Experimental and Numerical Research on Fracture Properties of Mass Concrete Under Quasi-Static and Dynamic Loading
Abstract
1. Introduction
2. Experimental Program
2.1. Testing Apparatus
2.2. Material Properties
2.3. Test Setup
3. Experimental Results and Discussion
3.1. Failure Mode
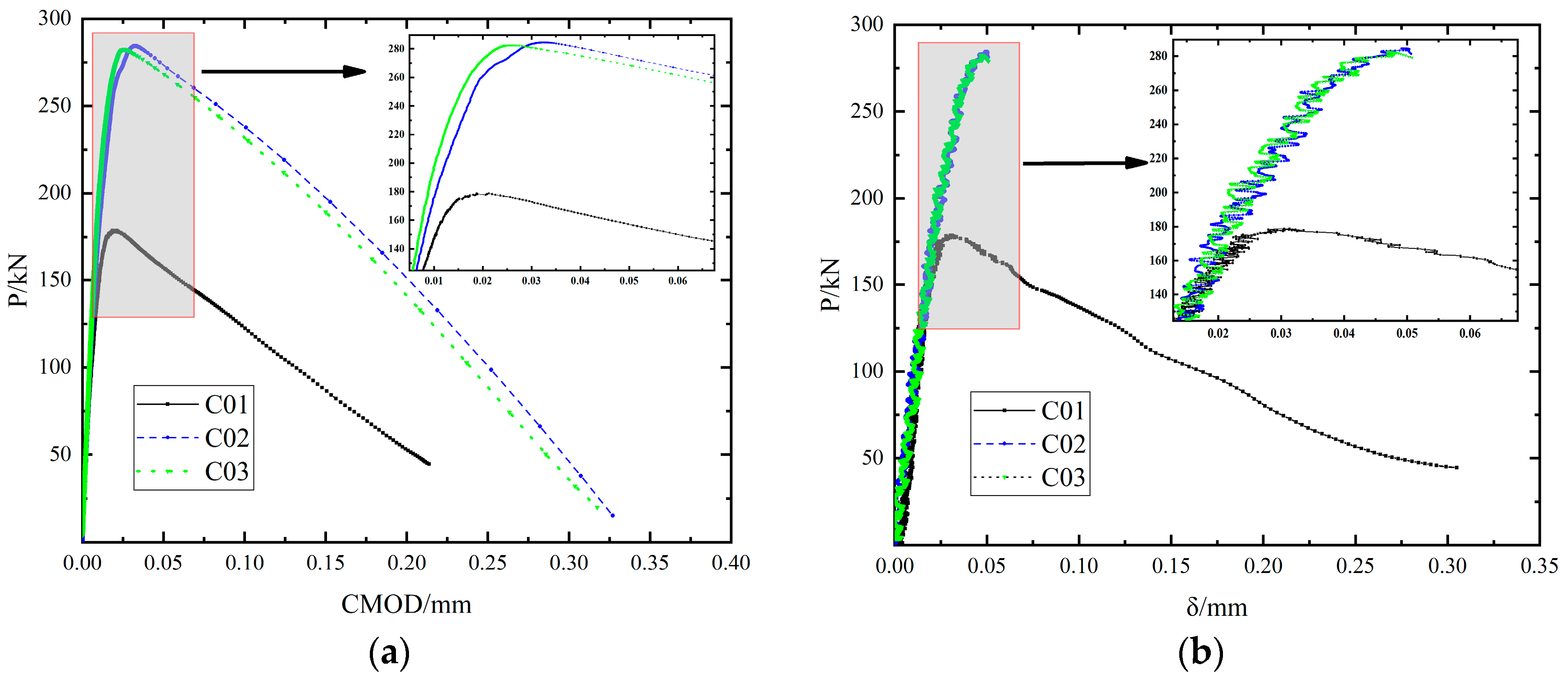
3.2. Load and Deformation
3.3. Energy Absorption Capacity and Fracture Energy
3.4. Characteristic Length
4. Numerical Simulations
in Figure 6; Nk and are the shape function and corresponding node displacement of the unit node at the crack tip, whose corresponding node sets are shown as
in Figure 6; H(x) is the hopping function, which denotes the discontinuity of the displacement at the crack surface, also called the Heaviside function; ϕα(x) is the stress asymptotic function, which denotes the stress singularity at the crack tip, whose expression in the polar coordinate system is as in Equation (5).4.1. Fracture Toughness
4.2. Simulation of Crack Propagation Process
5. Conclusions
Author Contributions
Funding
Data Availability Statement
Conflicts of Interest
References
- Dong, W.; Zhou, X.M.; Wu, Z.M. On fracture process zone and crack extension resistance of concrete based on initial fracture toughness. Constr. Build. Mater. 2013, 49, 352–363. [Google Scholar] [CrossRef]
- Wu, Z.M.; Rong, H.W.; Zheng, J.J.; Xu, F.; Dong, W. An experimental investigation on the FPZ properties in concrete using digital image correlation technique. Eng. Fract. Mech. 2011, 78, 2978–2990. [Google Scholar] [CrossRef]
- Zhao, Z.F.; Kwon, S.H.; Shah, S.P. Effect of specimen size on fracture energy and softening curve of concrete: Part I. Experiments and fracture energy. Cem. Concr. Res. 2008, 38, 1049–1060. [Google Scholar] [CrossRef]
- Otsuka, K.; Date, H. Fracture process zone in concrete tension specimen. Eng. Fract. Mech. 2000, 65, 111–131. [Google Scholar] [CrossRef]
- Mindess, S.; Bentur, A. A preliminary study of the fracture of concrete beams under impact loading, using high speed photography. Cem. Concr. Res. 1985, 15, 474–484. [Google Scholar] [CrossRef]
- Rossi, P.P.; Boulay, C.; Tailhan, J.L.; Martin, E.; Desnoyers, D. Macrocrack propagation in concrete specimens under sustained loading: Study of the physical mechanisms. Cem. Concr. Res. 2014, 63, 98–104. [Google Scholar] [CrossRef]
- Hariri, A.M.A.; Seyed, K.S. Seismic cracking and instability of concrete dams: Smeared crack approach. Eng. Fail. Anal. 2016, 52, 45–60. [Google Scholar] [CrossRef]
- Kaplan, M.F. Crack Propagation and the Fracture of Concrete. J. Am. Concr. Inst. 1961, 58, 591–610. [Google Scholar] [CrossRef]
- Bruhwiler, E.; Broz, J.J.; Saouma, V.E. Fracture model evaluation of dam concrete. J. Mater. Civ. Eng. 1991, 3, 235–251. [Google Scholar] [CrossRef]
