Integrated Interactive Control of Distribution Systems with Multi-Building Microgrids Based on Game Theory
Abstract
1. Introduction
- (1)
- Building upon P2P transactions, this paper introduces a master–slave game model tailored for 24 h distribution networks and MBMG systems. This innovative model not only prioritizes the maximization of the DNO interests as the leader but also incorporates the price elasticity behaviors of individual BMG users;
- (2)
- Addressing nonlinear models, this study employs linearization techniques and second-order cone relaxation methods to transform the initial model into a mixed integer second-order cone programming model to ensure both solution accuracy and optimality;
- (3)
- The price mechanism of supply and demand ratio (SDR) has been improved, and the two-way trading between power grids and multi-building microgrid systems has been considered. These enhancements effectively encourage the active engagement of building microgrid users in energy regulation and the localized utilization of distributed energy resources.
2. MFDS Interactive Framework
2.1. Physical and Market Structure
2.2. Market Game Framework
3. Comprehensive Decision-Making Model of Multi-Building Microgrid Distribution System Based on Game Theory
3.1. Upper DNO Model for Safe and Economic Decision Making
3.1.1. Objective Function
3.1.2. System Operation Constraints
3.1.3. The Security Constraints of DN
3.1.4. The Constraints of SOPs
3.1.5. OLTC Operation Constraints
3.1.6. Energy Transaction Price Constraints
3.2. Lower Level MBMG Model of Economic Decision Making
3.2.1. Objective Function
3.2.2. PV Operation Constraints
3.2.3. ESS Operation Constraints
3.2.4. DR Operation Constraints of Building Microgrids
4. Model Linearization and Cone Relaxation Processing
4.1. Linearization
4.2. Second-Order Cone Transformation of Constraint Conditions
5. Multi-Building Microgrid Electricity Price Trading Mechanism and Solution Process for Game Iterative
5.1. Multi-Building Microgrid Electricity Price Trading Mechanism
5.2. Solution Process for Game Iterative
6. Example Simulation and Analysis
6.1. Test System and Parameter Settings
6.2. Simulation Result
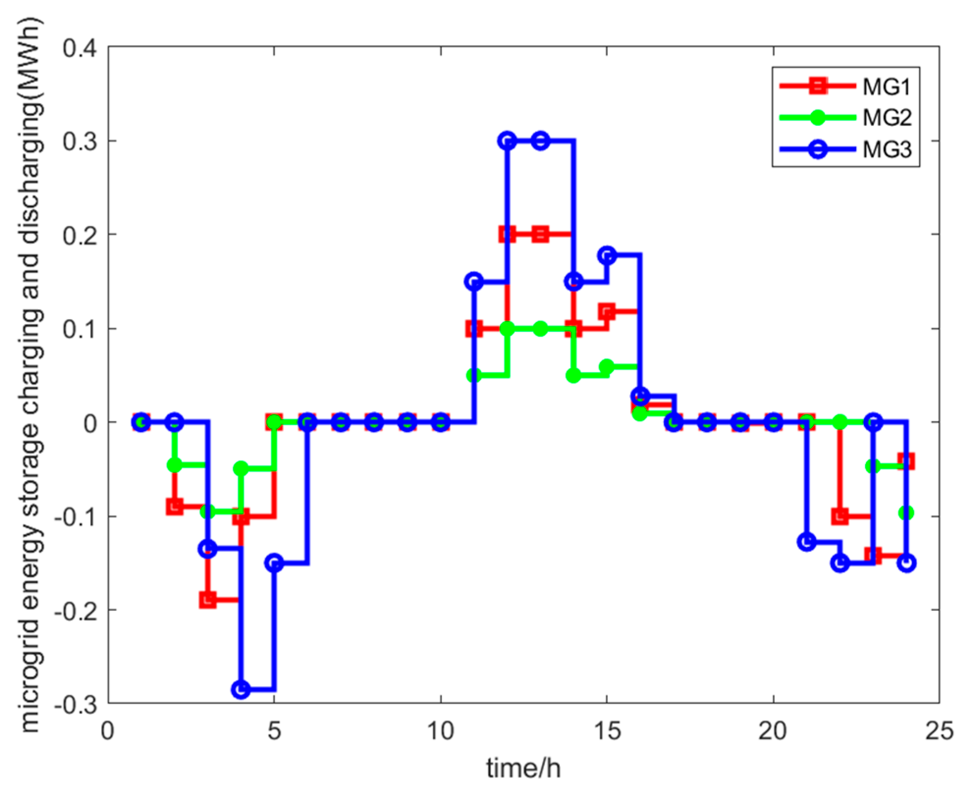
6.2.1. Analysis of Internal Energy Interaction Results of Multi-Building Microgrid
6.2.2. Voltage Stability Analysis
6.2.3. Model Validation Analysis
6.2.4. Model Convergence Analysis
6.3. Comparative Analysis of Cases
7. Conclusions
- (1)
- In contrast to the traditional operational mode of multi-building microgrids (MBMGs), the transaction strategy proposed in this paper, grounded in the principle of master–slave games, takes into account bidirectional trading between the central power grid and the MBMG system. This strategy not only fosters the utilization of locally distributed energy but also optimizes the interests of all stakeholders involved in the game;
- (2)
- Adopting an SDR-based pricing mechanism has spurred the active engagement of building microgrid users in energy regulation. This has accelerated economic benefits for all participants and bodes well for the sustained operation of the MBMG system;
- (3)
