Working Stress Measurement of Prestressed Rebars Using the Magnetic Resonance Method
Abstract
1. Introduction
2. Theory
3. Experiment Design
3.1. Experiment Equipment
3.2. Sensor and Specimen Preparation
3.3. Loading Procedure
4. Experimental Results and Discussion
4.1. The Evolution Law of Induced Voltage with Working Stress
4.2. Characteristic Indicators for the Evaluation of Working Stress
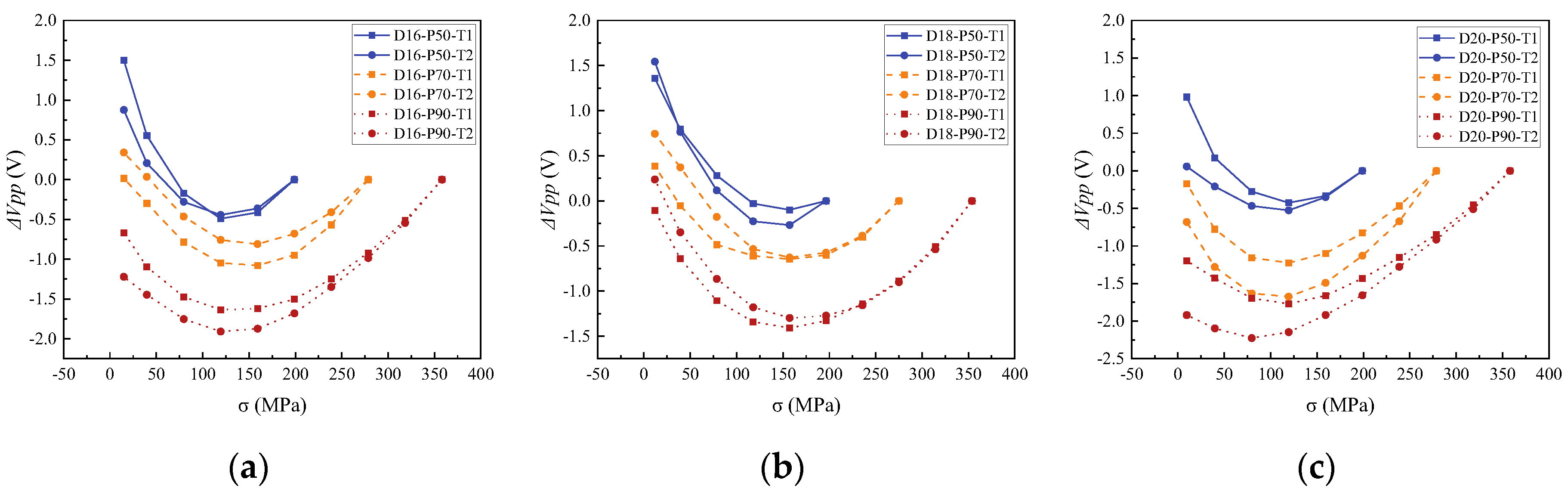
4.2.1. Relationship between Working Stress and the ΔVpp
4.2.2. Relationship between Working Stress and dΔVpp
4.2.3. Working Stress Monitoring Error Analysis
5. Conclusions
- (1)
- The curves of the working stress and the induced voltage peak-to-peak values at different design stress levels showed nonlinear correlation. Due to the hysteresis effect, the induced voltage peak-to-peak values measured in the loading stage differed from those in the unloading stage. Two characteristic indicators, the ΔVpp and dΔVpp, were proposed for evaluating the working stress. The correlation between the two characteristic indicators and the working stress was analyzed. On this basis, the mapping relationships from the characteristic indicators to the working stress were obtained by nonlinear fitting and linear fitting, respectively.