- Zhang, X.F.; Xu, S.L. A comparative study on five approaches to evaluate double-K fracture toughness parameters of concrete and size effect analysis. Eng. Fract. Mech. 2011, 78, 2115–2138. [Google Scholar] [CrossRef]
- Xu, F.; Wu, Z.M.; Zheng, J.J.; Zhao, Y.H.; Liu, K. Crack Extension Resistance Curve of Concrete Considering Variation of FPZ Length. J. Mater. Civ. Eng. 2011, 23, 703–710. [Google Scholar] [CrossRef]
- Dai, S.H.; Liu, X.L.; Nawnit, K. Experimental Study on the Fracture Process Zone Characteristics in Concrete Utilizing DIC and AE Methods. Appl. Sci. 2019, 9, 1346. [Google Scholar] [CrossRef]
- Zhang, Y.; Shi, J.F.; Zheng, J.Y. A Method of Fracture Toughness JIC Measurement Based on Digital Image Correlation and Acoustic Emission Technique. Mater. Des. 2021, 197, 109258. [Google Scholar] [CrossRef]
- Lu, D.; Wang, G.S.; Du, X.L.; Wang, Y.Y. A nonlinear dynamic uniaxial strength criterion that considers the ultimate dynamic strength of concrete. Int. J. Impact Eng. 2017, 103, 124–137. [Google Scholar] [CrossRef]
- Chen, R.S.; Zhang, Y.H.; Hao, X.K.; Yu, H.X. Experimental study on ultimate bearing capacity of short thin-walled steel tubes reinforced with high-ductility concrete. Structures 2024, 68, 107109. [Google Scholar] [CrossRef]
- Zhang, H.P.; Liu, H.J.; Kuai, H.D. Stress intensity factor analysis for multiple cracks in orthotropic steel decks rib-to-floor beam weld details under vehicles loading. Eng. Fail. Anal. 2024, 164, 108705. [Google Scholar] [CrossRef]
- Fang, B.D.; Qian, Z.H.; Song, Y.F.; Diao, X.T. Evaluation of early crack resistance performance of concrete mixed with ternary minerals using temperature stress testing machine (TSTM). J. Clean. Prod. 2024, 465, 14278. [Google Scholar] [CrossRef]
- Nogueira, C.L.; Rens, K.L. Experimental analysis of cement-based materials under shear stress. Constr. Build. Mater. 2018, 170, 392–401. [Google Scholar] [CrossRef]
- Musiket, K.; Rosendahl, M.; Xi, Y. Fracture of Recycled Aggregate Concrete under High Loading Rates. J. Mater. Civ. Eng. 2016, 28, 04016018. [Google Scholar] [CrossRef]
- Cadoni, E.; Solomos, G.; Albertini, C. Concrete behaviour in direct tension tests at high strain rates. Mag. Concr. Res. 2013, 65, 660–672. [Google Scholar] [CrossRef]
- Brara, A.; Klepaczko, J.R. Fracture energy of concrete at high loading rates in tension. Int. J. Impact Eng. 2007, 34, 424–435. [Google Scholar] [CrossRef]
- Mindess, S.; Banthia, N.; Yan, C. The fracture toughness of concrete under impact loading. Cem. Concr. Res. 1987, 17, 231–241. [Google Scholar] [CrossRef]
- Zhang, X.X.; Ruiz, G.; Yu, R.; Tarifa, M. Fracture behaviour of high-strength concrete at a wide range of loading rates. Int. J. Impact Eng. 2009, 36, 1204–1209. [Google Scholar] [CrossRef]
- Ruiz, G.; Zhang, X.X.; Yu, R.; Poveda, E.; Viso, J.R.D. Effect of Loading Rate on Fracture Energy of High-Strength Concrete. Strain 2011, 47, 518–524. [Google Scholar] [CrossRef]
