Chinese Household Carbon Footprint: Structural Differences, Influencing Factors, and Emission Reduction Strategies Analysis
Abstract
1. Introduction
| Method | Description | Characteristics |
|---|---|---|
| Emission Coefficient Method (ECM) [16] | Calculates carbon footprint based on the greenhouse gas emissions per unit of activity. | Simple, easy to use, suitable for large-scale applications, but has low accuracy. |
| Life Cycle Assessment (LCA) [25] | Assesses carbon footprint by analyzing the environmental impact of a product or service throughout its lifecycle, from production to disposal. | Comprehensive, considers all supply chain stages, but data collection is complex and time-consuming. |
| Input–Output Analysis (IOA) [26] | Estimates indirect carbon emissions based on the input–output relationships of economic activities using national or regional economic data. | It can assess indirect carbon footprint and is suitable for macroeconomic analysis but requires a lot of economic data. |
| IPCC Method [14] | Calculates carbon footprint based on guidelines and default emission factors published by the Intergovernmental Panel on Climate Change (IPCC). | Globally recognized, standardized methodology, reliable data sources, and frequently updated factors, but with low accuracy. |
| Integrated Assessment Model (IAM) [27] | It uses a combination of climate, economic, and energy models to assess future carbon emissions and the effects of mitigation strategies. | Comprehensive economic, environmental, and social considerations are required, but complex models require extensive data. |
| Geographically Weighted Regression (GWR) [28] | Analyzes spatial variations in carbon footprint and its influencing factors using geographic data. | It can capture spatial heterogeneity and is suitable for fine-grained regional analysis but requires precise spatial data. |
2. Materials and Methods
2.1. Data Sources
2.2. HCF Calculation Formula
2.3. Factors Influencing the Carbon Footprint of Chinese Households
3. Results
3.1. Quantitative and Structural Characteristics of Household Carbon Emissions
3.2. Differential Characteristics of Household Carbon Emissions
3.2.1. Household Characteristics
3.2.2. Low-Carbon Awareness
3.3. Factors Influencing the Carbon Footprint of Households
3.3.1. Main Influencing Factors
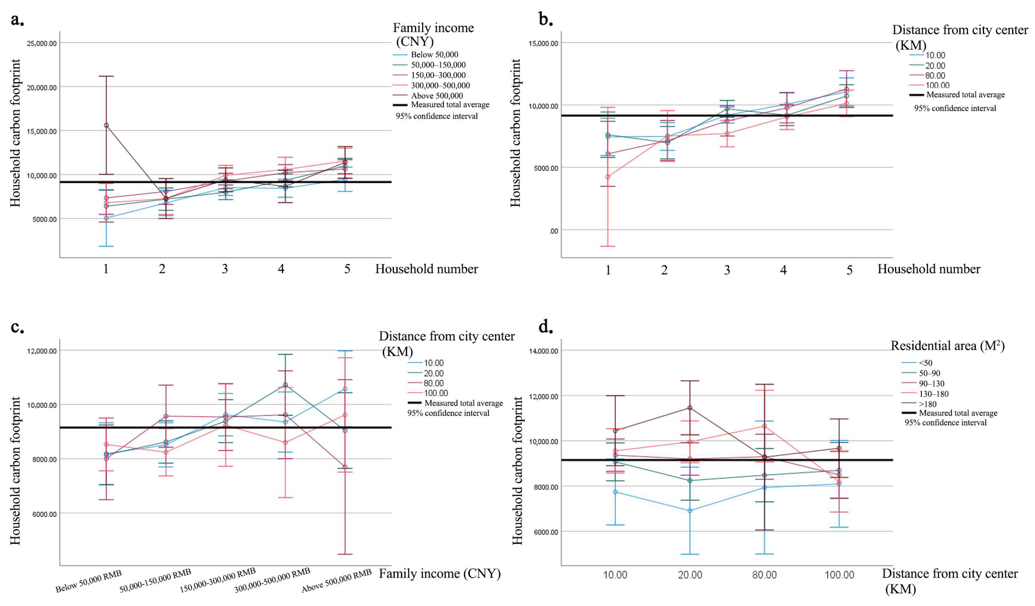
3.3.2. Multiple Influences
4. Discussion
4.1. Household Carbon Footprint Determinants and Implications
