Next Article in Journal
Examining the Impact of Material Management Practices on Project Performance in the Construction Industry
Next Article in Special Issue
A Literature Review of Green Building Policies: Perspectives from Bibliometric Analysis
Previous Article in Journal
A Constraint Programming Approach for Discrete Time–Cost Tradeoff Problems in a Time-Constrained Activity Network
Previous Article in Special Issue
Exploring the Spatially Heterogeneous Effects of Street-Level Perceived Qualities on Listed Real Estate Prices Using Geographically Weighted Regression (GWR) Modeling
 
 
Font Type:
Arial Georgia Verdana
Font Size:
Aa Aa Aa
Line Spacing:
Column Width:
Background:
Article

Evaluation of Age-Friendly Retrofits for Urban Communities in China Using a Social–Ecological–Technological Systems Framework

by
Hui Zeng
1,
Jinwei Zhu
2,*,
Hanxi Lin
3,
Peiyi Fan
4 and
Ting Qiu
5
1
School of Design, Jiangnan University, Wuxi 214122, China
2
School of Business, Jiangnan University, Wuxi 214122, China
3
School of Art and Design, Dalian Polytechnic University, Dalian 116034, China
4
Department of Architecture and Design, Sapienza University of Rome, Piazza Borghese 9, 00186 Rome, Italy
5
School of Design, Inner Mongolia Normal University, Hohhot 010010, China
*
Author to whom correspondence should be addressed.
Buildings 2024, 14(7), 2074; https://doi.org/10.3390/buildings14072074
Submission received: 21 May 2024 / Revised: 26 June 2024 / Accepted: 5 July 2024 / Published: 7 July 2024
(This article belongs to the Special Issue Urban Sustainability: Sustainable Housing and Communities)

Abstract

To address the problem of accurately evaluating age-friendly retrofit indicators in urban communities, this study constructs an evaluation model that takes into account user preferences and their interaction needs based on the social–ecological–technological systems (SETS) theory. The model aims to establish a set of precise community retrofit indicators, covering aspects such as public participation level, public ancillary facilities, green space layout, living environment building, health service support, and accessible design. By employing prioritization strategies, the model seeks to maximize resident satisfaction and promote harmonious coexistence between the community and the environment. Firstly, the retrofit evaluation indicators are formulated using the SETS theory. The entropy weight method (EWM) is then applied to determine the initial weights of these evaluation indicators, followed by the use of the Decision-Making Trial and Evaluation Laboratory (DEMATEL) method to analyze the interrelationships among the indicators. The Kano model is integrated to adjust the weights, reflecting their importance. The final weights of the indicators are determined through normalization. Based on this, the Technique for Order Preference by Similarity to Ideal Solution (TOPSIS) method is employed to rank and analyze the importance of age-friendly retrofits in the community. Finally, six communities in Dalian, Liaoning Province, China, are selected as samples to evaluate and analyze the age-friendly retrofit indicators. Different methods are compared, and their advantages and disadvantages are ranked to validate the effectiveness and feasibility of the proposed approach. Based on the analysis results, specific design schemes for improving the identified shortcomings in age-friendly aspects of these communities are proposed, considering the needs of aging populations and taking into account community public facilities, accessible design renovations, and the enhancement of green space layouts. This study aims to explore the comprehensive benefits of an age-friendly retrofit in urban communities and provide reference for the deep integration of social, ecological, and technological benefits in urban renewal. The evaluation indicators, methods, and conclusions presented can serve as a decision-making basis for the renovation and renewal of aging urban communities, particularly in terms of age-friendly updates.

1. Introduction

Urban communities serve as fundamental spatial units providing residential services and constitute the basic structure of national social governance. The renovation and optimization of these communities have a direct and substantial impact on the well-being of residents and the harmonious, sustainable development of cities, garnering significant global attention [1]. Urban renewal, as a crucial means, optimizes resources, enhances urban spatial quality, and facilitates the transformation of urban stock, effectively addressing societal aging phenomena [2]. With China undergoing rapid population aging, characterized by a demographic shift, urban population aging profoundly affects sustainable urban habitat development [3]. The simultaneous aging of urban communities and residents, termed “double aging” internationally, presents a dual challenge for urban renewal in China [4]. Addressing the compatibility between elderly residents and community services is pivotal, necessitating precise assessment of age-friendly retrofitting levels and effective evaluation of housing needs in community planning to ensure facilities align with the demands of the elderly [5]. However, age-friendly retrofitting of urban communities is inherently unsustainable [6] and must integrate sustainability into the design process to achieve sustainable development [7]. Establishing an evaluation system for age-friendly urban communities is crucial to ensure that final community improvement schemes meet the needs of elderly residents [8]. Currently, the evaluation of age friendliness in urban communities poses a typical multi-criteria decision-making problem. It involves challenges such as inconsistent weighting assigned by residents and complex interactive effects among various criteria. These factors often lead to disparities between the expected outcomes and the actual delivery of age-friendly renovations in urban communities. This study will further explore the influencing factors and intrinsic mechanisms based on the SETS theory.
The decision-making process of age-friendly retrofitting in urban communities requires consideration from multiple perspectives including social, sustainability, technological, and service levels [9]. Scientific evaluation, as a critical element in urban community age-friendly retrofitting, has a decisive impact on the effectiveness of subsequent community governance standard formulation and the decision quality of age-friendly retrofitting schemes [10]. When it comes to addressing issues with age-friendly evaluation methods in urban communities, research primarily focuses on two key aspects: analysis of age-friendly retrofitting demands and the development of transformation solutions.
(1)
Demand Analysis: Various subjective weighting methods such as the Analytic Hierarchy Process (AHP) [11] and the Kano model [12] are employed to calculate the weights of age-friendly criteria in urban communities, supporting multi-criteria ranking for retrofitting. While these methods can provide preliminary assessments of the needs of elderly residents to enhance age-friendly retrofitting, they often heavily rely on expert judgments. Moreover, they involve a large amount of information from various dimensions and evaluation scales, making the process complex. Additionally, there is a lack of scientific processing when it comes to classifying household needs accurately. Integrating this information into evaluation decisions remains a significant challenge.
(2)
Transformation Solutions: Urban community age-friendly retrofitting involves multiple stakeholders [13] with diverse social services and technological innovation propositions, covering various dimensions such as public facilities, the ecological environment, operational management, and basic services. For different criteria transformation solution problems, Quality Function Deployment (QFD) [14] and DEMATEL methods [15] exhibit some effectiveness in subjective importance extraction and fuzzy evaluation aspects. However, considering the heterogeneity of household weights and the intrinsic relationships between needs during information collection affects the reliability of evaluation results.
In response to the uncertainties and fuzziness of the aforementioned research, this study, based on the SETS theory [16], attempts to construct a novel assessment model integrating the EWM–DEMATEL–Kano model. It aims to provide a theoretical framework that considers both internal and external influences, creating a complex and ideal sustainable operational state for urban community ecological renewal systems. The study establishes a Balanced Scorecard method, conducts surveys on the current status of age-friendly retrofitting, refines specific indicators, and, based on existing research, disaggregates the specific content of certain indicators to address design evaluation gaps, ensuring more accurate and objective evaluation of specific indicators. A comprehensive measurement of the system is conducted to identify weaknesses in the operation of urban community ecological renewal systems. Compared to the existing literature, the main theoretical contributions of this study are as follows:
(1)
This study employs information entropy to assess the dispersion and impact of various indicators, with the goal of mitigating both the subjective biases inherent in expert judgment and the objective biases that stem from incomplete or poor-quality data. This approach effectively addresses the indecision experts may experience when faced with multiple evaluative terms, thus offering a scientifically rational foundation for the comprehensive assessment of multiple indicators.
(2)
This study comprehensively considers the interdependent relationships among the needs for community aging adaptation and employs the DEMATEL method to analyze and correct the initial importance of transformation needs obtained through fuzzy QFD technology. This process involves an in-depth analysis of the direct and indirect causal relationships between factors in the system, thereby effectively enhancing the accuracy and credibility of the importance of transformation needs.
(3)
This study adopts an improved Kano model to calculate the Kano importance of residents’ needs. The improved satisfaction index of this model fully reflects the nonlinear relationship between its characteristics and customer satisfaction, which is different from traditional linear satisfaction models. This nonlinear relationship can more truly reflect the changes in customer satisfaction, thereby helping to promote continuous urban renewal and service optimization.
The subsequent sections of this paper are organized as follows: Section 2 delineates the materials and methods, introducing an integrative evaluation model that encompasses the EWM–DEMATEL–Kano framework. It also details the construction of the evaluation index system, the criteria for sample selection, and the methodologies employed for data collection. Section 3 provides a concise literature review on urban community age-friendly assessment methods and the social–ecological–technological system framework. Section 4 illustrates the practical application of this methodology through an empirical analysis of a case study involving community age-friendly initiatives. Section 5 corroborates the results of the case study and proposes an enhanced design scheme. Section 6 offers an in-depth analysis of the computational outcomes and identifies the study’s limitations and areas for improvement. Section 7 concludes the research and projects potential future trajectories for the field, considering perspectives on policy development and industry evolution.

