Multi-Objective Optimization and Sensitivity Analysis of Building Envelopes and Solar Panels Using Intelligent Algorithms
Abstract
1. Introduction
1.1. Background
1.2. The Key Factor Influencing Energy Consumption
1.3. Application of Intelligent Algorithms in Building Energy Efficiency, as Well as Multi-Objective Optimization
1.4. Application of Photovoltaic Technology in Building Energy Efficiency
1.5. Research Objectives and Main Contributions
2. Theoretical Approach
2.1. Research Framework
2.1.1. Multi-Objective Optimization Approach
2.1.2. NSGA-II
2.1.3. PSO-SVM
2.2. Objective Functions Construct
2.2.1. Comprehensive Value of Building Energy Consumption
2.2.2. Building Materials and Operational Phase Carbon Emissions
2.2.3. Retrofit and Operating Costs
2.2.4. Multi-Objective Decision-Making Methods
2.2.5. Sobol Sensitivity-Analysis Method
3. Case Analysis
3.1. Parameter Settings for Building Simulation
3.1.1. Case-Building Prototypes
3.1.2. Energy-Plus Modeling
3.2. Lighting Intelligent Control Parameters
3.3. Optimization of Variable Constraints and Objective Function Establishment
3.3.1. Optimization Variables
3.3.2. Objective Function
3.4. Benchmark Model Validation
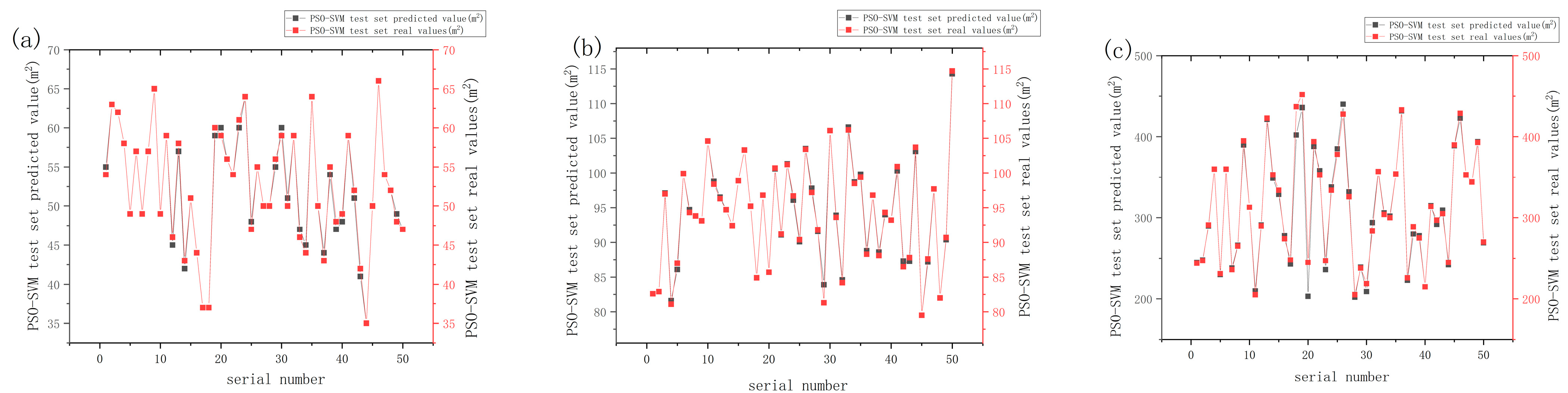
3.5. PSO-SVM Function-Prediction Modeling
3.6. Implementation of the PSO-SVM-NSGA-II Algorithm
4. Findings and Analysis
4.1. Multi-Objective Optimization Results and Analysis
4.2. Global Sensitivity
4.3. Localized Sensitivity
4.3.1. Impact of PV Panels with Different Power Generation and Window-to-Wall Ratio on the Comprehensive Value of Building Energy Consumption
4.3.2. Impact of Different PV Window-to-Wall Ratios on Retrofit and Operating Costs
4.3.3. Effect of Different Power PV Panels to Window-to-Wall Ratio on BMOPCE
4.3.4. Impact of PV Window Transmittance and Window-to-Wall Ratio on Lighting Energy Consumption
4.4. Summary of This Section
5. Discussion
- (1)
- Applicability and limitations for different building types
- (2)
- Geographic and Climatic Considerations
- (3)
- Case Studies and Simulations for Different Scenarios
6. Conclusions
- (1)
- Using the PSO-SVM-NSGA-II multi-objective optimization algorithm, which combines Particle Swarm Optimization (PSO) for tuning SVM hyperparameters based on social behavior patterns, and Support Vector Machine (SVM) for training data samples obtained from EnergyPlus simulations. Non-dominated Sorting Genetic Algorithm II (NSGA-II) is used for identifying the best trade-offs between multiple objectives. This integrated approach effectively optimizes the building envelope and photovoltaic components to reduce energy consumption and carbon emissions. Technique for Order Preference by Similarity to Ideal Solution (TOPSIS) method to select the final solution. This integrated approach was used to optimize the external envelope structure and photovoltaic components, leading to significant reductions: overall energy consumption decreased by 41% (from 105 kWh/m2 to 63 kWh/m2), carbon emissions by 34% (from 13,307 tCO2eq to 8817 tCO2eq), and retrofit and operating costs by 20% (from CNY 13.12 million to CNY 10.53 million) over a 25-year period.
- (2)