4.2. Complex Interactions and Regional Differences
4.3. Limitations and Future Research Directions
5. Conclusions
Supplementary Materials
Author Contributions
Funding
Data Availability Statement
Conflicts of Interest
References
- Kotz, M.; Wenz, L.; Stechemesser, A.; Kalkuhl, M.; Levermann, A. Day-to-Day Temperature Variability Reduces Economic Growth. Nat. Clim. Chang. 2021, 11, 319–325. [Google Scholar] [CrossRef]
- Masson-Delmotte, V.; Zhai, P.; Pirani, A.; Connors, S.L.; Péan, C.; Berger, S.; Caud, N.; Chen, Y.; Goldfarb, L.; Gomis, M.I.; et al. Climate Change 2021: The Physical Science Basis. Contribution of Working Group I to the Sixth Assessment Report of the Intergovernmental Panel on Climate Change; Cambridge University Press: Cambridge, UK, 2021. [Google Scholar]
- United Nations Environment. Emissions Gap Report 2023; United Nations Environment: Nairobi, Kenya, 2023. [Google Scholar]
- Millar, R.J.; Fuglestvedt, J.S.; Friedlingstein, P.; Rogelj, J.; Grubb, M.J.; Matthews, H.D.; Skeie, R.B.; Forster, P.M.; Frame, D.J.; Allen, M.R. Emission Budgets and Pathways Consistent with Limiting Warming to 1.5 °C. Nat. Geosci. 2017, 10, 741–747. [Google Scholar] [CrossRef]
- Friedlingstein, P.; O’Sullivan, M.; Jones, M.W.; Andrew, R.M.; Bakker, D.C.E.; Hauck, J.; Landschützer, P.; Le Quéré, C.; Luijkx, I.T.; Peters, G.P.; et al. Global Carbon Budget 2023. Earth Syst. Sci. Data 2023, 15, 5301–5369. [Google Scholar] [CrossRef]
- An, N.; Huang, C.; Shen, Y.; Wang, J.; Yu, Z.; Fu, J.; Liu, X.; Yao, J. Efficient Data-Driven Prediction of Household Carbon Footprint in China with Limited Features. Energy Policy 2024, 185, 113926. [Google Scholar] [CrossRef]
- Sala Benites, H.; Osmond, P.; Rossi, A.M.G. Developing Low-Carbon Communities with LEED-ND and Climate Tools and Policies in São Paulo, Brazil. J. Urban Plan. Dev. 2020, 146, 04019025. [Google Scholar] [CrossRef]
- Tian, X.; Geng, Y.; Dong, H.; Dong, L.; Fujita, T.; Wang, Y.; Zhao, H.; Wu, R.; Liu, Z.; Sun, L. Regional Household Carbon Footprint in China: A Case of Liaoning Province. J. Clean. Prod. 2016, 114, 401–411. [Google Scholar] [CrossRef]
- Liu, Z.; Guan, D.; Moore, S.; Lee, H.; Su, J.; Zhang, Q. Climate Policy: Steps to China’s Carbon Peak. Nature 2015, 522, 279–281. [Google Scholar] [CrossRef]
- Nationally Determined Contributions Registry. UNFCCC. Available online: https://unfccc.int/NDCREG (accessed on 4 June 2024).