- In contrast to approaches solely focused on economic benefits, the integrated interactive control method of multi-agent flexible distribution systems presented in this paper, albeit resulting in a marginal increase in building microgrid operational costs, yields substantial reductions in active power losses and minimizes voltage fluctuations from the perspective of the overall MBMG system; this enables transactions between building microgrid users and the DNO to occur more quickly and securely. Over the long term, this methodology substantially diminishes the overall power grid’s operating expenses, ensuring overall economic viability;
- (4)
- Relative to alternative operational strategies for MBMG systems, this article introduces Soft Open Points (SOPs) between building microgrids, significantly enhancing the flow of active and reactive power. From a physical perspective, although the incorporation of SOPs results in additional power losses and heightened operational costs for the DNO, they significantly bolster the system’s safety performance; this translates to reduced power losses across the system, lower total operating costs for the DNO, and indirect safeguarding of its economic interests. From an economic standpoint, they have notably transformed the trading environment, amplified the internal transaction flexibility within MBMG systems, and trimmed operating costs for all participating stakeholders.
Author Contributions
Funding
Data Availability Statement
Conflicts of Interest
References
- Dong, Y.; Yang, T.; Liu, P.; Xu, Z. Comparing the Standards of Life Cycle Carbon Assessment of Buildings: An Analysis of the Pros and Cons. Buildings 2023, 13, 2417. [Google Scholar] [CrossRef]
- Jia, H.; Yang, Q.; Jiang, Z.; Chen, W.; Zhou, Q. AppSimV: A Cyber–Physical Simulation and Verification Platform for Software Applications of Intelligent Buildings. Buildings 2023, 13, 2404. [Google Scholar] [CrossRef]
- Zhou, B.; Peng, H.; Zang, T. A Point to Point Trading Strategy Based on Stackelberg Game in multi-microgrid systems. J. Electr. Power Syst. Autom. 2023, 35, 103–111. [Google Scholar] [CrossRef]
- Zhou, Q.; Shahidehpour, M.; Alabdulwahab, A.; Abusorrah, A. Flexible division and unification control strategies for resilience enhancement in networked microgrids. IEEE Trans. Power Syst. 2020, 35, 474–486. [Google Scholar] [CrossRef]
- Liu, Z.; Wang, L.; Ma, L. A transactive energy framework for coordinated energy management of networked microgrids with distributionally robust optimization. IEEE Trans. Power Syst. 2020, 35, 395–404. [Google Scholar] [CrossRef]
- Jadhav, A.M.; Patne, N.R.; Guerrero, J.M. A novel approach to neighborhood fair energy trading in a distribution network of multiple microgrid clusters. IEEE Trans. Ind. Electron. 2019, 66, 1520–1531. [Google Scholar] [CrossRef]
- Anoh, K.; Maharjan, S.; Ikpehai, A.; Zhang, Y.; Adebisi, B. Energy peer-to-peer trading in virtual microgrids in smart grids: A game-theoretic approach. IEEE Trans. Smart Grid 2020, 11, 1264–1275. [Google Scholar] [CrossRef]
- Esfahani, M.M.; Hariri, A.; Mohammed, O.A. A multiagent-based game-theoretic and optimization approach for market operation of multi-microgrid systems. IEEE Trans. Ind. Inform. 2019, 15, 280–292. [Google Scholar] [CrossRef]
- Park, S.; Lee, J.; Bae, S.; Hwang, G.; Choi, J.K. Contribution-Based Energy-Trading Mechanism in Microgrids for Future Smart Grid: A Game Theoretic Approach. IEEE Trans. Ind. Electron. 2016, 63, 4255–4265. [Google Scholar] [CrossRef]
- Ji, H.; Wang, C.; Li, P.; Ding, F.; Wu, J. Robust operation of soft open points in active distribution networks with high penetration of photovoltaic integration. IEEE Trans. Sustain. Energy 2019, 10, 280–289. [Google Scholar] [CrossRef]