2. Materials and Methods

2.1. Research Framework

In response to the various complex factors that need to be considered during the renovation and reconstruction of urban old communities, this study focuses on the construction of a relevant indicator system to meet the needs of elderly residents, the rational allocation of weights for each indicator, the social participation of the elderly, technological challenges, and the assessment of uncertainty in environmental issues. Based on these considerations, we constructed an evaluation framework aimed at assessing the degree of aging retrofitting in urban residential areas. The specific research process is detailed in Figure 1. This framework consists of four modules: (1) The construction of an evaluation indicator system: Building on the SETS theory, this module aims to predict the service needs and housing preferences of elderly residents, establishing a preliminary set of indicators for evaluating the aging of urban communities. (2) The determination of initial indicator weights: To reduce the influence of individual subjective judgments and verify the effectiveness of evaluation indicators, the EWM is used to determine the initial weights of evaluation indicators. (3) The optimization of evaluation indicator weights: This module seeks to identify the relationships between factors in the evaluation of urban community aging and determine the importance of each factor. Initially, the DEMATEL method is employed to demonstrate the interaction between evaluation indicators by calculating the centrality and causality of influencing factors. Considering that the target group of the study is elderly residents with specific characteristics, a questionnaire survey is used to understand their actual needs. The Kano model is then applied to further optimize and adjust the weights of these evaluation indicators. (4) Selection of the optimal evaluation scheme: Using the TOPSIS as a sorting method, this module ranks various evaluation indicators by calculating the Euclidean distance between each alternative solution and the positive and negative ideal solutions. This method maintains a high level of objectivity in the evaluation process and is suitable for screening and assessing the rationality of various design schemes.
Overall, the framework model proposed in this study demonstrates several advantages: (1) Based on the theory of SETS, integrating the characteristics of urban community aging requirements and the preferences of elderly residents to comprehensively determine evaluation indicators not only ensures the comprehensiveness and specificity of the evaluation indicators but also enhances the scientific and practical nature of the entire evaluation system. (2) When calculating the weights of various indicators, we fully consider the preferences and characteristics of elderly residents. By integrating the entropy weight method, DEMATEL method, and Kano model, we not only reveal the inherent correlations among the indicators but also successfully integrate these indicators with the needs and preferences of elderly residents, thereby enhancing the academic depth of the study. (3) When discussing the complexity of the evaluation process, the study found that evaluation information often includes factors such as fuzziness and uncertainty. This integration method not only effectively handles uncertainty in decision making with multiple attributes but also provides decision-making support for the aging transformation of urban communities.

2.2. Evaluation Indicator System

To enhance the reliability of evaluation indicators, this study adopts the framework of SETS theory and carefully selects six key dimensions for assessment: people, structure, natural resources, environment, task, and technology. The indicators selected for these dimensions are primarily derived from the existing academic literature. However, they have been further adjusted and optimized to align with the specific requirements of urban community aging transformation. To prevent the evaluation indicators from losing credibility due to semantic ambiguity, in line with the purpose of this study, the relationship of the evaluation indicators was designed according to the urban community age-friendly evaluation indicator system. The evaluation indicators were then verified and reviewed through expert interviews. This meticulous approach helps prevent semantic ambiguity and enhances the overall quality and validity of the evaluation indicators utilized in the study. This research was funded by the National Social Science Fund of China Major Project and the Provincial University Scientific Research Key Project. In response to the specific needs of urban community planning, we interviewed nine professors in the fields of architecture, design, and urban and rural planning. These experts possess profound professional knowledge and a precise understanding of the importance and details of age-friendly design. They not only have in-depth insights in theory but also have rich practical experience and case studies, which allow them to conduct a more in-depth analysis of the evaluation indicators based on actual cases. The interdisciplinary team of experts can carry out comprehensive assessments from multiple perspectives to ensure the comprehensiveness and integrity of the evaluation indicators. For more detailed information, please refer to Appendix A (Table A1). To ensure the objectivity of expert opinions, this review will invite experts to participate anonymously, and experts will not be allowed to discuss with each other during the review process to ensure independent evaluation. Any form of communication is prohibited to ensure the fairness of the review. The expert consultation form can be found in Appendix B (Table A2). In analyzing the credibility of evaluation indicators, this study uses SPSS software to calculate the Cronbach’s α coefficient values of each indicator variable. The results show that all indicator variable coefficients exceed 0.7 [17], demonstrating a high degree of credibility of the evaluation indicators used. Specific indicators are listed in Table 1.

2.3. Sample Selection

Dalian is an important coastal city in Northeast China, yet it also faces the severe challenge of an aging population. This study primarily focuses on existing communities in Dalian for the following reasons. First, the city has distinctive demographic characteristics and a significant degree of aging. According to the data from the seventh national census conducted by the National Bureau of Statistics [30], the elderly population aged 60 and above in Dalian, who hold household registration, has reached 1.84 million, accounting for 24.71% of the total registered population, which is 6.01 percentage points higher than the national average; the proportion of the population aged 65 and above also exceeds the national average by 3.37 percentage points, making it one of the regions with a higher degree of aging in China, and its aging situation is representative. Second, there is a large stock of existing communities. By the end of 2022, the residential stock in Dalian reached 165 million square meters. Among these residences, those built in the 1980s and 1990s account for about 40% of the total volume. Due to the limitations of construction technology and standards at that time, these residences did not undergo planning and design related to elderly friendliness, which is very representative. Third, the elderly population in existing communities exhibits clear diversity. In recent years, due to the relatively slow economic development in the Northeast region of China, there has been a significant outflow of young people. As one of the key cities in the Northeast region, Dalian has experienced notable population mobility, including both inflow and outflow, and this demographic dynamic has endowed the city’s elderly population with a unique diversity characteristic.
Before conducting a detailed survey, the research team pre-surveyed more than 20 old residential areas in Dalian City. After fully understanding the basic characteristics of these residential areas, we ultimately identified six representative old residential areas as the research subjects, namely Sincerity Community, Red Plum Community, Red Light Community, Promoting Community, Round Mountain Community, and Seaview Garden Community in Dalian City (see Figure 2). These communities were all built in the 1990s and were once model projects for residential areas of that period. They not only house a large number of original residents but also have a high proportion of elderly population, making them very representative. The team’s research focused on aspects such as the location of the residential areas, the current state of public areas, infrastructure support, planning of green spaces, and accessibility facilities (see Table 2).

2.4. Data Collection

This study conducted a satisfaction survey on the age-friendliness renovation of Dalian urban communities in January 2024. The design of the survey questionnaire consists of three parts: (1) An explanation of the research objectives and the data collection methods, as well as a brief introduction to the urban community renewal process and the basic concepts of accessible design. (2) A survey of the basic information of elderly residents, collecting information including gender, age, marital status, length of residence, and frequency of going out. To fully consider the diversity within the elderly population, this survey particularly focuses on those facing various issues and residing in different environments. The survey was conducted through both online and offline channels. The online survey was specifically targeted at individuals with limited mobility or difficulty in travel to better understand their needs, while the offline survey targeted individuals with relatively stronger mobility to obtain more comprehensive data. (3) The main part of the questionnaire was based on the six key indicators of urban community aging-friendly renovation determined earlier, with corresponding adjustments made according to the principles of the Kano model.
The questionnaire selected a probability sampling method. According to the sampling principle of simple random sampling [31], without considering the whole, the sample size is calculated using the formula n = Z ² P ( 1 P ) / E ² , where Z is the confidence level, E is the sampling error range, and P is the precision of the proportion estimate. Based on the actual survey, Z = 1.96 (95% confidence level), E = ±3%, and P = 0.15 (the total population of the six communities is 25,402 people, with 3891 elderly people, and the proportion multiplier is 0.15). The calculated sample size is n = 544.2. It can be seen that the minimum sample size for the study is 544 copies. Therefore, for the online questionnaire, participants were required to scan a QR code for verification to ensure basic smartphone operation skills. A total of 270 questionnaires were distributed online, with 247 valid responses received. Regarding offline surveys, random sampling was conducted. Participants were first asked if they could independently complete the verification code received on their mobile phones. If the answer was affirmative, further investigation was unnecessary; if participants encountered difficulties, the survey was initiated. A total of 330 questionnaires were distributed offline, with 305 valid responses received. Combining the results from both online and offline surveys, a total of 552 valid samples were collected, resulting in a response rate of 92%, which meets the research standards. The satisfaction survey questionnaire can be found in Appendix C (Table A3), and the results are presented in Appendix D (Table A4).
From the statistical analysis of sample attributes, the gender ratio is close, with males accounting for 51.27% and females for 48.73%. The age distribution is mainly dominated by the elderly aged 65 to 79, accounting for more than 70% of the total sample. The educational level of the respondents is primarily high school and below, with a proportion reaching 72.1%. The group with a monthly income of less than 3000 yuan is the largest, accounting for 47.83%; at the same time, the proportion of the group with a monthly income between 3000 and 6000 yuan is also relatively high, at 34.42%. In terms of marital status, married families make up a larger proportion, reaching 56.88%. Overall, the number of people in good health is the majority, accounting for 48.55%. In terms of years of residence, the living time of less than 10 years and 10 to 20 years is the most, with proportions of 32.97% and 46.56%, respectively. Regarding living conditions, 61.78% of the elderly live alone. Looking at the travel situation, the number of people who travel frequently (more than 3 times a week) is relatively large, accounting for 52.72%. The overall structure of the survey sample has good representativeness.

