Next Article in Journal
The Artificial Tree: Integrating Microalgae into Sustainable Architecture for CO2 Capture and Urban Efficiency—A Comprehensive Analysis
Previous Article in Journal
Embedment Performance of Glued Laminated Bamboo and Timber Composite Joints
 
 
Font Type:
Arial Georgia Verdana
Font Size:
Aa Aa Aa
Line Spacing:
Column Width:
Background:
Article

Effect of Stress Relaxation and Annealing Treatment on the Microstructure and Mechanical Properties of Steel Wire

1
Jiangsu Huatong Engineering Technology Co., Ltd., No. 9, Ziyun Avenue, Qinhuai District, Nanjing 210014, China
2
School of Low-Carbon Energy and Power Engineering, China University of Mining and Technology, Xuzhou 221116, China
3
Jiangsu Dazheng Zhian Technology Co., Ltd., Nanjing 210036, China
4
School of Materials Science and Physics, China University of Mining and Technology, Xuzhou 221116, China
*
Authors to whom correspondence should be addressed.
Buildings 2024, 14(12), 4044; https://doi.org/10.3390/buildings14124044
Submission received: 12 November 2024 / Revised: 10 December 2024 / Accepted: 11 December 2024 / Published: 20 December 2024
(This article belongs to the Section Building Materials, and Repair & Renovation)

Abstract

Bridge cables composed of 1960 MPa steel wires can be damaged during vehicle fires. Therefore, it is necessary to study the high-temperature mechanical properties of steel wires under load-bearing conditions. In this paper, the mechanical properties and microstructure of 1960 MPa steel wire after stress relaxation and high-temperature annealing treatment at different temperatures are investigated. The results show that the stress relaxation limit is 422 MPa at 325 °C. The tensile strength of the steel wire after stress relaxation is 1975 MPa, which decreases by 5.73% compared with the initial state. When the annealing temperature is 300 °C, the tensile strength of the steel wire is 2044 MPa, accounting for 98.7% of the strength of the steel wire at room temperature. The tensile strength decreases by 9% when the annealing temperature is 400 °C, the steel wire strength decreases at a significantly higher rate. In addition, the spacing of the pearlitic sheet layers increases from 55 nm to 75 nm at the heat treatment temperature of 300 °C~350 °C. A passive fire protection temperature of 275 °C is recommended for cable wires if safer protection standards are considered.

1. Introduction

In recent years, the construction of cable-stayed bridges has developed rapidly. Meanwhile, bridge safety is receiving more attention. Bridge cables are mainly composed of high-strength steel wires, which are the key load-bearing components of suspension bridges [1,2,3]. Modern suspension bridges with high-strength steel wires as cable materials were first developed in Europe and America. In 1883, the first modern suspension bridge was built with main cables made of 1200 MPa steel wires [4]. In the 1980s, the strength of bridge cables had reached 1570 MPa. By the end of the last century, the strength of the main cable was again increased. The strength reached 1670 MPa; meanwhile, the 1770 MPa steel wire also was introduced. In recent years, the strength of the main cable steel wire of newly built suspension bridges in China has reached the level of 1960 MPa. Compared with the steel wire commonly used in prestressed concrete structures, this kind of high-strength steel wire has the advantages of high strength, low relaxation and good corrosion resistance. With the development of the economy, the traffic volume on bridges is increasing, especially the vehicles with inflammable and explosive materials are also increasing rapidly, which leads to more and more vehicle burning and fire incidents [5]. Fire is one of the extreme situations that steel structures and structural members may encounter [6]. The cables subjected to high temperatures can fail in a fire. Therefore, the high-temperature mechanical properties of steel wires are important for safety assessment and passive fire design of cable-stayed bridges.
Previous research on mechanical properties after fire mainly focuses on various structural steels, such as hot-rolled low carbon steel [7,8,9], cold-formed steel [10,11,12], and high-strength structural steel [13,14,15]. In addition, some research focused on steel bars [16] and stainless steel [17,18]. The research on the mechanical properties of steel wire after fire was mostly used in prestressed concrete structures [19,20]. However, the performance changes in high-strength steel wire used for bridge cables under high temperature have been only explored by some researchers. Nguyen et al. [21] investigated the microscopic evolution in the stress–relaxation behavior of high-tensile steel wires. The occurrence of carbide fragmentation increases with stress. The yield strength and tensile strength of the wire degraded with increasing lamella spacing. Zhang et al. [22] investigated the creep and stress–relaxation behavior of different high-strength steel wires. The significant variability in mechanical properties between different steel wires was revealed in a micromechanical perspective. A stress relaxation factor model was provided. Zheng et al. [23] obtained the stress–strain curve of these samples at high temperature through the tensile test of 1770 MPa prestressed steel wire after heat treatment, excluding the influence of loading rate. The degradation trend of mechanical properties of steel wire after heat treatment was also provided. Atienza et al. [24] investigated the stress–relaxation behavior of steel wires with a carbon content of 0.77% between 20 °C and 600 °C. The high-temperature mechanical properties of the steel wire were analyzed with respect to the ultimate tensile strength and yield strength of the steel wire. In addition, the stress–strain curve equation of the steel wire after heat treatment and the stress–strain calculation formula of the prestressed steel wire during heat treatment were established. Liu et al. [25] simulated the creep process of cables by using ABAQUS software. A method for simulating the creep deformation of cables at high temperatures and a prediction method considering temperature and stress were proposed. Huang et al. [26] investigated the temperature-dependent crack initiation energy of SUS321 stainless steel at different temperatures. A design guideline to improve the impact toughness of ductile iron is provided. Zong et al. [27] reported the tensile test of 1860 MPa high-strength steel wire after high temperature treatment. The results show that the mechanical properties decrease with increasing temperature. Jung et al. [28] investigated the effect of lamellar pearlite on the ductility of steel wires in a steel wire annealing study. Liu et al. [29] reported the change in mechanical properties of 1860-grade steel strand subjected to different high temperature treatment and subsequent water cooling, and obtained a stress–strain relationship of a steel strand cooled by water at different temperatures. In addition, this study can provide a basis for the damage assessment of steel strand after fire accidents.
In this study, four sets of stress relaxation tests and ten sets of annealing tests were conducted on 1960 MPa grade main cable steel wires, and the microstructural and mechanical properties after stress relaxation were characterized and analyzed. The high-temperature load limit and the recommended protection temperature of the 1960 MPa steel wire were obtained. The purpose of this study is to provide theoretical suggestions for passive fire protection of cables.