- The Global-sensitivity analysis was conducted using PSO-SVM as a surrogate model. The window-to-wall ratio (X1) has the most substantial impact on the comprehensive value of building energy consumption, with a main effect value of 0.45. A higher window-to-wall ratio increases thermal loads and overall energy consumption due to a smaller area available for photovoltaic panels. Photovoltaic panel power (X2) significantly influences building materials and operational phase-carbon emissions during the building’s materials and operational phases, primarily due to increased panel thickness with higher power ratings. For retrofit and operating costs, the type of photovoltaic window (X4) is the most influential factor, with an impact value of 0.61. Higher transparency and lower thermal transmittance photovoltaic windows, although more expensive, reduce thermal loads and energy consumption.
- (3)
- Local sensitivity analysis was conducted for variables with higher sensitivity to each objective. As the window-to-wall ratio decreases (from 0.4 to 0.2), the annual renewable power generation of PV panels (ranging from 50 W to 300 W) decreases by approximately 16%. Photovoltaic windows are typically more expensive than traditional windows, and their cost is directly proportional to the window-to-wall ratio. In the window-to-wall ratio range of 0.2 to 0.4, the cost of photovoltaic windows ranges from CNY 204 to 456/m2. Photovoltaic windows are categorized into three types based on unit price and light transmittance, with higher transmittance and lower thermal transmittance resulting in higher costs. Photovoltaic power had a significant positive impact on building material carbon emissions. Cadmium telluride photovoltaic panels emit less carbon than monocrystalline silicon panels, despite the latter being cheaper. Each additional 50 W of monocrystalline silicon panels increases thickness by 2 mm and carbon emissions by 1.48 kgCO2eq/m2; and between a window-wall ratio of 0.2 and 0.4, using a photovoltaic window with 0.7 light transmittance reduced lighting energy consumption by about 2% compared to a photovoltaic window with 0.6 light transmittance.
Author Contributions
Funding
Data Availability Statement
Conflicts of Interest
Nomenclature
| CVBEC | Comprehensive value of building energy consumption |
| BMOPCE | Building materials and operational phase carbon emissions |
| ROC | Retrofit and operating costs |
| PSO-SVM | Particle Swarm Optimization-Support Vector Machine |
| NSGA-II | Non-dominated Sorting Genetic Algorithm II |
| TOPSIS | Technique for Order Preference by Similarity to Ideal Solution |
| PSO-SVM-NSGA-II | Particle Swarm Optimization-Support Vector Machine-Non-dominated Sorting Genetic Algorithm II |
| tCO2eq | Tonnes of CO2 equivalent |
| CO2 | Carbon Dioxide |
| XPS | Extruded Polystyrene |
| EPS | Expanded Polystyrene |
| PU | Polyurethane |
| RW | Rock Wool |
| PV | Photovoltaic |
| BIPV | Building integrated photovoltaic |
References
- International Energy Agency (IEA). Global Status Report for Buildings and Construction 2019. 2019. Available online: https://www.iea.org/reports/global-status-report-for-buildings-and-construction-2019 (accessed on 6 August 2024).
