Unified Model for Axial Bearing Capacity of Concrete-Filled Steel Tubular Circular Columns Based on Hoek–Brown Failure Criterion
Abstract
:1. Introduction
2. Database
| References | R (%) | fcu (MPa) | fc (MPa) | Number |
|---|---|---|---|---|
| Liu et al. [3] | 0 | 59.0 | 50.1 | 1 |
| Bhartiya et al. [17] | 0 | 42–58.5 | 32.8–43.1 | 4 |
| Chen et al. [19] | 100 | 51.7 | 41.5 | 1 |
| Zhu et al. [20] | 0 | 47–121.1 | 38–112.1 | 3 |
| Wang et al. [21] | 0 | 59.8 | 49.6 | 1 |
| Wang et al. [22] | 0 | 85.4 | 73.2 | 1 |
| Wang et al. [6] | 0–100 | 45.3–67.1 | 36.9–52.9 | 5 |
| Johansson [23] | 0 | 52.3–117.2 | 36.6–93.8 | 2 |
| Yuan et al. [24] | 0 | 47.6 | 38.9 | 1 |
| Gao et al. [25] | 0 | 59 | 50.1 | 1 |
| Chen et al. [26] | 0 | 28.3–52.2 | 19–33.8 | 2 |
| Jamaluddin et al. [27] | 0 | 20–115.8 | 13–90 | 22 |
| Yan et al. [9] | 0 | 102.4–141 | 89.2–128.1 | 4 |
| Lam et al. [28] | 0 | 46.3–109.4 | 37–90 | 2 |
| Yang et al. [29] | 0 | 36.9–98.4 | 30.5–102.2 | 3 |
| Liu et al. [30] | 0 | 73–97 | 60–89 | 2 |
| Tao et al. [31] | 0 | 59.8–61.8 | 50.1–54.8 | 2 |
| Summary | 0–100 | 20–141 | 13–128.1 | 57 |
| References | L (mm) | D (mm) | t (mm) | L/D | D/t | R (%) | fsy (MPa) | fcu (MPa) | fc (MPa) | Nu (kN) | Number |
|---|---|---|---|---|---|---|---|---|---|---|---|
| Ding et al. [32] | 450 | 158 | 1.50–2.14 | 2.85 | 74–105 | 0 | 286–308 | 48.5 | - | 815–907 | 2 |
| Liu et al. [3] | 688–2748 | 275–1100 | 4.14–16.48 | 2.5 | 54–70 | 0 | 260–281 | 59.0 | 50.1 | 3956–59,361 | 8 |
| De Azevedo et al. [4] | 450–560 | 153–178 | 6.56 | 3 | 23–27 | 0–50 | 440–426 | - | 25.2–34 | 2120–2902 | 23 |
| Bhartiya et al. [17] | 420–600 | 60–140 | 4.5–5.4 | 3–10 | 13–26 | 0 | 360 | 42–58.5 | 32.8–43.1 | 293–1529 | 22 |
| Guler et al. [33] | 400 | 114 | 2.99–6.02 | 3.5 | 19–38 | 0 | 306–314 | - | 115 | 402–1830 | 21 |
| Guler et al. [7] | 300 | 76 | 2.48–3.65 | 3.94 | 21–31 | 0 | 278–316 | - | 145 | 752–876 | 12 |
| Giakoumelis et al. [34] | 300 | 115 | 3.75–5.02 | 2.62 | 23–30 | 0 | 343–365 | 31.4–104.9 | - | 929–1787 | 13 |
| Lyu et al. [5] | 300–600 | 100–200 | 2.89 | 3 | 35–68 | 0–100 | 434 | 51.6–57.2 | - | 1000–3039 | 15 |
| Xiong et al. [35] | 210–600 | 114–219 | 3.6–10 | 1.84–2.74 | 18–35 | 0 | 300–428 | - | 51.6–193.3 | 2314–9187 | 18 |
| Schneider et al. [36] | 605–616 | 140–141 | 3–6.68 | 4.3 | 21–47 | 0 | 285–537 | - | 23.8–28.2 | 881–2715 | 3 |
| Sakino et al. [37] | * | 108–450 | 2.96–6.47 | - | 36–70 | 0 | 279–853 | - | 25.4–85.1 | 941–13,776 | 36 |
| Chen et al. [19] | 420–1680 | 138 | 2.71 | 3.05–12.20 | 50–51 | 100 | 299 | 51.7 | 41.5 | 824–1115 | 12 |
| Lu et al. [38] | 387–399 | 129–133 | 3–5 | 3 | 27–43 | 0 | 306 | 53.7–76.4 | - | 1068–1774 | 36 |
| Su et al. [13] | 267–399 | 89–133 | 2.98–3.98 | 3 | 23–34 | 0 | 980–1233 | 35.5–114.9 | - | 1400–4203 | 13 |
