Flexural Behavior of Inverted Steel Fiber-Reinforced Concrete T-Beams Reinforced with High-Yield Steel Bars
Abstract
1. Introduction
2. Experimental Program
2.1. Specimen Parameters
2.2. Experimental Setup
2.3. Properties of Materials
3. Experimental Results and Discussion
3.1. Cracking and Failure Modes
3.2. Load–Deflection Behavior
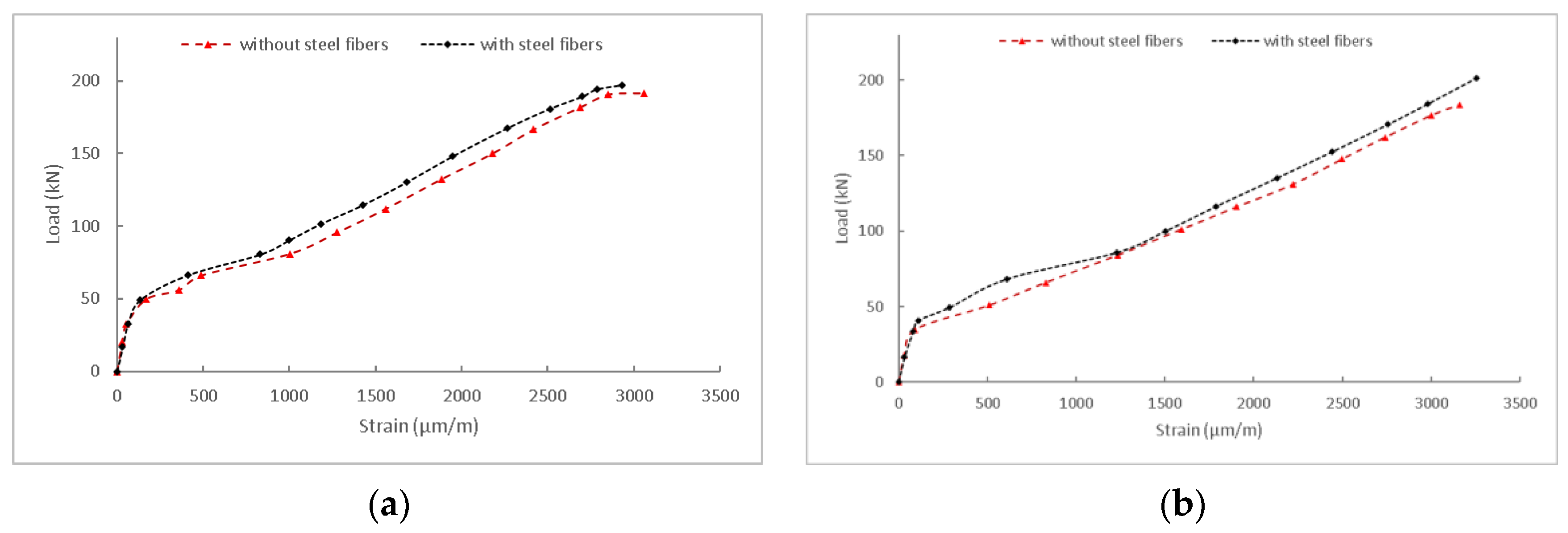
3.3. Average Strain of Compressive Reinforcements
4. Numerical Investigation
4.1. FE Modeling
4.2. FEA Validation
4.2.1. Stress Distributions and Deformed Shapes
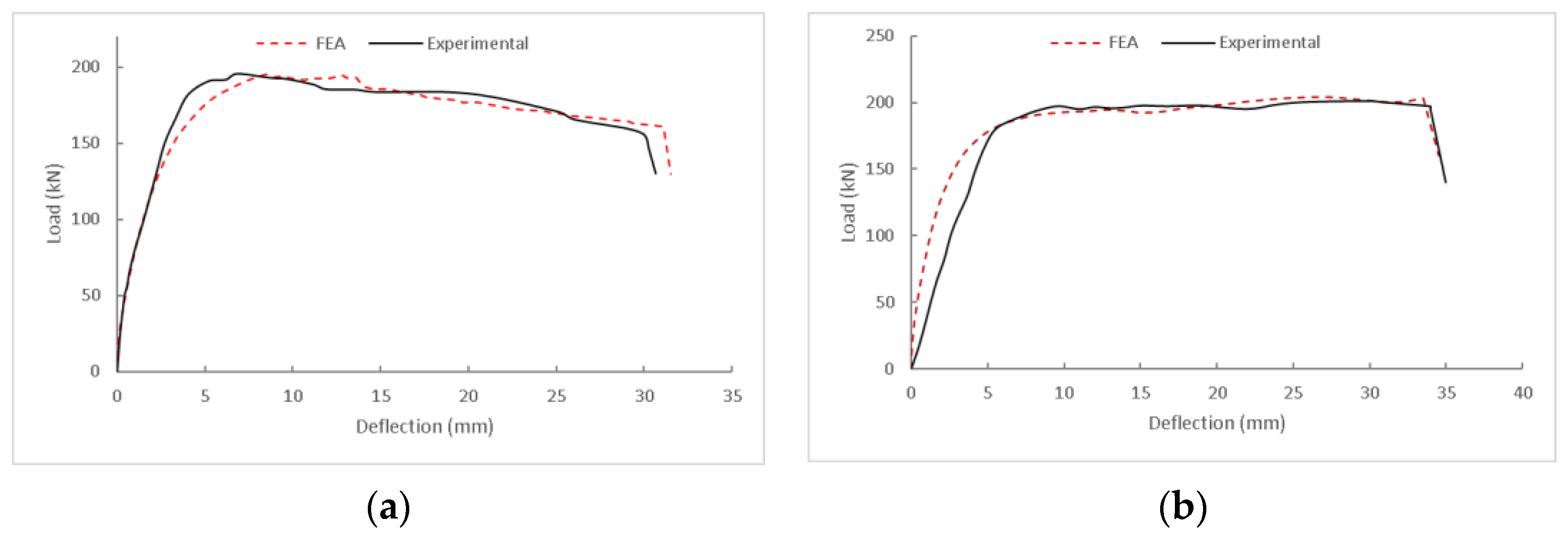
4.2.2. Comparisons between the Load–Deflection Curves
4.3. Effect on Ratio of Longitudinal Reinforcement with FEA Prediction
4.3.1. Stress Distributions and Deformed Shapes
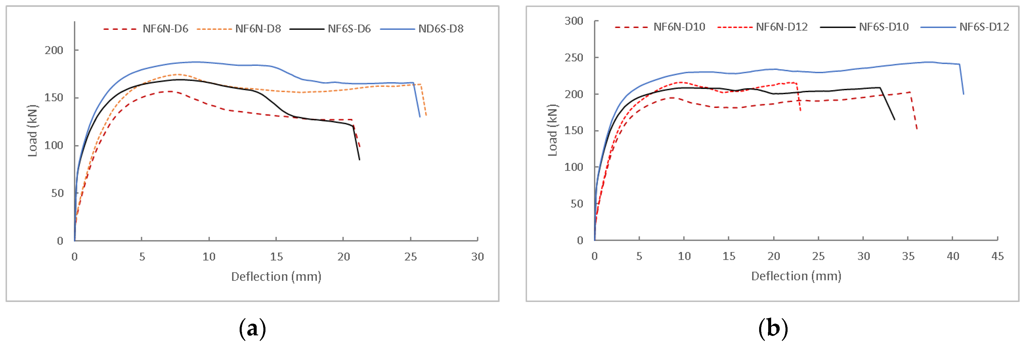
4.3.2. Loads vs. deflections in FEA
4.3.3. Discussion of Load vs. Deflection in FEA
5. Conclusions
- In this group of experiments, the effects of adding steel fibers to concrete on the negative flexural failure performance of T-beams reinforced with two different strengths of reinforcements were obvious, especially the post-peak performance. However, the increments of flexural capacities and deflections in the mid-span were not significant, especially for the NF4N/S group beams reinforced with smaller-diameter reinforcements, for which almost no effect was observed on the performance of the T-beams.
- The experimental results indicated that, for reinforcements with a diameter of 14 mm but different strengths, the increments of the negative flexural capacity and deflections in the mid-span of the T-beams with 600 MPa were less than the corresponding data for the T-beams with 400 MPa.
- The negative flexural failure data for the SFRC T-beams showed that, within the range of reinforcements discussed for this group, the greater the diameter of the tensile reinforcement, the more significant the effects of the steel fibers, both for 400 and for 600 MPa T-beams. The influence of steel fibers on the performance of T-beams made with steel bars of different compressive strength is somewhat complex. The variation trends in ultimate load and deflection are related to the diameter of the tensile steel bars.
- Abaqus/standard 6.14-1 finite element software can successfully simulate the negative flexural failure processes of SFRC T-beams by properly adjusting the properties of the material in the models based on the performance of the material in the experiments. The numerical simulation results may be very close to those obtained during experimental processes (deviation value of key points is around 1~3%), such as for negative flexural capacity and deflection in the mid-span.