- China Building Energy Conservation Association. China Building Energy Consumption Research Report 2020; Architecture & Building Press: Beijing, China, 2020. (In Chinese) [Google Scholar]
- Liu, Y.; Zhang, Y.; Sun, Y.; Gong, X. Materials selection for green building based on life cycle assessment. Mater. China 2016, 10, 769–775. (In Chinese) [Google Scholar]
- Jin, Y.U.; Yang, Z.; Wang, C.; Kuibo, L.I. Simulation analysis of office building energy consumption based on DeST-C. J. Shenyang Jianzhu Univ. China 2015, 4, 689–697. (In Chinese) [Google Scholar]
- Zhang, L.; Liu, Z.; Hou, C.; Hou, J.; Wei, D.; Hou, Y. Optimization analysis of thermal insulation layer attributes of building envelope exterior wall based on DeST and life cycle economic evaluation. Case Stud. Therm. Eng. 2019, 14, 100410. [Google Scholar] [CrossRef]
- Jeong, S.-G.; Wi, S.; Chang, S.J.; Lee, J.; Kim, S. An experimental study on applying organic PCMs to gypsum-cement board for improving thermal performance of buildings in different climates. Energy Build. 2019, 190, 183–194. [Google Scholar] [CrossRef]
- Malz, S.; Krenkel, W.; Steffens, O. Infrared reflective wall paint in buildings: Energy saving potentials and thermal comfort. Energy Build. 2020, 224, 110212. [Google Scholar] [CrossRef]
- Aburas, M.; Soebarto, V.; Williamson, T.; Liang, R.; Ebendorff-Heidepriem, H.; Wu, Y. Thermochromic smart window technologies for building application: A review. Appl. Energy 2019, 255, 113522. [Google Scholar] [CrossRef]
- Arnaoutakis, G.E.; Katsaprakakis, D.A. Energy performance of buildings with thermochromic windows in Mediterranean climates. Energies 2021, 14, 6977. [Google Scholar] [CrossRef]
- Liao, W.; Wen, C.; Luo, Y.; Peng, J.; Li, N. Influence of different building transparent envelopes on energy consumption and thermal environment of radiant ceiling heating and cooling systems. Energy Build. 2022, 255, 111702. [Google Scholar] [CrossRef]
- Zhu, J.; Chew, D.A.S.; Lv, S.; Wu, W. Optimization method for building envelope design to minimize carbon emissions of building operational energy consumption using orthogonal experimental design (OED). Habitat Int. 2013, 37, 148–154. [Google Scholar] [CrossRef]
- Long, L.D. An AI-driven model for predicting and optimizing energy-efficient building envelopes. Alex. Eng. J. 2023, 79, 480–501. [Google Scholar] [CrossRef]
- Liu, X.; Wu, J.; Zhang, Y. Multi-objective optimization of building lifecycle carbon emissions, retrofit, and thermal comfort using RF-NSGA-II. J. Clean. Prod. 2021, 278, 123456. [Google Scholar] [CrossRef]
- Liu, Y.; Li, T.; Xu, W.; Wang, Q.; Huang, H.; He, B.-J. Building information modelling-enabled multi-objective optimization for energy consumption parametric analysis in green buildings design using hybrid machine learning algorithms. Energy Build. 2023, 300, 113665. [Google Scholar] [CrossRef]
- Wu, C.; Pan, H.; Luo, Z.; Liu, C.; Huang, H. Multi-objective optimization of residential building energy consumption, daylighting, and thermal comfort based on BO-XGBoost-NSGA-II. Build. Environ. 2024, 254, 111386. [Google Scholar] [CrossRef]
- Yang, S.; Wan, M.P.; Chen, W.; Ng, B.F.; Dubey, S. Model predictive control with adaptive machine-learning-based model for building energy efficiency and comfort optimization. Appl. Energy 2020, 271, 115147. [Google Scholar] [CrossRef]