- John, R.; Shah, S.P. Mixed-Mode Fracture of Concrete Subjected to Impact Loading. J. Struct. Eng. -Asce 1990, 116, 585–602. [Google Scholar] [CrossRef]
- Ngo, T.; Park, J.K.; Kim, D.J. Loading rate effect on crack velocity in ultra-high-performance fiber-reinforced concrete. Constr. Build. Mater. 2019, 197, 548–558. [Google Scholar] [CrossRef]
- Deng, Z.C.; Li, Q.B.; Fu, H. Comparison between Mechanical Properties of Dam and Wet-sieved concretes. J. Mater. Civ. Eng. 2008, 20, 321–326. [Google Scholar] [CrossRef]
- Li, Q.B.; Deng, Z.C.; Fu, H. Effect of Aggregate Type on Mechanical Behavior of Dam Concrete. Aci Mater. J. 2004, 101, 483–492. [Google Scholar] [CrossRef]
- Guan, J.F.; Li, Q.B.; Wu, Z.M.; Zhao, S.; Dong, W.; Zhou, S.W. Fracture parameters of site-cast dam and wet-sieved concrete. Mag. Concr. Res. 2015, 68, 43–54. [Google Scholar] [CrossRef]
- Li, Q.B.; Guan, J.F.; Wu, Z.M.; Dong, W.; Zhou, S.H. Fracture Behavior of Site-Casting Dam Concrete. Aci Mater. J. 2014, 112, 11–20. [Google Scholar] [CrossRef]
- Li, Q.B.; Guan, J.F.; Wu, Z.M.; Dong, W.; Zhou, S.H. Equivalent maturity for ambient temperature effect on fracture parameters of site-casting dam concrete. Constr. Build. Mater. 2016, 120, 293–308. [Google Scholar] [CrossRef]
- Gao, X.F.; Koval, G.; Chazallon, C. Energetical formulation of size effect law for quasi-brittle fracture. Eng. Fract. Mech. 2017, 175, 279–292. [Google Scholar] [CrossRef]
- Guan, J.F.; Li, Q.B.; Wu, Z.M.; Dong, W.; Zhou, S.H. Minimum specimen size for fracture parameters of site-casting dam concrete. Constr. Build. Mater. 2015, 93, 973–982. [Google Scholar] [CrossRef]
- Saouma, V.E.; Broz, J.J.; Bruhwiler, E. Effect of aggregate and specimen size on fracture properties of dam concrete. J. Mater. Civ. Eng. 1991, 3, 204–218. [Google Scholar] [CrossRef]
- Mohsen, A.I.; Mahmoud, A.I.; Mohammad, S.I. Size effects in concrete fracture: Part I, experimental setup and observations. Int. J. Fract. 2000, 102, 1–24. [Google Scholar] [CrossRef]
- Xu, S.L.; Li, Q.B.; Wu, Y.; Dong, L.G.; Lu, Y.; Reinhardt, H.W.; Leung, C.K.; Ruiz, G.; Kumar, S.; Hu, S. Influential factors for double-K fracture parameters analyzed by the round robin tests of RILEM TC265-TDK. Mater. Struct. 2021, 54, 227. [Google Scholar] [CrossRef]
- Ghaemmaghami, A.; Ghaemian, M. Large-scale testing on specific fracture energy determination of dam concrete. Int. J. Fract. 2006, 141, 247–254. [Google Scholar] [CrossRef]
- Bakour, A.; Ftima, M.B. Investigation of fracture properties and size effects of mass concrete using wedge splitting tests on large specimens. Eng. Fract. Mech. 2021, 259, 108144. [Google Scholar] [CrossRef]
- Jalasutram, S.; Sahoo, D.R.; Matsagar, V.A. Experimental investigation of the mechanical properties of basalt fiber-reinforced concrete. Struct. Concr. 2016, 18, 292–302. [Google Scholar] [CrossRef]
