Dynamic Analysis of a Concrete-Cored Deep Cement Mixing Pile under Horizontal Dynamic Loads
Abstract
1. Introduction
2. Physical Model and Basic Equations
2.1. Physical Model of the Pile–Soil System
2.2. Basic Equations of the Pile–Soil System
2.3. Boundary Conditions of the Pile–Soil System
3. Solutions of the Pile–Soil System
3.1. Solution for the Surrounding Soil
3.2. Solution for the Concrete-Cored DCM Pile
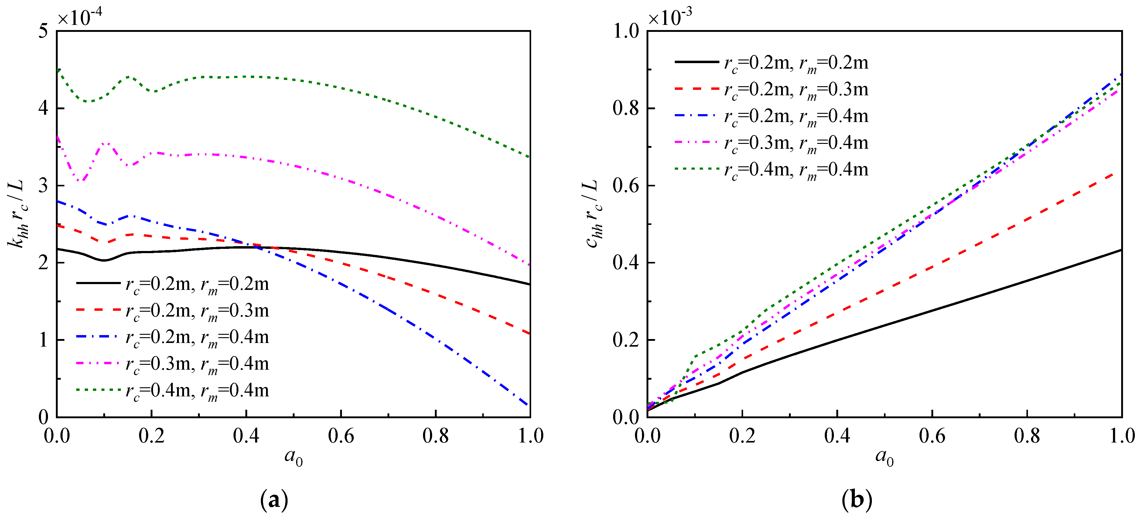
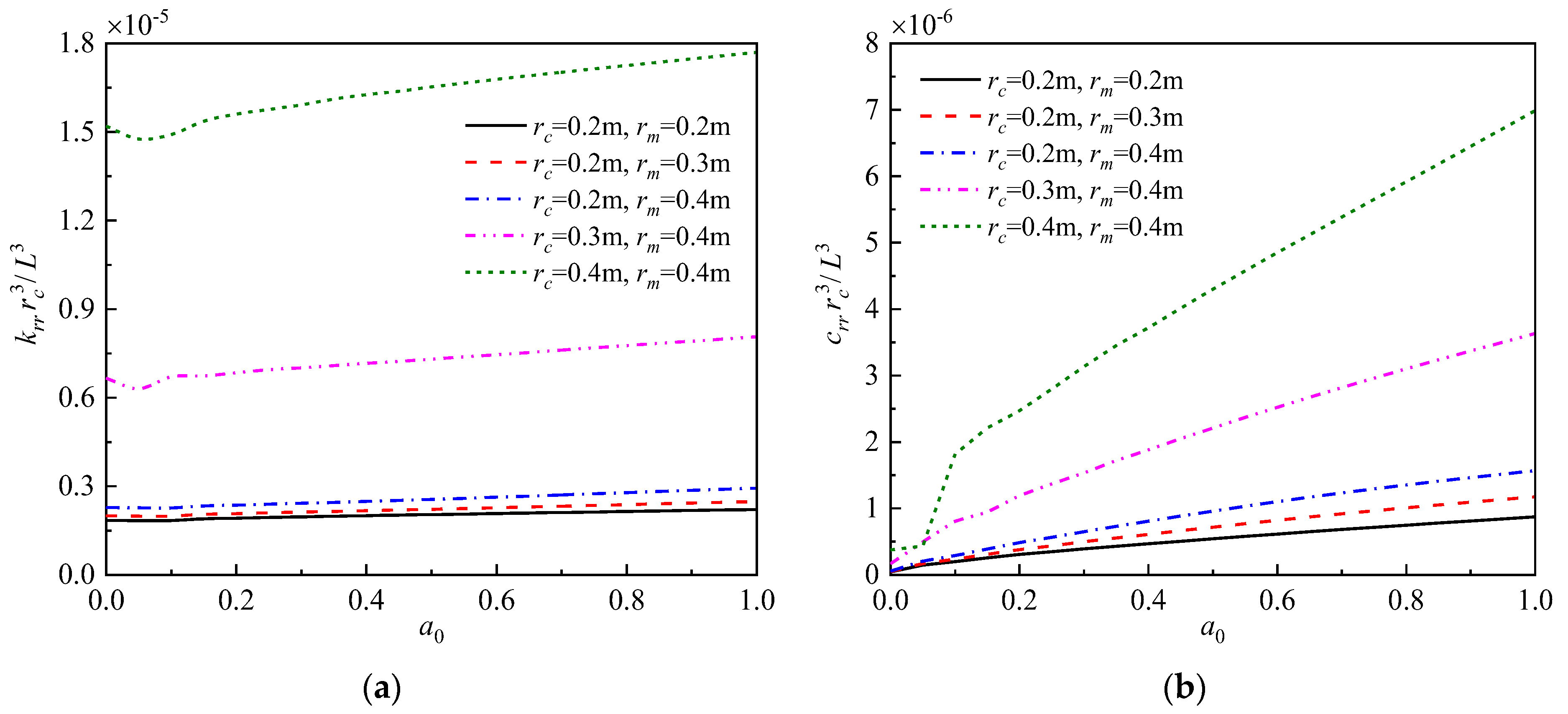
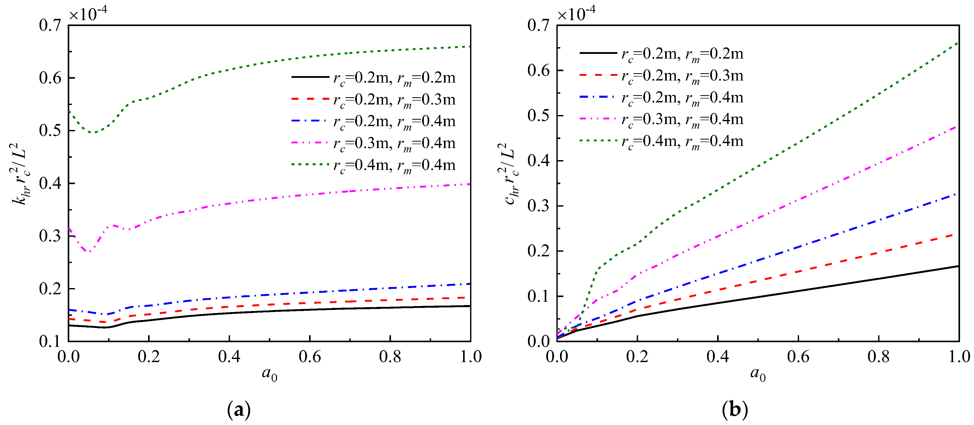
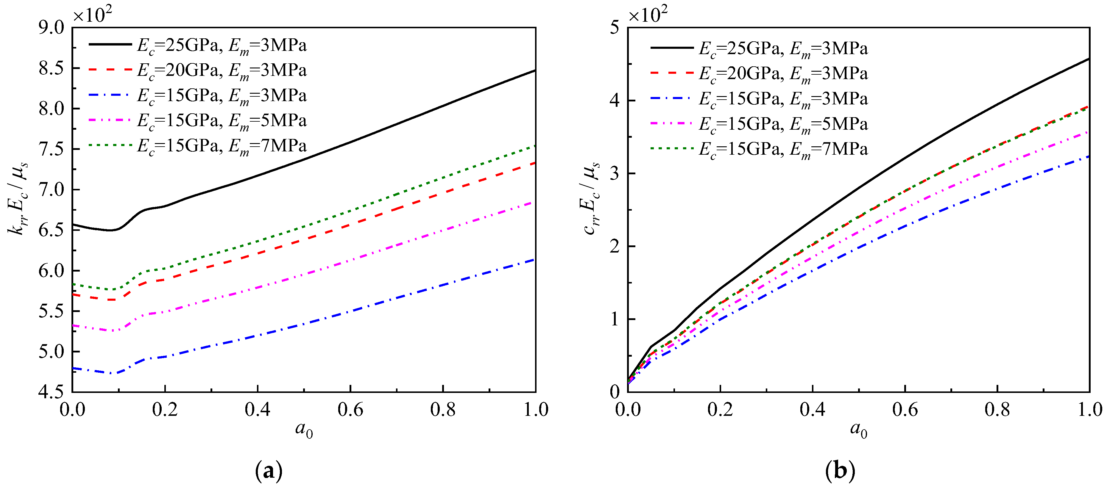
4. Calculation Results and Parametric Analysis
4.1. Verification
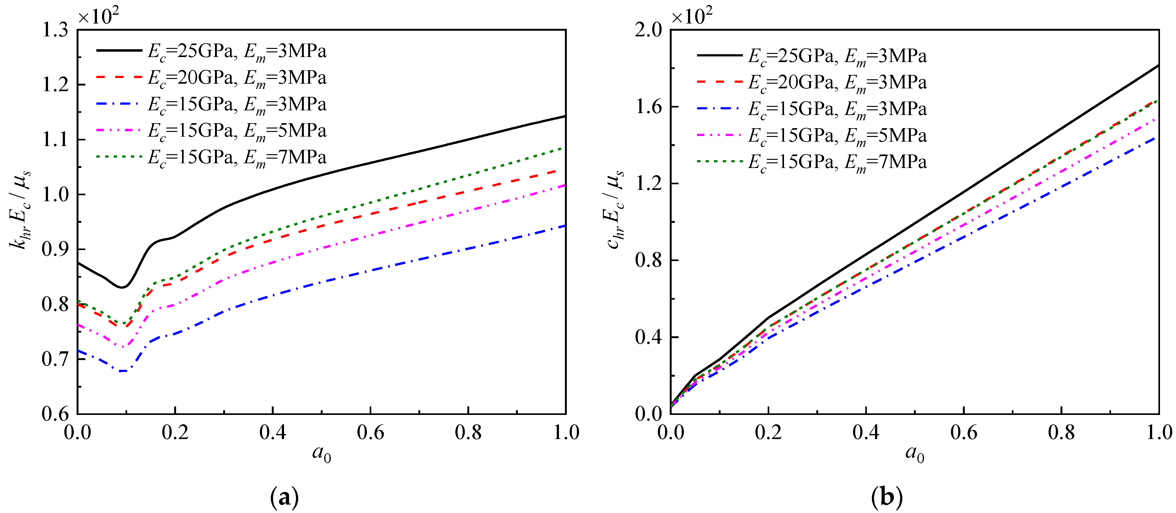
4.2. Parametric Analysis
5. Conclusions
Author Contributions
Funding
Data Availability Statement
Conflicts of Interest
Appendix A
Appendix B
References
- Bergado, D.T.; Jamsawang, P.; Voottipruex, P.; Cheang, W. Behavior of deep cement mixing (DCM) and stiffened deep cement mixing (SDCM) piles under full scale tests and embankment loading. In Proceedings of the 1st International Symposium on Ground Improvement Technologies and Case Histories, Singapore, 9–12 December 2009; pp. 3–11. [Google Scholar]
- Voottipruex, P.; Suksawat, T.; Bergado, D.T.; Jamsawang, P. Numerical simulations and parametric study of SDCM and DCM piles under full scale axial and lateral loads. Comput. Geotech. 2011, 38, 318–329. [Google Scholar] [CrossRef]
- Voottipruex, P.; Bergado, D.T.; Suksawat, T.; Jamsawang, P.; Cheang, W. Behavior and Simulation of Deep Cement Mixing (DCM) and Stiffened Deep Cement Mixing (SDCM) Piles under Full Scale Loading. Soils Found. 2011, 51, 307–320. [Google Scholar] [CrossRef]
- Wang, A.; Zhang, D.; Deng, Y. Lateral response of single piles in cement-improved soil: Numerical and theoretical investigation. Comput. Geotech. 2018, 102, 164–178. [Google Scholar] [CrossRef]