- With adjusted T-beam models, the finite element software Abaqus/standard 6.14-1 could successfully predict the negative flexural failure performance of other T-beams with different parameters. The simulation results were comparable to the theory that steel fibers can increase the negative flexural performance of T-beams. However, the greater the difference in the parameters updated from the experimental values, the lower the reliability of the prediction results.
Author Contributions
Funding
Data Availability Statement
Conflicts of Interest
References
- Tavakoli, H.R.; Jalali, P.; Mahmoudi, S. Experimental evaluation of the effects of adding steel fiber on the post-cyclic behavior of reinforced self-compacting concrete beams. J. Build. Eng. 2019, 25, 100771. [Google Scholar] [CrossRef]
- Liu, H.; Xiang, T.; Zhao, R. Research on non-linear structural behaviors of prestressed concrete beams made of high strength and steel fiber reinforced concretes. Constr. Build. Mater. 2009, 23, 85–95. [Google Scholar] [CrossRef]
- Lee, J.-Y.; Shin, H.-O.; Yoo, D.-Y.; Yoon, Y.-S. Structural response of steel-fiber-reinforced concrete beams under various loading rates. Eng. Struct. 2018, 156, 271–283. [Google Scholar] [CrossRef]
- Wang, Y.D.; Yang, S.; Han, M.; Yang, X. Experimental Study of Section Enlargement with Reinforced Concrete to Increase Shear Capacity for Damaged Reinforced Concrete Beams. Appl. Mech. Mater. 2013, 256, 1148–1153. [Google Scholar] [CrossRef]
- Wang, Y.; Ibarra, L.; Pantelides, C. Seismic Retrofit of a Three-Span RC Bridge with Buckling-Restrained Braces. J. Bridge Eng. 2016, 21, 04016073. [Google Scholar] [CrossRef]
- JGJ/T 465-2019; Standard for Design of Steel Fiber Reinforced Concrete Structures. China Building Industry Press: Beijing, China, 2019.
- Khalid, S.F.; Juki, M.I. Fiber Reinforced Concrete Pullout, Toughness Index & Application; Penerbit UTHM Univeriti Tun Hussein Onn: Parit Raja, Malaysia, 2018.
- Yoo, D.-Y.; Yang, J.-M. Effects of stirrup, steel fiber, and beam size on shear behavior of high-strength concrete beams. Cem. Concr. Compos. 2018, 87, 137–248. [Google Scholar] [CrossRef]
- Tran, T.T.; Pham, T.M.; Hao, H. Experimental and analytical investigation on flexural behavior of ambient cured geopolymer concrete beams reinforced with steel fibers. Eng. Struct. 2019, 200, 109707. [Google Scholar] [CrossRef]
- JG/T 472-2015; Steel Fiber Reinforced Concrete. Ministry of Housing and Urban-Rural Development: Beijing, China, 2015.
- ACI 318R-14; Building Code Requirements for Structural Concrete. ACI: Farmington Hills, MI, USA, 2014.
- GB 50010-2010; Code for Design of Concrete Structures. Ministry of Housing and Urban-Rural Construction of the People’s Republic of China: Beijing, China, 2010.
- Chen, C.; Xiaodong, Y.; Wen, P.; Haowei, K. Experimental research on flexrual performance of reinforced concrete beams with 600 Mpa steel bars. Build. Struct. 2018, 48, 6. [Google Scholar]
- T/CCIAT 0016-2020; Specification for Application of 600 MPa Hot-Rolled Ribbed High-Strength Bars. China Construction Industry Association: Beijing, China, 2020.
