Dynamic Stiffness for a Levinson Beam Embedded Within a Pasternak Medium Subjected to Axial Load at Both Ends
Abstract
1. Introduction
2. Theoretical Formulation
2.1. Governing Equation of Levinson Beams Embedded in the Pasternak Foundation
2.2. Homogenous Solution for Levinson Beam Embedded in Pasternak Foundation
2.3. Dynamics Stiffness Matrix Formulation
3. Utilization of the Dynamic Stiffness Matrix
3.1. Solving the Transcendental Eigenvalue Issue
3.2. The Count for a Levinson Beam Embedded in a Pasternak Foundation
4. Numerical Results and Verification
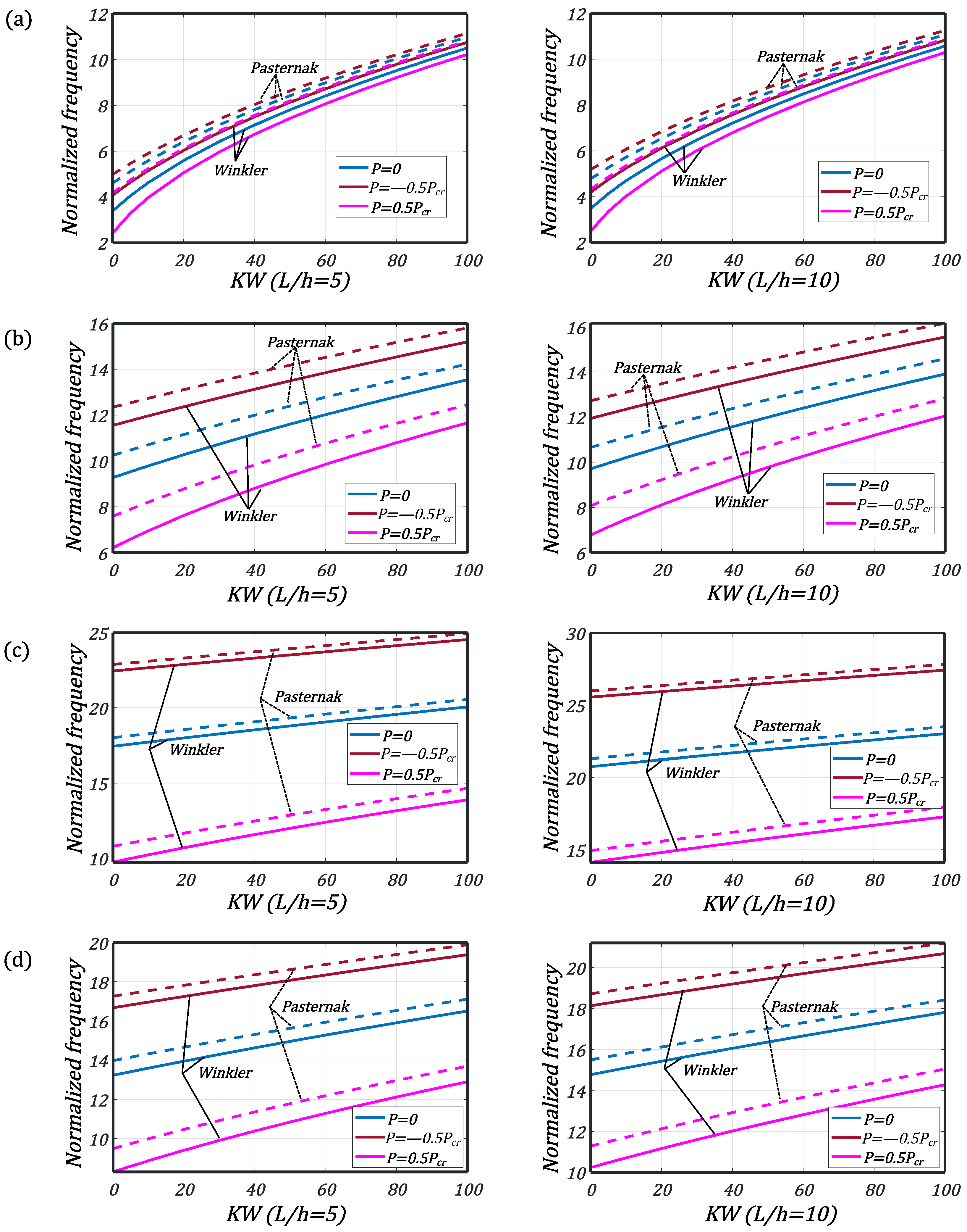
5. Parametric Study
6. Conclusions
Author Contributions
Funding
Data Availability Statement
Conflicts of Interest
Nomenclature
| b, h, L | Beam’s width, height, and length |
| , | Axial displacement and the component of the central surface |
| , | Transverse displacement and the component of the central surface |
| Rotational angle of the cross-section of the beam | |
| Q, M | Shear force and bending moment |
| E, G, | Elastic and shear modulus, density of the beam |
| A, I | Area and moment of inertia of the cross-section |
| P | Axial force at both ends |
| Distributed load applied to the beam | |
| Circular trail frequency | |
| , | Amplitudes of transverse displacement and rotational angle |
| , | Amplitudes of shear force and bending moment |
| Winkler foundation spring stiffness | |
| Pasternak foundation shear layer stiffness | |
| Dimensionless length | |
| a | Coefficients in Levinson beam theory |
| , , Y, V | Coefficients when solving governing equation |
| , | Constants in transverse displacement homogenous solution |
| , | Constants in rotation homogenous solution |
| A | Constants vector |
| , , H, Z | Coefficients when solving governing equation |
| Displacement vector | |
| Force vector | |
| Dynamic stiffness matrix | |
| Number of natural frequencies of the structure clamped | |
| Count of negative elements on the main diagonal | |
| The sign function | |
| ith row and jth column element of single matrix | |
| Classical buckling load | |
| , | , . |
| The ratio | |
| Dimensionless ith natural frequency |
Appendix A
References
- Loya, J.; Aranda-Ruiz, J.; Zaera, R. Natural frequencies of vibration in cracked Timoshenko beams within an elastic medium. Theor. Appl. Fract. Mech. 2022, 118, 103257. [Google Scholar] [CrossRef]
- Pasternak, P. On a New Method of Analysis of an Elastic Foundation by Means of two Foundation Constants. Gos. Lit. Stroit. Arkhitekture 1954, 21, 56. (In Russian) [Google Scholar]
- Dutta, S.; Roy, R. A critical review on idealization and modeling for interaction among soil–foundation–structure system. Comput. Struct. 2002, 80, 1579–1594. [Google Scholar] [CrossRef]
- Lee, J.; Jeong, S.; Lee, J. Natural frequencies for flexural and torsional vibrations of beams on Pasternak foundation. Soils Found. 2014, 54, 1202–1211. [Google Scholar] [CrossRef]
- Maheshwari, P.; Khatri, S. Nonlinear analysis of infinite beams on granular bed-stone column-reinforced earth beds under moving loads. Soils Found. 2012, 52, 114–125. [Google Scholar] [CrossRef]