- Fang, K.; Tang, Y.; Zhang, Q.; Song, J.; Wen, Q.; Sun, H.; Ji, C.; Xu, A. Will China Peak Its Energy-Related Carbon Emissions by 2030? Lessons from 30 Chinese Provinces. Appl. Energy 2019, 255, 113852. [Google Scholar] [CrossRef]
- Wang, K.; Cui, Y.; Zhang, H.; Shi, X.; Xue, J.; Yuan, Z. Household Carbon Footprints Inequality in China: Drivers, Components and Dynamics. Energy Econ. 2022, 115, 106334. [Google Scholar] [CrossRef]
- Capstick, S.; Lorenzoni, I.; Corner, A.; Whitmarsh, L. Prospects for Radical Emissions Reduction through Behavior and Lifestyle Change. Carbon Manag. 2014, 5, 429–445. [Google Scholar] [CrossRef]
- Dubois, G.; Sovacool, B.; Aall, C.; Nilsson, M.; Barbier, C.; Herrmann, A.; Bruyère, S.; Andersson, C.; Skold, B.; Nadaud, F.; et al. It Starts at Home? Climate Policies Targeting Household Consumption and Behavioral Decisions Are Key to Low-Carbon Futures. Energy Res. Soc. Sci. 2019, 52, 144–158. [Google Scholar] [CrossRef]
- Schanes, K.; Giljum, S.; Hertwich, E. Low Carbon Lifestyles: A Framework to Structure Consumption Strategies and Options to Reduce Carbon Footprints. J. Clean. Prod. 2016, 139, 1033–1043. [Google Scholar] [CrossRef]
- Zhang, X.; Luo, L.; Skitmore, M. Household Carbon Emission Research: An Analytical Review of Measurement, Influencing Factors and Mitigation Prospects. J. Clean. Prod. 2015, 103, 873–883. [Google Scholar] [CrossRef]
- Feng, Z.-H.; Zou, L.-L.; Wei, Y.-M. The Impact of Household Consumption on Energy Use and CO2 Emissions in China. Energy 2011, 36, 656–670. [Google Scholar] [CrossRef]
- Ivanova, D.; Stadler, K.; Steen-Olsen, K.; Wood, R.; Vita, G.; Tukker, A.; Hertwich, E.G. Environmental Impact Assessment of Household Consumption. J. Ind. Ecol. 2016, 20, 526–536. [Google Scholar] [CrossRef]
- Wiedenhofer, D.; Guan, D.; Liu, Z.; Meng, J.; Zhang, N.; Wei, Y.-M. Unequal Household Carbon Footprints in China. Nat. Clim. Chang. 2017, 7, 75–80. [Google Scholar] [CrossRef]
- Koide, R.; Lettenmeier, M.; Akenji, L.; Toivio, V.; Amellina, A.; Khodke, A.; Watabe, A.; Kojima, S. Lifestyle Carbon Footprints and Changes in Lifestyles to Limit Global Warming to 1.5 °C, and Ways Forward for Related Research. Sustain. Sci. 2021, 16, 2087–2099. [Google Scholar] [CrossRef]
- Dias, L.P.; Simões, S.; Gouveia, J.P.; Seixas, J. City Energy Modelling-Optimising Local Low Carbon Transitions with Household Budget Constraints. Energy Strategy Rev. 2019, 26, 100387. [Google Scholar] [CrossRef]
- Senturk, G.; Dumludag, D. The Relationship between Consumption of Single-Use Plastic Bags, Environmental Awareness, and Socio-Demographic Factors. J. Mater. Cycles Waste Manag. 2022, 24, 1494–1507. [Google Scholar] [CrossRef]
- Tantiwatthanaphanich, T.; Shao, X.; Huang, L.; Yoshida, Y.; Long, Y. Evaluating Carbon Footprint Embodied in Japanese Food Consumption Based on Global Supply Chain. Struct. Chang. Econ. Dyn. 2022, 63, 56–65. [Google Scholar] [CrossRef]
- Parashar, S.; Sood, G.; Agrawal, N. Modelling the Enablers of Food Supply Chain for Reduction in Carbon Footprint. J. Clean. Prod. 2020, 275, 122932. [Google Scholar] [CrossRef]
- Huang, L.; Yoshida, Y.; Li, Y.; Cheng, N.; Xue, J.; Long, Y. Sustainable Lifestyle: Quantification and Determining Factors Analysis of Household Carbon Footprints in Japan. Energy Policy 2024, 186, 114016. [Google Scholar] [CrossRef]
- Peng, S.; Wang, X.; Du, Q.; Wu, K.; Lv, T.; Tang, Z.; Wei, L.; Xue, J.; Wang, Z. Evolution of Household Carbon Emissions and Their Drivers from Both Income and Consumption Perspectives in China during 2010–2017. J. Environ. Manag. 2023, 326, 116624. [Google Scholar] [CrossRef] [PubMed]
- Pettifor, H.; Mastrucci, A.; Wilson, C.; van Ruijven, B.; Agnew, M.; Le Gallic, T. Endogenous Simulation of Low-Carbon Lifestyle Change in Global Climate Mitigation Pathways. Environ. Res. Lett. 2023, 19, 014016. [Google Scholar] [CrossRef]
- Wang, Y.; Zhao, M.; Chen, W. Spatial Effect of Factors Affecting Household CO 2 Emissions at the Provincial Level in China: A Geographically Weighted Regression Model. Carbon Manag. 2018, 9, 187–200. [Google Scholar] [CrossRef]
- Xu, T.; Kang, C.; Zhang, H. China’s Efforts towards Carbon Neutrality: Does Energy-Saving and Emission-Reduction Policy Mitigate Carbon Emissions? J. Environ. Manag. 2022, 316, 115286. [Google Scholar] [CrossRef]
- Chinese Academy of Environmental Planning; Beijing Normal University; China City Greenhouse Gas Working Group. China Products Carbon Footprint Factors Database (2022); Beijing, China, 2022. [Google Scholar]
- Renwei, C. Innovation Center for Energy and Transportation China Commercial Vehicle Electrification Development Research Report. Available online: https://www.efchina.org/Reports-zh/report-ctp-20220303-5 (accessed on 23 October 2024). (In Chinese).