- Wang, A.; Zhang, D.; Deng, Y. A Simplified Approach for Axial Response of Single Precast Concrete Piles in Cement-Treated Soil. Int. J. Civ. Eng. 2018, 16, 1491–1501. [Google Scholar] [CrossRef]
- Yu, J.; Xu, S.; Yang, X.; Chen, Z.; Gong, X. Settlement calculation of composite foundation with concrete-cored DCM pile under rigid foundation. J. Cent. South Univ. Sci. Technol. 2020, 51, 2111–2120. [Google Scholar]
- Zhang, C.; Liu, S.; Zhang, D.; Lai, F.; Lu, T.; Liu, Y. A modified equal-strain solution for consolidation behavior of composite foundation reinforced by precast concrete piles improved with cement-treated soil. Comput. Geotech. 2022, 150, 104905. [Google Scholar] [CrossRef]
- Han, Y.S.; Cheng, J.Y.; Zhou, M.; Ni, P.P.; Wang, Y.L. Experimental Study of Compaction and Expansion Effects Caused by Penetration of Core Pile During Construction of SDCM Pile. Int. J. Geomech. 2022, 22, 04022041. [Google Scholar] [CrossRef]
- Wang, A.; Zhang, D.; Zhang, Y. Seismic responses of pipe piles improved with cement-treated soil in sand. Chin. J. Geot. Eng. 2021, 43, 121–124. [Google Scholar]
- Zhang, D.; Wang, A.; Ding, X. Seismic response of pile groups improved with deep cement mixing columns in liquefiable sand: Shaking table tests. Can. Geotech. J. 2022, 59, 994–1006. [Google Scholar] [CrossRef]
- Makris, N.; Gazetas, G. Displacement Phase Differences in a Harmonically Oscillating Pile. Geotechnique 1993, 43, 135–150. [Google Scholar] [CrossRef]
- Makris, N. Soil-Pile Interaction during the Passage of Rayleigh-Waves—An Analytical Solution. Earthq. Eng. Struct. Dyn. 1994, 23, 153–167. [Google Scholar] [CrossRef]
- Makris, N.; Badoni, D. Seismic Response of Pile Groups under Oblique-Shear and Rayleigh-Waves. Earthq. Eng. Struct. Dyn. 1995, 24, 517–532. [Google Scholar] [CrossRef]
- Takewaki, I.; Kishida, A. Efficient analysis of pile-group effect on seismic stiffness and strength design of buildings. Soil Dyn. Earthq. Eng. 2005, 25, 355–367. [Google Scholar] [CrossRef]
