Experimental and Numerical Investigation on the Bearing Capacity of Axially Compressive Concrete-Filled Steel Tubular Columns with Local Corrosion
Abstract
1. Introduction
2. Experimental Program
2.1. Geometrical Representation of Local Corrosion Morphology
2.2. Test Specimen Design and Preparation
2.3. Axial Compression Test
3. Test Results and Analysis
3.1. Test Phenomenon
3.2. Load–Displacement Curves of Locally Corroded CFST Columns
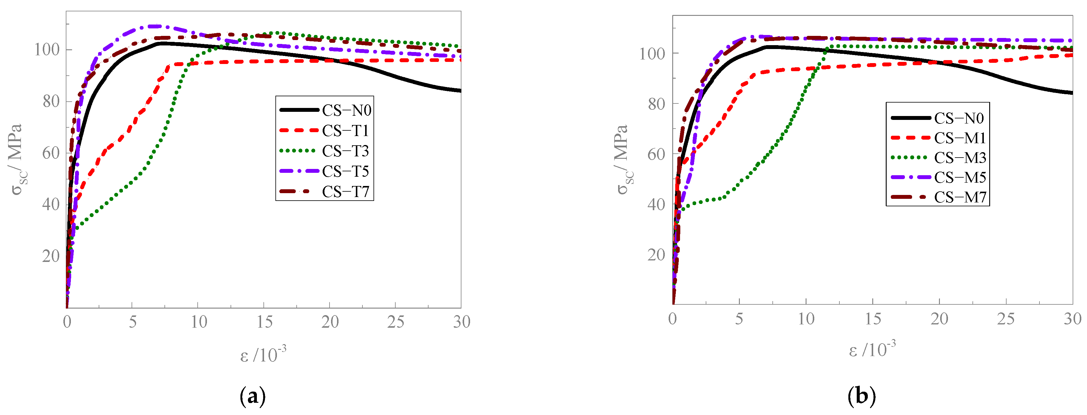
3.3. Stress–Strain Relationship Curve of Local Corrosion Region
4. Finite Element Calculation of Locally Corroded CFST
4.1. Establishment of Finite Element Model
4.2. Finite Element Model Validation
4.3. Comparison of Damage Patterns
5. Parametric Analysis
5.1. Effect of Local Corrosion Location
5.2. Effect of Circumferential Corrosion Ratio
5.3. Effect of Axial Corrosion Ratio
5.4. Effect of Wall Thickness Corrosion Rate
6. Practical Model for Axial Compressive Load Capacity Calculation
6.1. Practical Model for Calculating CFST Axial Compressive Load Capacity Affected by Local Corrosion
6.2. Comparison of Theoretical Predictions with Test Values for Load Capacity
7. Conclusions
- (1)
- Local corrosion on the surface of steel tubes leads to a sudden change in cross-section, causing stress concentration and consequently reducing the axial compressive bearing capacity and ductility of CFST columns. The impact is more pronounced when the corrosion is located in the middle section of the specimen compared to the ends. Nevertheless, when local corrosion defects of the same size occur at different axial positions of the CFST column, the variation range of its bearing capacity is within 10%.
- (2)
- The increase in corrosion rate is positively correlated with the downward trend of bearing capacity. Under the same corrosion rate, the change in the three-dimensional size of the local corrosion area will significantly affect the mechanical properties of the CFST columns.
- (3)
- When the planar dimensions of the locally corroded area are small (φL < 0.2, φH ≤ 0.67), the variation in axial compressive load capacity of CFST columns is primarily influenced by stress concentration during loading and the corrosion rate itself; the wall thickness corrosion rate, circumferential corrosion ratio, and axial corrosion ratio have a minor impact on the load-carrying capacity, with no clear pattern. As the corrosion rate increases, particularly for larger planar dimensions of the locally corroded area (φL ≥ 0.2, φH > 0.67), the three-dimensional dimensions of the corroded area become the predominant factors affecting load-carrying capacity. Among these, the wall thickness corrosion rate has the most significant effect, followed by the circumferential and axial corrosion rates. Additionally, once the axial corrosion ratio reaches a certain threshold (φL > 0.2), its further impact on the load-carrying capacity is minimal.
- (4)
- The paper has proposed a formula for calculating the axial compressive load capacity of locally corroded CFST columns. This formula demonstrates high accuracy and reliability when validated against test results and finite element simulations.
