Abstract
Shopping malls are large buildings and thus have extremely high heating or cooling costs and energy requirements. This study explored the response patterns of human physiological parameters to sudden temperature changes (temperature difference >30 °C) at moderate activity levels in a Shenyang shopping mall. The temperature was set to −12 °C for cold conditions and indoor temperature conditions were set to 18 and 24 °C. Fifty participants underwent hot—cold—hot room temperature exposure. The following results were observed for short-duration stays in the shopping mall. (1) When the temperature difference between hot and cold environments was >30 °C and the indoor temperature did not exceed 24 °C, 12–18 min on average was required for the body to reach a new physiological equilibrium. Children required less time to return to a steady state than other age-groups. (2) Children, adolescents, and young adults preferred indoor temperature conditions of 18 °C, whereas middle-aged adults preferred a slightly warmer environment. Thus, in view of the excessively high indoor temperature of the mall, its temperature should be maintained within a range that not only conserves energy but also provides human comfort.
1. Introduction
Shopping malls primarily serve as locations of retail shopping, entertainment, and dining, thus satisfying diverse needs of urban residents. In China, the architectural attributes of shopping malls vary according to the needs of people belonging to different age-groups. For example, shopping malls with different attributes can favor young people, mothers and children, and middle-aged or elderly people. Due to the large building dimensions and complex business formats within them, the energy consumed by air-conditioning and lighting to meet the comfort needs of most people within these spaces is relatively high, especially in colder regions where large indoor and outdoor temperature differences in winter require longer periods of heating. Indoor building temperature is often used as a main parameter of energy consumption, where increases or decreases of 1 °C can change energy use by 5–10% [1]. In public places, such as shopping malls, people usually shop and socialize, and hence do not stay for long, and spend most of their time there in moderate walking activity. Similarly, the behavioral adjustments of people in these areas, such as changing clothes or opening and closing windows, are relatively restricted; thus, the thermal discomfort caused by high room temperatures becomes more obvious. Accordingly, the present study focused on the variation patterns of human physiological parameters, as well as the subjective evaluation of people when they experience sudden temperature changes as they enter indoor spaces from the outdoor environment.
A physiological study showed that changes in environmental parameters activate the physiological regulation system of the human body [2]. Accordingly, when the environmental conditions change, the human body can adapt to the new environment through physiological regulations, such as adjustments in metabolism and body temperature, to compensate for variations in the heat transfer between the body’s core temperature and that of the surrounding environment, and reach a state of thermal equilibrium [3,4]. From an adaptive perspective, humans are not passive recipients of a given thermal environment, but are active participants that interact with the environment through multiple feedback loops [5]. Accordingly, when a person is uncomfortable or dissatisfied with the temperature conditions, it is not the end of a thermal reaction, but rather the beginning of an adaptive process.
Previous studies [6,7,8] have primarily focused on the thermal comfort of the human body in offices and residential buildings, where the experimental participants were mostly in a static state or at an extremely low activity level [9,10]. Additionally, there have been a few studies on thermal comfort that focused on public spaces, such as shopping malls, in which people usually stay for a shorter time while engaging in moderate levels of physical activity. Shopping malls maintain high assembly occupancies and high mobility between spaces and have visitors of different ages; thus, ensuring thermal comfort is an important issue. Accordingly, the primary purposes of this study were to (1) obtain the regulation patterns of human skin-temperature adjustments based indoor temperatures and duration of stay, under various degrees of temperature difference caused by sudden temperature changes and when participants engage in moderate activity levels and enter hot rooms immediately following cold exposure; (2) analyze the responses of different age-groups when entering hot environments from cold conditions through measuring the variation patterns of objective human physiological parameters and subjective feelings over time; and (3) examine the effects of indoor and outdoor temperature differences in frigid-region winters on subjective thermal sensation votes (TSVs) and compare those results to that of their thermal comfort votes (TCVs). This study can serve as a reference for the prediction and evaluation of indoor thermal environments on the engagement of people in dynamic activities.
2. Methods
2.1. Experimental Design and Conditions
Field research was conducted in shopping malls of Shenyang, China during winter (1 November 2021–31 March 2022) and involved testing and observing people’s behavioral patterns. Accordingly, hot and cold rooms were set up in an experimental chamber (Figure 1). In accordance with the outdoor meteorological parameters of Shenyang in China’s Thermal Design Code for Civil Building [11], the average temperature in the coldest month of the city (January) is −11.2 °C; however, the investigation of outdoor meteorological data for Shenyang in this study during the testing period of January 2022 revealed a temperature range from −19 to −7 °C (average ~−13 °C). Accordingly, the cold room air temperature was set to −12 ± 1 °C.
Figure 1.
Floor plan of the room under experimental conditions.
China’s Design Standard for Energy Efficiency of Public Buildings [12] stipulates that the indoor calculated temperature for winter air-conditioning systems should be 20 °C, whereas China’s Design Code for Heating Ventilation and Air Conditioning of Civil Buildings [13] stipulates that the thermal comfort (−1 ≤ predicted mean vote (PMV) ≤ +1) temperature range for frigid and cold regions in winter is 18–28.4 °C. Based on energy-conservation principles, a relatively cold (−1 ≤ PMV ≤ 0) environment was chosen in this study, where the upper limit of PMV = 0 was 24 °C; thus, the temperature range designed for winter heating was 18–24 °C. Based on the PMV index, the comfort level of shopping malls was Class II. Following the calculation of thermal comfort, a PMV value between −1 and −0.5 was obtained, yielding a comfortable temperature range of 18–21 °C. Accordingly, the temperature of public buildings intended for short-duration stays can be lowered by 2 °C. Field measurements revealed that most shopping malls in Shenyang maintained high indoor temperatures, with some having temperatures > 24 °C, and even reaching 28 °C.