- Anoyatis, G.; Mylonakis, G. Dynamic Winkler modulus for axially loaded piles. Geotechnique 2012, 62, 521–536. [Google Scholar] [CrossRef]
- Anoyatis, G.; Di Laora, R.; Mandolini, A.; Mylonakis, G. Kinematic response of single piles for different boundary conditions: Analytical solutions and normalization schemes. Soil Dyn. Earthq. Eng. 2013, 44, 183–195. [Google Scholar] [CrossRef]
- Anoyatis, G.; Di Laora, R.; Lemnitzer, A. Dynamic pile impedances for fixed-tip piles. Soil Dyn. Earthq. Eng. 2017, 97, 454–467. [Google Scholar] [CrossRef]
- Cui, C.Y.; Meng, K.; Xu, C.S.; Wang, B.L.; Xin, Y. Vertical vibration of a floating pile considering the incomplete bonding effect of the pile-soil interface. Comput. Geotech. 2022, 150, 104894. [Google Scholar] [CrossRef]
- Novak, M.; Aboul-Ella, F.; Nogami, T. Dynamic Soil Reactions for Plane Strain Case. J. Eng. Mech. Div. 1978, 104, 953–959. [Google Scholar] [CrossRef]
- Novak, M.; Aboul-Ella, F. Impedance Functions of Piles in Layered Media. J. Eng. Mech. Div. 1978, 104, 643–661. [Google Scholar] [CrossRef]
- Novak, M. Dynamic Stiffness and Damping of Piles. Can. Geotech. J. 1974, 11, 574–598. [Google Scholar] [CrossRef]
- Vaziri, H.; Han, Y.C. Impedance Functions of Piles in Inhomogeneous-Media. J. Geotech. Eng. ASCE 1993, 119, 1414–1430. [Google Scholar] [CrossRef]
- Vaziri, H.H. Impedance Functions to Model Boundary Zones with Nonreflection Interface Properties. Comput. Struct. 1994, 50, 263–272. [Google Scholar] [CrossRef]
- Zheng, C.J.; Cui, Y.Q.; Wu, C.; Luo, T.; Luan, L.B. Simplified analytical solution for horizontal seismic response of single piles to vertically incident S waves. Rock Soil Mech. 2023, 44, 327–336. [Google Scholar] [CrossRef]
- Anoyatis, G.; Lemnitzer, A. Dynamic pile impedances for laterally–loaded piles using improved Tajimi and Winkler formulations. Soil Dyn. Earthq. Eng. 2017, 92, 279–297. [Google Scholar] [CrossRef]