| Tam et al. [39] | 420–510 | 138–171 | 2.83 | 3 | 49–60 | 0–100 | 340–389 | - | 37.8–41.7 | 1148–1708 | 8 |
| Uy et al. [15] | 150–2940 | 51–203 | 1.2–2.8 | 2.95–14.47 | 34–79 | 0 | 259–321 | - | 20–75.4 | 164–1550 | 37 |
| Cai et al. [40] | 222–421 | 89–169 | 4.92–12.08 | 2.50 | 14–27 | 0 | 388–460 | - | 39.9–78.7 | 1001–5000 | 40 |
| Dai et al. [41] | 899–977 | 298–325 | 7.74–11.94 | 3 | 27–38 | 0 | 242–544 | 40–53.8 | - | 4640–13,200 | 18 |
| O’Shea et al. [42] | 578–665 | 165–190 | 0.86–2.82 | 3.5 | 67–192 | 0 | 186–363 | - | 41–108 | 1350–3360 | 15 |
| Yang et al. [43] | 342–657 | 114–219 | 2.19–2.86 | 3 | 52–77 | 0–50 | 336–350 | 36.6–42.7 | - | 669–2158 | 15 |
| Liew et al. [14] | 210–600 | 114–219 | 3.6–12.5 | 1.84–3 | 13–32 | 0 | 380–779 | - | 51.6–193.3 | 2314–9187 | 25 |
| Han et al. [44] | 300–2000 | 100–200 | 3 | 3–10 | 33–67 | 0 | 304 | 58.5 | - | 708–2383 | 17 |
| Gupta et al. [45] | 340 | 47–113 | 1.87–2.89 | 3–7.19 | 25–39 | 0–30 | 360 | 25.8–35.7 | - | 145–822 | 72 |
| Abed et al. [46] | 250–350 | 114–167 | 3.1–5.6 | 2.15 | 30–37 | 0 | 300 | 53–70 | - | 1042–1873 | 6 |
| Yu et al. [47] | 510–650 | 165–219 | 2.72–4.78 | 3 | 35–81 | 0 | 350 | 42.6–77.2 | - | 1560–3400 | 6 |
| Ekmekyapar et al. [48] | 300–900 | 114 | 2.74–5.9 | 2.62–7.87 | 19–42 | 0 | 235–355 | - | 56.2–107.2 | 877–1990 | 18 |
| Yu et al. [11] | 300–3000 | 100 | 1.9 | 3–30 | 53 | 0 | 404 | 121.6 | - | 288–1170 | 10 |
| Yang et al. [10] | 360 | 120 | 1.77 | 3 | 68 | 0–75 | 287 | 55.3–63.4 | - | 768–823 | 7 |
| Chan et al. [49] | 250 | 95 | 5.4–7.6 | 2.62 | 13–18 | 0 | 418–476 | 39 | - | 1168–1435 | 6 |
| Zhu et al. [20] | 695 | 200 | 6 | 3.48 | 33 | 0 | 451 | 47–121.1 | 38–112.1 | 3503–5099 | 7 |
| Wei et al. [12] | 450 | 140 | 2 | 3.21 | 70 | 0 | 268 | 105–125 | - | 1684–1718 | 4 |
| Zhou et al. [1] | 525–975 | 141–262 | 2.11–3.04 | 3.72 | 66–97 | 0 | 691–734 | 50.4–53.4 | - | 1550–4302 | 15 |
| Xue et al. [50] | 700 | 219 | 3–5 | 3.2 | 44–73 | 0 | 313 | 62.5 | - | 2647–3218 | 3 |
| Oliveira et al. [16] | 343–1143 | 114 | 3.35 | 3–10 | 34 | 0 | 287 | - | 32.7–105.5 | 599–1453 | 16 |
| Zhu et al. [51] | 995 | 558 | 16.53 | 1.78 | 34 | 0 | 546 | 31.7 | - | 28,830–29,590 | 3 |
| Ding et al. [52] | 900 | 300 | 3.76 | 3 | 78–81 | 0 | 311 | 35.5–54.4 | - | 3540–4976 | 4 |
| Xiao et al. [53] | 400 | 199 | 4 | 2 | 50 | 0–100 | 465 | 36.7–47.2 | - | 2182–2513 | 5 |
| Wan et al. [54] | 1300–3300 | 273–426 | 6.81–7.78 | 3.05–12.09 | 40–55 | 0 | 313–328 | 30.51 | - | 3155–6826 | 2 |
| Hu et al. [55] | 696 | 232 | 7.96–12.55 | 3 | 18–29 | 0 | 376–442 | - | 48.2–122 | 4846–8917 | 8 |
| Wang et al. [21] | 657–1890 | 216–632 | 2.6–11.2 | 3 | 51–83 | 0 | 260–590 | 59.78 | 49.64 | 4030–29,463 | 12 |
| Wang et al. [22] | 306–954 | 153–477 | 1.54–11.36 | 2 | 42–99 | 0 | 290–345 | 85.4 | 73.2 | 1823–20,462 | 36 |