A preliminary experiment was conducted, revealing that according to the thermal sensation voting results of the participants, under high indoor and outdoor temperature differences in frigid regions, participants felt “slightly cool” when the indoor temperature was <18 °C. Therefore, in accordance with the results of the field measurement and the relevant standards, the temperature in the room was controlled separately using an automatic control system and the hot room air temperatures were set at 18 ± 0.5 °C and 24 ± 0.5 °C; accordingly, when the actual situation in the experimental venue was considered, relative humidity values of 28 ± 0.5% and 20 ± 0.5% were obtained, respectively. To ensure that the airflow of the hot room was stable throughout the testing period, the air velocity was <0.1 m·s−1 and no significant airflow disturbances were observed because all windows were closed during winter, preventing air ventilation.
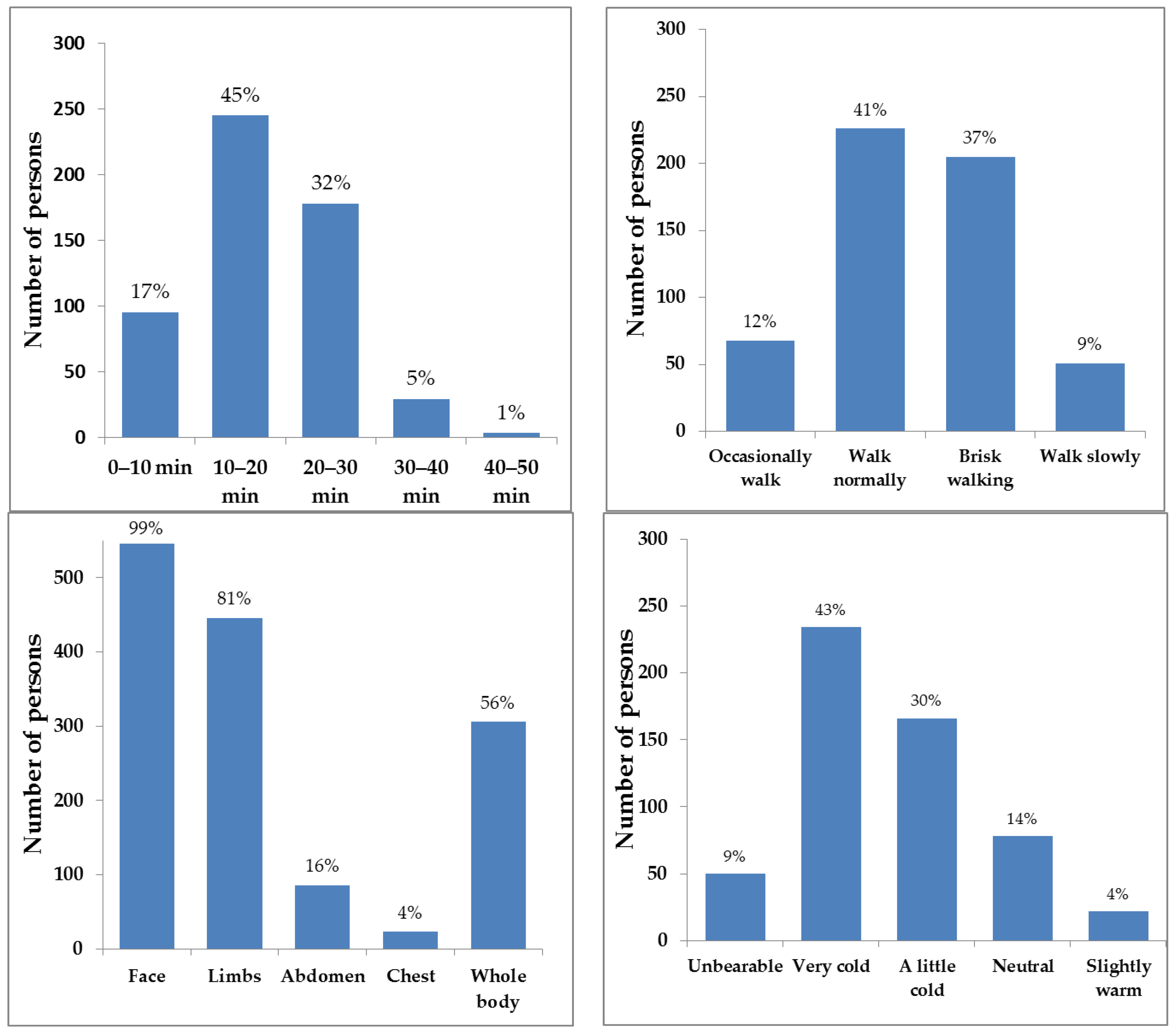
In winters in a frigid region, people typically remain outdoors for shorter periods. According to the description in China’s Textile and Clothing—Determination and Interpretation of Cold Stress when Using Required Clothing Insulation [14], the human body starts to feel cold within the first 20–40 min of cold exposure (i.e., physiological responses are insufficient to stabilize body temperatures) and can neither reach nor maintain body thermal equilibrium where physiological responses fall to low levels. When the thermal capacity of cold-resistant clothing falls short of the required thermal insulation to maintain thermal equilibrium, local blood flow decreases due to vasoconstriction, and the extremities, especially the fingers and toes, gradually cool to unacceptably low temperatures. At this point, the body chills and the limbs gradually become stiff. A preliminary questionnaire survey was conducted before the formal experiment and 550 valid responses were obtained. The survey results are shown in Figure 2 and the questionnaire is presented in Table A2. It was found that following exposure to cold temperatures (−12 °C) for >30 min, bare parts of limbs and the face reach their tolerance limits. In winter, people usually stay in outdoor areas for ≤20–30 min; therefore, the time of cold exposure in the present study was set to 25 min. Following hot room exposure for 30 min, the physiological parameters of the human body tend be stabilized; therefore, the thermal adaptation time was set to 30 min. Table 1 shows the conditions that were set to investigate the thermal adaptation variations of the human body when moving from outdoor to indoor environments.