3. Literature Review

3.1. Organize the Preparatory Work

In the process of urban community renewal and development, scholars have reached a consensus that the complexity of research themes and the comprehensiveness of methods are challenges that must be faced. In particular, research on urban social–technological systems that integrate natural elements with human activities is of significant importance for a deeper understanding of the service functions of urban social systems, the management of ecosystems, and the improvement of technological systems. These studies help us effectively address the growing challenges of aging and the planning needs of elderly care service systems. However, the complexity of urban community age-friendly assessment methods and the comprehensive nature of social–ecological–technological systems research present numerous challenges in this field. Currently, the theoretical foundations, analytical frameworks, and research paradigms are not yet unified, which urgently requires us to systematically review existing research findings and further explore the application of urban community age-friendly assessment methods and social–ecological–technological systems theory.
We have formulated a precise literature screening strategy based on our research objectives, aimed at enhancing the accuracy of scientific literature selection and reducing research bias caused by subjective choices. By conducting a search in the core collection of Web of Science and limiting the search scope to the three major databases of SCI, SSCI, and A&HCI, we selected the literature from authoritative databases to enhance the representativeness of the sample. During the literature search process, scholars primarily used keywords such as “Urban Ageing Adaptation” and “Urban Renewal”. However, the number of articles retrieved using “Urban Ageing Adaptation” was extremely limited, with less than a hundred, while the articles retrieved using “Urban Renewal” were too broad and not highly relevant to the research theme. To ensure the comprehensiveness and accuracy of the search, after repeated testing, we ultimately chose “Aging Assessment of Urban Community” and “Social-Ecological-Technological Systems” as the search keywords for the two topics. In terms of setting the search options, we limited the search keywords to the “Topic” field to ensure that the search results were highly relevant to urban age-adaptation research. The article type was set to “Article”. Considering that discussions on this topic were relatively sparse before 2015, we set the sampling interval from 1 January 2015 to 1 January 2024, with the search date being 18 January 2024. Ultimately, we screened a total of 59 articles, and after data cleaning and manual selection, 22 articles were included in the study.

3.2. Evaluation Methods for Age-Friendly Urban Communities

Compared to ordinary community renovations, the difficulty and complexity of age-friendly retrofitting in urban communities are higher. Urban communities shoulder multiple tasks such as urban social structural transformation [32], the optimization of urban public services [33], and community construction [34]. Age-friendly retrofitting in urban communities is manifested as a multidimensional policy implementation and execution mechanism, involving collaborative governance among various stakeholders. Therefore, it is crucial to have scientifically sound evaluation methods. Academic research on evaluation methods for urban community governance and age-friendly retrofitting focuses on the analysis of demand importance. The research logic mainly revolves around two aspects: analysis of age-friendly demands and transformation solutions.
Research on demand analysis mainly consists of two dimensions: demand acquisition and demand importance evaluation. Demand acquisition involves transforming residents’ expectations for community renovations into specific, standardized expressions of demand. For instance, James and Saville-Smith [35] utilized participatory research and design methods to acquire residents’ demands, developing housing decision support tools. Building upon this, Su and Wang [36] refined the emotional needs of the elderly through questionnaire surveys, user interviews, and observational statistics, providing guidance for improving the efficiency of community age-friendly retrofitting. However, in reality, governance cannot solely rely on residents’ demands; it must be integrated into a comprehensive theoretical framework to advance community age-friendly retrofitting holistically. Demand importance evaluation refers to the identification of satisfaction levels with elderly residents’ living needs using scientific methods and ranking demand priorities based on the results. For example, Aksoy and Korkmaz-Yaylagul [37] used the AHP matrix to obtain livability scores and rankings for communities. Addressing the different needs of elderly individuals during community age-friendly retrofitting, Zhou et al. [38] utilized the Kano model to classify demand indicators into “Must-be quality”, “One-dimensional quality”, and “Attractive quality”, capturing the living and spiritual needs of the elderly in communities. Chum et al. [39] identified four themes for community age-friendly retrofitting—social relationships, health and well-being, self-awareness and autonomy consciousness, and participation in activities—through exploring housing patterns. While these studies demonstrate strong evaluation capabilities in determining demands for urban community age-friendly retrofitting, they still face limitations such as the one-sidedness of considering only the perspective of community residents’ demands and the subjectivity in expert assessments, which may lead to inconsistent evaluation results.
In the transformation solution phase, Xu et al. [40], based on the theory of active aging, combined literature reviews and expert interviews to determine age-friendly evaluation indicators. They utilized the grey relational analysis method to calculate indicator weights. Addressing the uncertainty in evaluation environments, Chen et al. [41] investigated the correlation between Quality of Life (QoL) and social sustainability, employing Structural Equation Modeling (SEM) to explore and define factors affecting community residents’ satisfaction evaluations. Ide et al. [42] used a linear mixed-effects model to determine the association between social participation and happiness, thus identifying indicator importance. Although these models effectively consider the subjectivity of indicator extraction and the fuzziness of evaluations, they do not account for the interrelationships between indicators. To address this, Yadav et al. [43] quantitatively analyzed community issue indicators using DEMATEL and established an indicator influence diagram to elucidate the impact weights among indicators. Building upon this, Sun et al. [44] proposed a hybrid decision framework integrating Grounded Theory, DEMATEL, and the Analytic Network Process (ANP) to further optimize decision-making methods. Additionally, DEMATEL has been extensively applied in community ecological development [45], community facility resilience [46], and the revitalization of old communities [47]. However, these studies did not consider the inconsistency in resident weight during information collection and the interrelationships between indicators, which may lead to unreliable evaluation results. Moreover, age-friendly assessment entails complex multidimensional interactions, necessitating consideration of their impact on indicator ranking results in the urban community age-friendly evaluation process.
In urban community age-friendly assessment, despite the discussion on the aforementioned issues, existing evaluation methods still suffer from the following shortcomings:
(1)
While the Kano model provides direct access to weightings for age-friendly community renovation demands, it overlooks individual differences among elderly residents. This undermines the credibility of evaluation data, disrupting the sorting assessment of age-friendly community renovations, thus affecting their objectivity and effectiveness.
(2)
Age-friendly retrofitting exhibits ambiguity due to interdependencies or conflicts among indicators across various stages. DEMATEL fails to adequately consider the transfer effects resulting from the inherent influence of multiple indicators on others, thereby affecting the related impacts on other indicators.
(3)
In the early stages, urban community age-friendly evaluations heavily rely on experts’ subjective preferences, leading to significant fluctuations in demand weighting and an inability to accurately identify evaluation criteria.

3.3. Social–Ecological–Technological Systems Framework

The social–ecological–technological systems (SETS) approach has gained widespread attention as a novel method for analyzing urban complexity issues. SETS comprises two components: social–technical systems (STS) and social–ecological systems (SES). STS delves into the impact of technology on society and the shaping role of society on technology, providing a crucial theoretical framework for understanding and studying the interaction between society and technology [48]. Technology is seen as a social practice encompassing not only material products or tools but also knowledge, skills, and organizational forms. Its development is influenced not only by science and engineering but also by social factors such as politics, economics, and culture. Simultaneously, the introduction and application of technology can have profound effects on society, altering behaviors, organizational structures, and values [49]. SES, on the other hand, is a complex adaptive system, characterized by several aspects: firstly, it possesses a nonlinear hierarchical structure; secondly, it features adaptive evolutionary mechanisms; and finally, it exhibits common evolutionary processes. The sustainability of SES is mainly manifested in features like self-stabilization, self-organization, and self-adaptation [50]. Throughout its evolutionary process, SES can maintain its overall ordered structure under specific conditions. Moreover, it can adjust its internal structure according to established rules or even change these rules when necessary to adapt to changes in the external environment. This adaptive orderly evolutionary process enables SES to display new structures and functions [51]. The sustainability analysis of STS and SES offers a fresh perspective for exploring the theoretical construction of urban development and community renovation, paving the way for new pathways in subsequent research endeavors.
The SETS framework integrates interdisciplinary thinking about STS and SES to promote multidisciplinary integration and address social issues, thereby achieving urban sustainability and social transformation [52]. According to the SETS framework diagram, as shown in Figure 3, we can observe that the primary function of this framework is to conceptually handle and integrate different themes, clusters, and modules, rather than merely providing a single analytical framework. The SETS framework is a heuristic conceptual model that provides insights into addressing various problems and challenges in complex systems. This framework particularly emphasizes the dynamic interactions and interdependencies among urban subsystems with different attributes, including the People–Structure system (social), Task–Technology system (technological), and Natural resource–Environment system (ecological) [53]. According to the SETS framework, the assessment of urban community aging requires interaction from social, technological, and ecological levels to achieve synergy among the six elements: people, structure, task, technology, natural resource, and environment. This provides a theoretical analysis framework for studying the assessment of urban community aging renovation.