- Gardezi, S.S.S.; Shafiq, N.; Khan, M.W.A. Relational Pre-Impact Assessment of Conventional Housing Features and Carbon Footprint for Achieving Sustainable Built Environment. Environ. Dev. Sustain. 2022, 24, 8441–8463. [Google Scholar] [CrossRef]
- Salazar, J.; Meil, J. Prospects for Carbon-Neutral Housing: The Influence of Greater Wood Use on the Carbon Footprint of a Single-Family Residence. J. Clean. Prod. 2009, 17, 1563–1571. [Google Scholar] [CrossRef]
- Bin, S.; Dowlatabadi, H. Consumer Lifestyle Approach to US Energy Use and the Related CO2 Emissions. Energy Policy 2005, 33, 197–208. [Google Scholar] [CrossRef]
- China: Power Generation Emission Intensity 2021. Available online: https://www.statista.com/statistics/1300419/power-generation-emission-intensity-china/ (accessed on 30 August 2022).
- Ministry of Ecology and Environment the People’s Republic of China. China’s Ecological and Environmental Statistics 2020; Ministry of Ecology and Environment the People’s Republic of China: Beijing, China, 2020.
- Tabachnick, B.G.; Fidell, L.S.; Ullman, J.B. Using Multivariate Statistics, 7th ed.; Pearson: New York, NY, USA, 2019; ISBN 978-0-13-479054-1. [Google Scholar]
- de Boer, J.; de Witt, A.; Aiking, H. Help the Climate, Change Your Diet: A Cross-Sectional Study on How to Involve Consumers in a Transition to a Low-Carbon Society. Appetite 2016, 98, 19–27. [Google Scholar] [CrossRef]
- Velasco-Martínez, L.-C.; Martín-Jaime, J.-J.; Estrada-Vidal, L.-I.; Tójar-Hurtado, J.-C. Environmental Education to Change the Consumption Model and Curb Climate Change. Sustainability 2020, 12, 7475. [Google Scholar] [CrossRef]
- Zhao, D.; McCoy, A.P.; Agee, P.; Mo, Y.; Reichard, G.; Paige, F. Time Effects of Green Buildings on Energy Use for Low-Income Households: A Longitudinal Study in the United States. Sustain. Cities Soc. 2018, 40, 559–568. [Google Scholar] [CrossRef]
- Center for Sustainable Systems. Carbon Footprint Factsheet; University of Michigan: Ann Arbor, MI, USA, 2023. [Google Scholar]
- Yu, F.; Dong, H.; Geng, Y.; Fang, A.S.; Li, H. Uncovering the Differences of Household Carbon Footprints and Driving Forces between China and Japan. Energy Policy 2022, 165, 112990. [Google Scholar] [CrossRef]
- Ottelin, J.; Heinonen, J.; Nässén, J.; Junnila, S. Household Carbon Footprint Patterns by the Degree of Urbanisation in Europe. Environ. Res. Lett. 2019, 14, 114016. [Google Scholar] [CrossRef]
- Baiocchi, G.; Minx, J.; Hubacek, K. The Impact of Social Factors and Consumer Behavior on Carbon Dioxide Emissions in the United Kingdom. J. Ind. Ecol. 2010, 14, 50–72. [Google Scholar] [CrossRef]
- Zen, I.S.; Al-Amin, A.Q.; Alam, M.M.; Doberstein, B. Magnitudes of Households’ Carbon Footprint in Iskandar Malaysia: Policy Implications for Sustainable Development. J. Clean. Prod. 2021, 315, 128042. [Google Scholar] [CrossRef]
- Adnan, M.N.; Safeer, R.; Rashid, A. Consumption Based Approach of Carbon Footprint Analysis in Urban Slum and Non-Slum Areas of Rawalpindi. Habitat Int. 2018, 73, 16–24. [Google Scholar] [CrossRef]
- Liang, L.; Chen, M.; Zhang, X.; Sun, M. Understanding Changes in Household Carbon Footprint during Rapid Urbanization in China. Energy Policy 2024, 185, 113928. [Google Scholar] [CrossRef]
- Zhang, X.; Wang, Y. How to Reduce Household Carbon Emissions: A Review of Experience and Policy Design Considerations. Energy Policy 2017, 102, 116–124. [Google Scholar] [CrossRef]