Figure 2.
Statistical analyses of responses to questionnaire survey.
Table 1.
Two temperature conditions in the experimental setup.
2.2. Test Methods and Parameters
Temperature and humidity sensors (JTR08, JT Technology, Beijing, China) were used to monitor environmental parameters and the probes of a button-type high-precision temperature recorder (DS1922L, MAXIM, California, CA, USA) were used to measure skin temperatures across different body parts according to the following sequence: forehead, chest, upper arm, hand dorsal, thigh, front of thigh, lower leg, and ankle. All measurements were taken from the left side of the body and collected continuously with intervals of ~2 s between each measurement. As the temperature deviations of the head and the distal extremities are high, they were not included in the measurements of the mean skin temperature. Accordingly, a weighting formula adopting a 4-point method was used to calculate the mean skin temperature [15] (Equation (1)) as follows:
where Tsk is the mean skin temperature (°C) and Tchest, Tarm, Tthigh, and Tlower leg represent the skin temperatures on the chest, arm, thigh, and lower leg (°C), respectively.
Tsk = 0.3 × Tchest + 0.2 × Tarm + 0.3 × Tthigh + 0.2 × Tlower leg
As participants walked at a moderate pace throughout the experimental period, physiological parameters, including heart and breathing rates, were collected every 10 min via portable wristbands that were calibrated prior to experimentation to error values within the natural range of deviation (±5%). According to the description in China’s Ergonomics of the Thermal Environment [16] standard, this activity belonged to the category of low metabolic rate, which is 1.7met, reaching a value of 100 M·W−1·m−2.
Simultaneously, questionnaires were used to investigate participants’ subjective feelings during experimentation, while the TSVs and TCVs were cast. The seven-grade scale recommended by ASHRAE 55-2020 [17] was adopted (Table 2) and a preference scale was used in the survey of thermal expectations, which was graded into −1 (cooler), 0 (remain at current temperature), and 1 (warmer). To avoid subjective differences between an individual’s understanding of the heat sensation scale, the definitions of the grades in the TSV scale used in this experiment are shown in Table 3, and these subjective thermal environments were assessed every 10 min via a questionnaire.
Table 2.
Seven-grade scale employed in the present study.
Table 3.
Definitions of the grades in the TSV scale.
2.3. Test Subjects and Clothing Thermal Resistance
Fifty participants were recruited for the experiment and classified into different age-groups according to the World Health Organization standards, as shown in Table 4. Because of the cold outdoor weather in Shenyang in winter, the elderly rarely go out, and relatively few go to the mall. In addition, in the experiment, due to the long cold exposure time and walking time, there were concerns over the personal safety of elderly participants. Therefore, the elderly group was excluded from studies on personal safety. All participants were healthy and had lived in Shenyang for ≥1 year to ensure that they had adapted to the winter cold and dry climates of this frigid region. In the experiment, the participants were required to dress uniformly in underwear, sweaters, thermal pants, pants, down jackets, and shoes. Compared with the participants of other age-groups, children and adolescents were more vulnerable to the long cold exposure time; therefore, to prevent frostbite among these two age-groups, they were instructed to wear hats and gloves. However, to ensure overall unity, these two accessories were added to all the participants.
Table 4.
Age range and number of participants in the experiment.
Four main environmental factors influence the thermal comfort of the human body: air temperature, relative humidity, mean radiant temperature, and air wind speed. Additionally, two human factors exist: human metabolism and thermal resistance of clothing [16]. Xiujuan [18] revealed that at low temperatures, the influence of clothing’s thermal resistance on PMV was higher than that at high temperatures, while the overall degree of influence was not negligible. Clothing affects evaporation from the skin surface, in addition to absorbing and transferring sweat through capillary action; thus, only a small proportion of the remaining sweat evaporates and cools the skin. Accordingly, to achieve the same level of heat dissipation from the skin, a larger amount of evaporation is necessary. Therefore, clothing increases the heat-transfer resistance for the evaporative heat of skin, while affecting the physiological parameters and thermal comfort evaluation indices of humans to varying degrees [19].