- Domski, J. A blurred border between ordinary concrete and SFRC. Constr. Build. Mater. 2016, 112, 247–252. [Google Scholar] [CrossRef]
- Gali, S.; Subramaniam, K.V.L. Investigation of the dilatant behavior of cracks in the shear response of steel fiber reinforced concrete beams. Eng. Struct. 2017, 152, 832–842. [Google Scholar] [CrossRef]
- Caggiano, A.; Gambarelli, S.; Martinelli, E.; Nistico, N.; Pepe, M. Experimental characterization of the post-cracking response in Hybrid Steel/Polyproppylene Fiber-Reinforced Concrete. Constr. Build. Mater. 2016, 125, 1035–1043. [Google Scholar] [CrossRef]
- Deng, M.; Sun, Y.; Zhang, S.; Shu, H.; Li, T. Shaking table test of single-story brick-wood structures of rural builings strenthened with HDC. Eng. Mech. 2024, 41, 90–102. (In Chinese) [Google Scholar]
- Carlesso, D.M.; de la Fuente, A.; Cavalaro, S.H.P. Fatigue of cracked high performance fiber reinforced concrete subjected to bending. Constr. Build. Mater. 2019, 220, 444–455. [Google Scholar] [CrossRef]
- Folino, P.; Ripani, M.; Xargay, H.; Rocca, N. Comprehensive analysis of Fiber Reinforced Concrete beams with conventional reinforcement. Eng. Struct. 2020, 202, 109862. [Google Scholar] [CrossRef]
- Pereiro-Barcelo, J.; Lopez-Juarez, J.A.; Ivorra, S.; Bonet, J.L. Experimental analysis of longitudinal shear between the web and flanges of T-beams made of fiber-reinforced concrete. Eng. Struct. 2019, 196, 109280. [Google Scholar] [CrossRef]
- Fallah-Valukolaee, S.; Hashemi, S.K.; Nematzadeh, M. Effect of steel fiber on flexural performance of bilayer concrete beams with steel and GFRP rebars: Experiments and predictions. Structures 2022, 39, 405–418. [Google Scholar] [CrossRef]
- Jaber, M.H.; Abd Al-Zahra, B.I.; Ibrahim, A.A.; Hassan, R.F.; Al-Salim, N.H.; Hussein, H.H. Exploring the Effect of Varying Fiber Dosages as Stirrup Substitutes in Torsion-Loaded Concrete Beams. Buildings 2023, 13, 1865. [Google Scholar] [CrossRef]
- Keshtegar, B.; Bagheri, M.; Yaseen, Z.M. Shear strength of steel fiber-unconfined reinforced concrete beam simulation: Application of novel intelligent model. Compos. Struct. 2019, 212, 230–242. [Google Scholar] [CrossRef]
- Tan, T.H.; Nguyen, N.B.; Li, B.; Chuan Chew, K.; Kwang Thung, S. Design Considerations and Guidelines in The Use of Grade 600 Steel Reinforcements for Reinforced Concrete Construction. IOP Conf. Ser. Mater. Sci. Eng. 2019, 603, 052037. [Google Scholar] [CrossRef]
- Guan, J.; Liu, L.; Zhang, Q.; Bai, W.; Yao, X.; Zhao, S. Experimental study and calculation method of mid-span deformation of RC beams with 600 MPa steel bars. J. Build. Struct. 2021, 8, 59–72. [Google Scholar]
- Zheng, Y. Principles of Concrete Mechanics and Component Design, 2nd ed.; Xi’an Jiaotong University Press: Xi’an, China, 2018. [Google Scholar]
- Shewalul, Y.W. Numerical and FEA investigation of sectional capacity and moment redistribution behavior of steel fiber reinforced concrete (SFRC) beam. Heliyon 2021, 7, e07354. [Google Scholar] [CrossRef] [PubMed]
- GB/T 50152-2012; Standard for Test Method of Concrete Structures. Ministry of Housing and Urban-Rural Development: Beijing, China, 2012.
- Gali, S.; Subramaniam, K.V.L. Influence of cohesive stresses on shear capacity of reinforced SFRC beams without stirrups: A discrete crack approach. Eng. Fract. Mech. 2018, 206, 218–232. [Google Scholar] [CrossRef]
- Doo, Y.Y.; Banthia, N.; Young, S.Y. Flexural behavior of ultra-high-performance fiber-reinforced concrete beams reinforced with GFRP and steel rebars. Eng. Struct. 2016, 111, 246–262. [Google Scholar]
- Doo, Y.Y.; Banthia, N.; Jun, M.Y.; Young, S.Y. Size effect in normal-and high-strength amorphous metallic and steel fiber reinforced concrete beams. Constr. Build. Mater. 2016, 121, 676–685. [Google Scholar]





