- Liu, Y.; Chen, K.; Ni, E.; Deng, Q. Optimizing classroom modularity and combinations to enhance daylighting performance and outdoor platform through ANN acceleration in the post-epidemic era. Heliyon 2023, 9, e21598. [Google Scholar] [CrossRef] [PubMed]
- Wang, Y.; Hu, L.; Hou, L.; Cai, W.; He, Y. Study on energy consumption, thermal comfort and economy of passive buildings based on multi-objective optimization algorithm. J. Clean. Prod. 2023, 425, 138760. [Google Scholar] [CrossRef]
- Li, C.; Zhang, W.; Tan, J.; Liu, W.; Lyu, Y.; Tang, H. Energy performance of an innovative bifacial photovoltaic sunshade (BiPVS) under hot summer and warm winter climate. Heliyon 2023, 9, e18700. [Google Scholar] [CrossRef] [PubMed]
- Ito, R.; Lee, S. Development of adjustable solar photovoltaic system for integration with solar shading louvers on building façades. Appl. Energy 2024, 359, 122711. [Google Scholar] [CrossRef]
- Ramos, A.; Romaní, J.; Salom, J. Impact of building integrated photovoltaics on high rise office building in the Mediterranean. Energy Build. 2023, 10, 3197–3210. [Google Scholar] [CrossRef]
- El Samanoudy, G.; Abdelaziz Mahmoud, N.S.; Jung, C. Analyzing the effectiveness of building integrated Photovoltaics (BIPV) to reduce the energy consumption in Dubai. Ain Shams Eng. J. 2024, 15, 102682. [Google Scholar] [CrossRef]
- Luo, X.; Zhang, L.; Lu, J.; Ge, J. Multi-objective optimization of the office park building envelope with the goal of nearly zero energy consumption. J. Build. Eng. 2024, 84, 108552. [Google Scholar] [CrossRef]
- Goia, F.; Taveres-Cachat, E.; Lobaccaro, G.; Chaudhary, G.; Aelenei, L. Economic analysis of BIPV systems as a building envelope material for building skins in Europe. Appl. Energy 2019, 247, 731–744. [Google Scholar] [CrossRef]
- Allouhi, A.; Jamil, A.; Benhamou, B.; Saidur, R.; Rahmoune, M. Evaluation of industrial carbon capture policies and their efficiency in reducing CO2 emissions. J. Clean. Prod. 2020, 270, 122375. [Google Scholar] [CrossRef]
- Katsaprakakis, D.A.; Zidianakis, G. Optimized Dimensioning and Operation Automation for a Solar-Combi System for Indoor Space Heating. A Case Study for a School Building in Crete. Energies 2019, 12, 177. [Google Scholar] [CrossRef]
- Asadi, E.; Gameiro da Silva, M.; Henggeler Antunes, C.; Dias, L. A multi-objective optimization model for building retrofit strategies using TRNSYS simulations, GenOpt and MATLAB. Build. Environ. 2012, 56, 370–378. [Google Scholar] [CrossRef]
- Razfar, S.; Ahmadi Danesh Ashtiani, H.; Khoshgard, A. Simulation of electrical energy supply required by Maad Koush pelletizing complex using renewable energy sources and simulation with HOMER energy software. Results Eng. 2024, 21, 101845. [Google Scholar] [CrossRef]
- Huo, H.; Deng, X.; Wei, Y.; Liu, Z.; Liu, M.; Tang, L. Optimization of energy-saving renovation technology for existing buildings in a hot summer and cold winter area. J. Build. Eng. 2024, 86, 108597. [Google Scholar] [CrossRef]
- Zhang, X.; Wang, J.; Zhou, Y.; Wang, H.; Xie, N.; Chen, D. A multi-objective optimization method for enclosed-space lighting design based on MOPSO. Build. Environ. 2024, 250, 111185. [Google Scholar] [CrossRef]