Based on the thermal resistance value of a single garment, the thermal resistance value of the whole garment can be estimated mathematically. According to the calculation method of complete clothing ensemble thermal resistance recommended by the Thermal Environmental Conditions for Human Occupancy of ASHRAE (Equation (2)) [20], the clothing thermal resistance value for this experiment was 1.6 CLO (the thermal resistance of each individual garment is shown in Table A1) and the clothing thermal resistance when walking was 1.4 CLO (Equation (3)); however, the ASHRAE comfort standard specifies a thermal resistance of 0.9 CLO for winter clothing, while the ISO 7730 comfort standard specifies a thermal resistance of 1.0 CLO. As people employ thicker clothing in frigid regions, according to the description in China’s Indoor Thermal Environmental Conditions [21] and Shenyang’s regional characteristics, the range of daily clothing thermal resistance in winter was 1.2–1.8 CLO. Inside shopping malls, people cannot entirely adjust their clothing freely; thus, the clothing thermal resistance value of this experiment aligned with the indoor clothing habits during the winter.
where Icl is the thermal resistance of the entire clothing set (CLO) and Icli is the thermal resistance value of a single item of clothing (CLO).
where M is the metabolic rate (met) and Icl is the clothing’s thermal resistance (CLO) in a stationary state.
Icl ≈ 0.82 ΣIcli + 0.161
Icl,active = Icl × (0.6 + 0.4/M)
1.2 met < M < 2.0 met
2.4. Experimental Procedure
When the participants entered the preset-temperature rooms, sensors used to measure the human skin surface temperature were attached to the corresponding body parts to be measured with waterproof and transparent medical tapes to ensure good contact, and the following stages were conducted in the following sequence. (1) Preparation stage: participants sat in the hot room for 10 min to reduce the influence of the hot environment on individual thermal sensation before testing. During this period, the experimenters explained the experimental process and the requirements for filling out questionnaires. (2) Cold exposure stage: participants entered the cold room and stayed for 25 min. (3) Thermal adaptation stage: participants returned to the hot room for 30 min, completing one questionnaire every 10 min. Overall, the participants remained moderately active throughout the experiment (Figure 3).
Figure 3.
Experimental procedure.
3. Experimental Results and Parameter Selection
3.1. Skin Temperature
Skin temperature typically remains between the body’s core and environmental temperatures [22]. As the largest sensory organ of the body, the skin’s role in the adjustment of temperature is an important indicator of heat transfer from within the body to its surface and surrounding environment [23,24], reflecting bodily comfort under hot or cold conditions. Accordingly, skin temperature is an effective input variable for comfort-evaluation models, offering effective data for the establishment of a physiological model for human comfort.
3.1.1. Variation Patterns of Mean Skin Temperature
When a participant experienced a sudden temperature change as they entered the hot room from the cold room, their skin temperatures across various body parts changed with time. Here, the test was performed at 24 °C, in which the temperature differences were high enough to obtain the vertical distribution law of human skin temperature.
The results showed that temperatures in different body parts followed the order forehead > hand dorsal > front of the thigh > thigh > lower leg > ankle > arm > chest (Figure 4). When entering the hot room, skin temperatures changed suddenly and the increase was significant (Figure 5). Assessing each body part separately revealed that when cold exposure ended, the fluctuations in skin temperatures at the torso and limbs (i.e., chest, arms, thighs, and lower legs) were the smallest (~3–5 °C), followed by fluctuations in the skin temperatures at the distal extremities (i.e., hands), at ~8 °C. As the forehead was exposed throughout the entire experimental period, the fluctuations were the largest (~12 °C), whereas the skin temperature at the ankle was close to the whole body mean temperature (fluctuation range of ~4 °C) and substantially higher than the temperature range for a body in a static state [25]. There are likely two reasons for this phenomenon: first, the participants were moderately active throughout the experimental process; thus, the sensitivity of the skin temperatures to the environmental changes at different parts of the human body changed in accordance with the metabolic rate. Second, the inhomogeneity of clothing thermal resistance and physical structures likely had important influences as well.
Figure 4.
Temporal variations in the participants’ skin temperatures at various body parts at the 24 °C condition.
Figure 5.
Temperature-change rates on different body parts of the participants at the 24 °C condition.
Figure 6 shows the mean skin temperatures for individual body parts and that of the whole body and displays the large differences observed regarding the effects of the hot room’s air temperature across the body. While mean skin temperatures at the distal extremities remained relatively low, fluctuations were large. After 30 min of hot room exposure following the cold room, temperatures of body parts at the 18 °C condition had not returned to their levels prior to cold exposure; however, the questionnaire survey revealed no persistent effects on human comfort. Under the 24 °C condition, although the temperature of body parts returned to their initial conditions, the overall subjective evaluation remained uncomfortable, indicating that the hot room temperatures determined the rate at which skin temperatures returned to their initial conditions, but the degree of recovery had limited effects on the overall comfort.
Figure 6.
Mean skin temperatures of individual body parts and the whole body under (a) 18 °C and (b) 24 °C.
3.1.2. Variation Patterns of Mean Skin Temperatures by Age-Group
After the participants entered the hot room from the cold room, the mean skin temperatures were compared. Under the 18 °C condition, the human body took ~18 min to return to a steady temperature (Figure 7), whereas 12 min was required under the 24 °C condition, indicating that if the temperature of the cold room remained unchanged, the greater the temperature difference, the shorter the duration required by the body to return to the steady state. Furthermore, at temperature differences of >30 °C, the body required even shorter times to return to a steady mean skin temperature and successfully adapt to the new environment.
Figure 7.
Changes in the mean skin temperatures of different age-groups exposed to (a) 18 °C and (b) 24 °C.