- Zimmermann, T.; Lehký, D.; Strauss, A. Correlation among selected fracture-mechanical parameters of concrete obtained from experiments and inverse analyses. Struct. Concr. 2016, 17, 1094–1103. [Google Scholar] [CrossRef]
- Guo, Y.Z.; Chen, X.D.; Yang, H.Q.; Hu, L.P.; Zhang, J.H.; Fan, X. Experimental study on direct tension behavior of concrete through combined digital image correlation and acoustic emission techniques. Struct. Concr. 2019, 20, 2042–2055. [Google Scholar] [CrossRef]
- Wittmann, F.H.; Rokugo, K.; Bruhwiler, E. Fracture energy and strain softening of concrete as determined by means of compact tension specimens. Mater. Struct. 1988, 21, 21–32. [Google Scholar] [CrossRef]
- Chen, X.D.; Shao, Y.; Xu, L.Y.; Chen, C. Experimental study on tensile behavior of cement paste, mortar and concrete under high strain rates. J. Wuhan Univ. Technol. Mater. Sci. Ed. 2015, 30, 1268–1273. [Google Scholar] [CrossRef]
- Wang, H.B.; Li, C.L.; Tu, J.; Li, D. Dynamic tensile test of mass concrete with Shapai Dam cores. Mater. Struct. 2017, 50, 44. [Google Scholar] [CrossRef]
- Li, X.; Chen, X.D.; Jivkov, A.P.; Zhang, J.H. 3D mesoscale modeling and fracture property study of rubberized self-compacting concrete based on uniaxial tension test. Theor. Appl. Fract. Mech. 2019, 104, 102363. [Google Scholar] [CrossRef]
- Fan, X.Q.; Hu, S.W.; Jun, L.; Wei, C.J. Acoustic emission properties of concrete on dynamic tensile test. Constr. Build. Mater. 2016, 114, 66–75. [Google Scholar] [CrossRef]
- Melenk, J.M.; Babuska, I. The partition of unity finite element method: Basic theory and applications. Comput. Methods Appl. Mech. Eng. 1996, 139, 289–314. [Google Scholar] [CrossRef]
- Belytschko, T.; Black, T. Elastic crack growth in finite elements with minimal remeshing. Int. J. Numer. Methods Eng. 1999, 45, 601–620. [Google Scholar] [CrossRef]
- Daux, C.; Dolbow, J.E.; Sukumar, N.; Belytschko, T. Arbitrary branched and intersecting cracks with the extended Finite Element Method. Int. J. Numer. Methods Eng. 2000, 48, 1741–1760. [Google Scholar] [CrossRef]
- Wei, S.; Zhao, T.S.; Gao DXLiu, D.K.; Li, P.L.; Qui, X.Y. Fracture toughness measurement by cylindrical specimen with ring-shaped crack. Eng. Fract. Mech. 1982, 16, 69–82. [Google Scholar] [CrossRef]
















| Water | Size of Coarse Aggregates | Sand | Cement | Fly Ash | Water-Reducing Agent | ||
|---|---|---|---|---|---|---|---|
| 5–20 mm | 20–40 mm | 40–80 mm | |||||
| 91.00 | 463.03 | 463.03 | 618.37 | 619.01 | 141.56 | 60.67 | 1.6 |
| Specimen No. | Age (Day) | Strain Rate (×s−1) | DISPLACEMENT Loading Rate (×mm s−1) | H (mm) | D (mm) | 2a (mm) |
|---|---|---|---|---|---|---|
| C01 | 201 | 10−6 | 0.002 | 450 | 450 | 90 |
| C02 | 201 | 10−3 | 2 | 450 | 450 | 90 |
| C03 | 203 | 10−3 | 2 | 450 | 450 | 90 |
| E (GPa) | ν | ρ (kg m−3) | fc (MPa) | fst (MPa) | |
|---|---|---|---|---|---|