2. Experimental Methods

2.1. Stress Relaxation Test

The 1960 MPa steel wire used in this study was cold drawn from a B87SiQL wire rod to a final diameter of 5 mm (Farsoon Hongsheng Group Co., Ltd., Changsha, China). The chemical composition is shown in Table 1. The factor of safety (FOS) is adopted in the design of suspension bridges. In previous cases, the FOS for cable-stayed bridges was set at 2.3 [30]. Therefore, the stress was set to 852 MPa, which is the maximum load-bearing stress of the cable. The temperature was set as 275 °C, 300 °C, 325 °C, and 350 °C. According to Ge et al.’s study on fireproofing materials for suspension bridges, the vehicle fire duration is 90 min [31]. Therefore, the time of the stress relaxation test was set to 90 min to simulate a real fire scenario. The test procedure was performed according to GB/T 10120-2013 Metal Material-Tensile Stress Relaxation Test Method [32]. The total strain was kept constant throughout the experiment. The specimens were heated to the specified temperature to reach thermal equilibrium just before loading. The sample was cooled to room temperature in the air, and then subjected to the tensile test at room temperature at a strain of 1 × 10−3 s−1 after the stress relaxation test. The influence of the high-temperature holding process on the material mechanics and the damage temperature of the steel wire were determined from the stress–strain curves.

2.2. Steel Wire Annealing Test

The annealing temperatures ranged from 100 to 900 °C. The sample was placed in the oven and held for 90 min after the oven temperature reached the set temperature, at the end of which the wire was removed and cooled in air. The cooled sample was subjected to room temperature tensile test at a tensile rate of 1 × 10−3 s−1. The test was performed according to GB/T 228.1-2021 Tensile Test of Metallic Materials Part 1: method of test at room temperature [33]. The tensile test was repeated 3 times and then the average value was taken.

2.3. Characterization

The phase constitutions of 1960 MPa steel wires after stress relaxation and annealing were characterized by Bruker D8 X-ray diffractometer (XRD) with Cu Kα radiation, and the microstructures were characterized by SU8010 field emission scanning electron microscopy (SEM) and TecnaiF20 transmission electron microscopy (TEM).