- Ghalambaz, M.; Jalilzadeh Yengejeh, R.; Davami, A.H. Building energy optimization using Grey Wolf Optimizer (GWO). Case Stud. Therm. Eng. 2021, 27, 101250. [Google Scholar] [CrossRef]
- Vapnik, V.; Chervonenkis, A. The Nature of Statistical Learning Theory; Springer: New York, NY, USA, 1995. [Google Scholar]
- Pang-Ning, T.; Michael, S.; Vipin, K. Introduction to Data Mining; Pearson Addison Wesley: Boston, MA, USA, 2005. [Google Scholar]
- Eberhart, R.; Kennedy, J. A New Optimizer Using Particle Swarm Theory. In Proceedings of the Sixth International Symposium on Micro Machine and Human Science, Nagoya, Japan, 4–6 October 1995; pp. 39–43. [Google Scholar] [CrossRef]
- Deb, K.; Pratap, A.; Agarwal, S.; Meyarivan, T. A fast and elitist multiobjective genetic algorithm: NSGA-II. IEEE Trans. Evol. Comput. 2002, 6, 182–197. [Google Scholar] [CrossRef]
- Coello, C.A.C.; Pulido, G.T.; Lechuga, M.S. Handling multiple objectives with particle swarm optimization. IEEE Trans. Evol. Comput. 2004, 8, 256–279. [Google Scholar] [CrossRef]
- Deb, K. Multi-Objective Optimization Using Evolutionary Algorithms; John Wiley & Sons Ltd.: New York, NY, USA, 2001. [Google Scholar]
- GB/T 51350-2019; Ministry of Housing and Urban-Rural Development of the People’s Republic of China. Technical Standard for Nearly Zero Energy Buildings. China Architecture & Building Press: Beijing, China, 2019. (In Chinese)
- Liang, Y.; Shen, L.; Zhang, Z.; Zhong, L. Environmental performance of building construction based on life cycle assessment: A case study of a building in China. J. Clean. Prod. 2017, 161, 110–117. [Google Scholar] [CrossRef]
- Ministry of Ecology and Environment. Guidelines for Accounting and Reporting of Greenhouse Gas Emissions from Enterprises: Power Generation Facilities (Revised Edition 2021); Ministry of Ecology and Environment: Beijing, China, 2021. (In Chinese)
- Yue, Y.; Zheng, J.; Cheng, L.; Zhu, Y.; Wu, H. Comprehensive Evaluation of Distributed PV Grid-Connected Based on Combined Weighting Weights and TOPSIS-RSR Method. Energy Eng. 2024, 121, 703–728. [Google Scholar] [CrossRef]
- Saltelli, A.; Tarantola, S.; Campolongo, F.; Ratto, M. Sensitivity Analysis in Practice: A Guide to Assessing Scientific Models; John Wiley & Sons: New York, NY, USA, 2004. [Google Scholar]
- Sobol’, I.M. Global sensitivity indices for nonlinear mathematical models and their Monte Carlo estimates. Math. Comput. Simul. 2001, 55, 271–280. [Google Scholar] [CrossRef]
- GB 50189-2015; Ministry of Housing and Urban-Rural Development of the People’s Republic of China. Design Standard for Energy Efficiency of Public Buildings. China Architecture & Building Press: Beijing, China, 2015. (In Chinese)
- GB 50034-2013; China National Standard. Standard for Lighting Design of Buildings. China Standards Press: Beijing, China, 2013. (In Chinese)
- GB 50176-2016; China National Standard. Thermal Design Code for Civil Buildings. China Standards Press: Beijing, China, 2016. (In Chinese)
- World Resources Institute (WRI); World Business Council for Sustainable Development (WBCSD). The Greenhouse Gas Protocol: A Corporate Accounting and Reporting Standard. 2004. Available online: https://ghgprotocol.org/corporate-standard (accessed on 6 August 2024).