- Nogami, T.; Novak, M. Resistance of soil to a horizontally vibrating pile. Earthq. Eng. Struct. Dyn. 1977, 5, 249–261. [Google Scholar] [CrossRef]
- Novak, M.; Nogami, T. Soil-pile interaction in horizontal vibration. Earthq. Eng. Struct. Dyn. 1977, 5, 263–281. [Google Scholar] [CrossRef]
- Anoyatis, G.; Mylonakis, G.; Lemnitzer, A. Soil reaction to lateral harmonic pile motion. Soil Dyn. Earthq. Eng. 2016, 87, 164–179. [Google Scholar] [CrossRef]
- Zheng, C.; Luan, L.; Qin, H.; Zhou, H. Horizontal Dynamic Response of a Combined Loaded Large-Diameter Pipe Pile Simulated by the Timoshenko Beam Theory. Int. J. Struct. Stab. Dyn. 2020, 20, 2071003. [Google Scholar] [CrossRef]
- Zheng, C.; Kouretzis, G.; Luan, L.; Ding, X. Closed-form formulation for the response of single floating piles to lateral dynamic loads. Comput. Geotech. 2022, 152, 105042. [Google Scholar] [CrossRef]
- Yang, X.; Zhang, Y.; Liu, H.; Fan, X.; Jiang, G.; El Naggar, M.H.; Wu, W.; Liu, X. Analytical solution for lateral dynamic response of pile foundation embedded in unsaturated soil. Ocean Eng. 2022, 265, 112518. [Google Scholar] [CrossRef]
- Cui, C.; Liang, Z.; Xu, C.; Xin, Y.; Wang, B. Analytical solution for horizontal vibration of end-bearing single pile in radially heterogeneous saturated soil. Appl. Math. Model. 2023, 116, 65–83. [Google Scholar] [CrossRef]
- Ding, X.M.; Zheng, C.J.; Luan, L.B. Principles of Pile Dynamics; Science Press: Beijing, China, 2021. [Google Scholar]
- Liu, Y.; He, L.Q.; Jiang, Y.J.; Sun, M.M.; Chen, E.J.; Lee, F.-H. Effect of in situ water content variation on the spatial variation of strength of deep cement-mixed clay. Géotechnique 2019, 69, 391–405. [Google Scholar] [CrossRef]













| Media Type | Parameter Value |
|---|---|
| Surrounding soil | Density ρs = 1800 kg/m3 |
