2146–2162. [Google Scholar] [CrossRef]
- El Debs, M.K.; Naaman, A.E. Bending Behavior of Mortar Reinforced with Steel Meshes and Polymeric Fibers. Cem. Concr. Compos. 1995, 17, 327–338. [Google Scholar] [CrossRef]
- Abu Maraq, M.A.; Tayeh, B.A.; Ziara, M.M.; Alyousef, R. Flexural Behavior of RC Beams Strengthened with Steel Wire Mesh and Self-Compacting Concrete Jacketing—Experimental Investigation and Test Results. J. Mater. Res. Technol. 2021, 10, 1002–1019. [Google Scholar] [CrossRef]
- Paramasivam, P.; Lim, C.T.E.; Ong, K.C.G. Strengthening of RC Beams with Ferrocement Laminates. Cem. Concr. Compos. 1998, 20, 53–65. [Google Scholar] [CrossRef]
- Bansal, P.P.; Civil, B.E.; Structures, C. Effect Of Wire Mesh Orientation On Strength Of Beams Retrofitted Using Ferrocement Jackets. Int. J. 2014, 5, 8–19. [Google Scholar]
- Haryanto, Y.; Gan, B.S.; Widyaningrum, A.; Wariyatno, N.G.; Fadli, A. On the Performance of Steel Wire Rope as the External Strengthening of RC Beams with Different End-Anchor Types. J. Teknol. 2018, 80, 145–154. [Google Scholar] [CrossRef]
- Shaaban, I.G.; Shaheen, Y.B.; Elsayed, E.L.; Kamal, O.A.; Adesina, P.A. Flexural Characteristics of Lightweight Ferrocement Beams with Various Types of Core Materials and Mesh Reinforcement. Constr. Build. Mater. 2018, 171, 802–816. [Google Scholar] [CrossRef]
- Al-Rousan, R.Z. The Impact of the Welded Wire Mesh as Internal Reinforcement on the Flexural Behavior of RC Beams Exposed to Elevated Temperature. Case Stud. Constr. Mater. 2021, 15, e00618. [Google Scholar] [CrossRef]
- Shafigh, P.; Hassanpour, M.H.; Razavi, S.V.; Kobraei, M. An Investigation of the Flexural Behaviour of Reinforced Lightweight Concrete Beams. Int. J. Phys. Sci. 2011, 6, 2414–2421. [Google Scholar] [CrossRef]
- Scislo, L.; Guinchard, M. Non-Invasive Measurements of Ultra-Lightweight Composite Materials Using Laser Doppler Vibrometry System. In Proceedings of the 26th International Congress on Sound and Vibration, ICSV 2019, Montreal, QC, Canada, 7–11 July 2019. [Google Scholar]
- Koh, C.G. A Plastic-Damage Model for Lightweight Concrete and Normal Weight Concrete. Int. J. Concr. Struct. Mater. 2008, 2, 123–136. [Google Scholar] [CrossRef][Green Version]
- IS 12269; Ordinary Portand Cement 53 Grade. Bureau of Indian Standards (BIS): Delhi, India, 2013.
- IS 3812 (Part-1); Pulverized Fuel Ash—Specification. Part 1: For Use as Pozzolana in Cement, Cement Mortar and Concrete (Second Revision). Bureau of Indian Standards (BIS): Delhi, India, 2003; pp. 1–14.
- IS 2386 (Part IV); Methods of Test for Aggregates for Concrete, Part 4: Mechanical Properties. Bureau of Indian Standards (BIS): Delhi, India, 2016; pp. 1–37.
- IS 383; Specification for Coarse and Fine Aggregates from Natural Sources for Concrete. Bureau of Indian Standards (BIS): Delhi, India, 1970; pp. 1–24.