| Chen et al. [8] | 342 | 108–115 | 2.05–8.03 | 2.98–3.17 | 14–53 | 0 | 252–304 | 70.86 | 130.8–113.2 | 904–1748 | 9 |
| Wang et al. [6] | 400–420 | 133–140 | 2.64–4.66 | 3 | 30–50 | 0–100 | 302–335 | 45.3–67.1 | 36.9–52.9 | 1065–1749 | 39 |
| Han et al. [56] | 180–750 | 60–250 | 1.87–2 | 3 | 32–125 | 0 | 282–404 | 85.2–90 | - | 312–4800 | 26 |
| Johansson [23] | 650 | 159 | 5–10 | 4.1 | 16–32 | 0 | 355–402 | 52.3–117.2 | 36.6–93.8 | 2040–3710 | 6 |
| Chang et al. [57] | 288 | 168 | 4.98–8.06 | 3.5 | 21–34 | 0 | 291–369 | - | 34.1 | 1501–2312 | 8 |
| Lai et al. [58] | 248–420 | 89–169 | 0.95–10.06 | 2.08–2.96 | 17–116 | 0 | 285–476 | - | 27–125.3 | 456–4358 | 28 |
| Huang et al. [59] | 600–900 | 200–300 | 2–5 | 3 | 40–150 | 0 | 266–342 | - | 27.2–31.2 | 2013–3025 | 3 |
| Liao et al. [60] | 740 | 180 | 3.8 | 4.11 | 47 | 0 | 360 | 64.1 | - | 2070–2110 | 2 |
| Hu et al. [61] | 400 | 202–204 | 1–2 | 1.97 | 102–202 | 0 | 226–242 | - | 35.9–42.2 | 1380–1864 | 3 |
| Duarte et al. [62] | 300–500 | 114–219 | 2.7–4.25 | 2.28–3.29 | 40–57 | 0–15 | 284–456 | 25.2–49.5 | - | 484–2888 | 15 |
| Summary | 150–3300 | 47–1100 | 0.86–16.54 | 1.78–30 | 13–202 | 0–100 | 186–1233 | 25–125 | 20–193.3 | 145–59361 | 788 |
3. Establishment of a Unified Model for Axial Bearing Capacity
3.1. Axial Bearing Capacity Nu
3.2. Hoek–Brown Failure Criterion
3.3. Ultimate Compressive Strength fcc
3.4. Unified Model for Axial Bearing Capacity
3.4.1. Concrete Strength Conversion
3.4.2. Axial Bearing Capacity Model for CFST Circular Short Columns Nus
3.4.3. Axial Bearing Capacity Model for CFST Circular Long Columns Nul
4. Assessment of Axial Bearing Capacity Model for CFST Circular Columns
4.1. Assessment of Axial Bearing Capacity Model for CFST Circular Short Columns
4.2. Assessment of Axial Bearing Capacity Model for CFST Circular Long Columns
4.3. Assessment of Unified Model for CFST Circular Columns
4.4. Prediction of Axial Bearing Capacity of CFST Columns under High Temperature
5. Conclusions
- (1)
- Most of the existing models are empirical models. On the one hand, there are some limitations in the application of the models. On the other hand, the types of experimental data and the parameter range affect the accuracy of the published models.
- (2)
- There is a linear relationship between cylinder and cube compressive strength, and the ratio is approximately 0.82.
- (3)
- The ultimate compressive strength was established by the Hoek–Brown failure criterion, considering the section size, diameter–thickness ratio, and concrete strength. At the same time, the vertical and transverse stress components of steel tubular are determined by the von Mises yield criterion. Therefore, from this point of view, the steel corresponding to the ultimate compressive strength may not reach the yield strength.