- Wang, Z.Y. Life Cycle Energy Efficiency Evaluation and Application Planning of Photovoltaic Systems. Ph.D. Thesis, Shandong University, Jinan, China, 2023. (In Chinese). [Google Scholar]
- Reffat, R.M.; Ezzat, R. Impacts of design configurations and movements of PV attached to building facades on increasing generated renewable energy. Sol. Energy 2023, 252, 50–71. [Google Scholar] [CrossRef]
- Uddin, M.M.; Ji, J.; Wang, C.; Zhang, C. Building energy conservation potentials of semi-transparent CdTe integrated photovoltaic window systems in Bangladesh context. Renew. Energy 2023, 207, 512–530. [Google Scholar] [CrossRef]
- Dong, L.; Gu, Y.; Cai, K.; He, X.; Song, Q.; Yuan, W.; Duan, H. Unveiling lifecycle carbon emissions and its mitigation potentials of distributed photovoltaic power through two typical case systems. Sol. Energy 2024, 269, 112360. [Google Scholar] [CrossRef]










| Parameters | Value |
|---|---|
| Density of personnel | |
| Number of times ventilated | |
| Lighting power | |
| Heat dissipation by personnel |
| Optimization Variables | Range of Values |
|---|---|
| Types of external wall insulation panels | 1–4 (see Table 2 and Table 3) |
| Thickness of external wall insulation board | 0.07; 0.08; 0.09; 0.1; 0.11; 0.12; 0.13; 0.4; 0.15 |
| Types of roof insulation panels | 1–4 (see Table 2 and Table 3) |
| Roof insulation board thickness | 0.07; 0.08; 0.09; 0.1; 0.11; 0.12; 0.13; 0.4; 0.15 |
| Photovoltaic window types | 1–6 (see Table 2 and Table 3) |
| Photovoltaic panel power | 50; 100; 150; 200; 250; 300 |
| Window-to-wall ratio | |
| Air conditioning on temperature in winter | 18;19;20 |
| Categorization | Price of Item | Carbon Footprint | Heat Transfer Coefficient | Generated Electrical Energy | Transmittance |
|---|---|---|---|---|---|
| % | |||||
| EPS board 1 | 872 | 3955 | 0.033 | / | / |
| XPS board 2 | 598 | 6027 | 0.030 | / | / |
| PU board 3 | 1256 | 5141 | 0.024 | / | / |
| RW board 4 | 380 | 7800 | 0.044 | / | / |
| Photovoltaic glass 1 | 1500 | 779.36 | 2.7 | 0.6 | |
| Photovoltaic glass 2 | 1500 | 779.36 | 2.7 | / | 0.7 |
| Photovoltaic glass 3 | 779.36 | 2.5 | 0.6 | ||
| Photovoltaic glass 4 | 1700 | 779.36 | 0.7 | ||
| Photovoltaic glass 5 | 1900 | 779.36 | 2.3 | 0.6 | |
| Photovoltaic glass 6 | 1900 | 779.36 | 2.3 | 0.7 | |
| Photovoltaic panel 1 | 1400 | ||||
| Photovoltaic panel 2 | 1400 | ||||
| Photovoltaic panels 3 | 1400 | ||||
| Photovoltaic panels 4 | 1400 | ||||
| Photovoltaic panels 5 | 1400 | ||||
| Photovoltaic panels 6 | 1400 |
| Relevant Parameters | Maximum Output Power P/W | Cell Conversion Efficiency n/% | Open Circuit Voltage U/V | Short-Circuit Current I/A | Optimum Operating Current Im/A | Optimum Operating Voltage Vm/V | Sizes mm × mm |
|---|---|---|---|---|---|---|---|
| Translucent Photovoltaic Glass 1, 3, 5 | 42 | 18% | 122.7 | 0.48 | 0.43 | 98.7 | 1200 × 750 |
| Translucent photovoltaic glass 2, 4, 6 | 40 | 18% | 121.1 | 0.46 | 0.42 | 97.9 | 1200 × 750 |
| Photovoltaic panel 1 | 50 | 19% | 22.02 | 3.02 | 2.7 | 17.82 | 670 × 530 |
| Photovoltaic panel 2 | 100 | 19% | 23.05 | 6.44 | 5.29 | 17.98 | 1200 × 550 |
| Photovoltaic panels 3 | 150 | 19% | 20.52 | 9.53 | 8.25 | 18 | 1320 × 670 |
| Photovoltaic panels 4 | 200 | 19% | 21.5 | 10.93 | 9.79 | 18 | 1580 × 808 |
| Photovoltaic panels 5 | 250 | 19% | 22.5 | 12.73 | 11.88 | 18 | 1380 × 990 |