- Chen, H.J.; Wu, C.H. Influence of Aggregate Gradation on the Engineering Properties of Lightweight Aggregate Concrete. Appl. Sci. 2018, 8, 1324. [Google Scholar] [CrossRef]
- Ardakani, A.; Yazdani, M. The Relation between Particle Density and Static Elastic Moduli of Lightweight Expanded Clay Aggregates. Appl. Clay Sci. 2014, 93–94, 28–34. [Google Scholar] [CrossRef]
- Boudaghpour, S.; Nasir, K. A Study on Light Expanded Clay Aggregate (LECA) in a Geotechnical View and Its Application on Greenhouse and Greenroof Cultivation. Int. J. Geol. 2008, 4, 59–63. [Google Scholar]
- IS 456; Concrete, Plain and Reinforced. Bureau of Indian Standards (BIS): Delhi, India, 2000; pp. 1–114.
- IS 875 Part 2; Code of Practice for Design Loads (Other than Earthquake) for Buildings and Structures, Part 2: Imposed Loads. Bureau of Indian Standards (BIS): Delhi, India, 1987; p. 18.
- Miranda, E.; Bertero, V.V. Evaluation of Strength Reduction Factors for Earthquake-Resistant Design. Earthq. Spectra 1994, 10, 357–379. [Google Scholar] [CrossRef]
- Teo, D.C.L.; Mannan, M.A.; Kurian, J.V. Flexural Behaviour of Reinforced Lightweight Concrete Beams Made with Oil Palm Shell (OPS). J. Adv. Concr. Technol. 2006, 4, 459–468. [Google Scholar] [CrossRef]
- Sharaky, I.A.; Mohamed, H.A.; Torres, L.; Emara, M. Flexural Behavior of Rubberized Concrete Beams Strengthened in Shear Using Welded Wire Mesh. Compos. Struct. 2020, 247, 112485. [Google Scholar] [CrossRef]
























| Properties | Values |
|---|---|
| Specific gravity of cement | 3.15 |
| Fineness of cement | 8% |
| Standard consistency of cement | 33% |
| Initial setting time of cement | 30 min |
| Final setting time of cement | 600 min |
| SiO2 | Al2O3 | FeO3 | CaO | Na2O | O | TiO2 | MgO | P2O5 | SO3 | LOI |
|---|---|---|---|---|---|---|---|---|---|---|
| 53.4 | 26.49 | 10.86 | 1.34 | 0.37 | 0.80 | 1.47 | 0.77 | 1.43 | 1.70 | 1.39 |
| Description | Fine Aggregate | Coarse Aggregate |
|---|---|---|
| Specific gravity | 2.55 | 2.61 |
| Water absorption | 0.76% | 0.51% |
| Bulk density of compacted Aggregates | 1.62 g/cc | 1.61 g/cc |
| Bulk density of loosely packed Aggregates | 1.44 g/cc | 1.49 g/cc |
| Fineness modulus | 2.11 | 7.2 |
| Properties | Present Study | Rumsys, D. et al. (2017) [29] | Wu T. et al. (2016) [34] | Ardakani, A. and M. Yazdani (2014) [35] | Siamak Boudaghpour, S.H. (2008) [36] |
|---|---|---|---|---|---|
| Water Absorption | 18% | 25% | 10% | 26% | 17% |
| Crushing Strength | 1.22 N/mm2 | - | - | - | - |
| Density | 288 kg/m3 | 488 kg/m3 | 663 kg/m3 | 257 kg/m3 | 400 kg/m3 |
| Specific Gravity | 0.7 | - | - | 0.481 | - |
| Materials | Lightweight Concrete (kg/m3) | Conventional Concrete (kg/m3) |
|---|---|---|
| Cement | 450 | 300 |
| Fly ash | 150 | - |
| Silica fume | 50 | - |
| LECA/CA | 177 | 1050 |
| FA | 810 | 950 |
| Water | 170 | 150 |
| Superplasticizer | 3.85 | 1.75 |
| Specimen | Mesh Reinforcement | Concrete |
|---|---|---|
| NWC | - | Conventional |
| LWC | - | Lightweight |