- (4)
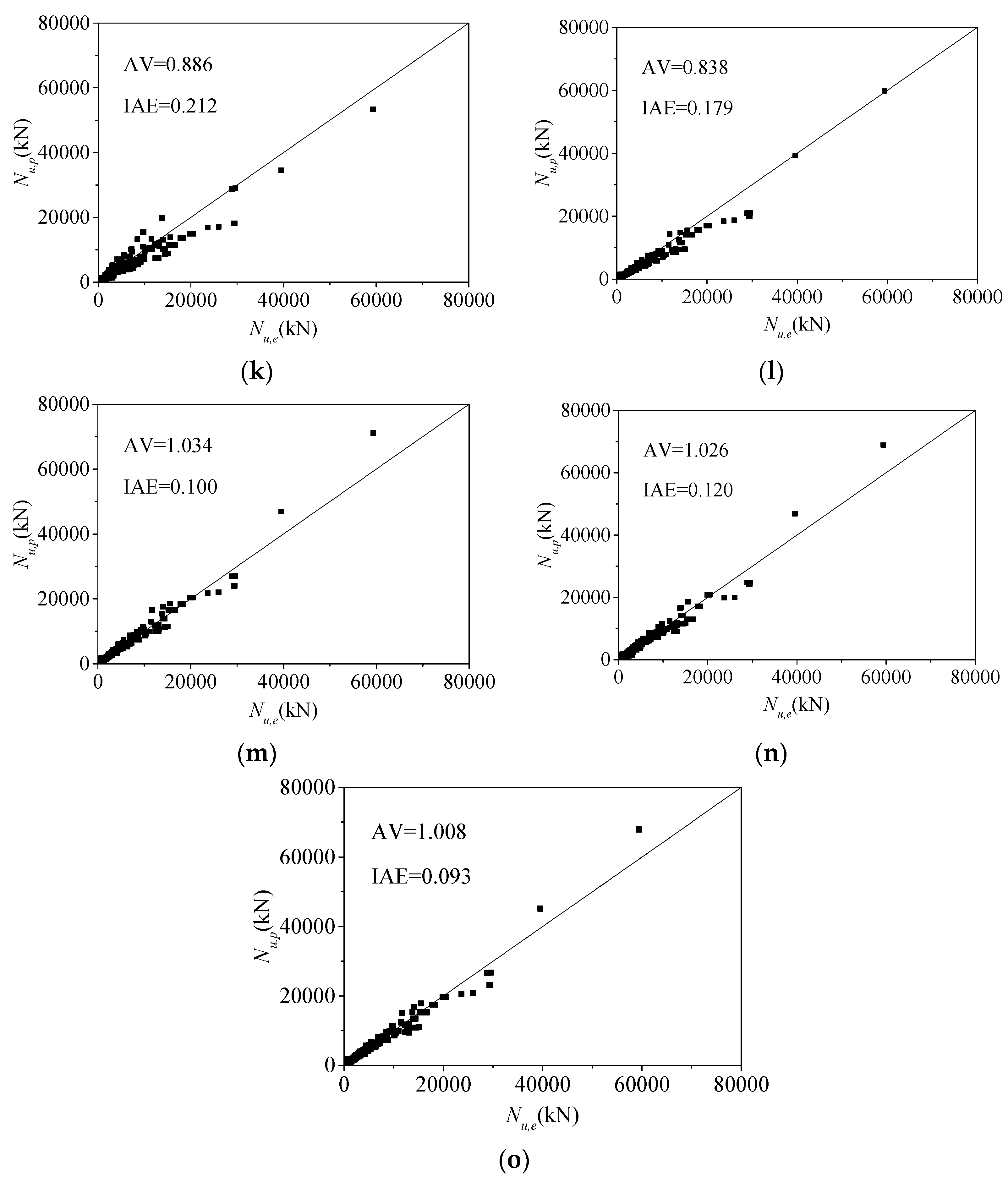
- Based on the ultimate compressive strength established by the Hoek–Brown failure criterion, the axial bearing capacity model for CFST short columns can accurately predict 681 test data, and AV and IAE are 1.008 and 0.093, compared with other existing models. It also fully shows that it is reasonable based on superposition theory and limit equilibrium theory. At the same time, the axial bearing capacity model can accurately predict the data of 107 CFST long columns, and AV and IAE are 1.031 and 0.108. The axial bearing capacity for CFST short and long columns can be predicted at the same time since the proposed model is a unified model. The prediction results of the proposed unified model are 1.012 and 0.094, respectively, which shows that the proposed model is accurate.
- (5)
- The proposed model also predicts the axial bearing capacity of CFST columns under high temperatures, and the AV and IAE are 1.007 and 0.100. On the one hand, it shows that the proposed model can be used to predict the axial bearing capacity of CFST columns under high temperatures. On the other hand, it also shows that the establishment process and confinement mechanism of the proposed model are correct and reasonable.
- (6)
- From the assessment results of the models, the calculation model for axial bearing capacity established by the superposition theory and limit equilibrium theory and the stress component of steel tube based on von Mises yield criterion is reasonable and reliable.