3. Results and Discussion

3.1. The Effect of Stress Relaxation on Microstructure and Mechanical Properties of Steel Wire

Figure 1 shows the SEM images of the 1960 MPa steel wire after the stress relaxation test. The high-strength steel wire has a typical lamellar pearlite structure and the lamellar spacing is very small, which can be attributed to the normalizing treatment of steel wire before cold drawing. The pearlite lamella exhibits a certain degree of twist, suggesting that the cold-deformed microstructure does not undergo significant recovery or recrystallization during the high-temperature hold process. There is no obvious change in the microstructure with increasing stress relaxation temperature. The pearlite lamellar spacing is very small, about tens to hundreds of nanometers. It is difficult for conventional SEM to analyze subtle morphological changes. Consequently, TEM is used for higher-resolution observation.
The microstructures of the initial and stress-relaxed samples were analyzed by TEM in order to further investigate the microstructures of the 1960 MPa steel wires in the loaded state at high temperatures. Figure 2 shows the initial TEM image of the 1960 MPa steel wire, where the microstructure of the initial steel wire has a two-phase layered pearlite structure composed of bright ferrite phase and dark cementite phase. The layer spacing is about 50 nm. The dotted structure in the dark field image is broken cementite. This is because some cementite sheets were broken during cold drawing deformation, and spheroidization occurred under the drive of surface energy.
Figure 3a–c shows the TEM image of the high-strength steel wire after holding load for 90 min at 275 °C. There is no obvious change in the microstructure, and the width of the pearlite interlayers and cementite remains basically unchanged after the stress relaxation test at 275 °C. In addition, the cementite size after spheroidizing remains stable. This indicates that no significant changes in the microstructure of the material under stress relaxation occurred at 275 °C for 90 min, which is consistent with the mechanical property data. Figure 3d–f shows the TEM image of the high-strength steel wire after holding at 300 °C for 90 min. The pearlite lamellar spacing increases slightly to about 55 nm, and the cementite width remains basically unchanged. It is worth noting that the size of a small amount of cementite fragments has increased to a certain extent. From the perspective of mechanical properties, the mechanical performance has not decreased significantly after the 300 °C load-holding test, which means that the number of spherical cementite growing up from the side reaction is relatively small. Figure 3g–i shows the TEM image of the high-strength steel wire after holding at 325 °C for 90 min. The pearlite lamellar spacing increased to a certain extent, with lamellar spacing of about 62 nm. The increasing pearlite lamellar spacing will have a significant adverse effect on the strength and plasticity. Figure 3j–l shows the TEM image of the high-strength steel wire after holding at 350 °C for 90 min. It can be clearly seen that the pearlite lamellar spacing increases significantly, reaching about 75 nm. The atomic diffusion ability is enhanced, leading to Oswald ripening of the pearlite structure, with an increase in size under the combined effect of high temperature and stress. It should be noted that the cementite lamella also increases significantly. Previous studies indicate that the mechanical properties of pearlitic high-strength steel are influenced by the lamellar spacing of ferrite and cementite, with both strength and plasticity decreasing as the lamellar spacing increases. In summary, the microstructure of the high-strength steel wire has obvious and irreversible structural change, and the properties of the steel wire have been damaged after the stress relaxation test at 350 °C.
Figure 4a shows the stress relaxation curves of the 1960 MPa steel wire at different temperatures. The loading force used in the relaxation test is 852 MPa. It can be seen that the stress–relaxation behavior of all these temperatures has the same characteristics: the whole stress–relaxation process can be divided into two stages. In stage I, the residual stress decreases rapidly, but the relaxation speed gradually slows down as time increases. In stage II, the residual stress decreases very gradually, reaching a lower limit. However, the limit value of residual stress of the steel wire is negatively correlated with the temperature. At 375 °C, the decrease in residual stress of the steel wire is the most significant, indicating that the mechanical properties of the steel wire are heavily influenced by high temperature. In other words, the residual stress infinitely approaches a certain value as the increase in the relaxation time, which is defined as the stress relaxation limit. The above characteristics are consistent with the typical behavior of stress relaxation, and the stress relaxation limit decreases as the temperature increases, as shown in Figure 4b.
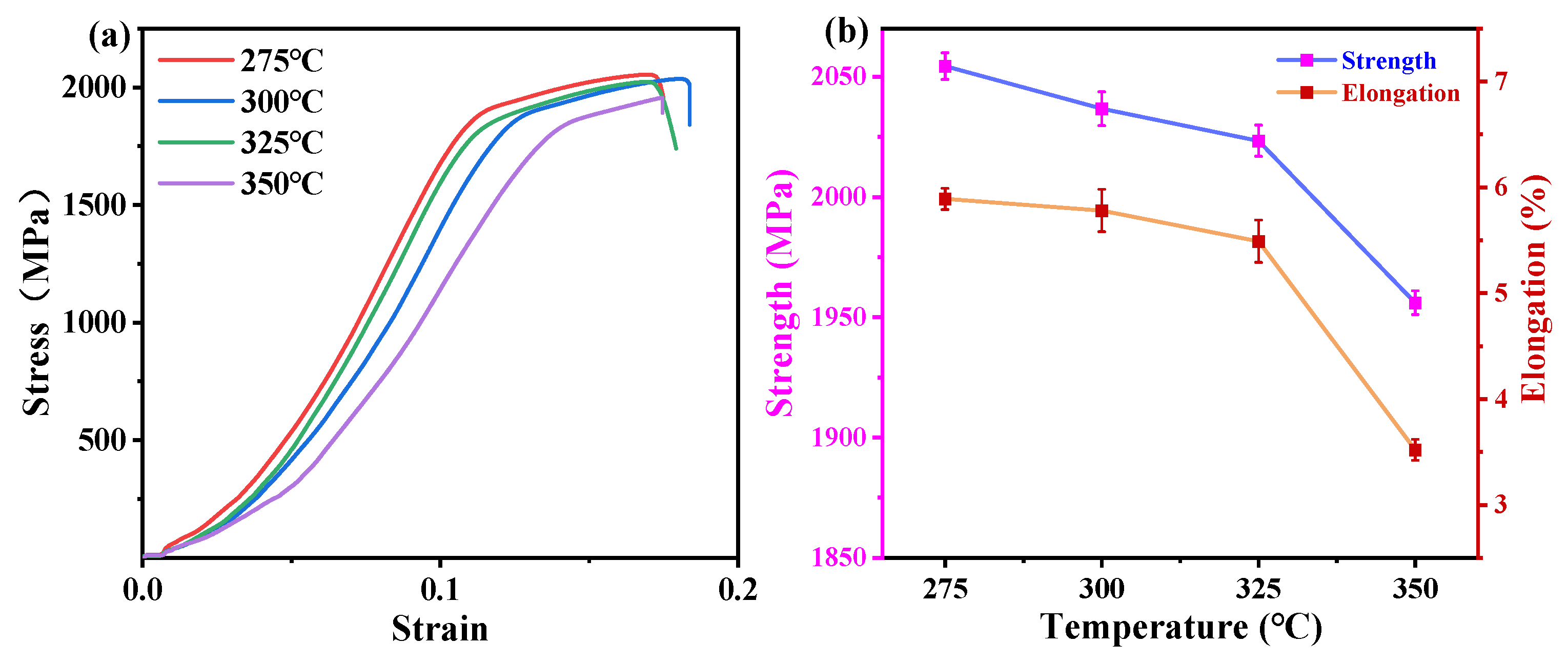
Figure 5 shows the stress–strain curves at room temperature, and tensile strength and elongation changes in the 1960 MPa steel wire after the stress relaxation test. It can be seen that the tensile strength of the initial 1960 MPa steel wire without the stress relaxation test is the highest. The tensile strength of the 1960 MPa steel wire after 350 °C relaxation test is the lowest, but the tensile strength still reaches 1957 MPa, a decrease of 5.73% compared with the initial sample. The tensile strength and elongation of the steel wire decreased gradually with increasing temperature. Additionally, the plasticity of the steel wires gradually decreases as the temperature increases. At 275 °C, the steel wire shows high strength due to the partial release of internal stresses, but its plasticity remains low. The formation of new grains significantly enhances plasticity, but reduces strength at 350 °C. Therefore, the safe working temperature of the wire shall be set at a temperature not exceeding 325 °C according to the stress relaxation test.