| LWCM 1 | Four-layer of WWM 15 mm square spacing | Lightweight |
| LWCM 2 | Four-layer WWM 10 mm square spacing | Lightweight |
| LWCM 3 | Four-layer of 15 mm and 1 mm mesh placed alternatively. | Lightweight |
| Specimen | Ultimate Load Pu, (kN) | Ultimate Deflection Δu, (mm) | Tensile Strain εs (με) |
|---|---|---|---|
| NWC | 85 | 13.95 | 3980 |
| LWC | 75 | 14.47 | 3617 |
| LWCM 1 | 90 | 14.81 | 3182 |
| LWCM 2 | 95 | 15.79 | 3672 |
| LWCM 3 | 100 | 19 | 3727 |
| Beam | Experimental Deflection ∆exp (mm) | Allowable Deflection [37] ∆allowable (mm) | Experimental/Allowable ∆exp/∆allowable | Deflection at Serviceable Load (mm) |
|---|---|---|---|---|
| NWC | 13.95 | 8 | 1.74 | 2.06 |
| LWC | 14.47 | 1.8 | 2.72 | |
| LWCM 1 | 14.81 | 1.8 | 1.1 | |
| LWCM 2 | 15.79 | 1.97 | 1.72 | |
| LWCM 3 | 19 | 2.3 | 2.02 |
| Beam | kE, kN/mm | EA, kN-mm | μEA | μ | DF | SF | PF |
|---|---|---|---|---|---|---|---|
| NWC | 10 | 1147.5 | 5.7 | 4.8 | 1 | 1 | 1 |
| LWC | 7.5 | 1087.5 | 6.6 | 3.9 | 0.75 | 0.8 | 0.6 |
| Mesh 1 | 8 | 1332 | 6.5 | 4.7 | 0.8 | 0.9 | 0.72 |
| Mesh 2 | 11.2 | 1500 | 6.3 | 4.9 | 1.1 | 1.02 | 1.12 |
| Mesh 3 | 12 | 1900 | 8.1 | 5.7 | 1.2 | 1.2 | 1.44 |
| Beam | Displacement at Yield Stage ∆y (mm) | Displacement at Ultimate Stage ∆u (mm) | Ductility Ratio (∆u/∆y) |
|---|---|---|---|
| NWC | 3 | 14.5 | 4.8 |
| LWC | 3.5 | 13.9 | 3.9 |
| Mesh 1 | 3.1 | 14.81 | 4.7 |
| Mesh 2 | 3.2 | 15.79 | 4.9 |
| Mesh 3 | 3 | 17.15 | 5.7 |
Publisher’s Note: MDPI stays neutral with regard to jurisdictional claims in published maps and institutional affiliations. |
© 2022 by the authors. Licensee MDPI, Basel, Switzerland. This article is an open access article distributed under the terms and conditions of the Creative Commons Attribution (CC BY) license (https://creativecommons.org/licenses/by/4.0/).
Share and Cite
Chandramouli, P.; Muthukrishnan, D.; Sridhar, V.; Sathish Kumar, V.; Murali, G.; Vatin, N.I. Flexural Behaviour of Lightweight Reinforced Concrete Beams Internally Reinforced with Welded Wire Mesh. Buildings 2022, 12, 1374. https://doi.org/10.3390/buildings12091374
Chandramouli P, Muthukrishnan D, Sridhar V, Sathish Kumar V, Murali G, Vatin NI. Flexural Behaviour of Lightweight Reinforced Concrete Beams Internally Reinforced with Welded Wire Mesh. Buildings. 2022; 12(9):1374. https://doi.org/10.3390/buildings12091374
Chicago/Turabian StyleChandramouli, Pavithra, Dinesh Muthukrishnan, Venkatesh Sridhar, Veerappan Sathish Kumar, Gunasekaran Murali, and Nikolai Ivanovich Vatin. 2022. "Flexural Behaviour of Lightweight Reinforced Concrete Beams Internally Reinforced with Welded Wire Mesh" Buildings 12, no. 9: 1374. https://doi.org/10.3390/buildings12091374
APA StyleChandramouli, P., Muthukrishnan, D., Sridhar, V., Sathish Kumar, V., Murali, G., & Vatin, N. I. (2022). Flexural Behaviour of Lightweight Reinforced Concrete Beams Internally Reinforced with Welded Wire Mesh. Buildings, 12(9), 1374. https://doi.org/10.3390/buildings12091374