- Li, J.; Zhang, D.; Su, B. The Impact of Social Awareness and Lifestyles on Household Carbon Emissions in China. Ecol. Econ. 2019, 160, 145–155. [Google Scholar] [CrossRef]
- Zhang, H.; Shi, X.; Wang, K.; Xue, J.; Song, L.; Sun, Y. Intertemporal Lifestyle Changes and Carbon Emissions: Evidence from a China Household Survey. Energy Econ. 2020, 86, 104655. [Google Scholar] [CrossRef]
- Druckman, A.; Jackson, T. Household Energy Consumption in the UK: A Highly Geographically and Socio-Economically Disaggregated Model. Energy Policy 2008, 36, 3177–3192. [Google Scholar] [CrossRef]
- Duarte, R.; Mainar, A.; Sánchez-Chóliz, J. The Impact of Household Consumption Patterns on Emissions in Spain. Energy Econ. 2010, 32, 176–185. [Google Scholar] [CrossRef]
- Liu, L.-C.; Wu, G.; Wang, J.-N.; Wei, Y.-M. China’s Carbon Emissions from Urban and Rural Households during 1992–2007. J. Clean. Prod. 2011, 19, 1754–1762. [Google Scholar] [CrossRef]
- Zhao, X.; Li, N.; Ma, C. Residential Energy Consumption in Urban China: A Decomposition Analysis. Energy Policy 2012, 41, 644–653. [Google Scholar] [CrossRef]
- Jones, C.M.; Kammen, D.M. Quantifying Carbon Footprint Reduction Opportunities for U.S. Households and Communities. Environ. Sci. Technol. 2011, 45, 4088–4095. [Google Scholar] [CrossRef]
- Ala-Mantila, S.; Ottelin, J.; Heinonen, J.; Junnila, S. To Each Their Own? The Greenhouse Gas Impacts of Intra-Household Sharing in Different Urban Zones. J. Clean. Prod. 2016, 135, 356–367. [Google Scholar] [CrossRef]
- Golley, J.; Meng, X. Income Inequality and Carbon Dioxide Emissions: The Case of Chinese Urban Households. Energy Econ. 2012, 34, 1864–1872. [Google Scholar] [CrossRef]
- Streimikiene, D.; Volochovic, A. The Impact of Household Behavioral Changes on GHG Emission Reduction in Lithuania. Renew. Sustain. Energy Rev. 2011, 15, 4118–4124. [Google Scholar] [CrossRef]
- Osorio, P.; Tobarra, M.-Á.; Tomás, M. Are There Gender Differences in Household Carbon Footprints? Evidence from Spain. Ecol. Econ. 2024, 219, 108130. [Google Scholar] [CrossRef]
- Kim, J.; Lim, H.; Jo, H.-H. Do Aging and Low Fertility Reduce Carbon Emissions in Korea? Evidence from IPAT Augmented EKC Analysis. Int. J. Environ. Res. Public Health 2020, 17, 2972. [Google Scholar] [CrossRef]
- Long, Y.; Yoshida, Y.; Meng, J.; Guan, D.; Yao, L.; Zhang, H. Unequal Age-Based Household Emission and Its Monthly Variation Embodied in Energy Consumption—A Cases Study of Tokyo, Japan. Appl. Energy 2019, 247, 350–362. [Google Scholar] [CrossRef]
- Boucher, J.L. Culture, Carbon, and Climate Change: A Class Analysis of Climate Change Belief, Lifestyle Lock-in, and Personal Carbon Footprint. Soc. Ekol. Z. Für Umweltgedanken Und Soziologische Forsch. 2016, 25, 53–80. [Google Scholar] [CrossRef]
- Han, Y.; Duan, H.; Du, X.; Jiang, L. Chinese Household Environmental Footprint and Its Response to Environmental Awareness. Sci. Total Environ. 2021, 782, 146725. [Google Scholar] [CrossRef]
- Souaid, C.; ten Caat, P.N.; Meijer, A.; Visscher, H. Downsizing and the Use of Timber as Embodied Carbon Reduction Strategies for New-Build Housing: A Partial Life Cycle Assessment. Build. Environ. 2024, 253, 111285. [Google Scholar] [CrossRef]
- The Top 4 Environmental Benefits of Living in a Tiny Home—Miniopolis. Available online: https://miniopolisbuilders.com/the-top-4-environmental-benefits-of-living-in-a-tiny-home/ (accessed on 26 March 2024).