- Wang, P.; Zhao, M.; Du, X.; Liu, J.; Xu, C. Wind, wave and earthquake responses of offshore wind turbine on monopile foundation in clay. Soil Dyn. Earthq. Eng. 2018, 113, 47–57. [Google Scholar] [CrossRef]
- Xia, Y.; Jiang, N.; Zhou, C.; Meng, X.; Luo, X.; Wu, T. Theoretical solution of the vibration response of the buried flexible HDPE pipe under impact load induced by rock blasting. Soil Dyn. Earthq. Eng. 2021, 146, 106743. [Google Scholar] [CrossRef]
- Cai, Z.; Raymond, G.; Bathurst, R. Natural vibration analysis of rail track as a system of elastically coupled beam structures on Winkler foundation. Comput. Struct. 1994, 53, 1427–1436. [Google Scholar] [CrossRef]
- Zhang, X.; Thompson, D.; Sheng, X. Differences between Euler-Bernoulli and Timoshenko beam formulations for calculating the effects of moving loads on a periodically supported beam. J. Sound Vib. 2020, 481, 115432. [Google Scholar] [CrossRef]
- Ni, A.; Shi, Z. Subwavelength tunable topoligical interface modes in metamaterial beams on elastic foundation. Phys. Lett. A 2023, 466, 128734. [Google Scholar] [CrossRef]
- Adhikari, S.; Karlicic, D.; Liu, X. Dynamic stiffness of nonlocal damped nano-beams on elastic foundation. Eur. J. Mech. A-Solids 2021, 86, 104144. [Google Scholar] [CrossRef]
- Ghannadiasl, A.; Zamiri, A.; Borhanifar, A. Free vibrations of non-uniform beams on a non-uniform Winkler foundation using the Laguerre collocation method. J. Braz. Soc. Mech. Sci. Eng. 2020, 42, 242. [Google Scholar] [CrossRef]
- Li, J.; Chen, B.; Mao, H. Exact closed-form solution for vibration characteristics of multi-span beams on an elastic foundation subjected to axial force. Structures 2024, 60, 105884. [Google Scholar] [CrossRef]
- Ruge, P.; Birk, C. A comparison of infinite Timoshenko and Euler–Bernoulli beam models on Winkler foundation in the frequency and time-domain. J. Sound Vib. 2007, 304, 932–947. [Google Scholar] [CrossRef]
- Attar, M.; Karrech, A.; Regenauer-Lieb, K. Free vibration analysis of a cracked shear deformable beam on a two-parameter elastic foundation using a lattice spring model. J. Sound Vib. 2014, 333, 2359–2377. [Google Scholar] [CrossRef]
- Calim, F.; Akkurt, F. Static and free vibration analysis of straight and circular beams on elastic foundation. Mech. Res. Commun. 2011, 38, 89–94. [Google Scholar] [CrossRef]
- Kanwal, G.; Ahmed, N.; Nawaz, R. Free and forced vibration analysis of axially functionally graded Timoshenko beams on two-parameter viscoelastic foundation. Heliyon 2024, 10, e26491. [Google Scholar] [CrossRef]
- Malekzadeh, P.; Karami, G. A mixed differential quadrature and finite element free vibration and buckling analysis of thick beams on two-parameter elastic foundations. Appl. Math. Model. 2008, 32, 1381–1394. [Google Scholar] [CrossRef]
- Levinson, M. A new rectangular beam theory. J. Sound Vib. 1981, 74, 81–87. [Google Scholar] [CrossRef]
- Heyliger, P.; Reddy, J. A higher order beam finite element for bending and vibration problems. J. Sound Vib. 1988, 126, 309–329. [Google Scholar] [CrossRef]