4. Empirical Analysis

4.1. Determination of Initial Indicator Weights

4.1.1. Construction of Initial Evaluation Matrix and Standardization

Before calculating the initial weights of the indicators, an initial evaluation matrix was constructed based on the six key indicators of urban community aging-friendly renovation summarized earlier. Experts were invited to use the Likert 9-point scale (1~9) [54] to rate the indicators for the six urban community samples (C1~C6) listed in Table 1. The scores obtained were statistically analyzed, and the averages were calculated to construct the initial evaluation matrix, as shown in Table 3. When exploring the issue of multi-indicator evaluation, the indicators in the system have different dimensions, which poses a challenge to comprehensive evaluation. In order to enhance the interpretability of the data, improve the accuracy of the model, and simplify the calculation process, while avoiding the impact of the dimensions of the index data on the calculation of objective weights, we standardize the indicators using the extreme value method [55] to obtain a standard matrix P = P i j   m × n . In the formula, Pij represents the evaluation index, and Pijmin and Pijmax represent the minimum and maximum values of Pij, respectively. See Table 4 for the results.
P i j = P i j P i j m i n P i j m a x P i j m i n
P i j = P i j m a x P i j P i j m a x P i j m i n

4.1.2. Entropy Weight Method Calculation of Initial Weights

The entropy weight method (EWM) is an objective weighting method that reveals the amount of information contained in evaluation indicators by reflecting the degree of variation in their numerical values, thereby determining the information entropy of each indicator [56]. The magnitude of information entropy serves as an indicator of the accuracy of the information conveyed by a specific indicator. A smaller information entropy value indicates a higher level of accuracy in expressing the information, leading to a correspondingly greater weight assigned to the indicator in comprehensive evaluation. This method uses the variability of the data themselves to objectively calculate the weights of each indicator [57]. Compared to subjective weighting methods, the entropy weight method can more objectively assign weights to evaluation indicators of community aging-friendly renovation schemes, and to some extent, reduce the impact of decision makers’ subjective preferences on the weights of indicators.
This study referenced the EWM weight calculation from Reference [58]. Firstly, the indicator data were normalized using the formula Y i j = x i j min x i j max x i j min x i j , and then the information entropy value Ej and initial weight Vj of the evaluation indicators for urban community aging-friendly renovation were calculated. The formulas are as follows:
E j = 1 l n n i = 1 n P i j l n P i j
V j = 1 E j j = 1 m 1 E j
where Pij represents the proportion of the ith city community aging transformation evaluation object sample scheme value under the jth city community aging transformation evaluation index to be calculated, that is, P i j = Y i j i = 1 n Y i j . The calculation results are shown in Table 5.

4.2. Optimizing Indicator Weights

4.2.1. Calculating Weights with DEMATEL Method

The DEMATEL (Decision-Making Trial and Evaluation Laboratory) method is a quantitative analysis technique used for analyzing factors in complex systems. It was jointly proposed by Professors Gabus and Fontela from a research team in Geneva in the 1970s [59]. This algorithm is designed based on graph theory principles and matrix tools to construct an analysis structure model. This model not only identifies causal relationships between complex social factors but also conducts in-depth analysis and discrimination of key elements [60]. The introduction of the DEMATEL algorithm and its application in decision making for complex systems have significant implications for simplifying the decision-making process and providing an accurate analysis tool for management decisions [61]. Using the DEMATEL method for calculation allows for the quantitative analysis of the degree of mutual influence between different elements, including their influence and being influenced, as well as the causality and centrality of each element itself. Through this method, we can determine the relative weights between elements, fully considering the interaction between indicators. This helps adjust and optimize the evaluation system for urban community aging-friendly renovations by addressing the issue of weight deviation caused by non-independent relationships between indicators [62]. Based on the evaluation indicators for urban community age-friendly renovations listed in Table 1, it can be observed that the importance of each indicator varies, and they influence each other. Therefore, in adjusting indicator weights, this study drew upon the DEMATEL method mentioned in Reference [63], with specific operational steps as follows:
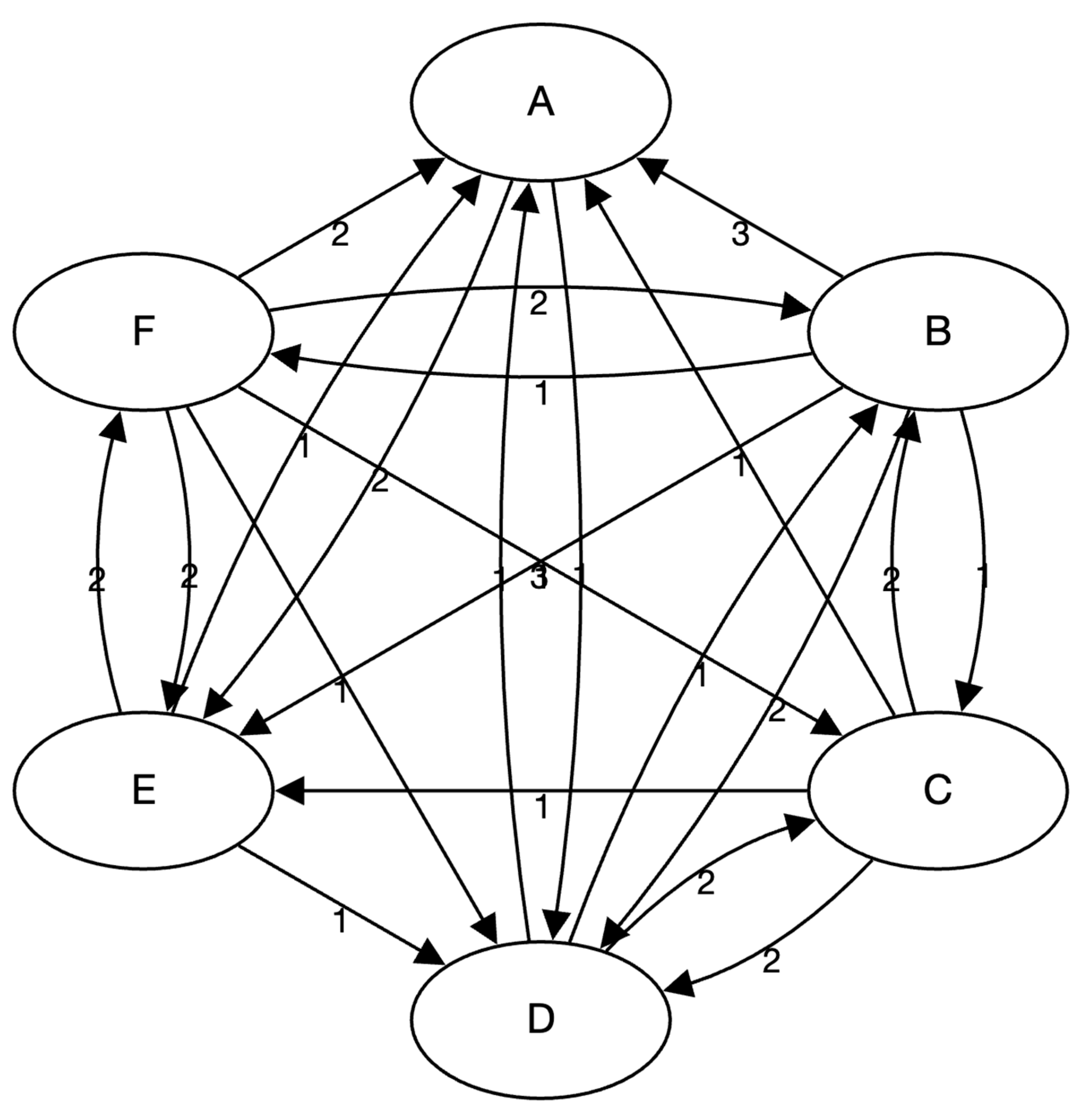
Construction of the initial direct influence matrix. Experts were invited to assess the strength of influence between indicators using the five-point method [64], as follows: no influence (0 points), weak influence (1 point), moderate influence (2 points), strong influence (3 points), and very strong influence (4 points). These scores were converted into non-negative integers, and a directed graph of interactions between indicators was plotted, as shown in Figure 4, thus constructing the initial direct influence matrix Z = x i j n × n . Results are presented in Table 6.
(1)
Normalization of the direct influence matrix. The normalized direct influence matrix is denoted as U by applying the formula:
U = x i j m a x ( i = 1 n x i j ) ( 1 j n )
(2)
Construction of the comprehensive influence matrix. The comprehensive influence matrix is denoted as O by applying the formula:
O = X + X 2 + X K = K = 1 X k = X   ( I X ) 1
(3)
Calculation of the Influence Degree, Affected Degree, Centrality, Causality, and Weight Values of the Indicators. The results are shown in Figure 5 and Table 7.
The influence degree refers to the sum of each row element in the matrix O, representing the overall influence of the factors in that row on all other factors. It is denoted as Mi and calculated using the formula:
M i = J = 1 n x i j ,   ( i = 1,2 , , n )
The being influenced degree refers to the sum of each column element in the matrix O, representing the overall influence of the factors in that column on all other factors. It is denoted as Ni and calculated using the formula:
N i = J = 1 n x i j ,   ( i = 1,2 , , n )
Centrality reflects the importance of elements within the assessment framework and the strength of their influence. The centrality of a specific element is determined by the sum of its influence on other elements and the sum of its influences. It is denoted as Ci and calculated using the formula:
                    C i = M i + N i            
Causality is determined by the difference between the influence and the influence received by the element, denoted as Ri, and calculated using the formula:
R i = M i N i
The weight value calculation, denoted as Di, is computed using the formula:
D i = C i i = 1 n C i