- Could Tiny Homes Be the Adorable, Affordable and Sustainable Housing That Our Planet Needs? Available online: https://ideas.ted.com/impact-of-tiny-homes-on-the-environment-and-affordable-housing/ (accessed on 23 October 2024).
- Gao, X.; Chen, X.; Liu, L.-C. Exploring the Determinants of the Evolution of Urban and Rural Household Carbon Footprints Inequality in China. Energy Policy 2024, 185, 113955. [Google Scholar] [CrossRef]
- Sommer, M.; Kratena, K. The Carbon Footprint of European Households and Income Distribution. Ecol. Econ. 2017, 136, 62–72. [Google Scholar] [CrossRef]
- Boyce, J.K. Carbon Pricing: Effectiveness and Equity. Ecol. Econ. 2018, 150, 52–61. [Google Scholar] [CrossRef]
- Geels, F.W.; Schwanen, T.; Sorrell, S.; Jenkins, K.; Sovacool, B.K. Reducing Energy Demand through Low Carbon Innovation: A Sociotechnical Transitions Perspective and Thirteen Research Debates. Energy Res. Soc. Sci. 2018, 40, 23–35. [Google Scholar] [CrossRef]
- Cui, Q.; Chen, B. Aviation Carbon Transfer and Compensation of International Routes in Africa from 2019 to 2021. Sci. Data 2023, 10, 306. [Google Scholar] [CrossRef]
- Miehe, R.; Scheumann, R.; Jones, C.M.; Kammen, D.M.; Finkbeiner, M. Regional Carbon Footprints of Households: A German Case Study. Environ. Dev. Sustain. 2016, 18, 577–591. [Google Scholar] [CrossRef]







| Type | Contents | Calculation Method | Data Sources |
|---|---|---|---|
| Transport carbon footprint | Metro | The metro takes the middle of the mileage option and 1.5 km of metro kilometers per station. | China Products Carbon Footprint Factors Database (2022) [30] |
| Private Car | In the carbon footprint of private cars, the number of kilometers driven per month by private cars is calculated by counting the monthly fuel cost of private cars, combined with the overall fuel price of RMB8.73/liter in July 2022, and the number of kilometers driven per month by private cars, combined with the displacement of the car. | ||
| Buses | Public transport carbon footprint calculation is based on electric buses [31]. | ||
| Taxis | The 2014 China taxi subaverage distance of 7 km/ride was taken as standard. | ||
| Planes and trains | Median train and airplane use travel hours multiplied by average train and airplane speeds in China. | ||
| Residential situation | Carbon footprint of housing construction, building, and demolition | Classify the housing into three categories, civil, brick, and concrete, and research the size of the dwelling and combine it with the thesis to estimate [32,33]. | |
| Wallpaper | Questionnaire statistics on house size and standard floor height of Chinese buildings (2.8 m). | ||
| Flooring | Questionnaire statistics on house size. | ||
| Dietary situation | Cereals, vegetables, fruit, meat, fish, eggs, and milk | The Chinese Dietary Guidelines suggest that the average adult consumes about 0.8 kg of food per day, and the questionnaire counts the proportion of various types of food in the household. | |
| Cigarettes, liquor, beer, tea, and coffee | Questionnaire statistics on household consumption, missing coefficients added by thesis factor. | ||
| Daily products situation | Laundry Detergent | Questionnaire to count household consumption. | |
| Clothes | Frequency of questionnaire statistics, combined with the recycling rate of clothing in China (around 10%), the carbon emissions of clothing for households with a tendency to recycle clothing, combined with household take-back of 90%. | ||
| Household products | Frequency of questionnaire statistics, carbon emission data for flooring and wallpaper replacement calculated over 70 years of use for 100 m2, missing factors added by thesis factors. | ||
| Electronic equipment | Frequency of questionnaire statistics to calculate the replacement cycle of household appliances and electronic equipment based on a market study of the white goods industry in China and a report of replacement users in the Winning Smartphone market. | ||