As foreheads were exposed throughout the entire experimental process, the changes in skin temperature were the most significant. Prior to the 24 °C condition experiment, the initial temperatures of all groups were similar (Figure 8), whereas following cold exposure, forehead temperatures of the participants dropped significantly, with those of children and middle-aged groups falling the most rapidly. After entering the hot room, participants’ forehead temperatures increased rapidly after 10 min of thermal adaptation, with this increase being particularly significant for children, which essentially returned to a steady state. This is likely the result of the middle-aged group having a slower metabolism than other age-groups, as their bodies produce less heat. Children’s hearts are substantially smaller than those of adults, and thus they maintain weaker cardiac strength and capillary filling capacity. Therefore, while in a low-temperature environment, blood pumped out of the heart during contraction cannot reach the head fully, so the temperature displayed a faster dropping trend during exposure. Alternatively, as the child participants moved back to the hot room, their temperatures increased rapidly due to their thermoregulation ability resulting from their higher metabolic rates.
Figure 8.
Comparison of forehead temperatures across different age-groups under the 24 °C condition.
3.2. Heart and Breathing Rates
In this study, heart rate (HR) and respiratory rate (RR) were measured continuously during the experiment. When participants entered the cold room, their HRs dropped significantly due to the sudden temperature change [26]. Throughout the body’s adaptation to the cold temperature exposure, HRs increased steadily and the physiological parameters stabilized. After returning to the hot room, participants’ HRs increased with the temperature. When the air temperature in the hot room was 24 °C, the HR was more sensitive to the temperature difference and the physiological changes caused by the sudden temperature change were more significant. Therefore, in the shopping malls, the decrease in indoor temperatures can reduce HR changes and thus reduce physical discomfort.
The results of the correlation analysis of the HR, RR, time, and condition are shown in Table 5. A significant correlation was revealed between HR, condition, and RR (p < 0.05).
Table 5.
Results of the correlation analyses of heart rate (HR), respiratory rate (RR), temporal phase, and conditions.
The test statistics of HR and RR under the two conditions were compared (Table 6). HRs exposed to the 24 °C condition were higher than those under the 18 °C condition, reaching a maximum value of 141 bpm; however, the changes in RR under the two conditions were small. HRs reached the highest value during the sudden temperature changes under both conditions (Figure 9) and gradually returned to normal thereafter, indicating that HR was evidently sensitive to sudden temperature changes and was more significant under the 24 °C condition, with a temperature change of 36 °C.
Table 6.
Statistics of HR and RR.
Figure 9.
Distribution law of HR across different temporal phases.
The differences in the HRs, RRs, and time of different age-groups were compared when the difference between the hot and cold conditions was 36 °C. The analysis of variance revealed significant differences in HRs and RRs of different age-groups (p < 0.05; Table 7). Table 8 shows the comparison of HR changes from the initial stages of the experiment and following 30 min of thermal adaptation under the 24 °C condition. Increases in the degree of HR change for all participants were observed and the degree of increase followed the order of young adults > middle-aged > children > adolescents. The growth rates in the young adult and the middle-aged groups were 9.6% and 7.8%, respectively. During the sudden temperature change, the degree of increase in different age-groups was children > middle-aged > young adults > adolescents; further, the degrees of variation in the children and middle-aged groups were relatively large, with growth rates of 37.5% and 39.2%, respectively.
Table 7.
Results of repeated analysis of variance measures on HRs and RRs.
Table 8.
HRs of different age-groups in different temporal phases under the 24 °C condition.
During the sudden temperature change, HRs of the participants were all higher than during the initial stage (Figure 10). As children tend to be more active, their corresponding ranges of HR change were the largest. The overall analysis showed that when the indoor temperatures were relatively high, the effects on the HRs of the participants increased, whereas when the indoor temperatures were too high (difference >36 °C), the cardiac activities and comforts of the middle-aged and children groups were affected.
Figure 10.
Law of HR deviation for different age-groups in different temporal phases under the 24 °C condition.
4. Discussion
4.1. Thermal Evaluation Analysis
The calculation of PMV [27] (Equation (4)) revealed that under the 18 °C condition, PMV was 0.32 and the thermal sensation was neutral, whereas under the 24 °C condition, PMV was 1.06 and the thermal sensation was slightly warm.
where M is the amount of human activity, W is the mechanical work of the body (W), Pa is the vapor pressure of water in the air (Pa), ta is the air temperature (°C), r is the mean radiant temperature (°C), fcl is the ratio of body surface area with clothes on the body surface area when naked, tcl is the outer surface temperature of the clothing (°C), and hc is the convective heat-transfer coefficient (W·m−2·K−1).
The average voting results revealed that after 30 min of thermal adaptation under the 18 °C condition, all TCVs indicated a very comfortable feeling (Figure 11). Owing to their increased activity, children’s TSVs indicated that they felt “slightly warm” when affected by the sudden temperature change. Following the 30 min adaptation period, the average voting value of the middle-aged group in TCV was 0.3, indicating a “neutral” feeling, whereas all other groups reported a very comfortable feeling. The middle-aged group, however, reported a “slightly warm” feeling in terms of the TSV, indicating that they tended to have a higher preference for slightly warmer rooms.
Figure 11.
Comparison of the mean TSV and TCV of participants (18 °C).
Following 10 min of thermal adaptation under the 24 °C condition, all TSVs indicated a “slightly warm” feeling, while all TCVs indicated a very comfortable feeling (Figure 12); however, after 30 min of thermal adaptation, all participants’ TSVs indicated that they tended to feel “warm” and thus uncomfortable. This is likely a result of the adaptation of the resident’s physiology to the cold environment in frigid regions; thus, their thermal neutral temperature remained relatively low.