4.2.2. Kano Model for Adjusting Weights

Professor Noriaki Kano developed the Kano model based on the dual-factor theory [65]. According to user satisfaction with various attributes, these can be classified into five categories (Figure 6): Must-be quality (M): User satisfaction does not significantly increase with improvements in service level, but if the service level drops, satisfaction decreases significantly; Attractive quality (A): When the service level improves, user satisfaction increases significantly, but even if the service level is insufficient, satisfaction does not decrease significantly; One-dimensional quality (O): User satisfaction changes correspondingly with variations in the service level; Indifferent quality (I): User satisfaction remains unchanged regardless of how the service level changes; Reverse quality (R): As the service level improves, user satisfaction decreases [66]. Based on the Kano model, we can effectively distinguish between the satisfactory and unsatisfactory needs of elderly residents, allowing us to more accurately identify the differences in needs among different user groups and adopt more scientific methods to meet these needs [67]. Geng et al. [68] believe that combining DEMATEL and the Kano model can more effectively evaluate the interactions between indicators while emphasizing the critical role of users in selecting schemes and integrating both deterministic and uncertain information, thereby enhancing the reliability of the evaluation. To effectively evaluate the outcomes of renovation updates, we can use the Kano model and conduct surveys to measure evaluation indicators.
According to the 552 survey questionnaires collected in Section 2.3, the Kano model classification results for the urban community aging-friendly renovation evaluation indicators were determined based on the highest frequency method, as detailed in Table 8. In this study, we adopted the Kano model weight optimization method mentioned in the literature [69]. According to this method, we set the values of the Kano attributes A, O, M, and I to 4, 2, 1, and 0 respectively, and, correspondingly, set the adjustment coefficients μ . Here, Ki represents the adjusted weight value, while Fi represents the influence weight among the indicators. The calculated results are shown in Table 9.
K i = F i μ j = 1 n F i μ

4.3. Determining Comprehensive Indicator Weights

By applying the EWM to determine the initial weights, we can effectively reduce the subjective judgment impact of decision makers in the decision-making process, thereby enhancing the objectivity of the decisions. Simultaneously, the DEMATEL method is introduced to adjust the inter-influence weights among the evaluation indicators, and the Kano model is utilized to further optimize these indicators. Combining these two methods allows for a more effective analysis of the critical roles of evaluation indicators in the validation of age-friendly design schemes for intelligent products, determining the comprehensive weights of the indicators (Table 10).
G i = D i V i K i i = 1 n D i V i K i

4.4. TOPSIS Optimal Evaluation Scheme

Technique for Order Preference by Similarity to an Ideal Solution (TOPSIS) is a scientific method widely used in multi-objective decision analysis for finite schemes. This method normalizes the original matrix to determine the best and worst schemes from numerous options, and calculates the distance between each evaluation object and these best and worst schemes [70]. By measuring the proximity of evaluation objects to the best schemes, we establish criteria for judging superiority and inferiority. The application of this method provides decision makers with effective evaluation and data screening guidance, facilitating the achievement of target optimization. This study refers to the TOPSIS calculation method described in Reference [71].
(1)
Construction of the urban community aging-friendly renovation evaluation matrix. In this analysis, we set two types of indicators: first, horizontal evaluation indicators, assuming there are m in total; second, vertical case samples, assuming there are n in total. For the collected data, we will conduct normalization to ensure the accuracy of the analysis, constructing matrix G = u 11 u 1 m     u n 1 u n m . After normalization, we obtain matrix J. The normalized values are obtained by running the formula:
J i j = u i j i = 1 n u i j 2
(2)
Normalization and construction of the weighted matrix. According to the comprehensive indicator weight Gi and the normalized matrix Jij, matrix Qij is obtained through weighting. The results are shown in Table 11.
Q i j = G i J i j ( i = 1,2 , , n ; j = 1,2 , , m )
(3)
The calculation of positive and negative ideal solutions, using the formulas:
Z + = ( z 1 + , z 2 + , , z m + = ( max z 11 , z 21 , , z n 1 , max z 12 , z 22 , , z n 2 , , max z 1 M , z 2 M , , z n m )
Z = ( z 1 , z 2 , , z m = ( min z 11 , z 21 , , z n 1 , min z 12 , z 22 , , z n 2 , , min z 1 M , z 2 M , , z n m )
(4)
Calculation of the Euclidean distance, using the formulas:
O i + = j = 1 m   ( z j + z i j ) 2
O i = j = 1 m   ( z j z i j ) 2
(5)
Calculation of the relative closeness, where a higher value indicates a more reasonable evaluation of indicators. The results are shown in Table 12.
X i = O i O i + O i +

5. Results

5.1. Case Results’ Verification

Based on the ranking and optimal selection process of the urban community elderly adaptation schemes formulated in the study, we need to further verify the rationality and superiority of this method. Therefore, under different weighting methods, we compared and analyzed the optimal selection results of the renovation schemes to evaluate the impact of weight values on the results. M1 adopts the EWM method as the evaluation framework, ignoring the potential interaction between evaluation indicators and the influence of residents’ needs on these indicators. M2 integrates the DEMATEL method based on EWM, thereby incorporating the interaction between evaluation indicators. M3 emphasizes the role of resident needs in evaluation indicators by combining EWM and the Kano model. M4 combines EWM, DEMATEL, and the Kano model, comprehensively considering the interaction between evaluation indicators and the extensive influence of residents’ needs on these indicators. M5 represents the value of Xi in Table 12. At the same time, for the calculations of M1~M4, we used a unified mathematical method to ensure the consistency of the comparison results. The difference in calculation results between M4 and M5 is due to the minor errors generated when retaining decimal places, which have almost no impact on the priority ranking of evaluation indicators. See Table 13 and Table 14, and Figure 7 and Figure 8 for the calculation results.
Through the analysis of the results, it can be observed that the curves for weighting methods M1 and M2 fluctuate relatively smoothly, indicating that the distinction between the weights of the evaluation indicators is not significant. This situation leads to highly similar outputs of evaluation plans, lacking necessary differentiation. Evaluation plan rankings for weighting methods M3 and M4 are consistent, as indicated in Figure 8. We conclude that M3 and M4 share the same ranking in the evaluation plans of weighting methods. However, M4 demonstrates a more detailed performance in the allocation of weights to evaluation indicators, indicating its scientific and rational consideration of balancing resident needs with the weights of each indicator. This scientific and rational approach enables us to more efficiently identify the most suitable plans for aging-friendly renovation. The community aging-friendly renovation evaluation model constructed based on the EWM, DEMATEL, and Kano model not only meets the specific requirements of this study but also effectively guides urban communities in aging-friendly renovations.

5.2. Improving Design Plans

5.2.1. Design and Renovation Principles

Based on the survey results, it was found that the six evaluation indicators of public participation level, public ancillary facilities, green space layout, living environment building, health service support, and accessible design all have a direct positive correlation with the age-friendly renovation of urban communities. In addition, the weight of the evaluation indicators also reflects the following characteristics:
(1)
The accessible design indicator is the most important criterion for measuring the age-friendly renovation of urban communities. It reflects the diverse increase in the demand for accessibility discovered through the questionnaire survey among urban residents. These demands not only include the built environment and indoor spaces but also involve public facilities and leisure and entertainment products, from the physical space to the accessibility of information exchange.
(2)
Health-oriented design is the primary principle of age-friendly renovation. However, when assessing the impact factors of age-friendly renovations in urban communities, the layout of green spaces is considered by the elderly group to be the least important of the first-level indicators. This indicates a lack of emphasis on green sustainable development among the elderly population.
(3)
During the questionnaire survey process, many elderly residents reported that due to the lack of sufficient public supporting facilities, they often have to use green spaces and public transportation spaces for activities, which brings safety hazards. This situation is in line with the weight of the evaluation indicator regarding the completeness of public supporting facilities in age-friendly renovations.

5.2.2. Design and Renovation Pathways

Based on the analysis results of the evaluation indicators and corresponding needs, it is evident that the design concept for community aging-friendly renovations needs to focus on three aspects: public ancillary facilities, green space layout, and accessible design.
(1)
Public ancillary facilities: By establishing a collaborative mechanism, we can effectively integrate scattered community service facilities into a unified public service space. At the same time, considering the specific situation of the community and the needs of residents of all ages, we will add diverse personalized service projects. Our goal is to create a multifunctional home-based elderly care center that integrates services, fitness, and organization, and establish a comprehensive public service system.
(2)
Green space layout: Utilizing the scattered spaces within the community, autonomous gardens created and managed jointly by local seniors and design teams adopt sustainable design and maintenance concepts. These gardens serve multiple purposes, as they support various activities such as planting, gardening, and ecological education. Additionally, they play a vital role in promoting ecological awareness within the community, encouraging green and low-carbon lifestyles, fostering a sense of belonging among community members, and contributing to the physical health and well-being of residents.
(3)
Accessible design: Through comprehensive transformation of the community environment, we have tailored friendly living spaces for the elderly. During the renovation process, we not only considered ergonomic design concepts but also paid special attention to residents’ individualized needs. This includes installing barrier-free facilities, eliminating steep slopes in front of doors, and setting clear barrier-free signage. In addition, ample open space has been intentionally preserved in the community’s public activity areas and green spaces to ensure easy access for wheelchair users. Specific improvement design plans can be seen in Figure 9.