- Groh, M.; Weaver, P.; Borhanifar, A. Static inconsistencies in certain axiomatic higher-order shear deformation theories for beams, plates and shells. Compos. Struct. 2015, 120, 231–235. [Google Scholar] [CrossRef][Green Version]
- Matsunaga, H. Vibration and buckling of deep beam-columns on two-parameter elastic foundations. J. Sound Vib. 1999, 228, 359–376. [Google Scholar] [CrossRef]
- Chen, W.Q.; Lu, C.; Bian, Z. A mixed method for bending and free vibration of beams resting on a Pasternak elastic foundation. Appl. Math. Model. 2004, 28, 877–890. [Google Scholar] [CrossRef]
- Ma, X.; Butterworth, J.; Clifton, G. Static analysis of an infinite beam resting on a tensionless Pasternak foundation. Eur. J. Mech. A-Solids 2009, 28, 697–703. [Google Scholar] [CrossRef]
- Gao, D.Y.; Machalovác, J.; Netuka, H. Mixed finite element solutions to contact problems of nonlinear Gao beam on elastic foundation. Nonlinear Anal. Real World Appl. 2015, 22, 537–550. [Google Scholar] [CrossRef]
- Previati, G.; Ballo, F.; Stabile, P. Beams on elastic foundation: A variable reduction approach for nonlinear contact problems. Eur. J. Mech. A-Solids 2025, 111, 105514. [Google Scholar] [CrossRef]
- Rodriguesa, C.; Simõesb, F.; Pinto da Costab, A.; Froioc, D.; Rizzic, E. Finite element dynamic analysis of beams on nonlinear elastic foundations under a moving oscillator. Eur. J. Mech. A-Solids 2018, 68, 9–24. [Google Scholar] [CrossRef]
- Banerjee, J. Coupled bending-torsional dynamic stiffness matrix for beam elements. Int. J. Numer. Methods Eng. 1989, 28, 1283–1298. [Google Scholar] [CrossRef]
- Wittrick, W.; Williams, F. A general algorithm for computing natural frequencies of elastic structures. Quart. J. Mech. Appl. Math. 1971, 24, 263–284. [Google Scholar] [CrossRef]
- Yuan, S.; Ye, K.; Williams, F. Second order mode-finding method in dynamic stiffness matrix methods. J. Sound Vib. 2004, 269, 689–708. [Google Scholar] [CrossRef]
- Williams, F.W.; Kennedy, D. Historic, Recent and Ongoing Applications of the Wittrick-Williams Algorithm. Comput. Technol. Rev. 2010, 2, 247–263. [Google Scholar] [CrossRef]
- Banerjee, J. An exact method for free vibration of beams and frameworks using frequency-dependent mass, elastic and geometric stiffness matrices. Comput. Struct. 2024, 292, 107235. [Google Scholar] [CrossRef]
- Liu, X.; Zhao, Y.; Zhou, W.; Banerjee, J. Dynamic stiffness method for exact longitudinal free vibration of rods and trusses using simple and advanced theories. Appl. Math. Model. 2022, 104, 401–420. [Google Scholar] [CrossRef]
- Capron, M.; Williams, F. Exact dynamic stiffness for an axially loaded uniform Timoshenko member embedded in an elastic medium. J. Sound Vib. 1988, 124, 453–466. [Google Scholar] [CrossRef]
- Banerjee, J.; Papkov, S.; Liu, X.; Kennedy, D. Dynamic stiffness matrix of a rectangular plate for the general case. J. Sound Vib. 2015, 342, 177–199. [Google Scholar] [CrossRef]
- Papkov, S.; Banerjee, J. Dynamic stiffness formulation and free vibration analysis of specially orthotropic Mindlin plates with arbitrary boundary conditions. J. Sound Vib. 2019, 458, 522–543. [Google Scholar] [CrossRef]