3.2. The Effect of Annealing Temperature on Microstructure and Mechanical Properties of Steel Wire

Figure 6 shows the XRD characterization of the 1960 MPa steel wire before and after annealing. The initial state is a typical body-centered cubic structure, which corresponds to the ferrite in the pearlite structure. The XRD diffraction peak is not obvious due to the relatively small content and small size of the cementite. The phase structure is basically unchanged after annealing between 100 and 700 °C. There is no significant phase transformation that occurs because the heating temperature is lower than the austenitization temperature. At 800 °C, incomplete austenite transformation occurred and pearlite re-formed during cooling. It is worth noting that after annealing at 900 °C, there is an obvious secondary cementite diffraction peak. This is because the alloy is completely austenitized at this time, and the secondary cementite is precipitated in the high-carbon steel during the subsequent cooling process. The number and size of cementite have been significantly improved, showing a strong diffraction peak.
Figure 7 shows the SEM characterization of the 1960 MPa steel wire after annealing at 100~500 °C, including the initial state. The 1960 MPa steel wire exhibits bending of the pearlite lamellae under the influence of cold drawing deformation in the initial state. No significant changes were observed in the microstructure of the steel wire at an annealing temperature of 100 °C. The distance between the strip-like structures began to decrease at 200 °C. When the annealing temperature is 300 °C and 400 °C, the recrystallization process is significant. The cementite plates in the steel wire become thinner, microstructure is homogenized, and some residual stresses are eliminated, resulting in an increase in the plasticity of the steel wire at this stage. At 500 °C, granular carbides begin to precipitate, which increases brittleness, and the strength of the steel wire noticeably decreases. This is consistent with the results shown in Figure 10b.
Figure 8 shows the SEM characterization of the 1960 MPa steel wire after annealing at 600 °C and 700 °C. It can be seen that the grains continue to grow and the pearlitic organization becomes rough, leading to a decrease in strength.
Figure 9 presents the SEM characterization of the 1960 MPa steel wire after annealing at 800 °C and 900 °C. The obvious grain boundary can be seen from the SEM image after annealing at 800 °C, which is the result of grain growth after recrystallization, and the grain size changes greatly compared with the initial state. The austenite gradually decomposes into ferrite and lamellar carburite, i.e., pearlite after annealing at 800 °C and slow air-cooling. The lamellae of pearlite become finer and finer spaced, resulting in a further increase in the strength of the steel. The austenitizing process is more complete at 900 °C. The increase in grain size and the formation of network cementite at a longer holding time. The mechanical properties of strength and plasticity decrease more than the initial state with increasing brittleness.
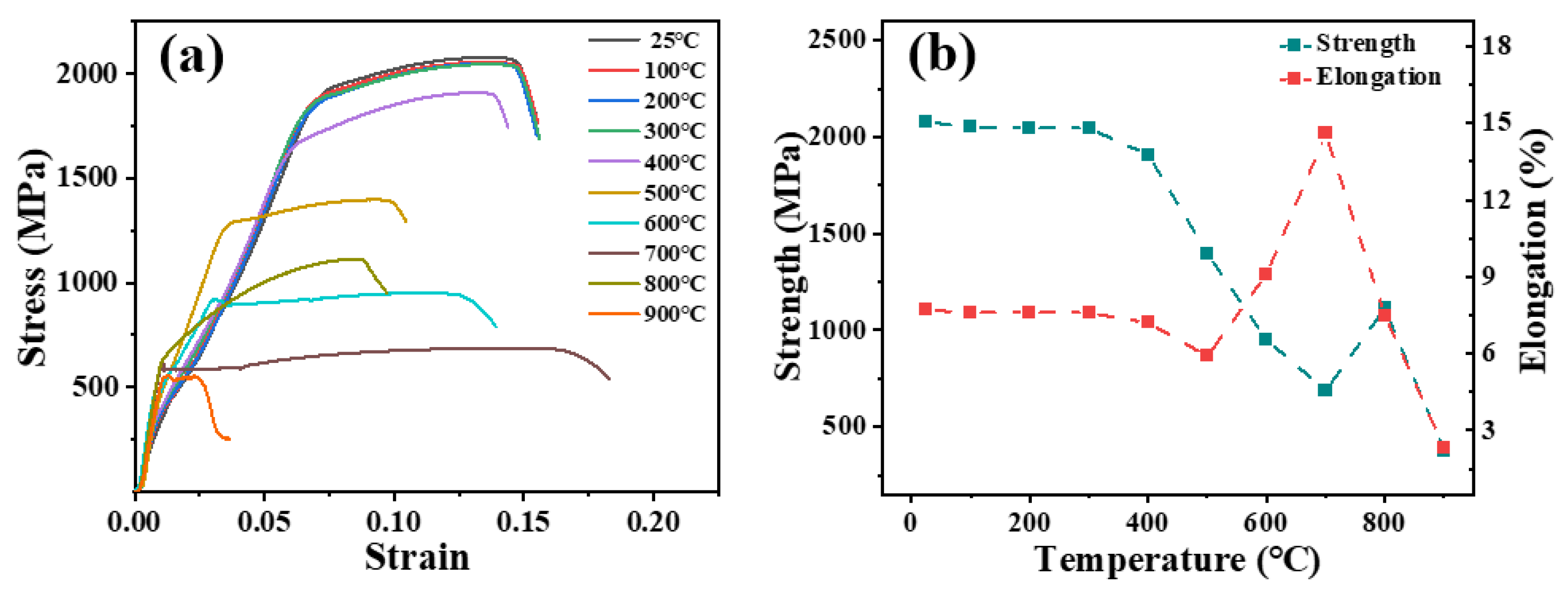
Figure 10a shows the stress–strain curve obtained by the tensile performance test of the 1960 MPa steel wire subjected to annealing treatment. When the annealing temperature is between 100 and 300 °C, the strength and plasticity of the steel wire are basically unchanged. The values of the tensile strength are 2053 MPa, 2046 MPa, and 2044 MPa, respectively, which are not less than 98% of the steel wire at room temperature. The strength and plasticity of the wire began to decline when the annealing temperature of 400 °C. The value of tensile strength is only 91% of the strength of the wire at 25 °C. When the annealing temperature is between 500 and 700 °C, the strength of the steel wire decreases and the plasticity increases with increasing annealing temperature. The tensile strength decreases to 1396 MPa, 950 MPa, and 687 MPa, respectively. The strength of the steel wire increases and the plasticity decreases at 800 °C. However, the strength and plasticity are the lowest compared with other samples at 900 °C. The tensile strength is only 556 MPa, which accounts for 26.7% of the tensile strength of steel wire at 25 °C. As shown in Figure 10b, the elongation of the steel wire after annealing at 100 °C~300 °C does not change compared with the initial state, and the elongation at 400 °C begins to change slightly. In summary, it is recommended that the passive fire protection temperature of the bridge cables be set to 300 °C according to the results of the stress relaxation experiments and high-temperature annealing experiments.

4. Conclusions

In this paper, the stress relaxation and annealing experiments of the 1960 MPa steel wires at different temperature levels were conducted. The mechanical properties and microstructure of the tested wires were investigated. The main conclusions are as follows:
(1)
The spacing of the pearl sheet layers increases as the temperature increases. When the temperature is increased to 300 °C, the spacing of the pearlite lamellae is 55 nm, which is not much change from the initial value of 50 nm. However, the spacing of the pearlite sheet layers is 75 nm when the temperature is 350 °C. In the stress relaxation test, the irreversible damage occurs in the 1960 MPa wires when the temperature exceeds 300 °C.
(2)
The tensile strength and elongation of the steel wire after stress relaxation gradually decreases with increasing temperature. The tensile strength of the steel wire is 1957 MPa when the temperature is 300 °C, which is 5.73% lower than the room temperature.
(3)
The granular carbides appeared inside the wire when the annealing temperature of 500 °C. The granular carbide achieves bigger and bigger temperature increases to 700 °C. When the annealing temperature is 800 and 900 °C, the organization appeared in the network carburite, and the brittleness of the steel wires increases substantially.
(4)
The maximum tensile strength of the steel wire is greater than 98% of the strength of the steel wire at room temperature after annealing at 300 °C. The strength of the 1960 MPa steel wire decreases significantly when the temperature exceeds 300 °C. Tensile strength accounts for 91% of the strength at room temperature at 400 °C. The strength drops sharply when the temperature rises to 500~900 °C. The tensile strength of steel wire is only 26.7% of the strength at room temperature when the temperature is 900 °C. A fire-resistant temperature of 300 °C is recommended for cables. The fire protection temperature can be set at 275 °C if more conservative fire protection measures are considered.