6. Discussion

6.1. Characteristics

This study, based on the theory of the social–ecological–technological system, constructs a conceptual model and an index system for the evaluation of aging-friendly transformation in urban communities, and uses the EWM–DEMATEL–Kano model to assess the urban communities of Dalian City. The results show that the weights of the six key indicators for the age-friendly transformation of urban communities are as follows: public participation level (0.0659), public ancillary facilities (0.1870), green space layout (0.0615), living environment building (0.0732), health services support (0.0755), and accessible design (0.5370). Among them, the weight of barrier-free design is the highest, indicating that when promoting the age-friendly transformation of urban communities, we must first consider whether the content and form of barrier-free services can fully meet the needs of the elderly, and whether the design of these services is reasonable. Next, attention should be paid to whether the construction of public ancillary facilities can improve quality and speed. According to the satisfaction evaluation of the Kano model, the layout of green spaces scored the lowest, which indicates that there is still great potential for improving the satisfaction of the elderly with the ecological age-friendly transformation of the community.

6.2. Limitations

(1)
This study selected six representative urban communities and explored age-friendly renovations from multiple perspectives. However, due to the limited sample size, these research results cannot fully reflect the overall aging trend of society. Even among similar communities, there are significant differences, especially in terms of the age composition of the population. Therefore, future research needs to further explore the relationship between the age structure of the community population, particularly the proportion of the elderly population, and the effectiveness of age-friendly renovations. To more accurately grasp the living conditions and needs of the elderly population, it is necessary to increase the sample size of surveys and interviews. The age-friendly renovation of communities aims to create a more convenient and comfortable social environment for elderly residents. However, in addition to physical inconveniences, the psychological needs of the elderly are also worth paying attention to. Future work can strengthen research on the emotional care of the elderly, thereby more comprehensively understanding the issue of aging and improving the standards of community age-friendly renovations from various aspects, thereby enhancing the quality of life and happiness of elderly residents.
(2)
The age-friendly of urban communities involves not only direct economic costs but also social benefits and long-term impacts. In future research, when analyzing costs, it is essential to consider the risks and uncertainties in the adaptation process and assess their impact on the total costs. From a social perspective, the cost–benefit analysis should evaluate how the project enhances the quality of life and social participation of the elderly. Ecologically, the cost analysis must include an assessment of the community’s environmental impact, especially the layout and sustainability of green spaces. On the technological front, the application of intelligent and information technologies is crucial in aging adaptations; these technologies can significantly improve the safety and convenience of elderly living but also require a balance of cost-effectiveness and the elderly’s acceptance of technology. By considering these factors comprehensively, we can more fully assess the cost-effectiveness of aging adaptations in urban communities, ensuring that the project meets the actual needs of the elderly, is economically feasible, and promotes the overall development of the community.

6.3. Prospects

Creating a living and environmental adaptation to the needs of the elderly is the basic premise for achieving modern intelligent elderly care. This goal has gradually become the core strategy for the global response to the trend of population aging. Currently, China is still in the exploratory stage of dealing with population aging, facing its main challenges, which include the relatively late emergence of aging phenomena, insufficient early research foundation, and relative lack of governance practical experience. Constructing a comprehensive evaluation index system for the age-friendly transformation of urban communities can provide a solid basis for objectively assessing the quality of basic elderly care services. To effectively enhance the effects of aging-friendly transformation, China, in the future, needs to deeply analyze the domestic situation and also widely draw on advanced international experiences. For example, it can learn from the universal coverage of the elderly care system in Eastern Europe [72], the market-driven operation mechanism of large elderly communities in the United States [73], the people-friendly characteristics of the community care model in the United Kingdom [74], and the guarantee strength of the long-term care insurance system in Japan [75].

7. Conclusions

Currently, there is a phenomenon of desynchronization between the research and design of aging-friendly transformation in Chinese urban communities and the formulation and implementation of national policies. Some conclusions from the research on age-friendly transformation show a lag, and the design strategies they propose are only suitable for the construction conditions at the time of the study. Especially considering that the country is actively promoting the coordinated development of the elderly cause and industry, and striving to build and improve a universal and diversified elderly care service system, this desynchronization phenomenon is particularly evident. Against this background, building an ecologically livable community environment and improving the living quality of urban elderly residents are of great significance in promoting healthy social development and sustainable construction. The theoretical and practical contributions of this study can provide a comprehensive analytical framework aimed at guiding future age-friendly retrofitting efforts and ensure that their design and implementation are better adapted to the needs of the elderly.
Theoretical Contributions:
(1)
“Urban renewal, technological iteration, and ecosystem research” are significant issues of concern across multidisciplinary fields against the backdrop of global aging and sustainable development. This study, through on-site surveys, has conducted a detailed analysis of the current situation of age-friendly modifications in communities of Dalian City, Liaoning Province, China, and has clearly delineated the existing problems and the organization patterns of residential spaces. Based on the theory of social–ecological–technological systems, it has comprehensively analyzed various factors such as the living environment, lifestyle, and housing needs of the elderly, and established six key evaluation indicators: public participation level, public ancillary facilities, green space layout, living environment building, health service support, and accessible design. The aim of this study is to provide guidance for the living environment and community renewal construction for the elderly in cities, with the hope of offering valuable suggestions to improve the theoretical system of age-friendly modifications.
(2)
This study innovatively applies the social–ecological–technological systems model to the field of aging services and, based on this, constructs an evaluation model and design evaluation indicators. This marks a new exploration of the evaluation index system for the age friendliness of urban communities. Compared with other age-friendly evaluation models, the core of this model lies in identifying and defining from the perspective of stakeholders, emphasizing the impact and role of different stakeholders in the age friendliness of urban communities, which is highly consistent with the community characteristics of urban community aging adaptation. Using this model as an evaluation tool can break through the limitations of a single perspective, comprehensively consider the co-construction, co-governance, and sharing relationships among community members such as the government, elderly residents, technical personnel, and environmental regulatory agencies, and thus more comprehensively evaluate and observe the current situation of urban community aging adaptation, providing guidance for its management and operation.
Practical Contributions:
(1)
The construction of an evaluation index system for the aging adaptation of urban community renovations is crucial for the government to formulate and implement more precise and effective age-friendly policies. This system enables the government to accurately identify the specific needs of the elderly in their living environment and the challenges they face. By analyzing this detailed information, the government can clarify the key areas and priorities for aging adaptation, ensuring the efficient allocation of resources. Therefore, in the process of urban renewal and community renovation, the needs of the elderly can be more comprehensively considered. In addition, the evaluation index system can serve as a monitoring tool for the implementation of policies, helping the government to supervise and evaluate the execution of aging adaptation projects, thereby ensuring the achievement of policy goals.
(2)
The evaluation index system for the age friendliness of urban community renovations not only clarifies the actual needs of the elderly but also points out the market direction for related industries, promoting precise positioning and service innovation. This index system can significantly enhance the positioning and service quality of the community, accelerating the technological progress and service upgrade of the industry. Utilizing these indicators, related industries can more effectively plan community renovations and services to meet market demands, thereby enhancing their market competitiveness. Moreover, the system encourages enterprises to engage in research and innovation, creating more community environments and planning schemes suitable for the elderly, which helps to form a comprehensive and competitive aging industry ecosystem.

Author Contributions

Conceptualization, H.Z.; methodology, J.Z.; software, H.Z.; validation, H.Z. and H.L.; formal analysis, H.Z. and T.Q.; investigation, H.L.; data curation, H.Z. and P.F.; writing—original draft preparation, H.Z.; writing—review and editing, J.Z.; supervision, J.Z.; project administration, J.Z.; funding acquisition, J.Z. All authors have read and agreed to the published version of the manuscript.

Funding

This research was funded by the National Social Science Fund of China’s Major Project in the Field of Arts “Research on the Design of China’s Urban Image” (Grant Number: 22ZD18) and Key Projects of Scientific Research in Universities of Anhui Province “Research on the Design of Smart Products for Aging Adaptation Oriented to a Society Friendly to the Elderly” (Grant Number: 2023AH050228).

Institutional Review Board Statement

The study was conducted according to the guidelines of the Declaration of Helsinki and approved by the Medical Ethics Committee of Jiangnan University (JNU202312IRB02). Project Initiation Date: 28 December 2023, Project Name: “Construction and Empirical Study of the Evaluation Index System for Age-Friendly Urban Communities in China”.

Informed Consent Statement

Not applicable.

Data Availability Statement

Data are contained within the article.

Conflicts of Interest

The authors declare no conflicts of interest.