Figure 12.
Comparison of the mean TSV and TCV of participants (24 °C).
4.2. Thermal Expectation Analysis
Frequency distributions of the thermal expectation votes for the participants in the two conditions were compared, revealing that under the 18 °C condition, >80% of the participants in all age-groups voted to “stay at the current temperature” when expressing their thermal expectations (Figure 13), while some of the middle-aged participants hoped for a “slightly warmer” temperature (18.2%); thus, compared with the TSV results, the middle-aged group preferred a slightly warmer room temperature compared to other age-groups. Under the 24 °C condition, the thermal expectation values of participants indicated that the majority wanted “cooler” temperatures, accounting for >91% of the children and adolescent groups, whereas >30% of the middle-aged participants expected to “stay at the current temperature”.
Figure 13.
Frequency distribution of thermal expectation votes for the participants in different conditions.
Therefore, within the shopping malls in frigid regions, as most visitors are moderately active, an indoor environment with a temperature of 18 °C can satisfy the needs for thermal comfort of the vast majority, whereas under the 24 °C condition, most participants voted for a “cooler” temperature. Under the working condition of 18 °C, the proportion of persons who felt “warmer” in all age-groups except the middle age-group is less than 10%. According to China’s Measurement of PMV and PPD Index in Moderate Thermal Environment and Regulations on Thermal Comfort Conditions [28], if the environmental conditions are within the comfort limit recommended by the specification, it can be estimated that more than 80% of people will find the thermal conditions within this range acceptable, including the middle-aged group. Accordingly, the indoor air temperature should not exceed 24 °C and a temperature of ~18 °C is recommended.
4.3. Relationships between the Objective Parameters and Subjective Evaluation
A particular relationship was revealed between the thermal evaluation over time and the air temperature differences. ΔTsk denoted the change in skin temperature (i.e., the difference between the current skin temperature and that during the sudden temperature change) measured every 10 min, ΔTSV denoted the change in TSV (i.e., the difference between the current mean thermal sensation and that during the sudden temperature change) measured every 10 min, and ΔTCV denoted the change in TCV (i.e., the difference between the current mean thermal comfort and that during the sudden temperature change).
The mean skin temperature ΔTsk presented a linear relationship with ΔTSV (Figure 14). Under the 24 °C condition, the linear slope of the participants was greater than that under the 18 °C condition, indicating that when ΔTsk increased, the changes in ΔTSV under the 24 °C condition were larger (i.e., the sensitivity was higher). For the relationship between ΔTsk and ΔTCV, a quadratic polynomial was used to fit the curve (Figure 15). When entering the 18 °C condition from the cold room, the thermal comfort degree increased gradually, and the participants felt more comfortable as their mean skin temperature increased. Alternatively, under the 24 °C condition, as the differences in mean skin temperature increased, the ΔTCV plummeted, with participants feeling more uncomfortable.
Figure 14.
Relationship between ΔTsk and ΔTSV.
Figure 15.
Relationship between ΔTsk and ΔTCV.
On simultaneously comparing TSV and TCV, upon returning to the hot room following cold exposure, the temperature differences between skin and the environment decreased instantly. At this time, the differences in thermal comfort between different conditions were smaller, while the body’s response to thermal sensation was relatively fast. Here, thermal sensation was “overshot” and there was a sensory separation between the skin temperature and thermal sensation. Gagge et al. [29] believed that this phenomenon was caused by a sharp change in skin temperature and that this rapid adjustment produced an additional thermal sensation that masks the discomfort caused by skin temperature [30]. As the ΔTsk value increased and skin temperatures tended to stabilize, a new thermal comfort degree was formed, and, as can be seen from the figure, the trend of changes in TSV and TCV became more evident in both temperature conditions. The coefficient of determination (R2) of the 24 °C condition was higher than that of the 18 °C condition, while the point distribution in the 18 °C condition was relatively dispersed, indicating that the thermal sensation and comfort of people were highly consistent under the 24 °C condition.
5. Conclusions
In this study, experimental tests were used to explore participants’ physiological reactions, as well as thermal sensation and comfort when entering two temperature conditions of 18 and 24 °C following cold exposure, while remaining moderately active. The key findings can be summarized as follows.
- (1)
- When participants engaged in moderate activity levels entered the hot room following cold exposure, the distribution of the mean body-part skin temperatures was in the order forehead > hand dorsal > front of thigh > thigh > lower leg > ankle > arm > chest.
- (2)
- With the temperature of the cold room remaining unchanged, the greater the temperature difference, the shorter the time required for mean skin temperatures to reach equilibrium. When the temperature difference exceeded 30 °C, the mean skin temperature of the human body required a shorter time to reach a steady state and adapt to the new environment. Among the different age-groups, when entering the cold room from the hot room, the forehead temperatures of the children and middle-aged adult groups dropped most rapidly. After returning to the hot room, the skin temperatures of the children returned to the original levels within the shortest amount of time. Overall, in public places, such as shopping malls, the responses of different age-groups to sudden temperature changes differ. The business directions of shopping malls lack different target consumer groups; therefore, the ideal environmental temperatures differ.