Author Contributions

Data curation, G.D. and F.S.; Methodological analysis, G.D.; writing-original draft, G.D.; Funding acquisition, Y.N.; Investigation, Y.N.; Methodology, Y.N.; Writing—review, Y.N., F.S. and B.X.; Formal analysis, J.Q.; Validation, J.Q. and B.X.; Visualization, B.X. All authors have read and agreed to the published version of the manuscript.

Funding

This work is funded by the National Natural Science Foundation of China (Grant No. 52074277), the Natural Science Foundation of Jiangsu Province (Grant No. BK20211585), and the Study on key techniques of fire control and emergency response in the Lion Ocean Passage (Grant No. H7T220302).

Data Availability Statement

The original contributions presented in this study are included in the article. Further inquiries can be directed to the corresponding authors.

Conflicts of Interest

Author Gaoming Du was employed by the company Jiangsu Huatong Engineering Technology Co., Ltd. Author Fangchang Shi was employed by the company Jiangsu Dazheng Zhian Technology Co., Ltd. The remaining authors declare that the research was conducted in the absence of any commercial or financial relationships that could be construed as a potential conflict of interest.

References

  1. Wang, D.G.; Wang, B.; Xie, G.Z.; Li, C.C.; Zhang, D.K.; Ge, S.R. Effect of temperature on tribo-corrosion behaviors of parallel steel wires of main cable in the suspension bridge. Wear 2023, 512, 204522. [Google Scholar] [CrossRef]
  2. Juozapaitis, A.; Kliukas, R.; Sandovic, G.; Lukoseviciene, O.; Merkevicius, T. Analysis of modern three-span suspension bridges with stiff in bending cables. Balt. J. Road Bridge Eng. 2013, 8, 205–211. [Google Scholar] [CrossRef]
  3. Son, Y.; Lee, C.; Yoo, D.; Kim, J.; Choi, J. Cheon-Sa Bridge-The First Sea Crossing Multi-Span Suspension Bridge. Struct. Eng. Int. 2021, 31, 431–434. [Google Scholar] [CrossRef]
  4. Yegian, M.K.; Arzoumanidis, S.; Strohman, B.P.; Kishore, K.; Patel, J. Appraising the Brooklyn Bridge. Civ. Eng. 2009, 79, 38–49. [Google Scholar] [CrossRef][Green Version]
  5. Peris-Sayol, G.; Paya-Zaforteza, I.; Balasch-Parisi, S.; Alós-Moya, J. Detailed Analysis of the Causes of Bridge Fires and Their Associated Damage Levels. J. Perform. Constr. Facil. 2017, 31, 04016108. [Google Scholar] [CrossRef]
  6. Kodur, V.K.R.; Naser, M.Z. Importance factor for design of bridges against fire hazard. Eng. Struct. 2013, 54, 207–220. [Google Scholar] [CrossRef]
  7. Lu, J.; Liu, H.; Chen, Z.; Liao, X. Experimental investigation into the post-fire mechanical properties of hot-rolled and cold-formed steels. J. Constr. Steel Res. 2016, 121, 291–310. [Google Scholar] [CrossRef]
  8. Wang, H.; Nie, S.; Li, J. Reduction model of hot- and cold-rolled high-strength steels during and after fire. Fire Saf. J. 2022, 129, 103563. [Google Scholar] [CrossRef]
  9. Yu, Y.J.; Lan, L.F.; Ding, F.X.; Wang, L.P. Mechanical properties of hot-rolled and cold-formed steels after exposure to elevated temperature: A review. Constr. Build. Mater. 2019, 213, 360–376. [Google Scholar] [CrossRef]
  10. Ren, C.; Zhang, P.; Yan, S.; Dai, L. Analysis and design of cold-formed steel storage rack uprights under localised fires. Structures 2020, 27, 2082–2095. [Google Scholar] [CrossRef]
  11. Laím, L.; Rodrigues, J.P.C. Numerical analysis on axially-and-rotationally restrained cold-formed steel beams subjected to fire. Thin-Walled Struct. 2016, 104, 1–16. [Google Scholar] [CrossRef]
  12. Ye, K.; Ozaki, F.; Knobloch, M. Impact fracture energies of cold-formed steel square hollow section in and after fire. J. Constr. Steel Res. 2021, 183, 106740. [Google Scholar] [CrossRef]
  13. Zeng, X.; Wu, W.B.; Huo, J.S.; Elchalakani, M. Residual mechanical properties of Q890 high-strength structural steel after exposure to fire. Constr. Build. Mater. 2021, 304, 124661. [Google Scholar] [CrossRef]
  14. Li, G.-Q.; Wang, X.-X.; Zhang, C.; Cai, W.-Y. Creep behavior and model of high-strength steels over 500 MPa at elevated temperatures. J. Constr. Steel Res. 2020, 168, 105989. [Google Scholar] [CrossRef]