- (5)
- This formula does not consider various complex corrosion morphologies that may occur in practical engineering. Although it can preliminarily evaluate the impact of local corrosion on the axial compressive bearing capacity of CFST columns when detailed corrosion information is lacking, its ability to assess structural behavior under complex corrosion morphologies is limited. Future research still needs to develop a more comprehensive model to accurately consider complex corrosion characteristics and their impact on structural integrity and provide stronger support for practical engineering applications.
Author Contributions
Funding
Data Availability Statement
Acknowledgments
Conflicts of Interest
References
- Dewanbabee, H.; Das, S. Structural behavior of corroded steels pipes subject to axial compression and internal pressure: Experimental study. J. Struct. Eng. 2012, 139, 57–65. [Google Scholar] [CrossRef]
- Li, G.; Hou, C.; Shen, L.M. Life-cycle analysis of FRP-strengthened offshore CFST columns suffering from steel corrosion. Compos. Struct. 2021, 277, 114607. [Google Scholar] [CrossRef]
- Thai, S.; Thai, H.T.; Uy, B.; Ngo, T. Concrete-filled steel tubular columns: Test database, design and calibration. J. Constr. Steel Res. 2019, 157, 161–181. [Google Scholar] [CrossRef]
- Han, L.H.; Hou, C.; Wang, Q.L. Square concrete filled steel tubular (cfst) members under loading and chloride corrosion: Experiments. J. Constr. Steel Res. 2012, 71, 11–25. [Google Scholar] [CrossRef]
- Hou, C.; Han, L.H.; Zhao, X.L. Full-range analysis on square CFST stub columns and beams under loading and chloride corrosion. Thin-Walled Struct. 2013, 68, 50–64. [Google Scholar] [CrossRef]
- Hou, C.C.; Han, L.H.; Wang, Q.L.; Hou, C. Flexural behavior of circular concrete filled steel tubes (CFST) under sustained load and chloride corrosion. Thin-Walled Struct. 2016, 107, 182–196. [Google Scholar] [CrossRef]
- Han, L.H.; Hua, Y.X.; Hou, C.; Wang, Q.-L. Circular concrete-filled steel tubes subjected to coupled tension and chloride corrosion. J. Struct. Eng. 2017, 143, 04017134. [Google Scholar] [CrossRef]
- Hua, Y.X.; Han, L.H.; Wang, Q.L.; Hou, C. Behavior of square CFST beam-columns under combined sustained load and corrosion: Experiments. Thin-Walled Struct. 2019, 136, 353–366. [Google Scholar] [CrossRef]
- Wang, Q.L.; Li, Q.L.; Qu, S.E. Experimental study on corrosion resistance property of circular concrete filled steel tubular beam under long-term loading. J. Build. Struct. 2015, 36 (Suppl. 2), 50. (In Chinese) [Google Scholar]
- Wang, Q.L.; Feng, L.M.; Qu, S.E. Experimental study on axially compressed circular concrete-filled steel tubular stub columns under long-term coupling effects of loading and chloride corrosion. China Civ. Eng. J. 2015, 48 (Suppl. 1), 48–52. (In Chinese) [Google Scholar]
- Ma, D.Y.; Ma, S.; Xu, L.Y. Reliability analysis of axial compressive strength of concrete-filled steel tube (CFST) under coupled corrosion and load effects. Buildings 2024, 14, 3205. [Google Scholar] [CrossRef]
- Gao, S.; Guo, L.H.; Zhang, S.M.; Peng, Z. Performance degradation of circular thin-walled CFST stub columns in high-latitude offshore region. Thin-Walled Struct. 2020, 154, 106906. [Google Scholar] [CrossRef]
- Zhang, F.J.; Xia, J.W.; Li, G.; Guo, Z.; Chang, H.F.; Wang, K.J. Degradation of axial ultimate load bearing capacity of circular thin-walled concrete-filled steel tubular stub columns after corrosion. Materials 2020, 13, 795. [Google Scholar] [CrossRef] [PubMed]