- (2)
- For the dΔVpp overall linear fit method, the R2 was greater than 0.90. The average relative error values in different design conditions were less than 15%. This method ignored the influence of different turning points caused by external factors, but the measurement accuracy and stability needed further improvement. For the ΔVpp segmented polynomial fit method, the cubic polynomial fit was better than the quadratic polynomial and linear fit. The R2 of the cubic polynomial fit was greater than 0.96, and the relative error values in the high stress section were all concentrated below 10%. The high errors were concentrated near the turning points, and the errors could be reduced by increasing the measurement points near the turning points. The average relative error values in different design conditions were less than 5%.
- (3)
- According to the actual demand, the method of ΔVpp segmented polynomial fit was selected to monitor the working stress of the rebar. The magnetic resonance sensor has the advantages of small power supply, small size, light weight, and high accuracy, which is suitable for the internal monitoring of working stress of rebar. This paper verified the applicability of the induced voltage peak-to-peak value to characterize the rebar working stress.
Author Contributions
Funding
Data Availability Statement
Conflicts of Interest
References
- Abdel-Jaber, H.; Glisic, B. Monitoring of prestressing forces in prestressed concrete structures—An overview. Struct. Control. Health Monit. 2019, 26, e2374. [Google Scholar] [CrossRef]
- Liu, Z.; Cui, Y.; Wang, W.; Cao, W.; Wang, X.; Xue, X. Strengthening Shear Resistance of Beams without Web Reinforcements Using Vertical Prestressed Steel Bars. Adv. Mater. Sci. Eng. 2022, 2022, 3869978. [Google Scholar] [CrossRef]
- Ferreira, D.; Bairan, J.M.; Marí, A. Shear strengthening of reinforced concrete beams by means of vertical prestressed reinforcement. Struct. Infrastruct. Eng. 2015, 12, 394–410. [Google Scholar] [CrossRef]
- Yin, H.J.; Li, Z.Q.; Hao, X.W.; Zhao, B. Analysis on stress state of box-girder web under prestressing effect. ITM Web Conf. 2018, 17, 03007. [Google Scholar] [CrossRef]
- Li, S.; Xin, J.; Jiang, Y.; Wang, C.; Zhou, J.; Yang, X. Temperature-induced deflection separation based on bridge deflection data using the TVFEMD-PE-KLD method. J. Civ. Struct. Health Monit. 2023, 13, 781–797. [Google Scholar] [CrossRef]
- Xin, J.; Jiang, Y.; Zhou, J.; Peng, L.; Liu, S.; Tang, Q. Bridge deformation prediction based on SHM data using improved VMD and conditional KDE. Eng. Struct. 2022, 261, 114285. [Google Scholar] [CrossRef]
- Xin, J.; Zhou, C.; Jiang, Y.; Tang, Q.; Yang, X.; Zhou, J. A signal recovery method for bridge monitoring system using TVFEMD and encoder-decoder aided LSTM. Measurement 2023, 214, 112797. [Google Scholar] [CrossRef]
- Bonopera, M.; Chang, K.; Lee, Z. State-of-the-Art Review on Determining Prestress Losses in Prestressed Concrete Girders. Appl. Sci. 2020, 10, 7527. [Google Scholar] [CrossRef]