| Photovoltaic panels 6 | 300 | 19% | 22.5 | 15.8 | 14.73 | 18.5 | 1640 × 992 |
| Goal | Heating Energy Consumption (kWh) | Cooling Energy Consumption (kWh) | Lighting Energy Consumption (kWh) |
|---|---|---|---|
| Analog value | 678,940 | 154,179 | 224,460 |
| Actual value | 676,034 | 153,265 | 223,458 |
| Inaccuracies | 0.5% | 0.4% | 0.4% |
| Goals | Original Target | Optimized Target | Overall Trends | ||
|---|---|---|---|---|---|
| Comprehensive value of building energy Consumption | 105 kWh/m2 | 63 kWh/m2 | −41% | ||
| Building materials and operational phase carbon emissions | Building materials carbon emissions | 182 tCO2eq | 297 tCO2eq | −115 tCO2eq | −34% |
| Operational phase carbon emissions | 13,125 tCO2eq | 8520 tCO2eq | 4605 tCO2eq | ||
| Retrofit and operating costs | Retrofit costs | 0 | 2.27 million yuan | −2.27 million yuan | −20% |
| operating costs | 13.12 million yuan | 8.25 million yuan | 4,870,000 yuan | ||
| Objective Function | Multi-Objective Optimisation Results | Global Sensitivity Level (ST) | Key Findings on Local Sensitivity | |
|---|---|---|---|---|
| Original Target | Optimized Target | |||
| CVBEC | 105 kWh/m2 | 63 kWh/m2 | X1 > X2 > X6 > X8 > X7 > X5 > X3 = X4 | As the window-to-wall ratio decreases (from 0.4 to 0.2), the annual renewable power generation of PV panels (ranging from 50 W to 300 W) decreases by approximately 16%. |
| BMOPCE | 13,307 tCO2eq | 8547 tCO2eq | X1 > X6 > X2 > X7 > X5 > X4 > X3 > X8 | In the window-to-wall ratio range of 0.2 to 0.4, the cost of photovoltaic windows ranges from 204 to 456 yuan/m2. |
| ROC | 13.12 million yuan | 10.52 million yuan | X4 > X1 > X2 > X6 > X7 > X3 > X8 = X5 | Each additional 50 W of monocrystalline silicon panels increases thickness by 2 mm and carbon emissions by 1.48 kgCO2eq/m2 |
Disclaimer/Publisher’s Note: The statements, opinions and data contained in all publications are solely those of the individual author(s) and contributor(s) and not of MDPI and/or the editor(s). MDPI and/or the editor(s) disclaim responsibility for any injury to people or property resulting from any ideas, methods, instructions or products referred to in the content. |
© 2024 by the authors. Licensee MDPI, Basel, Switzerland. This article is an open access article distributed under the terms and conditions of the Creative Commons Attribution (CC BY) license (https://creativecommons.org/licenses/by/4.0/).
Share and Cite
Zhao, N.; Zhang, J.; Dong, Y.; Ding, C. Multi-Objective Optimization and Sensitivity Analysis of Building Envelopes and Solar Panels Using Intelligent Algorithms. Buildings 2024, 14, 3134. https://doi.org/10.3390/buildings14103134
Zhao N, Zhang J, Dong Y, Ding C. Multi-Objective Optimization and Sensitivity Analysis of Building Envelopes and Solar Panels Using Intelligent Algorithms. Buildings. 2024; 14(10):3134. https://doi.org/10.3390/buildings14103134
Chicago/Turabian StyleZhao, Na, Jia Zhang, Yewei Dong, and Chao Ding. 2024. "Multi-Objective Optimization and Sensitivity Analysis of Building Envelopes and Solar Panels Using Intelligent Algorithms" Buildings 14, no. 10: 3134. https://doi.org/10.3390/buildings14103134
APA StyleZhao, N., Zhang, J., Dong, Y., & Ding, C. (2024). Multi-Objective Optimization and Sensitivity Analysis of Building Envelopes and Solar Panels Using Intelligent Algorithms. Buildings, 14(10), 3134. https://doi.org/10.3390/buildings14103134