- Yan, M.; Shahidehpour, M.; Paaso, A.; Zhang, L.; Alabdulwahab, A.; Abusorrah, A. Distribution Network-Constrained Optimization of Peer-to-Peer Transactive Energy Trading Among Multi- microgrids. IEEE Trans. Smart Grid 2021, 12, 1033–1047. [Google Scholar] [CrossRef]
- Wang, Y.; Huang, Z.; Shahidehpour, M.; Lai, L.L.; Wang, Z.; Zhu, Q. Reconfigurable Distribution Network for Managing Transactive Energy in a Multi-Microgrid System. IEEE Trans. Smart Grid 2019, 11, 1286–1295. [Google Scholar] [CrossRef]
- Yang, Z.; Hu, J.; Ai, X.; Wu, J.; Yang, G. Transactive Energy Supported Economic Operation for Multi-Energy Complementary Microgrids. IEEE Trans. Smart Grid 2020, 12, 4–17. [Google Scholar] [CrossRef]
- Song, Y.; Sun, C.; Li, P.; Yuan, K.; Song, G.; Wang, C. SOP based supply restoration method of active distribution networks using soft open point. Proc. CSEE 2018, 38, 4390–4398. (In Chinese) [Google Scholar]
- Yu, Y.; Li, G.; Li, Z. A game theoretical pricing mechanism for multi- microgrid energy trading considering electric vehicles uncertainty. IEEE Access 2020, 8, 156519–156529. [Google Scholar] [CrossRef]
- Paudel, A.; Chaudhari, K.; Long, C.; Gooi, H.B. Peer-to-peer energy trading in a prosumer based community microgrid: A game-theoretic model. IEEE Trans Ind. Electron. 2019, 66, 6087–6097. [Google Scholar] [CrossRef]
- Zhou, Y.; Wu, J.; Long, C.; Ming, W. State-of-the-art analysis and perspectives for peer-to-peer energy trading. Engineering 2020, 6, 739–753. [Google Scholar] [CrossRef]
- Zhang, C.; Wu, J.; Zhou, Y.; Cheng, M.; Long, C. Peer-to-Peer energy trading in a microgrid. Appl. Energy 2018, 220, 15. [Google Scholar] [CrossRef]
- Contreras, J.; Klusch, M.; Krawczyk, J. Numerical solutions to Nash-Cournot equilibria in coupled constraint electricity markets. IEEE Trans Power Syst. 2004, 19, 195–206. [Google Scholar] [CrossRef]
- Lee, W.; Xiang, L.; Schober, R.; Wong, V.W.S. Direct Electricity Trading in Smart Grid: A Coalitional Game Analysis. IEEE J. Sel. Areas Commun. 2014, 32, 1398–1411. [Google Scholar] [CrossRef]
- Chis, A.; Koivunen, V. Coalitional game-based cost optimization of energy portfolio in smart grid communities. IEEE Trans Smart Grid 2019, 10, 1960–1970. [Google Scholar] [CrossRef]
- Xu, Q. Algorithm design of equilibrium bidding strategy in bargaining game. Comput. Eng. Appl. 2020, 56, 170–175. [Google Scholar]
- Li, P.; Ji, H.; Wang, C.; Zhao, J.; Song, G.; Ding, F.; Wu, J. Coordinated Control Method of Voltage and Reactive Power for Active Distribution Networks Based on Soft Open Point. IEEE Trans. Sustain. Energy 2017, 8, 1430–1442. [Google Scholar] [CrossRef]
- Wang, C.; Sun, C.; Li, P.; Wu, J.; Xing, F.; Yu, Y. Optimization and Analysis of Distribution Network Operation Based on SNOP. Power Syst. Autom. 2015, 39, 82–87. [Google Scholar]
- Yang, X.; He, H.; Zhang, Y.; Chen, Y.; Weng, G. Interactive Energy Management for Enhancing Power Balances in Multi-Microgrids. IEEE Trans. Smart Grid 2019, 10, 6055–6069. [Google Scholar] [CrossRef]
- Farivar, M.; Low, S.H. Branch flow model: Relaxations and convexification (part I). IEEE Trans. Power Syst. 2013, 28, 2554–2564. [Google Scholar] [CrossRef]
- Low, S.H. Convex relaxation of optimal power flow, I: Formulations and relaxations. IEEE Trans. Control Netw. Syst. 2014, 1, 15–27. [Google Scholar] [CrossRef]