- Nihal, E.; David, K. Calculation of natural frequencies and vibration modes of variable thickness cylindrical shells using the Wittrick-Williams algorithm. Comput. Struct. 2012, 104–105, 4–12. [Google Scholar]
- Shams, S.; Torabi, A.; Narab, M.; Atashgah, M. Free vibration analysis of a laminated beam using dynamic stiffness matrix method considering delamination. Compos. Struct. 2021, 166, 107952. [Google Scholar] [CrossRef]
- Liu, X.; Pagani, A.; Carrera, E.; Liu, X. Dynamic stiffness method and CUF-based component-wise theories applied to free vibration analysis of solid beams, thin-walled structures and reinforced panels. Thin-Walled Struct. 2024, 198, 111707. [Google Scholar] [CrossRef]
- Liu, X.; Tao, S.; Zhao, X.; Liu, X.; Lu, Z.; Liu, F. Dynamic response analysis for bridges subjected to moving vehicle loads by using the analytical dynamic stiffness method. Comput. Struct. 2024, 292, 107240. [Google Scholar] [CrossRef]
- Yuan, S.; Ye, K.; Xiao, C.; Williams, F.W.; Kennedy, D. Exact dynamic stiffness method for non-uniform Timoshenko beam vibrations and Bernoulli–Euler column buckling. J. Sound Vib. 2007, 303, 526–537. [Google Scholar] [CrossRef]
- Eisenberger, M. An exact high order beam element. Compos. Struct. 2003, 81, 147–152. [Google Scholar] [CrossRef]
- Karttunen, A.; Hertzen, R. Variational formulation of the static Levinson beam theory. Mech. Res. Commun. 2015, 66, 15–19. [Google Scholar] [CrossRef][Green Version]
- Li, S.; Wang, X.; Wan, Z. Classical and homogenized expressions for buckling solutions of functionally graded material levinson bemas. Acta Mech. Solida Sin. 2015, 28, 592–604. [Google Scholar] [CrossRef]
- Stojanović, V.; Petković, M. Nonlinear dynamic analysis of damaged Reddy–Bickford beams supported on an elastic Pasternak foundation. J. Sound Vib. 2016, 385, 239–266. [Google Scholar] [CrossRef]
- Banerjee, J.; Ananthapuvirajah, A. An exact dynamic stiffness matrix for a beam incorporating Rayleigh-Love and Timoshenko theories. Int. J. Mech. Sci. 2019, 150, 337–347. [Google Scholar] [CrossRef]
- Su, H.; Banerjee, J.; Cheung, C. Dynamic stiffness formulation and free vibration analysis of functionally graded beams. Compos. Struct. 2013, 106, 854–862. [Google Scholar] [CrossRef]
- Magrab, E. Vibrations of Elastic Systems With Multiphysics Applications; Springer Nature AG: Cham, Switzerland, 2012. [Google Scholar]





| B.C | Levinson Dynamic Stiffness | Timoshenko Analytical [15] | ||||||||
|---|---|---|---|---|---|---|---|---|---|---|
| CF | 0 | 0 | 3.3869 | 18.0490 | 42.9128 | 71.5119 | 3.41 | 18.36 | 43.71 | 72.56 |
| 0 | 4.6188 | 18.3049 | 43.0171 | 71.5726 | 4.64 | 18.61 | 43.81 | 72.62 | ||
| 7.0388 | 23.2749 | 48.0713 | 77.3410 | 7.56 | 24.58 | 50.07 | 79.59 | |||
| SS | 0 | 0 | 9.2640 | 32.1665 | 61.4481 | 93.2494 | 9.27 | 32.17 | 61.45 | 93.24 |
| 0 | 9.7848 | 32.3005 | 61.5225 | 93.2783 | 9.79 | 32.31 | 61.53 | 93.28 | ||
| 13.8040 | 37.2746 | 67.5991 | 100.5361 | 13.8 | 37.52 | 67.72 | 100.6 | |||