  15. Qiang, X.; Bijlaard, F.S.K.; Kolstein, H. Deterioration of mechanical properties of high strength structural steel S460N under transient state fire condition. Mater. Des. 2012, 40, 521–527. [Google Scholar] [CrossRef]
  16. Muciaccia, G. Anchorage and detailing of reinforcement under fire action. Struct. Concr. 2023, 24, 3264–3280. [Google Scholar] [CrossRef]
  17. Molkens, T.; Cashell, K.A.; Malaska, M.; Alanen, M.; Rossi, B. Performance of structural stainless steel following a fire. Eng. Struct. 2021, 235, 112001. [Google Scholar] [CrossRef]
  18. Ban, H.; Bai, R.; Chung, K.-F.; Bai, Y. Post-fire material properties of stainless-clad bimetallic steel. Fire Saf. J. 2020, 112, 102964. [Google Scholar] [CrossRef]
  19. Sun, R.; Xie, B.; Perera, R.; Pan, Y. Modeling of Reinforced Concrete Beams Exposed to Fire by Using a Spectral Approach. Adv. Mater. Sci. Eng. 2018, 2018, 6936371. [Google Scholar] [CrossRef]
  20. Wang, Y.; Jiang, Y.; Huang, Z.; Li, L.; Huang, Y.; Zhang, Y.; Zhang, G.; Zhang, X.; Duan, Y. Post-fire behaviour of continuous reinforced concrete slabs under different fire conditions. Eng. Struct. 2021, 226, 111342. [Google Scholar] [CrossRef]
  21. Nguyen, N.V.; Vu, Q.A.; Kim, S.E. An experimental study on stress relaxation behaviour of high strength steel wire: Microstructural evolution and degradation of mechanical properties. Constr. Build. Mater. 2020, 261, 119926. [Google Scholar] [CrossRef]
  22. Zhang, S.; Chen, W.; Ma, K.C.; Jiang, L.S.; Ye, J.H.; Xu, L.L. Creep and stress relaxation experiments of 1960-grade high-strength steel wire at elevated temperatures. Structures 2024, 59, 105682. [Google Scholar] [CrossRef]
  23. Zheng, W.Z.; Hu, Q.; Haoyu, Y. Experimental research on the mechanical property of prestressing steel wire during and after heating. Front. Struct. Civ. Eng. 2007, 1, 247–254. [Google Scholar] [CrossRef]
  24. Atienza, J.M.; Elices, M. Behavior of prestressing steels after a simulated fire: Fire-induced damages. Constr. Build. Mater. 2009, 23, 2932–2940. [Google Scholar] [CrossRef]
  25. Liu, H.; Guo, L.; Chen, Z.; Fan, Z. Study on temperature dependency of spiral strand properties. Int. J. Mech. Sci. 2019, 161, 105013. [Google Scholar] [CrossRef]
  26. Huang, M.; Wang, L.; Wang, C.; Li, Y.; Wang, J.; Yuan, J.; Hu, J.; Huang, M.; Xu, W. Optimizing crack initiation energy in austenitic steel via controlled martensitic transformation. J. Mater. Sci. Technol. 2024, 198, 231–242. [Google Scholar] [CrossRef]
  27. Zong, Z.; Jiang, D.; Zhang, J. Study of the mechanical performance of Grade 1860 steel wires at elevated temperatures. Mater. Res. Innov. 2015, 19, 1175–1181. [Google Scholar] [CrossRef]
  28. Jung, J.Y.; An, K.S.; Park, P.Y.; Nam, W.J. Correlation between Microstructures and Ductility Parameters of Cold Drawn Hyper-Eutectoid Steel Wires with Different Drawing Strains and Post-Deformation Annealing Conditions. Metals 2021, 11, 178. [Google Scholar] [CrossRef]
  29. Liu, L.; Wang, L.; Yu, S.; Li, M. Mechanical Properties of Steel Strands Cooled by Different Methods After High-Temperature Treatment. Int. J. Steel Struct. 2022, 22, 333–342. [Google Scholar] [CrossRef]
  30. Xiao, R.; Song, C.; Sun, B.; Dai, W.; Liu, J. Reliability-assisted determination of partial factors for the design of main cables considering secondary stress effect. Structures 2023, 48, 1479–1490. [Google Scholar] [CrossRef]
  31. Ge, S.; Ni, Y.; Zhou, F.; Yang, C.; Guo, F.; Li, J.; Shi, B. A passive fire protection method for main cables and slings of suspension bridges utilizing fiber felt/aerogel composites. Constr. Build. Mater. 2023, 408, 133822. [Google Scholar] [CrossRef]
  32. GB/T 10120-2013; Metallic Materials—Tensile Stress Relaxation—Method of Test. Standards Press of China: Beijing, China, 2013.
  33. GB/T 228.1-2021; Metallic Materials—Tensile Testing—Part 1: Method of Test at Room Temperature. Standards Press of China: Beijing, China, 2021.