- (3)
- During sudden temperature changes, the HRs of participants varied significantly. Once they had adapted to the environment, participants’ HRs gradually stabilized, with the degree of temperature differences playing a determining role. Under the 24 °C condition, the HR variation of the middle-aged group was significantly higher than that of all other groups, whereas the range of HR variation in the children’s group was larger, indicating that when the temperature differences exceeds 36 °C, age has a certain influence on HR.
- (4)
- Following 30 min of thermal adaptation under the 18 °C condition, the middle-aged group reported a moderate feeling in TCV, but a “slightly warm” feeling in TSV, indicating a preference for a slightly warmer room temperature than other age-groups. For the 24 °C condition, all participants voted for a “warm” feeling in TSV and discomfort in TCV.
Accordingly, the following conclusion can be drawn from the analysis of the objective physiological parameters and subjective feelings: in shopping malls, which were used here to represent public places designated for short-duration stays, the behaviors of people, such as adjustments to clothing or the opening and closing of windows, are restricted; thus, indoor temperatures should not be too high. It is recommended here that shopping malls in Shenyang should be set at an ambient temperature of ~18 °C. Moreover, it is suggested that according to the temperature requirements of different mall attributes, temperature settings should be adjusted appropriately to ensure the comfort of most age-groups, but a temperature exceeding 24 °C is not recommended.
The experiment was conducted in an enclosed room, unlike the large, complex space inside the mall, which is accompanied by dynamic airflow changes. Due to the limitations of the test, the next step will be to carry out more on-site measurements of environmental parameters to obtain the comfortable temperature range of the human body. At the same time, the overall influence of airflow variation on thermal comfort will also be explored.
Author Contributions
Conceptualization, X.S. and J.Z.; methodology, M.M. and X.S.; software, X.S.; validation, X.S., J.Z. and M.M.; formal analysis, X.S.; investigation, X.S.; data curation, X.S.; writing—original draft preparation, X.S.; writing—review and editing, J.Z.; visualization, X.S.; supervision, J.Z.; project administration, J.Z. All authors have read and agreed to the published version of the manuscript.
Funding
This research was funded by the general project “Study on mechanism and evaluation system of thermal-light interaction in indoor and outdoor transition space of buildings in cold region based on perceptual adaptation” of the national Natural Science Foundation of China (grant 51678370). Sponsor: Jiuhong Zhang.
Institutional Review Board Statement
The study was conducted in accordance with the Declaration of Helsinki, and approved by the Ethics Committee of School of Architecture, Northeastern University.
Informed Consent Statement
Informed consent was obtained from all subjects involved in the study.
Data Availability Statement
The data used to support the findings of this study are included within the article.
Acknowledgments
We are grateful to the participants of the experiment, especially the children cooperation and parents.
Conflicts of Interest
The authors declare no conflict of interest.
Appendix A
Table A1.
CLO values for different clothing items.
Table A1.
CLO values for different clothing items.
| Garment Description | CLO |
|---|---|
| Panties | 0.03 |
| Long underwear top | 0.20 |
| Long-sleeve (thin) | 0.25 |
| Underpants | 0.15 |
| Straight trousers | 0.25 |
| Down coat | 0.55 |
| Socks (thick) | 0.05 |
| Shoes (thick bottom) | 0.04 |
| Gloves and hats | 0.22 |
Table A2.
Questionnaire content.
Table A2.
Questionnaire content.
Q. How long have you been outside while filling out this questionnaire?
|
Q. Thirty minutes before starting to fill in this questionnaire, your activity status was
|
Q. Which is the coldest part of your body right now? (multi-choice)
|
Q. How do you feel thermally at the moment?
|
References
- Duan, C.; Ding, X.; Shi, F.; Xiao, X.; Duan, P. PMV-Based Fuzzy Algorithms for Controlling Indoor Temperature. In Proceedings of the 6th IEEE on Industrial Electronics and Applications, Beijing, China, 21–23 June 2011; pp. 1492–1496. [Google Scholar]
- Xiuqian, Y.; Damin, Z. Ergonomics; Beihang University Press: Beijing, China, 2002. [Google Scholar]
- Hensel, H. Thermoreception and Temperature Regulation. In Monographs of the Physiological Society; Academic Press: London, UK, 1981; Volume 38. [Google Scholar]
- Bernard, T.E. Thermal Stress. In Fundamentals of Industrial Hygiene, 5th ed.; National Safety Council: Itasca, IL, USA, 2002; p. 327e56. [Google Scholar]
- Humphreys, J.F. Understanding the Adaptive Approach to Thermal Comfort. ASHRAE Trans. 1998, 104, 991–1004. [Google Scholar]
- Ismail Ahmad, R.; Jusoh, N.; Makhtar, N.K.; Zein, R.M.; Rahman, I.A.; Hassan, N.H.C.; Mohamed, D. Experimental Investigations and Computational Thermal Simulation on Human Thermal Comfort During Performing Office Tasks. J. Phys. Conf. Ser. 2021, 1973, 012076. [Google Scholar] [CrossRef]
- Zhonghua, G.; Wajishani, G.; Lau, S.S.Y. An Investigation of Thermal Comfort and Adaptive Behaviors in Naturally Ventilated Residential Buildings in Tropical Climates: A Pilot Study. Buildings 2018, 8, 5. [Google Scholar]
- Kwon, S.; Lee, Y.; Chun, C. Thermal Comfort in Offices Based on Office Workers’ Awareness of Discomfort. Build. Environ. 2022, 213, 108851. [Google Scholar] [CrossRef]
- Jiansong, W.; Hu, Z.; Han, Z.; Gu, Y.; Yang, L.; Sun, B. Human Physiological Responses of Exposure to Extremely Cold Environments. J. Therm. Biol. 2021, 98, 102933. [Google Scholar] [CrossRef]
- Chen, C.P.; Hwang, R.L.; Chang, S.Y.; Lu, Y.T. Effects of Temperature Steps on Human Skin Physiology and Thermal Sensation Response. Build. Environ. 2011, 46, 2387–2397. [Google Scholar] [CrossRef]
- GB50176-2016; China Academy of Building Research. Thermal Design Code for Civil Building. China Architecture & Building Press: Beijing, China, 2016.