| CS | 0 | 0 | 13.2289 | 36.1949 | 64.1673 | 94.7052 | 13.44 | 36.88 | 65.19 | 95.75 |
| 0 | 13.5928 | 36.3253 | 64.2394 | 94.7536 | 13.79 | 37.01 | 65.26 | 95.79 | ||
| 16.3187 | 40.8434 | 70.0885 | 101.8871 | 17.14 | 41.74 | 71.18 | 102.9 | |||
| CC | 0 | 0 | 17.4331 | 39.7748 | 66.6464 | 96.0481 | 17.99 | 41.19 | 68.64 | 98.06 |
| 0 | 17.7129 | 39.8945 | 66.7164 | 96.0960 | 18.27 | 41.31 | 68.71 | 98.11 | ||
| 19.8672 | 44.1161 | 72.3969 | 103.1496 | 20.95 | 45.71 | 74.4 | 105.1 | |||
| L/h | 1st Natural Frequency | Relative Buckling Load | ||||||
|---|---|---|---|---|---|---|---|---|
| LBT | EBT [22] | TBT [22] | LBT | EBT [22] | TBT [22] | |||
| 5 | 0 | 0 | 9.2739 | 9.8696 | 9.274 | 0.9069 | 1.0000 | 0.8830 |
| 10 | 9.7847 | 10.3638 | 9.7848 | 1.0096 | 1.1027 | 0.9829 | ||
| 100 | 13.5407 | 14.0502 | 13.5408 | 1.9335 | 2.0266 | 1.8823 | ||
| 0 | 1 | 13.4473 | 13.9577 | 13.4473 | 1.9069 | 2.0000 | 1.8564 | |
| 10 | 13.8044 | 14.3115 | 13.8045 | 2.0096 | 2.1027 | 1.9563 | ||
| 100 | 16.6781 | 17.1703 | 16.6781 | 2.9335 | 3.0266 | 2.8556 | ||
| 10 | 0 | 0 | 9.7071 | 9.8696 | 9.7071 | 0.9749 | 1.0000 | 0.9675 |
| 10 | 10.2057 | 10.3638 | 10.2057 | 1.0776 | 1.1027 | 1.0693 | ||
| 100 | 13.9085 | 14.0502 | 13.9086 | 1.9999 | 2.0266 | 1.9859 | ||
| 0 | 1 | 13.8161 | 13.9577 | 13.8162 | 1.9749 | 2.0000 | 1.9597 | |
| 10 | 14.1708 | 14.3115 | 14.1709 | 2.0776 | 2.1027 | 2.0616 | ||
| 100 | 17.0326 | 17.1703 | 17.0326 | 3.0015 | 3.0266 | 2.9784 | ||
Disclaimer/Publisher’s Note: The statements, opinions and data contained in all publications are solely those of the individual author(s) and contributor(s) and not of MDPI and/or the editor(s). MDPI and/or the editor(s) disclaim responsibility for any injury to people or property resulting from any ideas, methods, instructions or products referred to in the content. |
© 2024 by the authors. Licensee MDPI, Basel, Switzerland. This article is an open access article distributed under the terms and conditions of the Creative Commons Attribution (CC BY) license (https://creativecommons.org/licenses/by/4.0/).
Share and Cite
Chen, Z.; Cheng, Q.; Jin, X.; Borodich, F.M. Dynamic Stiffness for a Levinson Beam Embedded Within a Pasternak Medium Subjected to Axial Load at Both Ends. Buildings 2024, 14, 4008. https://doi.org/10.3390/buildings14124008
Chen Z, Cheng Q, Jin X, Borodich FM. Dynamic Stiffness for a Levinson Beam Embedded Within a Pasternak Medium Subjected to Axial Load at Both Ends. Buildings. 2024; 14(12):4008. https://doi.org/10.3390/buildings14124008
Chicago/Turabian StyleChen, Zhijiang, Qian Cheng, Xiaoqing Jin, and Feodor M. Borodich. 2024. "Dynamic Stiffness for a Levinson Beam Embedded Within a Pasternak Medium Subjected to Axial Load at Both Ends" Buildings 14, no. 12: 4008. https://doi.org/10.3390/buildings14124008
APA StyleChen, Z., Cheng, Q., Jin, X., & Borodich, F. M. (2024). Dynamic Stiffness for a Levinson Beam Embedded Within a Pasternak Medium Subjected to Axial Load at Both Ends. Buildings, 14(12), 4008. https://doi.org/10.3390/buildings14124008