Funding
Data Availability Statement
Conflicts of Interest
References
- Zhou, S.; Sun, Q.; Wu, X. Impact of D/t ratio on circular concrete-filled high-strength steel tubular stub columns under axial compression. Thin Walled Struct. 2018, 132, 461–474. [Google Scholar] [CrossRef]
- Hasan, H.G.; Ekmekyapar, T. Bond-slip behaviour of concrete filled double skin steel tubular (CFDST) columns. Mar. Struct. 2021, 79, 103061. [Google Scholar] [CrossRef]
- Liu, J.; Gao, P.; Lin, X.; Wang, X.; Zhou, X.; Chen, Y.F. Experimental assessment on the size effects of circular concrete-filled steel tubular columns under axial compression. Eng. Struct. 2023, 275, 115247. [Google Scholar] [CrossRef]
- Azevedo, V.d.S.d.; Lima, L.R.O.d.; Vellasco, P.C.G.d.S.; Tavares, M.E.d.N.; Chan, T.M. Experimental investigation on recycled aggregate concrete filled steel tubular stub columns under axial compression. J. Constr. Steel Res. 2021, 187, 106930. [Google Scholar] [CrossRef]
- Lyu, W.Q.; Han, L.H.; Hou, C. Axial compressive behaviour and design calculations on recycled aggregate concrete-filled steel tubular (RAC-FST) stub columns. Eng. Struct. 2021, 241, 112452. [Google Scholar] [CrossRef]
- Wang, Y.; Chen, J.; Geng, Y. Testing and analysis of axially loaded normal-strength recycled aggregate concrete filled steel tubular stub columns. Eng. Struct. 2015, 86, 192–212. [Google Scholar] [CrossRef]
- Guler, S.; Aydogan, M.; Çopur, A. Axial capacity and ductility of circular UHPC-filled steel tube columns. Mag. Concr. Res. 2013, 65, 898–905. [Google Scholar] [CrossRef]
- Chen, S.; Zhang, R.; Jia, L.J.; Wang, J.Y.; Gu, P. Structural behavior of UHPC filled steel tube columns under axial loading. Thin Walled Struct. 2018, 130, 550–563. [Google Scholar] [CrossRef]
- Yan, Y.; Xu, L.; Li, B.; Chi, Y.; Yu, M.; Zhou, K.; Song, Y. Axial behavior of ultra-high performance concrete (UHPC) filled stocky steel tubes with square sections. J. Constr. Steel Res. 2019, 158, 417–428. [Google Scholar] [CrossRef]
- Yang, Y.F.; Ma, G.L. Experimental behaviour of recycled aggregate concrete filled stainless steel tube stub columns and beams. Thin Walled Struct. 2013, 66, 62–75. [Google Scholar] [CrossRef]
- Yu, Q.; Tao, Z.; Wu, Y.X. Experimental behaviour of high performance concrete-filled steel tubular columns. Thin Walled Struct. 2008, 46, 362–370. [Google Scholar] [CrossRef]
- Wei, J.; Xie, Z.; Zhang, W.; Lou, X.; Yang, Y.; Chen, B. Experimental study on circular steel tube-confined reinforced UHPC columns under axial loading. Eng. Struct. 2021, 230, 111599. [Google Scholar] [CrossRef]
- Su, M.; Cai, Y.; Chen, X.; Young, B. Behaviour of concrete-filled cold-formed high strength steel circular stub columns. Thin Walled Struct. 2020, 157, 107078. [Google Scholar] [CrossRef]
- Liew, J.Y.R.; Xiong, M.; Xiong, D. Design of concrete filled tubular beam-columns with high strength steel and concrete. Structures 2016, 8, 213–226. [Google Scholar] [CrossRef]
- Uy, B.; Tao, Z.; Han, L.H. Behaviour of short and slender concrete-filled stainless steel tubular columns. J. Constr. Steel Res. 2011, 67, 360–378. [Google Scholar] [CrossRef]
- Oliveira, W.L.A.d.; Nardin, S.D.; Debs, A.L.H.d.C.E.; Debs, M.K.E. Influence of concrete strength and length/diameter on the axial capacity of CFT columns. J. Constr. Steel Res. 2009, 65, 2103–2110. [Google Scholar] [CrossRef]
- Bhartiya, R.; Oinamb, R.M.; Sahoo, D.R.; Utkarsh, K. Modified confinement model for monotonic axial behavior of concrete-filled tubular columns. J. Constr. Steel Res. 2021, 180, 106570. [Google Scholar] [CrossRef]
- GB 50936-2014; Technical Code for Concrete-Filled Steel Tubular Structures. Ministry of Housing and Urban-Rural Development of the People’s Republic of China: Beijing, China, 2014. (In Chinese)
- Chen, J.; Wang, Y.; Roeder, C.W.; Ma, J. Behavior of normal-strength recycled aggregate concrete filled steel tubes under combined loading. Eng. Struct. 2017, 130, 23–40. [Google Scholar] [CrossRef]
- Zhu, J.Y.; Chan, T.M. Experimental investigation on octagonal concrete filled steel stub columns under uniaxial compression. J. Constr. Steel Res. 2018, 147, 457–467. [Google Scholar] [CrossRef]