- Sawicki, B.; Brühwiler, E.; Bassil, A. Deformational behavior and damage mechanism of R-UHPFRC beam subjected to fatigue loading. Mater. Struct. 2021, 54, 158. [Google Scholar] [CrossRef]
- Cui, H.; Li, X.; Zhang, B.; Yuan, F.; Chen, B. Research on Inductance–capacitance electromagnetic resonance measurement of prestressed concrete beam. Measurement 2022, 189, 110618. [Google Scholar] [CrossRef]
- Wu, B.; Cui, W.; Sun, J.L.; Long, Y.Y. Research for Non-Destructive Detection of Vertical Prestressed Tensile Force in Box Girder. Adv. Mater. Res. 2013, 838–841, 2052–2057. [Google Scholar] [CrossRef]
- Zhong, X.; Yang, T.; Shen, M.; Yu, J.; Xie, X. Method for Testing the Tension of Vertical Prestressing Bars in Webs of Concrete Box Girder Bridges. J. Bridg. Eng. 2011, 16, 438–444. [Google Scholar] [CrossRef]
- Zhong, X.; Zhang, T.; Zhao, C.; Shu, X.; Shen, M.; Chen, Y.F. New non-destructive dynamic tensile testing of prestressing fine-rolled screw-threaded steel bars. Eng. Struct. 2018, 182, 153–163. [Google Scholar] [CrossRef]
- Zhong, X.; Zhang, T.; Zhao, C.; Shu, X.; Shen, M.; Chen, Y.F. Tension Test for Axially Vibrated Prestressing Fine-Rolled Screw-Threaded Steel Bars Based on Thread-Contact Connection. Adv. Civ. Eng. 2019, 2019, 1806532. [Google Scholar] [CrossRef]
- Chen, P.; He, X.; Wang, X. Ultrasonic Measurement of Axial Stress Using High-Frequency Cylindrical Guided Wave. IEEE Sensors J. 2021, 21, 6691–6697. [Google Scholar] [CrossRef]
- Xiu, C.; Ren, L.; Li, H.; Jia, Z. Study on an innovative self-inductance tension eddy current sensor based on the inverse magnetostrictive effect. Sens. Rev. 2017, 37, 43–53. [Google Scholar] [CrossRef]
- Xiu, C.; Ren, L.; Li, H. Investigation on Eddy Current Sensor in Tension Measurement at a Resonant Frequency. Appl. Sci. 2017, 7, 538. [Google Scholar] [CrossRef]
- Alonso, M.S.G.; Hernando, A.; Vinolas, J.; García, M.A. Magnetic detection of high mechanical stress in iron-based materials using eddy currents and phase shift measurements. J. Appl. Phys. 2021, 129, 243901. [Google Scholar] [CrossRef]
- Liang, K.; Angelopoulos, S.; Ktena, A.; Bi, X.; Hristoforou, E. Residual Stress Distribution Monitoring and Rehabilitation in Ferromagnetic Steel Rods. Sensors 2022, 22, 1491. [Google Scholar] [CrossRef] [PubMed]
- Cappello, C.; Zonta, D.; Laasri, H.A.; Glisic, B.; Wang, M. Calibration of Elasto-Magnetic Sensors on In-Service Cable-Stayed Bridges for Stress Monitoring. Sensors 2018, 18, 466. [Google Scholar] [CrossRef]
- Joh, C.; Lee, J.W.; Kwahk, I. Feasibility Study of Stress Measurement in Prestressing Tendons Using Villari Effect and Induced Magnetic Field. Int. J. Distrib. Sens. Networks 2013, 9. [Google Scholar] [CrossRef]
- Deng, D.; Wu, X. Feasibility study of determining axial stress in ferromagnetic bars using reciprocal amplitude of initial differential susceptibility obtained from static magnetization by permanent magnets. J. Magn. Magn. Mater. 2018, 449, 243–256. [Google Scholar] [CrossRef]
- Yan, S.; Wang, Y.; Li, P.; Gao, Z.; Wu, B.; Liu, X. Comprehensive Indicators for Evaluating and Seeking Elasto-Magnetic Parameters for High-Performance Cable Force Monitoring. Sensors 2022, 22, 7776. [Google Scholar] [CrossRef]