- Zhang, T.; Lyu, X.T.; Liu, H.Q.; Zhang, L.Q.; Wang, J.F.; Gao, S. Axial performance degradation of squared CFST stubs in severe cold and acid rain area. Constr. Build. Mater. 2020, 262, 120612. [Google Scholar] [CrossRef]
- Yuan, F.; Chen, M.C.; Huang, H. Square CFST columns under cyclic load and acid rain attack: Experiments. Steel Compos. Struct. 2019, 30, 171–183. [Google Scholar]
- Yuan, F.; Chen, M.C.; Huang, H.; Xie, L.; Wang, C. Circular concrete filled steel tubular (CFST) columns under cyclic load and acid rain attack: Test simulation. Thin-Walled Struct. 2018, 122, 90–101. [Google Scholar] [CrossRef]
- Chen, M.C.; Fang, W.; Huang, H.; Wang, C.; Liu, J.J. Axial compressive behavior of recycled concrete filled corroded circular steel tubular columns. J. Build. Struct. 2019, 40, 138–146. (In Chinese) [Google Scholar] [CrossRef]
- Melchersr, E. Progress in developing realistic corrosion models. Struct. Infrastruct. Eng. 2018, 14, 843–853. [Google Scholar] [CrossRef]
- Mohammed, A.A.; Manalo, A.C.; Ferdous, W.; Zhuge, Y.; Vijay, P.V.; Alkinani, A.Q.; Fam, A. State-of-the-art of prefabricated FRP composite jackets for structural repair. Eng. Sci. Technol. Int. J. 2020, 23, 1244–1258. [Google Scholar] [CrossRef]
- Huang, C.; Chen, T.; Wang, X. Compressive characteristics of damaged circular hollow section (CHS) steel columns repaired by CFRP or grout jacketing. Thin-Walled Struct. 2017, 119, 635–645. [Google Scholar] [CrossRef]
- Guo, L.H.; Huang, H.J.; Jia, C.; Romanov, K. Axial behavior of square CFST with local corrosion simulated by artificial notch. J. Constr. Steel Res. 2020, 174, 106314. [Google Scholar] [CrossRef]
- Huang, H.J.; Guo, L.H.; Qu, B.; Jia, C.; Elchalakani, M. Tests of circular concrete-filled steel tubular stub columns with artificial notches representing local corrosions. Eng. Struct. 2021, 242, 112598. [Google Scholar] [CrossRef]
- Li, G.; Hou, C.; Shen, L.M.; Yao, G.H. Performance and strength calculations of CFST columns with local pitting corrosion damage. J. Constr. Steel Res. 2022, 188, 107011. [Google Scholar] [CrossRef]
- Li, G.; Hou, C.; Shen, L.M. Combined compression-bending performance and design of CFST with localised pitting corrosion. J. Constr. Steel Res. 2022, 192, 107247. [Google Scholar] [CrossRef]
- Zhao, Z.W.; Gao, T.; Jian, X.Y.; Mo, S.J.; Liu, B.B. Eccentric compression capacity of circular CFST columns under random pitting corrosion. Ocean. Eng. 2023, 288, 115975. [Google Scholar] [CrossRef]
- Li, J.W.; Jia, C.; Gao, S.; Guo, L.H. Experimental and numerical study on axial compression behavior of slender CFST columns with localized pitting corrosion damage. Constr. Build. Mater. 2024, 414, 134858. [Google Scholar] [CrossRef]
- Jia, C.; Li, J.W.; Guo, L.H.; Zhong, L. Behavior of stub SCFST columns with localized pitting corrosion damage. Eng. Fail. Anal. 2024, 156, 107824. [Google Scholar] [CrossRef]
- Luo, S.C.; Chen, M.C.; Huang, H.; Xv, K.; Fang, W.; Zhang, R. Eccentric compression test and ultimate load strength analysis of circular CFST long column with local corrosion. Structures 2023, 56, 104937. [Google Scholar] [CrossRef]
- Siraj, T.; Zhou, W.X. Evaluation of statistics of metal-loss corrosion defect profile to facilitate reliability analysis of corroded pipelines. Int. J. Press. Vessel. Pip. 2018, 166, 107–115. [Google Scholar] [CrossRef]
- GB 50936-2014; Technical Code for Steel Tube Concrete Structures. China Architecture & Building Press: Beijing, China, 2014.