Figure 1. SEM characterization of the 1960 MPa steel wire after stress relaxation.
Figure 1. SEM characterization of the 1960 MPa steel wire after stress relaxation.
Buildings 14 04044 g001
Figure 2. TEM image of the high-strength steel wire in initial state: (a) Bright field image. (b) Dark field image. (c) Corresponding bright field image.
Figure 2. TEM image of the high-strength steel wire in initial state: (a) Bright field image. (b) Dark field image. (c) Corresponding bright field image.
Buildings 14 04044 g002
Figure 3. TEM image of the high-strength steel wire: (a) bright field image, (b) dark field image, and (c) corresponding bright field image after holding at 275 °C for 90 min; (d) bright field image, (e) dark field image, and (f) corresponding bright field image after holding at 300 °C for 90 min; (g) bright field image, (h) dark field image, and (i) corresponding bright field image after holding at 325 °C for 90 min; (j) bright field image, (k) dark field image, and (l) corresponding bright field image after holding at 350 °C for 90 min.
Figure 3. TEM image of the high-strength steel wire: (a) bright field image, (b) dark field image, and (c) corresponding bright field image after holding at 275 °C for 90 min; (d) bright field image, (e) dark field image, and (f) corresponding bright field image after holding at 300 °C for 90 min; (g) bright field image, (h) dark field image, and (i) corresponding bright field image after holding at 325 °C for 90 min; (j) bright field image, (k) dark field image, and (l) corresponding bright field image after holding at 350 °C for 90 min.
Buildings 14 04044 g003
Figure 4. Relaxation curves (a) and stress relaxation limit (b) of the 1960 MPa steel wire at different temperatures.
Figure 4. Relaxation curves (a) and stress relaxation limit (b) of the 1960 MPa steel wire at different temperatures.
Buildings 14 04044 g004
Figure 5. Room temperature tensile curves (a), and strength and elongation change diagram (b) of the 1960 MPa steel wire after relaxation at different temperatures.
Figure 5. Room temperature tensile curves (a), and strength and elongation change diagram (b) of the 1960 MPa steel wire after relaxation at different temperatures.
Buildings 14 04044 g005
Figure 6. XRD patterns of the 1960 MPa steel wire before and after annealing.
Figure 6. XRD patterns of the 1960 MPa steel wire before and after annealing.
Buildings 14 04044 g006
Figure 7. SEM characterization of the 1960 MPa steel wire before and after annealing. (Initial, 100 °C, 200 °C, 300 °C, 400 °C, and 500 °C).
Figure 7. SEM characterization of the 1960 MPa steel wire before and after annealing. (Initial, 100 °C, 200 °C, 300 °C, 400 °C, and 500 °C).
Buildings 14 04044 g007
Figure 8. SEM image of the 1960 MPa steel wire after annealing (600 °C and 700 °C).
Figure 8. SEM image of the 1960 MPa steel wire after annealing (600 °C and 700 °C).
Buildings 14 04044 g008
Figure 9. SEM image of the 1960 MPa steel wire after annealing (800 °C and 900 °C).
Figure 9. SEM image of the 1960 MPa steel wire after annealing (800 °C and 900 °C).
Buildings 14 04044 g009
Figure 10. Tensile curve (a) and strength and elongation diagram (b) of the 1960 MPa steel wire after annealing at different temperatures.
Figure 10. Tensile curve (a) and strength and elongation diagram (b) of the 1960 MPa steel wire after annealing at different temperatures.
Buildings 14 04044 g010
Table 1. Chemical compositions of steel wire.
Table 1. Chemical compositions of steel wire.
ElementalCSiMnPSCrCuV
%0.91.10.90.020.0150.350.050.02
Range0.84~0.90.7~1.10.6~0.9~0.02~0.0150.05~0.35~0.05~0.02
Disclaimer/Publisher’s Note: The statements, opinions and data contained in all publications are solely those of the individual author(s) and contributor(s) and not of MDPI and/or the editor(s). MDPI and/or the editor(s) disclaim responsibility for any injury to people or property resulting from any ideas, methods, instructions or products referred to in the content.