- Wang, W.; Ma, H.; Li, Z.; Tang, Z. Size effect in circular concrete-filled steel tubes with different diameter-to-thickness ratios under axial compression. Eng. Struct. 2017, 151, 554–567. [Google Scholar] [CrossRef]
- Wang, Y.; Chen, P.; Liua, C.; Zhang, Y. Size effect of circular concrete-filled steel tubular short columns subjected to axial compression. Thin Walled Struct. 2017, 120, 397–407. [Google Scholar] [CrossRef]
- Johansson, M. The efficiency of passive confinement in CFT columns. Steel Compos. Struct. 2002, 2, 379–396. [Google Scholar] [CrossRef]
- Yuan, F.; Cao, L.; Li, H. Axial compressive behaviour of high-strength steel spiral-confined square concrete-filled steel tubular columns. J. Constr. Steel Res. 2022, 192, 107245. [Google Scholar] [CrossRef]
- Gao, P.; Zhou, X.; Liu, J.; Lin, X.; Wang, X.; Chen, Y.F. Experimental assessment on the size effects of square concrete-filled steel tubular columns under axial compression. Eng. Struct. 2023, 281, 115706. [Google Scholar] [CrossRef]
- Chen, Z.; Zhou, J.; Jing, C.; Tan, Q. Mechanical behavior of spiral stirrup reinforced concrete filled square steel tubular columns under compression. Eng. Struct. 2021, 226, 111377. [Google Scholar] [CrossRef]
- Jamaluddin, N.; Lam, D.; Dai, X.H.; Ye, J. An experimental study on elliptical concrete filled columns under axial compression. J. Constr. Steel Res. 2013, 87, 6–16. [Google Scholar] [CrossRef]
- Lam, D.; Gardner, L.; Burdett, M. Behaviour of axially loaded concrete filled stainless steel elliptical stub columns. Adv. Struct. Eng. 2010, 13, 493–500. [Google Scholar] [CrossRef]
- Yang, H.; Lam, D.; Gardner, L. Testing and analysis of concrete-filled elliptical hollow sections. Eng. Struct. 2008, 30, 3771–3781. [Google Scholar] [CrossRef]
- Liu, D. Tests on high-strength rectangular concrete-filled steel hollow section stub columns. J. Constr. Steel Res. 2005, 61, 902–911. [Google Scholar] [CrossRef]
- Tao, Z.; Han, L.H.; Wang, Z.B. Experimental behaviour of stiffened concrete-filled thin-walled hollow steel structural (HSS) stub columns. J. Constr. Steel Res. 2005, 61, 962–983. [Google Scholar] [CrossRef]
- Ding, F.X.; Zhua, J.; Cheng, S.; Liu, X. Comparative study of stirrup-confined circular concrete-filled steel tubular stub columns under axial loading. Thin Walled Struct. 2018, 123, 294–304. [Google Scholar] [CrossRef]
- Guler, S.; Çopur, A.; Aydogan, M. A comparative study on square and circular high strength concrete-filled steel tube columns. Adv. Steel Constr. 2014, 10, 234–247. [Google Scholar]
- Giakoumelis, G.; Lam, D. Axial capacity of circular concrete-filled tube columns. J. Constr. Steel Res. 2004, 60, 1049–1068. [Google Scholar]
- Xiong, M.X.; Xiong, D.X.; Liew, J.Y.R. Axial performance of short concrete filled steel tubes with high- and ultra-high- strength materials. Eng. Struct. 2017, 136, 494–510. [Google Scholar] [CrossRef]
- Schneider, S.P. Axially loaded concrete-filled steel tubes. J. Struct. Eng. 1998, 124, 1125–1138. [Google Scholar] [CrossRef]
- Sakino, K.; Nakahara, H.; Morino, S.; Nishiyama, I. Behavior of centrally loaded concrete-filled steel-tube short columns. J. Struct. Eng. 2004, 130, 180–188. [Google Scholar] [CrossRef]
- Lu, Y.; Li, N.; Li, S.; Liang, H. Behavior of steel fiber reinforced concrete-filled steel tube columns under axial compression. Constr. Build. Mater. 2015, 95, 74–85. [Google Scholar] [CrossRef]
- Tam, V.W.Y.; Wang, Z.B.; Tao, Z. Behaviour of recycled aggregate concrete filled stainless steel stub columns. Mater. Struct. 2014, 47, 293–310. [Google Scholar] [CrossRef]
- Cai, Y.; Kwan, A.K.H.; Li, L.G. Circular concrete filled steel tubes made of eco-concrete with limestone fines added as cementitious paste replacement. Structures 2020, 28, 69–79. [Google Scholar] [CrossRef]
- Dai, P.; Yang, L.; Wang, J.; Zhou, Y. Compressive strength of concrete-filled stainless steel tube stub columns. Eng. Struct. 2020, 205, 110106. [Google Scholar] [CrossRef]
- O’Shea, M.D.; Bridge, R.Q. Design of circular thin-walled concrete filled steel tubes. J. Struct. Eng. 2000, 126, 1295–1303. [Google Scholar] [CrossRef]