| No. | Specimen Number | D/mm | t/mm | L/mm | Corrosion Location | φL/% | φH/% | φT/% | η/% | fy/MPa | fcu/MPa |
|---|---|---|---|---|---|---|---|---|---|---|---|
| 1 | CS-N0 | 114 | 3.64/3.64/3.65 | 342 | —— | —— | —— | —— | —— | 360 | 55.4 |
| 2 | CS-T1 | 114 | 3.60/3.64 | 342 | upper end | 20 | 100 | 10 | 2 | 360 | 55.4 |
| 3 | CS-T3 | 114 | 3.64/3.66 | 342 | upper end | 20 | 100 | 30 | 6 | 360 | 55.4 |
| 4 | CS-T5 | 114 | 3.64/3.67 | 342 | upper end | 20 | 100 | 50 | 10 | 360 | 55.4 |
| 5 | CS-T7 | 114 | 3.67/3.61 | 342 | upper end | 20 | 100 | 70 | 14 | 360 | 55.4 |
| 6 | CS-M1 | 114 | 3.69/3.67 | 342 | middle | 20 | 100 | 10 | 2 | 360 | 55.4 |
| 7 | CS-M3 | 114 | 3.72/3.73 | 342 | middle | 20 | 100 | 30 | 6 | 360 | 55.4 |
| 8 | CS-M5 | 114 | 3.69/3.70 | 342 | middle | 20 | 100 | 50 | 10 | 360 | 55.4 |
| 9 | CS-M7 | 114 | 3.70/3.72 | 342 | middle | 20 | 100 | 70 | 14 | 360 | 55.4 |
| Specimen Number | φT/% | η/% | Ncs/kN | Ncsf/kN | Nue/kN | Ncs/Ncsf | Ncs/Nue |
|---|---|---|---|---|---|---|---|
| CS-N0 | —— | —— | 1064 | 1055.49 | 1073.09 | 1.008 | 0.992 |
| CS-T1 | 10 | 2 | 1023 | 1038.20 | 1037.67 | 0.985 | 0.986 |
| CS-T3 | 30 | 6 | 1048 | 1039.91 | 1000.2 | 1.008 | 1.048 |
| CS-T5 | 50 | 10 | 1063 | 971.17 | 955.117 | 1.094 | 1.113 |
| CS-T7 | 70 | 14 | 983 | 875.36 | 908.603 | 1.123 | 1.082 |
| CS-M1 | 10 | 2 | 1020 | 1021.11 | 1048.14 | 0.999 | 0.973 |
| CS-M3 | 30 | 6 | 1023 | 1010.67 | 1010.24 | 1.012 | 1.013 |
| CS-M5 | 50 | 10 | 1032 | 933.641 | 959.219 | 1.105 | 1.077 |
| CS-M7 | 70 | 14 | 1013 | 834.865 | 915.11 | 1.213 | 1.107 |
| CS-A0 [17] | —— | —— | 883 | 895 | 877 | 0.987 | 1.007 |
| CS-A1 [17] | 9.4 | 9.4 | 834 | 844 | 839 | 0.988 | 0.994 |
| CS-A2 [17] | 20.4 | 20.4 | 760 | 769 | 794 | 0.988 | 0.957 |
Disclaimer/Publisher’s Note: The statements, opinions and data contained in all publications are solely those of the individual author(s) and contributor(s) and not of MDPI and/or the editor(s). MDPI and/or the editor(s) disclaim responsibility for any injury to people or property resulting from any ideas, methods, instructions or products referred to in the content. |
© 2024 by the authors. Licensee MDPI, Basel, Switzerland. This article is an open access article distributed under the terms and conditions of the Creative Commons Attribution (CC BY) license (https://creativecommons.org/licenses/by/4.0/).
Share and Cite
Fang, W.; Chen, M.; Wen, Q.; Huang, H.; Xu, K.; Zhang, R. Experimental and Numerical Investigation on the Bearing Capacity of Axially Compressive Concrete-Filled Steel Tubular Columns with Local Corrosion. Buildings 2024, 14, 3628. https://doi.org/10.3390/buildings14113628
Fang W, Chen M, Wen Q, Huang H, Xu K, Zhang R. Experimental and Numerical Investigation on the Bearing Capacity of Axially Compressive Concrete-Filled Steel Tubular Columns with Local Corrosion. Buildings. 2024; 14(11):3628. https://doi.org/10.3390/buildings14113628
Chicago/Turabian StyleFang, Wei, Mengcheng Chen, Qingqing Wen, Hong Huang, Kaicheng Xu, and Rui Zhang. 2024. "Experimental and Numerical Investigation on the Bearing Capacity of Axially Compressive Concrete-Filled Steel Tubular Columns with Local Corrosion" Buildings 14, no. 11: 3628. https://doi.org/10.3390/buildings14113628
APA StyleFang, W., Chen, M., Wen, Q., Huang, H., Xu, K., & Zhang, R. (2024). Experimental and Numerical Investigation on the Bearing Capacity of Axially Compressive Concrete-Filled Steel Tubular Columns with Local Corrosion. Buildings, 14(11), 3628. https://doi.org/10.3390/buildings14113628