Appendix A

Table A1. Basic Information of Experts.
Table A1. Basic Information of Experts.
ExpertGenderSeniorityDegreeResearch DirectionProfessional Rank
1Female28MasterUrban Planning & Technical ScienceDoctoral Supervisor
(Professor of Urban Planning)
2Male19Ph.DAge-friendly Design & Environmental DesignMaster’s supervisor
(Professor of Design)
3Male17Ph.DPublic Architecture Design and TheoryMaster’s supervisor
(Professor of Architecture)
4Female25Ph.DAccessible Universal Design and TheoryMaster’s supervisor
(Professor of Design)
5Female31MasterSpatial Planning & Ecological RestorationDoctoral Supervisor
(Professor of Architecture)
6Male16MasterSettlements Renewal & Housing PlanningMaster’s supervisor
(Professor of Urban Planning)
7Female15Ph.DInterior Design & Public ArtDoctoral Supervisor
(Professor of Design)
8Male22Ph.DRegional Development & Spatial PlanningMaster’s supervisor
(Professor of Urban Planning)
9Female26MasterBuilding Technology Sciences Master’s supervisor
(Professor of Architecture)

Appendix B

Table A2. Expert Consultation Form.
Table A2. Expert Consultation Form.
Expert Basic Information Collection Form
1. Your Name:  Workplace:  Phone Number:  E-mail:
2. Your Current Job Position:
3. Your Current Professional Rank:
4. Your Age: (1) <40  (2) 40~49    (3) 50~59    (4) ≥60
5. Your level of education: (1) Bachelor    (2) Master    (3) Ph.D
6. Your years of work experience:
7. Your Affiliation Type: (1) Higher Education Institution    (2) Research Institute
8. Your Current Field of Expertise:
9. Your familiarity with the current age-friendly urban community transformation:
(1) very familiar    (2) familiar    (3) average    (4) not very familiar    (5) completely unfamiliar
10. Do you have work or research experience in the following areas:
(1) management work experience    (2) policy experience    (3) indicator analysis experience
Urban Community Age-Friendly Evaluation Index Solicitation Form
This study proposes six urban community aging adaptation evaluation indicators based on the three dimensions of the social–ecological systems theory. If you agree with them, please mark a ‘√’ in the ‘Agree’ column; otherwise, please mark an ‘×’ in the ‘Agree’ column, and also provide suggestions for modification, or write your own views in the ‘Suggestion’ column.
IndicatorNumberIndicator DescriptionAgreeSuggestion
public participation levelARefers to the level of involvement of elderly community residents in the renovation process, including their suggestions on the renovation plan, impact on the decision-making process, and feedback on the outcomes of the renovation.
public ancillary facilitiesBRefers to a series of public services and facilities designed and equipped to meet the special needs of the elderly, such as accessible passages, rest areas, fitness equipment, etc.
green space layoutCRefers to the special consideration of the leisure and activity needs of the elderly in community planning, with the rational allocation of green spaces, gardens, walking paths, and other natural landscapes.
living environment buildingDRefers to creating a convenient, healthy, and harmonious living space for the elderly by improving the safety, accessibility, comfort, and sociability of the living environment.
health service supportERefers to providing easily accessible medical care, rehabilitation services, and health promotion within the community to ensure that the elderly can receive timely and effective health support and care.
accessible designFRefers to the adoption of universal design principles in community planning and architectural design to ensure that all facilities and services are easily accessible and usable for the elderly and others with mobility impairments, including but not limited to barrier-free ramps, wide doorways, high-contrast signage, and emergency call systems.

Appendix C

Table A3. Satisfaction Survey Questionnaire.
Table A3. Satisfaction Survey Questionnaire.
Urban Community Age-Friendly Renovation Satisfaction Survey Questionnaire
Hello! Thank you for participating in this survey. This is a questionnaire about the satisfaction with the age-friendly renovation of urban communities. This survey is conducted anonymously, there is no right or wrong answer, and the results will only be used for academic research. We will strictly keep your answers confidential, and they will not cause any adverse effects to you personally or to your community. Please answer the questions based on your actual situation. Your cooperation will be of great help for the effective conduct of this research.
Thank you for your support and cooperation!
Research Group
January 2024
Part I: Basic Information
Please directly mark a ‘√’ on the option that best fits your actual situation, or fill in your own situation or opinion on the ‘__’. Unless otherwise specified, only one option should be marked for each question.
1. Your GenderA. MaleB. Female
2. Your AgeA. 60~64B. 65~69C. 70~74D. 75~79E. ≥80
3. Your Level of EducationA. Primary School or belowB. Junior High School
C. High SchoolD. Bachelor’s degree or above
4. Your Marital StatusA. With spouseB. Without spouse
5. Your Income SituationA. <3000B. 3000~6000C. >6000
6. Your Health StatusA. WellnessB. GeneralC. Unhealthy
7. Your Length of ResidenceA. <10B. 10~20C. >20
8. Your Residency StatusA. Living aloneB. Living with family
9. Your Frequency of Going OutA. <1B. 1~3C. >3
Part II: Urban Community Age-Friendly Satisfaction Survey
Please mark a ‘√’ directly on the corresponding score, where the scores range from 1 to 5, representing ‘Very Dissatisfied’, ‘Somewhat Dissatisfied’, ‘Neutral’, ‘Somewhat Satisfied’, and ‘Very Satisfied’ respectively. That is, the smaller the number, the less you agree with the following items; the larger the number, the more you agree with the following items.
Please evaluate the following items based on the actual situation of the community, and choose an appropriate number from 1 to 5 (Public Participation Level):Very DissatisfiedSomewhat DissatisfiedNeutralSomewhat SatisfiedVery Satisfied
How satisfied are you with the public participation mechanism in the community’s age-friendly renovation process?12345
How do you rate the efficiency and effectiveness of the community in collecting and adopting residents’ opinions during the age-friendly renovation?12345
In the age-friendly renovation project, how satisfied are you with the communication channels and feedback mechanisms provided by the community?12345
Please evaluate the following items based on the actual situation of the community, and choose an appropriate number from 1 to 5 (Public Ancillary Facilities):Very DissatisfiedSomewhat DissatisfiedNeutralSomewhat SatisfiedVery Satisfied
Do you think the location of the public facilities in this community is convenient for your daily access?12345
Are you satisfied with the maintenance and cleanliness of the public facilities in your community?12345
Do you feel that the public facilities in your community meet the diverse needs of you and your family?12345
Please evaluate the following items based on the actual situation of the community, and choose an appropriate number from 1 to 5 (Green Space Layout):Very DissatisfiedSomewhat DissatisfiedNeutralSomewhat SatisfiedVery Satisfied
Are you satisfied with the coverage of green spaces in your community, such as parks and greenways?12345
Do you think the green spaces in your community, such as parks and gardens, are safe for the elderly?12345
Do you feel satisfied with the multifunctionality of the green spaces in your community, including features like leisure seating and social interaction spaces?12345
Please evaluate the following items based on the actual situation of the community, and choose an appropriate number from 1 to 5 (Living Environment Building):Very DissatisfiedSomewhat DissatisfiedNeutralSomewhat SatisfiedVery Satisfied
Do you think the community has adequately considered safety in its aging-friendly renovations for the living environment?12345
Are you satisfied with the aging-friendly modifications made to the transportation facilities in your community?12345
Are you satisfied with the accessibility of information and services provided by your community in the context of aging-friendly renovations?12345
Please evaluate the following items based on the actual situation of the community, and choose an appropriate number from 1 to 5 (Health Service Support):Very DissatisfiedSomewhat DissatisfiedNeutralSomewhat SatisfiedVery Satisfied
Are you satisfied with the convenience of medical services provided in your community, such as clinics, hospitals, and first-aid stations?12345
Are you satisfied with the variety and participation level of health promotion activities organized by your community, such as health lectures, physical examinations, and fitness guidance?12345
Are you satisfied with the availability and effectiveness of the psychological health support provided by your community, such as psychological counseling services and emotional support groups?12345
Please evaluate the following items based on the actual situation of the community, and choose an appropriate number from 1 to 5 (Accessible Design):Very DissatisfiedSomewhat DissatisfiedNeutralSomewhat SatisfiedVery Satisfied
Are you satisfied with the coverage of accessible facilities in our community? This includes whether public areas, residential entrances, elevators, and other facilities are equipped with barrier-free access.12345
Do you find the barrier-free signs in our community clear and easy to understand, and do they effectively help the elderly locate accessible facilities?12345
Are you satisfied with the thoughtfulness of the accessible design in our community? This involves whether the facilities have taken into account the usage habits and physical conditions of the elderly.12345

Appendix D

Table A4. Basic Information of Questionnaire.
Table A4. Basic Information of Questionnaire.
ProjectsCharacteristicsFull-SampleOnline ResearchOffline Research
FrequencyPercentageFrequencyPercentageFrequencyPercentage
GenderMale28351.27%12851.83%15550.82%
Female26948.73%11948.17%15049.18%
Age groups60~647012.68%2535.71%4564.29%
65~6913424.28%5238.81%8261.19%
70~7414125.54%6747.52%7452.48%
75~7912522.64%6048%6552%
≥808214.86%4352.44%3947.56%
EducationPrimary and below16229.35%5232.1%11067.9%
Middle school23642.75%10946.19%12753.81%
High school11921.56%6050.42%5949.58%
Bachelor and above356.34%2674.29%925.71%
MarriageWith spouse31456.88%13843.95%17656.05%
Without spouse23843.12%10945.8%12954.2%
Incomes
(CNY)
<300026447.83%10640.15%15859.85%
3000~600019034.42%9851.58%9248.42%
>60009817.75%4343.88%5556.12%
HealthWellness26848.55%8933.21%17966.79%
General17932.43%8547.49%9452.51%
Unhealthy10519.02%7369.52%3230.48%
Length of residency (year)<1018232.97%8446.15%9853.85%
10~2025746.56%10239.69%15560.31%
>2011320.47%6153.98%5246.02%
Residing statusLiving alone34161.78%15043.99%19156.01%
Living with family21138.22%9745.97%11454.03%
Frequency of going out (per day)<1458.15%3577.78%1022.22%
1~321639.13%11955.1%9744.9%
>329152.72%9331.96%19868.04%