- Yang, Y.F.; Han, L.H. Compressive and flexural behaviour of recycled aggregate concrete filled steel tubes (RACFST) under short-term loadings. Steel Compos. Struct. 2006, 6, 257–284. [Google Scholar] [CrossRef]
- Han, L.H.; Yao, G.H. Experimental behaviour of thin-walled hollow structural steel (HSS) columns filled with self-consolidating concrete (SCC). Thin Walled Struct. 2004, 42, 1357–1377. [Google Scholar] [CrossRef]
- Gupta, P.K.; Sarda, S.M.; Kumar, M.S. Experimental and computational study of concrete filled steel tubular columns under axial loads. J. Constr. Steel Res. 2007, 63, 182–193. [Google Scholar] [CrossRef]
- Abed, F.; AlHamaydeh, M.; Abdalla, S. Experimental and numerical investigations of the compressive behavior of concrete filled steel tubes (CFSTs). J. Constr. Steel Res. 2013, 80, 429–439. [Google Scholar] [CrossRef]
- Yu, Z.W.; Ding, F.X.; Cai, C.S. Experimental behavior of circular concrete-filled steel tube stub columns. J. Constr. Steel Res. 2007, 63, 165–174. [Google Scholar] [CrossRef]
- Ekmekyapar, T.; Al-Eliwi, B.J.M. Experimental behaviour of circular concrete filled steel tube columns and design specifications. Thin Walled Struct. 2016, 105, 220–230. [Google Scholar] [CrossRef]
- Chan, T.M.; Huai, Y.M.; Wang, W. Experimental investigation on lightweight concrete-filled cold-formed elliptical hollow section stub columns. J. Constr. Steel Res. 2015, 115, 434–444. [Google Scholar] [CrossRef]
- Xue, J.Q.; Briseghella, B.; Chen, B.C. Effects of debonding on circular CFST stub columns. J. Constr. Steel Res. 2012, 69, 64–76. [Google Scholar] [CrossRef]
- Zhu, L.; Ma, L.; Bai, Y.; Li, S.; Song, Q.; Wei, Y.; Zhang, L.; Zhang, Z.; Sha, X. Large diameter concrete-filled high strength steel tubular stub columns under compression. Thin Walled Struct. 2016, 108, 12–19. [Google Scholar] [CrossRef]
- Ding, F.X.; Liu, J.; Liu, X.M.; Yu, Z.W.; Li, D.W. Mechanical behavior of circular and square concrete filled steel tube stub columns under local compression. Thin Walled Struct. 2015, 94, 155–166. [Google Scholar] [CrossRef]
- Xiao, J.; Huang, Y.; Yang, J.; Zhang, C. Mechanical properties of confined recycled aggregate concrete under axial compression. Constr. Build. Mater. 2012, 26, 591–603. [Google Scholar] [CrossRef]
- Wan, C.Y.; Zha, X.X. Nonlinear analysis and design of concrete-filled dual steel tubular columns under axial loading. Steel Compos. Struct. 2016, 20, 571–597. [Google Scholar] [CrossRef]
- Hu, H.S.; Lin, K.; Shahrooz, B.M.; Guo, Z.X. Revisiting the composite action in axially loaded circular CFST columns through direct measurement of load components. Eng. Struct. 2021, 235, 112066. [Google Scholar] [CrossRef]
- Han, L.H.; Yao, G.H.; Zhao, X.L. Tests and calculations for hollow structural steel (HSS) stub columns filled with self-consolidating concrete (SCC). J. Constr. Steel Res. 2005, 61, 1241–1269. [Google Scholar] [CrossRef]
- Chang, Y.; Chen, W.; Xiao, Q.; Rong, E.; Peng, L. Theoretical and experimental study on axial compression concrete-filled tubes with different confinements. J. Constr. Steel Res. 2021, 185, 106862. [Google Scholar] [CrossRef]
- Lai, M.H.; Ho, J.C.M. A theoretical axial stress-strain model for circular concrete-filled-steel-tube columns. Eng. Struct. 2016, 125, 124–143. [Google Scholar] [CrossRef]
- Huang, C.S.; Yeh, Y.K.; Liu, G.Y.; Hu, H.T.; Tsai, K.C.; Weng, Y.T.; Wang, S.H.; Wu, M.H. Axial load behavior of stiffened concrete-filled steel columns. J. Struct. Eng. 2002, 128, 1222–1230. [Google Scholar] [CrossRef]
- Liao, F.Y.; Han, L.H.; He, S.H. Behavior of CFST short column and beam with initial concrete imperfection: Experiments. J. Constr. Steel Res. 2011, 67, 1922–1935. [Google Scholar] [CrossRef]
- Hu, Y.M.; Yu, T.; Teng, J.G. FRP-confined circular concrete-filled thin steel tubes under axial compression. J. Compos. Constr. 2011, 15, 850–860. [Google Scholar] [CrossRef]
- Duarte, A.P.C.; Silva, B.A.; Silvestre, N.; Brito, J.D.; Júlio, E.; Castro, J.M. Tests and design of short steel tubes filled with rubberised concrete. Eng. Struct. 2016, 112, 274–286. [Google Scholar] [CrossRef]