- Duan, Y.-F.; Zhang, R.; Dong, C.-Z.; Luo, Y.-Z.; Or, S.W.; Zhao, Y.; Fan, K.-Q.; Or, D.S.W. Development of Elasto-Magneto-Electric (EME) Sensor for In-Service Cable Force Monitoring. Int. J. Struct. Stab. Dyn. 2016, 16, 1640016. [Google Scholar] [CrossRef]
- Zhang, S.; Zhou, J.; Chen, J. Cable Tension Monitoring Based on the Elasto-Magnetic Effect and the Self-Induction Phenomenon. Materials 2019, 12, 2230. [Google Scholar] [CrossRef]
- Kurs, A.; Karalis, A.; Moffatt, R.; Joannopoulos, J.D.; Fisher, P.; Soljačić, M. Wireless Power Transfer via Strongly Coupled Magnetic Resonances. Science 2007, 317, 83–86. [Google Scholar] [CrossRef]
- Hughes, R.; Fan, Y.; Dixon, S. Investigating electrical resonance in eddy-current array probes. AIP Conf. Proc. 2016, 1706, 090001. [Google Scholar] [CrossRef]
- Zhang, S.; Zhang, H.; Liu, H.; Zhou, J.; Yin, C.; Liao, L. Resonance enhanced magnetoelastic method with high sensitivity for steel stress measurement. Measurement 2021, 186, 110139. [Google Scholar] [CrossRef]
- Zhang, K.C.; Chen, J.Z.; Liu, H.Q.; Zheng, Y. Research of Vertical Prestressed Losses during Construction Process of PC Continuous Box Girder Bridge. Appl. Mech. Mater. 2013, 351–352, 1142–1145. [Google Scholar] [CrossRef]
- Liu, X.; Chen, Y.; Hu, H.; Feng, S.; Feng, Z. Measurement method of natural frequencies and tension forces for cables based on elasto-magnetic sensors calibrated by frequencies. AIP Adv. 2022, 12, 015301. [Google Scholar] [CrossRef]
- Zhang, H.; Li, H.; Zhou, J.; Tong, K.; Xia, R. A multi-dimensional evaluation of wire breakage in bridge cable based on self-magnetic flux leakage signals. J. Magn. Magn. Mater. 2023, 566, 170321. [Google Scholar] [CrossRef]
- Zhang, S.; Zhou, J.; Zhang, H.; Liao, L.; Liu, L. Influence of cable tension history on the monitoring of cable tension using magnetoelastic inductance method. Struct. Health Monit. 2021, 20, 3392–3405. [Google Scholar] [CrossRef]
- Stefański, T.P.; Gulgowski, J. Electromagnetic-based derivation of fractional-order circuit theory. Commun. Nonlinear Sci. Numer. Simul. 2019, 79, 104897. [Google Scholar] [CrossRef]
- De Angelis, G.; De Angelis, A.; Moschitta, A.; Carbone, P.; Pintelon, R. Online Identification of the LC Product in Coupled Resonant Circuits. IEEE Trans. Instrum. Meas. 2019, 69, 4592–4603. [Google Scholar] [CrossRef]
- Burdin, D.; Chashin, D.; Fetisov, L.; Saveliev, D.; Ekonomov, N.; Vopson, M.; Fetisov, Y. Towards Fabrication of Planar Magnetoelectric Devices: Coil-Free Excitation of Ferromagnet-Piezoelectric Heterostructures. Actuators 2021, 10, 294. [Google Scholar] [CrossRef]
- Ru, G.; Gao, B.; Liu, D.; Ma, Q.; Li, H.; Woo, W.L. Structural Coupled Electromagnetic Sensing of Defects Diagnostic System. IEEE Trans. Ind. Electron. 2023, 70, 951–964. [Google Scholar] [CrossRef]
- Weng, G.; Wang, J.; Liu, Y.; Zhu, X.; Dai, J. Magnetic Stress Sensing System for Nondestructive Stress Testing of Structural Steel and Steel Truss Components Based on Existing Magnetism. Sensors 2020, 20, 4043. [Google Scholar] [CrossRef]