Share and Cite

MDPI and ACS Style

Du, G.; Ni, Y.; Shi, F.; Qi, J.; Xu, B. Effect of Stress Relaxation and Annealing Treatment on the Microstructure and Mechanical Properties of Steel Wire. Buildings 2024, 14, 4044. https://doi.org/10.3390/buildings14124044

AMA Style

Du G, Ni Y, Shi F, Qi J, Xu B. Effect of Stress Relaxation and Annealing Treatment on the Microstructure and Mechanical Properties of Steel Wire. Buildings. 2024; 14(12):4044. https://doi.org/10.3390/buildings14124044

Chicago/Turabian Style

Du, Gaoming, Ya Ni, Fangchang Shi, Jiqiu Qi, and Bolong Xu. 2024. "Effect of Stress Relaxation and Annealing Treatment on the Microstructure and Mechanical Properties of Steel Wire" Buildings 14, no. 12: 4044. https://doi.org/10.3390/buildings14124044

APA Style

Du, G., Ni, Y., Shi, F., Qi, J., & Xu, B. (2024). Effect of Stress Relaxation and Annealing Treatment on the Microstructure and Mechanical Properties of Steel Wire. Buildings, 14(12), 4044. https://doi.org/10.3390/buildings14124044

Note that from the first issue of 2016, this journal uses article numbers instead of page numbers. See further details here.

Article Metrics

Back to TopTop