- Liu, N.; Yu, X.; Wang, C.; Li, C.; Ma, L.; Lei, J. Energy-Sharing Model with Price-Based Demand Response for Microgrids of Peer-to-Peer Prosumers. IEEE Trans. Power Syst. 2017, 32, 3569–3583. [Google Scholar] [CrossRef]
- Gans, J.; King, S.; Stonecash, R.; Mankiw, N.G. Principles of Economics; Cengage Learning: Melbourne, Australia, 2011. [Google Scholar]
- Cruz, M.R.; Fitiwi, D.Z.; Santos, S.F.; Mariano, S.J.; Catalao, J.P. Multi-Flexibility Option Integration to Cope With Large-Scale Integration of Renewables. IEEE Trans. Sustain. Energy 2020, 11, 48–60. [Google Scholar] [CrossRef]
- Li, Y.; Feng, C.; Wen, F.; Wang, K.; Huang, Y. Energy Pricing and Management for Park-level Energy Internets with Electric Vehicles and Power-to-gas Devices. Autom. Electr. Power Syst. 2018, 42, 1–10. [Google Scholar]
- Sun, F.; Ma, J.; Yu, M. The Day-Ahead and Intraday Coordinated Energy Management Method for Active Distribution Networks Based on Multi-Terminal Flexible Distribution Switch. Proc. CSEE 2020, 40, 778–790. [Google Scholar]















| Entity | Equipment | Location | Parameters |
|---|---|---|---|
| BMG1 | PV | Node24 | 400 kW |
| ESS | Node23 | 1.0 MWh, 0.2 MW, 0.95 | |
| BMG2 | PV | Node27 | 400 kW |
| ESS | Node32 | 1.0 MWh, 0.2 MW, 0.95 | |
| BMG3 | PV | Node7,10 | 500 kW, 500 kW |
| ESS | Node11 | 1.0 MWh, 0.2 MW, 0.95 | |
| DN | SOPs | Node12–22,25–29,18–33 | Capacity: 1.0 WVA |
| OLTC | Node1-2 | ±5 × 1% (includes 0 × 1%) |
| System Performance | Scenario I | Scenario II | Scenario III |
|---|---|---|---|
| Line power loss (kWh) | 639.831 | 1420.947 | 632.714 |
| SOP power loss (kWh) | 408.794 | 0 | 403.394 |
| DNO cost (USD) | −323.921 | 136.216 | −186.5302 |
| The total cost of building microgrid cluster (USD) | 29,022.216 | 29,363.347 | 29,033.107 |
Disclaimer/Publisher’s Note: The statements, opinions and data contained in all publications are solely those of the individual author(s) and contributor(s) and not of MDPI and/or the editor(s). MDPI and/or the editor(s) disclaim responsibility for any injury to people or property resulting from any ideas, methods, instructions or products referred to in the content. |
© 2024 by the authors. Licensee MDPI, Basel, Switzerland. This article is an open access article distributed under the terms and conditions of the Creative Commons Attribution (CC BY) license (https://creativecommons.org/licenses/by/4.0/).
Share and Cite
Lou, W.; Zhu, S.; Xu, B.; Zhu, T.; Sun, L.; Wang, M.; Wang, X. Integrated Interactive Control of Distribution Systems with Multi-Building Microgrids Based on Game Theory. Buildings 2024, 14, 325. https://doi.org/10.3390/buildings14020325
Lou W, Zhu S, Xu B, Zhu T, Sun L, Wang M, Wang X. Integrated Interactive Control of Distribution Systems with Multi-Building Microgrids Based on Game Theory. Buildings. 2024; 14(2):325. https://doi.org/10.3390/buildings14020325
Chicago/Turabian StyleLou, Wei, Shenglong Zhu, Bin Xu, Taiyun Zhu, Licheng Sun, Ming Wang, and Xunting Wang. 2024. "Integrated Interactive Control of Distribution Systems with Multi-Building Microgrids Based on Game Theory" Buildings 14, no. 2: 325. https://doi.org/10.3390/buildings14020325
APA StyleLou, W., Zhu, S., Xu, B., Zhu, T., Sun, L., Wang, M., & Wang, X. (2024). Integrated Interactive Control of Distribution Systems with Multi-Building Microgrids Based on Game Theory. Buildings, 14(2), 325. https://doi.org/10.3390/buildings14020325