| Series Code | Unit Weight (kg/m3) | |||||||
|---|---|---|---|---|---|---|---|---|
| Steel Fiber | Water | Cement | Fine Aggregate | Coarse Aggregate | Super Plasticizer | Antifreeze | ||
| Volume Fraction (%) | Mass (kg/m3) | |||||||
| B-0 | 0 | 0 | 155 | 515 | 675 | 1095 | 5.15 | 15.45 |
| B-1 | 0.75 | 58.875 | 165 | 545 | 695 | 1045 | 5.45 | 16.35 |
| Diameter (mm) | Length (mm) | Aspect Ratio (Lf/df) | Density (g/cm3) | Tensile (MPa) | Elastic Modulus (GPa) |
|---|---|---|---|---|---|
| 0.5 | 30 | 60 | 7.85 | 1100~1300 | 200 |
| Series Code | Comp. Strength fc,cube (MPa) | Average, fc,cube (MPa) | Elastic Modulus, Ec (GPa) | Strain at Peak Load, εcu | (Flexural)/Tensile Strength (MPa) | |
|---|---|---|---|---|---|---|
| B-0 | 58.3 | 59.5 | 35.8 | 0.00201 | 2.9427 | GB50010-2010 |
| 60.2 | 36.0 | 0.00204 | 2.9754 | |||
| 59.9 | 36.0 | 0.00203 | 2.9704 | |||
| B-1 | 65.0 | 65.6 | 36.6 | 0.00209 | 5.9936 | Experiment |
| 66.5 | 36.7 | 0.00210 | 6.9024 | |||
| 65.3 | 36.6 | 0.00209 | 5.3792 | |||
| Beam Type | Experiment | FEA | |||||
|---|---|---|---|---|---|---|---|
| Crack Load, Pcr (kN) | Ultimate Load, Pu (kN) | Deflection (mm) | Failure Mode | Ultimate Load, Pu (kN) | Deflection (mm) | Failure Mode | |
| NF4N | 50.0 | 195.4 | 30.7 | flexure | 194.9 | 31.5 | flexure |
| NF4S | 51.5 | 201 | 35 | flexure | 203.8 | 34.5 | flexure |
| NF6N | 51.4 | 198.2 | 35.9 | flexure | 202.3 | 36 | flexure |
| NF6S | 59.6 | 207.1 | 33.9 | flexure | 208.4 | 33.5 | flexure |
| Diameter (mm) | Type | Ultimate Load (kN) | (PPF4S − PPF4N) /PPF4N(%) | Deflection (mm) | (DPF4S − DPF4N) /DPF4N(%) |
|---|---|---|---|---|---|
| 6 | NF4N | 159.8 | −2.00 | 38.1 | −16.01 |
| NF4S | 156.6 | 32.0 | |||
| 8 | NF4N | 176.1 | 0.74 | 38.4 | −19.27 |
| NF4S | 177.4 | 31.0 | |||
| 10 | NF4N | 195.4 | 4.50 | 31.5 | 1.59 |
| NF4S | 204.2 | 32.0 | |||
| 12 | NF4N | 203.8 | 17.03 | 34.5 | 18.84 |
| NF4S | 238.5 | 41 |
| Diameter (mm) | Type | Ultimate Load (kN) | (PPF6S − PPF6N) /PPF6N(%) | Deflection (mm) | (DPF6S − DPF6N) /DPF6N(%) |
|---|---|---|---|---|---|
| 6 | NF6N | 156.6 | 7.73 | 21.3 | −0.47 |
| NF6S | 168.7 | 21.2 | |||
| 8 | NF6N | 174.5 | 7.39 | 26.2 | −1.91 |
| NF6S | 187.4 | 25.7 | |||
| 10 | NF6N | 202.4 | 2.96 | 36 | −6.94 |
| NF6S | 208.4 | 33.5 | |||
| 12 | NF6N | 216.2 | 12.72 | 23 | 79.13 |
| NF6S | 243.7 | 41.2 |
Disclaimer/Publisher’s Note: The statements, opinions and data contained in all publications are solely those of the individual author(s) and contributor(s) and not of MDPI and/or the editor(s). MDPI and/or the editor(s) disclaim responsibility for any injury to people or property resulting from any ideas, methods, instructions or products referred to in the content. |
© 2024 by the authors. Licensee MDPI, Basel, Switzerland. This article is an open access article distributed under the terms and conditions of the Creative Commons Attribution (CC BY) license (https://creativecommons.org/licenses/by/4.0/).
Share and Cite
Hou, Z.; Nordin, N. Flexural Behavior of Inverted Steel Fiber-Reinforced Concrete T-Beams Reinforced with High-Yield Steel Bars. Buildings 2024, 14, 894. https://doi.org/10.3390/buildings14040894
Hou Z, Nordin N. Flexural Behavior of Inverted Steel Fiber-Reinforced Concrete T-Beams Reinforced with High-Yield Steel Bars. Buildings. 2024; 14(4):894. https://doi.org/10.3390/buildings14040894
Chicago/Turabian StyleHou, Zhicheng, and Norhaiza Nordin. 2024. "Flexural Behavior of Inverted Steel Fiber-Reinforced Concrete T-Beams Reinforced with High-Yield Steel Bars" Buildings 14, no. 4: 894. https://doi.org/10.3390/buildings14040894
APA StyleHou, Z., & Nordin, N. (2024). Flexural Behavior of Inverted Steel Fiber-Reinforced Concrete T-Beams Reinforced with High-Yield Steel Bars. Buildings, 14(4), 894. https://doi.org/10.3390/buildings14040894