| Lamé constant λs = μs = 10 MPa | |
| Damping ratio βs = 0.05 | |
| Concrete inner pile | Elastic modulus Ec = 20 GPa |
| Poisson’s ratio νc = 0.2 | |
| Density ρc = 2350 kg/m3 | |
| Radius rc = 0.2 m | |
| Length H = 10 m | |
| Cement–soil outer pile | Elastic modulus Em = 300 MPa |
| Poisson’s ratio νm = 0.25 | |
| Density ρm = 2010 kg/m3 | |
| Radius rm = 0.4 m | |
| Length H = 10 m |
Disclaimer/Publisher’s Note: The statements, opinions and data contained in all publications are solely those of the individual author(s) and contributor(s) and not of MDPI and/or the editor(s). MDPI and/or the editor(s) disclaim responsibility for any injury to people or property resulting from any ideas, methods, instructions or products referred to in the content. |
© 2023 by the authors. Licensee MDPI, Basel, Switzerland. This article is an open access article distributed under the terms and conditions of the Creative Commons Attribution (CC BY) license (https://creativecommons.org/licenses/by/4.0/).
Share and Cite
Su, G.; Liu, H.; Dai, G.; Chen, X.; Deng, Y. Dynamic Analysis of a Concrete-Cored Deep Cement Mixing Pile under Horizontal Dynamic Loads. Buildings 2023, 13, 1378. https://doi.org/10.3390/buildings13061378
Su G, Liu H, Dai G, Chen X, Deng Y. Dynamic Analysis of a Concrete-Cored Deep Cement Mixing Pile under Horizontal Dynamic Loads. Buildings. 2023; 13(6):1378. https://doi.org/10.3390/buildings13061378
Chicago/Turabian StyleSu, Gang, Hongbo Liu, Guoliang Dai, Xinsheng Chen, and Yaguang Deng. 2023. "Dynamic Analysis of a Concrete-Cored Deep Cement Mixing Pile under Horizontal Dynamic Loads" Buildings 13, no. 6: 1378. https://doi.org/10.3390/buildings13061378
APA StyleSu, G., Liu, H., Dai, G., Chen, X., & Deng, Y. (2023). Dynamic Analysis of a Concrete-Cored Deep Cement Mixing Pile under Horizontal Dynamic Loads. Buildings, 13(6), 1378. https://doi.org/10.3390/buildings13061378