- Zhang, H.; Ma, X.; Jiang, H.; Tong, K.; Zheng, Y.; Zhou, J. Grading Evaluation of Overall Corrosion Degree of Corroded RC Beams via SMFL Technique. Struct. Control. Health Monit. 2023, 2023, 6672823. [Google Scholar] [CrossRef]
- Tong, K.; Zhou, J.; Ma, X.; Ying, H.; Zhao, R. Investigation of the effect of initial magnetization state on the force-magnetic coupling effect of rebars. J. Magn. Magn. Mater. 2023, 569, 170382. [Google Scholar] [CrossRef]
- Diogenes, A.G.; de Moura, E.P.; Machado, A.D.S.; Gonçalves, L.L. Corrosion evaluation of carbon steel bars by magnetic non-destructive method. Nondestruct. Test. Evaluation 2022, 37, 315–331. [Google Scholar] [CrossRef]
- Zhang, R.; Duan, Y.; Or, S.W.; Zhao, Y. Smart Elasto-Magneto-Electric (EME) Sensors for Stress Monitoring of Steel Cables: Design Theory and Experimental Validation. Sensors 2014, 14, 13644–13660. [Google Scholar] [CrossRef] [PubMed]
- Zhang, Z.; Tang, F.; Cao, Q.; Pan, H.; Wang, X.; Lin, Z. Deep Learning-Enriched Stress Level Identification of Pretensioned Rods via Guided Wave Approaches. Buildings 2022, 12, 1772. [Google Scholar] [CrossRef]













| Group | Rebar Diameter (mm) | Excitation Frequency (kHz) | Excitation Voltage (V) | Maximum Stress (Yield Strength Ratio) (%) | Specimen Number |
|---|---|---|---|---|---|
| 1 | 16 | 32.97 ± 0.8 | 6.40 ± 0.4 | 50 | D16-P50-T1/T2 |
| 70 | D16-P70-T1/T2 | ||||
| 90 | D16-P90-T1/T2 | ||||
| 2 | 18 | 32.60 ± 0.9 | 7.12 ± 0.4 | 50 | D18-P50-T1/T2 |
| 70 | D18-P70-T1/T2 | ||||
| 90 | D18-P90-T1/T2 | ||||
| 3 | 20 | 32.56 ± 0.9 | 7.89 ± 0.3 | 50 | D20-P50-T1/T2 |
| 70 | D20-P70-T1/T2 | ||||
| 90 | D20-P90-T1/T2 |
Disclaimer/Publisher’s Note: The statements, opinions and data contained in all publications are solely those of the individual author(s) and contributor(s) and not of MDPI and/or the editor(s). MDPI and/or the editor(s) disclaim responsibility for any injury to people or property resulting from any ideas, methods, instructions or products referred to in the content. |
© 2023 by the authors. Licensee MDPI, Basel, Switzerland. This article is an open access article distributed under the terms and conditions of the Creative Commons Attribution (CC BY) license (https://creativecommons.org/licenses/by/4.0/).
Share and Cite
Xia, J.; Zhang, S.; Liao, L.; Liu, H.; Sun, Y. Working Stress Measurement of Prestressed Rebars Using the Magnetic Resonance Method. Buildings 2023, 13, 1416. https://doi.org/10.3390/buildings13061416
Xia J, Zhang S, Liao L, Liu H, Sun Y. Working Stress Measurement of Prestressed Rebars Using the Magnetic Resonance Method. Buildings. 2023; 13(6):1416. https://doi.org/10.3390/buildings13061416
Chicago/Turabian StyleXia, Junfeng, Senhua Zhang, Leng Liao, Huiling Liu, and Yisheng Sun. 2023. "Working Stress Measurement of Prestressed Rebars Using the Magnetic Resonance Method" Buildings 13, no. 6: 1416. https://doi.org/10.3390/buildings13061416
APA StyleXia, J., Zhang, S., Liao, L., Liu, H., & Sun, Y. (2023). Working Stress Measurement of Prestressed Rebars Using the Magnetic Resonance Method. Buildings, 13(6), 1416. https://doi.org/10.3390/buildings13061416