- Han, L.H. Concrete Filled Steel Tubular Structures-Theory and Practice; Science Press: Beijing, China, 2016. [Google Scholar]
- Oliveira, W.L.A.d.; Nardin, S.D.; Debsa, A.L.H.d.C.E.; Debs, M.K.E. Evaluation of passive confinement in CFT columns. J. Constr. Steel Res. 2010, 66, 487–495. [Google Scholar] [CrossRef]
- Yu, Q.; Tao, Z.; Liu, W.; Chen, Z.B. Analysis and calculations of steel tube confined concrete (STCC) stub columns. J. Constr. Steel Res. 2010, 66, 53–64. [Google Scholar] [CrossRef]
- Lai, Z.; Jiang, H.; Cai, Y. A new design equation to estimate the axial compressive strength of circular concrete-filled steel tubular stub columns. Structures 2022, 46, 1043–1054. [Google Scholar] [CrossRef]
- Hoek, E.; Brown, E.T. Underground Excavations in Rock; Institution of Mining and Metallurgy: London, UK, 1980; pp. 510–530. [Google Scholar]
- Hoek, E. The Hoek-Brown failure criterion-a 1988 update. In Proceedings of the 15th Canadian Rock Mechanics Symposium; Department Civil Engineering, University of Toronto: Toronto, ON, Canada, 1988; pp. 31–38. [Google Scholar]
- Hoek, E.; Carranza-Torres, C.; Corkum, B. Hoek-Brown failure criterion-2002 edition. In Proceedings of the Fifth North American Rock Mechanics Symposium (NARMS-TAC), Toronto, ON, Canada, 7–10 July 2002; University of Toronto Press: Toronto, ON, Canada, 2002; pp. 267–273. [Google Scholar]
- Wu, Y.F.; Zhou, Y.W. Unified strength model based on Hoek-Brown failure criterion for circular and square concrete columns confined by FRP. J. Compos. Constr. 2010, 14, 175–184. [Google Scholar] [CrossRef]
- Zhang, Y.; Lu, Z.F.; Cao, Y.G. Unified strength model based on the Hoek-Brown failure criterion for fibre-reinforced polymer-confined pre-damaged concrete columns with circular and square cross sections. J. Cent. South Univ. 2020, 27, 3807–3820. [Google Scholar] [CrossRef]
- Lyu, X. Residual Load Capacity and Experimental Research on Short Steel Tube Infilled with High Strength Concrete Column Post-Fire; Southeast University: Nanjing, China, 2018. (In Chinese) [Google Scholar]











| References | Models | Comments |
|---|---|---|
| Han [63] | fck: characteristic value of compressive strength ξ: confinement index | |
| Liu et al. [3] | Ditto | |
| Giakoumelis et al. [34] | Ditto | |
| Sakino et al. [37] | | Dc: diameter of the core concrete column k = 4.1, λ = 0.27. |
| Lu et al. [38] | Vf: volume percentage of steel fiber | |
| Xiao et al. [53] | Ditto | |
| Hu et al. [55] | Ditto | |
| Wang et al. [22] | Ditto | |
| Chen et al. [8] | Ditto | |
| Han et al. [56] | Ditto | |
| Chang et al. [57] | Ditto | |
| Oliveira et al. [64] | Ditto | |
| Yu et al. [65] | Ditto | |
| Lai et al. [66] | Ditto |
Disclaimer/Publisher’s Note: The statements, opinions and data contained in all publications are solely those of the individual author(s) and contributor(s) and not of MDPI and/or the editor(s). MDPI and/or the editor(s) disclaim responsibility for any injury to people or property resulting from any ideas, methods, instructions or products referred to in the content. |
© 2023 by the author. Licensee MDPI, Basel, Switzerland. This article is an open access article distributed under the terms and conditions of the Creative Commons Attribution (CC BY) license (https://creativecommons.org/licenses/by/4.0/).
Share and Cite
Zhou, Z. Unified Model for Axial Bearing Capacity of Concrete-Filled Steel Tubular Circular Columns Based on Hoek–Brown Failure Criterion. Buildings 2023, 13, 2408. https://doi.org/10.3390/buildings13102408
Zhou Z. Unified Model for Axial Bearing Capacity of Concrete-Filled Steel Tubular Circular Columns Based on Hoek–Brown Failure Criterion. Buildings. 2023; 13(10):2408. https://doi.org/10.3390/buildings13102408
Chicago/Turabian StyleZhou, Ziao. 2023. "Unified Model for Axial Bearing Capacity of Concrete-Filled Steel Tubular Circular Columns Based on Hoek–Brown Failure Criterion" Buildings 13, no. 10: 2408. https://doi.org/10.3390/buildings13102408
APA StyleZhou, Z. (2023). Unified Model for Axial Bearing Capacity of Concrete-Filled Steel Tubular Circular Columns Based on Hoek–Brown Failure Criterion. Buildings, 13(10), 2408. https://doi.org/10.3390/buildings13102408