| Strain Rate (×10−6/s) | Strain Rate (×10−3/s) | ||||
| 42.171 | 0.167 | 2400 | 50.44 | 2.76 | 4.40 |
| Specimen No. | Peak Loads (kN) | Energy Absorption Capacity (N·m−1) | Fracture Energy (N·m−1) | Characteristic Length (mm) |
|---|---|---|---|---|
| C01 | 178.82 | 23.19 | 235.59 | 1304.23 |
| C02 | 284.41 | 62.29 | 538.38 | 1172.73 |
| C03 | 282.48 | 51.68 | 519.32 | 1131.34 |
| Specimen No. | Peak Loads (kN) | Critical Stress Intensity Factors (MPa·m1/2) | |
|---|---|---|---|
| Eccentricity Not Considered | Eccentricity Considered | ||
| C01 | 178.82 | 0.546 | 0.939 |
| C02 | 284.41 | 0.868 | 1.394 |
| C03 | 282.48 | 0.862 | 1.379 |
| Specimen No. | Laser Displacement Meter (mm) | Plane Displacement Equations | |||
|---|---|---|---|---|---|
| 1 | 2 | 3 | 4 | ||
| C01 | 0.008100 | 0.014100 | 0.033100 | 0.029890 | x + 0.528y + 18000z = 0.3708 |
| C02 | 0.008960 | 0.015300 | 0.056000 | 0.058700 | x + 1.142y + 11842z = 0.438 |
| C03 | 0.018156 | 0.040180 | 0.032075 | 0.013031 | 1.736y + 32330z = 0.812 |
| Strain Rate (×s−1) | E (GPa) | ν | Tensile Strength (MPa) | Gf (N·m−1) |
|---|---|---|---|---|
| 10−6 | 42.171 | 0.167 | 1.757 | 235.589 |
| 10−3 | 42.171 | 0.167 | 2.785 | 528.846 |
Disclaimer/Publisher’s Note: The statements, opinions and data contained in all publications are solely those of the individual author(s) and contributor(s) and not of MDPI and/or the editor(s). MDPI and/or the editor(s) disclaim responsibility for any injury to people or property resulting from any ideas, methods, instructions or products referred to in the content. |
© 2024 by the authors. Licensee MDPI, Basel, Switzerland. This article is an open access article distributed under the terms and conditions of the Creative Commons Attribution (CC BY) license (https://creativecommons.org/licenses/by/4.0/).
Share and Cite
Zhang, Y.; Zhong, H.; Li, D.; Li, C.; Wang, H.; Li, Z.; Dong, W. Experimental and Numerical Research on Fracture Properties of Mass Concrete Under Quasi-Static and Dynamic Loading. Buildings 2024, 14, 3312. https://doi.org/10.3390/buildings14103312
Zhang Y, Zhong H, Li D, Li C, Wang H, Li Z, Dong W. Experimental and Numerical Research on Fracture Properties of Mass Concrete Under Quasi-Static and Dynamic Loading. Buildings. 2024; 14(10):3312. https://doi.org/10.3390/buildings14103312
Chicago/Turabian StyleZhang, Yazhou, Hong Zhong, Deyu Li, Chunlei Li, Haibo Wang, Zhiyuan Li, and Wei Dong. 2024. "Experimental and Numerical Research on Fracture Properties of Mass Concrete Under Quasi-Static and Dynamic Loading" Buildings 14, no. 10: 3312. https://doi.org/10.3390/buildings14103312
APA StyleZhang, Y., Zhong, H., Li, D., Li, C., Wang, H., Li, Z., & Dong, W. (2024). Experimental and Numerical Research on Fracture Properties of Mass Concrete Under Quasi-Static and Dynamic Loading. Buildings, 14(10), 3312. https://doi.org/10.3390/buildings14103312