| Reading preferences | The questionnaire counts the frequency of paper books and online reading and considers the recycling rate of paper in China. | ||
| Disposable items | Plastic bags and disposable chopsticks, based on the number of plastic bags and chopsticks consumed by households per month according to the questionnaire. | ||
| Service carbon footprint | Healthcare | Health. Social Security and social welfare industry. | Consumer Lifestyle Approach (CLA) calculations [17,34] combined with NSO’s Consumer Expenditure in 2021 |
| Cultural, educational, and recreational goods | Sporting goods, education, and recreation. | ||
| Other goods and services | Wholesale and retail, accommodation and catering, residential services, and other services | ||
| Energy situation | Electricity | Questionnaire Statistics, Carbon Intensity of Electricity Generation in China in 2021 [35] | China Products Carbon Footprint Factors Database (2022) [30] and Annual Report on China’s Ecological and Environmental Statistics 2020 [36] |
| Water | Questionnaire statistics | ||
| Gas | Questionnaire statistics | ||
| Natural gas | Questionnaire statistics | ||
| Household waste | Waste of household water, waste, and sludge The volume of sewage generated is the difference between the actual volume of sewage and the treated sewage, considering the maturity of sewage treatment technology. |
| Variable | Direct HCF | Significance | Indirect HCF | Significance |
|---|---|---|---|---|
| Household number | −0.473 ** | 0.000 | −0.464 ** | 0.000 |
| Male population | −0.241 ** | 0.000 | −0.245 ** | 0.000 |
| Female population | −0.258 ** | 0.000 | −0.261 ** | 0.000 |
| Minors | −0.147 ** | 0.000 | −0.189 ** | 0.000 |
| Elderly | −0.086 ** | 0.004 | −0.090 ** | 0.003 |
| Working population | −0.126 ** | 0.000 | −0.102 ** | 0.001 |
| Family income (CNY) | 0.107 ** | 0.000 | 0.183 ** | 0.000 |
| Distance from city center (in km) | −0.136 ** | 0.000 | −0.189 ** | 0.000 |
| Residential area (in square meters) | −0.073 * | 0.015 | 0.077 * | 0.011 |
Disclaimer/Publisher’s Note: The statements, opinions and data contained in all publications are solely those of the individual author(s) and contributor(s) and not of MDPI and/or the editor(s). MDPI and/or the editor(s) disclaim responsibility for any injury to people or property resulting from any ideas, methods, instructions or products referred to in the content. |
© 2024 by the authors. Licensee MDPI, Basel, Switzerland. This article is an open access article distributed under the terms and conditions of the Creative Commons Attribution (CC BY) license (https://creativecommons.org/licenses/by/4.0/).
Share and Cite
Fu, J.; An, N.; Huang, C.; Shen, Y.; Pan, M.; Wang, J.; Yao, J.; Yu, Z. Chinese Household Carbon Footprint: Structural Differences, Influencing Factors, and Emission Reduction Strategies Analysis. Buildings 2024, 14, 3451. https://doi.org/10.3390/buildings14113451
Fu J, An N, Huang C, Shen Y, Pan M, Wang J, Yao J, Yu Z. Chinese Household Carbon Footprint: Structural Differences, Influencing Factors, and Emission Reduction Strategies Analysis. Buildings. 2024; 14(11):3451. https://doi.org/10.3390/buildings14113451
Chicago/Turabian StyleFu, Jiayan, Na An, Chenyu Huang, Yanting Shen, Min Pan, Jinyu Wang, Jiawei Yao, and Zhongqi Yu. 2024. "Chinese Household Carbon Footprint: Structural Differences, Influencing Factors, and Emission Reduction Strategies Analysis" Buildings 14, no. 11: 3451. https://doi.org/10.3390/buildings14113451
APA StyleFu, J., An, N., Huang, C., Shen, Y., Pan, M., Wang, J., Yao, J., & Yu, Z. (2024). Chinese Household Carbon Footprint: Structural Differences, Influencing Factors, and Emission Reduction Strategies Analysis. Buildings, 14(11), 3451. https://doi.org/10.3390/buildings14113451