- GB 50189-2015; Ministry of Construction. General Administration of Quality Supervision, Inspection and Quarantine of the People’s Republic of China Design Standard for Energy Efficiency of Public Buildings. Architecture & Building Press: Beijing, China, 2015.
- GB 50736-2016; Ministry of Housing and Urban-Rural Development. Design Code for Heating Ventilation and Air Conditioning of Civil Buildings. China Architecture & Building Press: Beijing, China, 2016.
- GB/T24254-2009; General Administration of Quality Supervision, Inspection and Quarantine of the People’s Republic of China, Textile and Clothing-Determination and Interpretation of Cold Stress when Using Required Clothing Insulation. China Architecture & Building Press: Beijing, China, 2009.
- Ramanathan, N.L. A New Weighting System for Mean Surface Temperature of the Human Body. J. Appl. Physiol. 1964, 19, 531–533. [Google Scholar] [CrossRef] [PubMed]
- GB T 18048-2008; General Administration of Quality Supervision, Inspection and Quarantine of the People’s Republic of China, Ergonomics of the Thermal Environment. Determination of Metabolic rate. Architecture & Building Press: Beijing, China, 2008.
- ASHRAE. Thermal Environmental Condition for Human Occupancy; American Society of Heating, Refrigerating, Air-Conditioning Engineer, Inc.: Atlanta, GA, USA, 2020. [Google Scholar]
- Xiujuan, D. Shallow Discussion on the Impact of Clothing Thermal Resistance on Human Thermal Comfort. Constr. Energy Cons. 2009, 37, 27–29. [Google Scholar]
- Yingxin, Z. Built Environment, 4th ed.; Architecture & Building Press: Beijing, China, 2016. [Google Scholar]
- 2021ASHRAE Handbook Fundamentals; Chapter 9 Thermal Comfort; American Society of Heating, Refrigerating, and Air-Conditioning Engineers: Atlanta, GA, USA, 2021.
- GB/T5701-2008; General Administration of Quality Supervision, Inspection and Quarantine of the People’s Republic of China, Indoor Thermal Environmental Conditions. China Architecture & Building Press: Beijing, China, 2008.
- Juan, Y.; Yingxin, Z.; Yangqin, O.; Guoguang, C.; Xiang, Z. Exploratory Experiment Research of Human Physiological Indices Under Wind Flow. In Proceedings of the National HVAC Refrigeration Annual Conference 2010, Hangzhou, China, 9 November 2010. [Google Scholar]
- Frank, S.M.; Raja, S.N.; Bulcao, C.F.; Goldstein, D.S. Relative Contribution of Core and Cutaneous Temperatures to Thermal Comfort and Autonomic Responses in Humans. J. Appl. Physiol. 1999, 86, 1588–1593. [Google Scholar] [CrossRef] [PubMed]
- Konz, S.A.; Runbai, W. Human and Indoor Environment; Architecture & Building Press: Beijing, China, 1985. [Google Scholar]
- Tochihara, Y.; Ohnaka, T.; Tuzuki, K.; Nagai, Y. Effects of Repeated Exposures to Severely Cold Environments on Thermal Responses of Humans. Ergonomics 2015, 38, 987–995. [Google Scholar] [CrossRef] [PubMed]
- Li, Y.; Alshaer, H.; Fernie, G. Blood Pressure and Thermal Responses to Repeated Whole Body Cold Exposure: Effect of Winter Clothing. Eur. J. Appl. Physiol. 2009, 107, 673–685. [Google Scholar] [CrossRef] [PubMed]
- Fanger, P.O. Thermal Comfort-Analysis and Application in Environment Engineering; Danish Technology Press: Copenhagen, Denmark, 1970. [Google Scholar]
- GB/T18049-2000; General Administration of Quality Supervision, Measurement of PMV and PPD Index in Moderate Thermal Environment and Regulations on Thermal Comfort Conditions. China Architecture & Building Press: Beijing, China, 2000.
- Gagge, A.P.; Stolwijk, J.A.; Hardy, J.D. Comfort and Thermal Sensations and Associate Physiological Responses at Various Ambient Temperatures. Environ. Res. 1967, 1, 1–20. [Google Scholar] [CrossRef]
- Zhu, Y.; Zhao, R. The Prediction of Human Responses to Transient Thermal Environment. In Proceedings of the Tsinghua–HVAC ’95, Beijing, China, September 1995; pp. 92–95. [Google Scholar]
Publisher’s Note: MDPI stays neutral with regard to jurisdictional claims in published maps and institutional affiliations. |
© 2022 by the authors. Licensee MDPI, Basel, Switzerland. This article is an open access article distributed under the terms and conditions of the Creative Commons Attribution (CC BY) license (https://creativecommons.org/licenses/by/4.0/).