References

  1. Lu, W.Z.; Qiu, B.X.; Wu, Y.Z. Exploration of urban community renewal governance for adaptive improvement. Habitat. Int. 2024, 144, 102999. [Google Scholar] [CrossRef]
  2. Xu, S.T.; Chen, M.L.; Yuan, B.F.; Zhou, Y.H.; Zhang, J.G. Resident Satisfaction and Influencing Factors of the Renewal of Old Communities. J. Urban Plan. Dev. 2024, 150, 04023061. [Google Scholar] [CrossRef]
  3. Xie, L.L. Age-Friendly Communities and Life Satisfaction Among the Elderly in Urban China. Res. Aging 2018, 40, 883–905. [Google Scholar] [CrossRef] [PubMed]
  4. Hirai, T. “Double Ageing” in the High-Rise Residential Buildings of Tokyo. Urban Plan. 2022, 7, 313–324. [Google Scholar] [CrossRef]
  5. Davern, M.; Winterton, R.; Brasher, K.; Woolcock, G. How Can the Lived Environment Support Healthy Ageing? A Spatial Indicators Framework for the Assessment of Age-Friendly Communities. Int. J. Environ. Res. Public Health 2020, 17, 7685. [Google Scholar] [CrossRef] [PubMed]
  6. Radermacher, H.; Karunarathna, Y.; Grace, N.; Feldman, S. Partner or perish? Exploring inter-organisational partnerships in the multicultural community aged care sector. Health Soc. Care Community 2011, 19, 550–560. [Google Scholar] [CrossRef]
  7. Lehning, A.; Scharlach, A.; Wolf, J.P.; Davitt, J.; Wiseman, H. Perceived Challenges to the Sustainability of Community-Based Aging Initiatives: Findings from a National Study of Villages. J. Gerontol. Soc. Work 2015, 58, 684–702. [Google Scholar] [CrossRef] [PubMed]
  8. Pan, L.; Sun, J.; Zhou, R.T. Research on the Construction of Age-Friendly Community Based on Fuzzy Comprehensive Evaluation Model: Evidence from Community in Hefei of China. Risk Manag. Healthc. Policy 2021, 14, 3841–3852. [Google Scholar] [CrossRef] [PubMed]
  9. Greenfield, E.A.; Buffel, T. Age-Friendly Cities and Communities: Research to Strengthen Policy and Practice. J. Aging Soc. Policy 2022, 34, 161–174. [Google Scholar] [CrossRef]
  10. Chen, Y.; Bouferguene, A.; Shirgaokar, M.; Al-Hussein, M. Spatial Analysis Framework for Age-Restricted Communities Integrating Spatial Distribution and Accessibility Evaluation. J. Urban Plan. Dev. 2020, 146, 04019021. [Google Scholar] [CrossRef]
  11. Li, Y.H.; Ran, Q.C.; Yao, S.; Ding, L.K. Evaluation and Optimization of the Layout of Community Public Service Facilities for the Elderly: A Case Study of Hangzhou. Land 2023, 12, 629. [Google Scholar] [CrossRef]
  12. Mikulic, J.; Prebezac, D. A critical review of techniques for classifying quality attributes in the Kano model. Manag. Serv. Qual. 2011, 21, 46–66. [Google Scholar] [CrossRef]
  13. Raut, S.B. Applying multi-criteria decision analysis to prioritise age-friendly criteria for policy implications. Int. J. Urban Sustain. Dev. 2023, 15, 250–266. [Google Scholar] [CrossRef]
  14. Kullberg, A.; Nordqvist, C.; Lindqvist, K.; Timpka, T. Examining quality function deployment in safety promotion in Sweden. Health Promot. Int. 2014, 29, 414–426. [Google Scholar] [CrossRef] [PubMed][Green Version]
  15. Zhu, Y.L.; Zhu, B.W.; Te, Y.N.; Badarulzaman, N.B.; Xiong, L. Exploring the Key Factors of Old Neighborhood Environment Affecting Physical and Mental Health of the Elderly in Skipped-Generation Household Using an RST-DEMATEL Model. Systems 2023, 11, 104. [Google Scholar] [CrossRef]
  16. Wicki, S.; Black, B.; Kurmann, M.; Gret-Regamey, A. Archetypes of social-ecological-technological systems for managing ecological infrastructure. Environ. Res. Lett. 2024, 19, 014038. [Google Scholar] [CrossRef]
  17. Resnick, B.; Gruber-Baldim, A.L.; Pretzer-Aboff, I.; Galik, E.; Buie, V.C.; Russ, K.; Zimmerman, S.M. Reliability and validity of the evaluation to sign consent measure. Gerontologist 2007, 47, 69–77. [Google Scholar] [CrossRef]
  18. Jones, J.; Russo, A. Exploring the role of public participation in delivering inclusive, quality, and resilient green infrastructure for climate adaptation in the UK. Cities 2024, 148, 104879. [Google Scholar] [CrossRef]
  19. Bovaird, T. Beyond engagement and participation: User and community coproduction of public services. Public Adm. Rev. 2007, 67, 846–860. [Google Scholar] [CrossRef]
  20. Bennett, J.; Iossa, E. Building and managing facilities for public services. J. Public Econ. 2006, 90, 2143–2160. [Google Scholar] [CrossRef]
  21. Baek, S.G.; Kwon, H.A. Participatory Planning through Flexible Approach: Public Community Facilities in Seoul’s Urban Regeneration Project. Sustainability 2021, 12, 10435. [Google Scholar] [CrossRef]
  22. Douglas, D.; Lennon, M.; Scott, M. Green space benefits for health and well-being: A life-course approach for urban planning, design and management. Cities 2017, 66, 53–62. [Google Scholar] [CrossRef]
  23. Chen, Y.; Yue, W.Z.; La Rosa, D. Which communities have better accessibility to green space? An investigation into envi-ronmental inequality using big data. Landsc. Urban Plan. 2020, 204, 103919. [Google Scholar] [CrossRef]
  24. Frost, S.S.; Goins, R.T.; Hunter, R.H.; Hooker, S.P.; Bryant, L.L.; Kruger, J.; Pluto, D. Effects of the Built Environment on Physical Activity of Adults Living in Rural Settings. Am. J. Health Promot. 2010, 24, 267–283. [Google Scholar] [CrossRef] [PubMed]
  25. Yu, J.; Rosenberg, M.W. Aging and the changing urban environment: The relationship between older people and the living environment in post-reform Beijing, China. Urban Geogr. 2019, 41, 162–181. [Google Scholar] [CrossRef]
  26. Mancini, M.A. An Exploration of Factors that Effect the Implementation of Peer Support Services in Community Mental Health Settings. Community Ment. Health J. 2018, 54, 127–137. [Google Scholar] [CrossRef] [PubMed]
  27. Sen, Q.; Lei, Z. The impact of community care services on older people’s psychological health: An empirical study in Liaoning Province, China. Front. Public Health 2023, 11, 1199830. [Google Scholar] [CrossRef] [PubMed]
  28. Ma, Y.H.; Siu, K.W.M.; Zou, G.T. Contradictory and consistent views on designing an inclusive community-based centre for older people: A mixed-methods study of different age groups in China. Aging Soc. 2020, 40, 1867–1886. [Google Scholar] [CrossRef]
  29. Guo, J.; Yanai, S.; Kodama, T. Factors influencing the use of and attitude toward community gardens in aged care facilities: The managers’ perspective. Urban For. Urban Green. 2022, 70, 127524. [Google Scholar] [CrossRef]
  30. Akimov, A.V.; Gemueva, K.A.; Semenova, N.K. The Seventh Population Census in the PRC: Results and Prospects of the Country’s Demographic Development. Her. Russ. Acad. Sci. 2021, 91, 724–735. [Google Scholar] [CrossRef]
  31. Gordon-Larsen, P.; McMurray, R.G.; Popkin, B.M. Determinants of adolescent physical activity and inactivity patterns. Pedi-atrics 2000, 105, e83. [Google Scholar] [CrossRef] [PubMed]
  32. Bec, A.; Moyle, C.L.J.; Moyle, B.D. Community Resilience to Change: Development of an Index. Social Indic. Res. 2019, 142, 1103–1128. [Google Scholar] [CrossRef]
  33. Song, L.; Kong, X.S.; Cheng, P. Supply-demand matching assessment of the public service facilities in 15-minute community life circle based on residents’ behaviors. Cities 2023, 144, 104637. [Google Scholar] [CrossRef]
  34. Fang, K.L.; Wu, Y.F.; Jiao, L. Community Governance in Age-Friendly Community Regeneration-A Case Study on Installing Elevators in Old Residential Buildings. Buildings 2024, 14, 125. [Google Scholar] [CrossRef]
  35. James, B.L.; Saville-Smith, K. Designing housing decision-support tools for resilient older people. Archit. Sci. Rev. 2018, 61, 305–312. [Google Scholar] [CrossRef]
  36. Su, X.M.; Wang, S. Research on functional space of community-based medical-nursing combined facilities for the aged in small cities. J. Asian Archit. Build. Eng. 2021, 21, 1399–1410. [Google Scholar] [CrossRef]
  37. Aksoy, E.; Korkmaz-Yaylagul, N. Assessing Liveable Cities for Older People in an Urban District in Turkey Using the Ana-lytical Hierarchy Process. Urban Plan. 2019, 4, 83–95. [Google Scholar] [CrossRef]
  38. Zhou, Z.J.; Wang, L.; Dong, Y.B. Research on innovative design of community mutual aid elderly care service platform based on Kano model. Heliyon 2023, 9, e15546. [Google Scholar] [CrossRef] [PubMed]
  39. Chum, K.; Fitzhenry, G.; Robinson, K.; Murphy, M.; Phan, D.; Alvarez, J.; Hand, C.; Rudman, D.L.; McGrath, C. Examining Community-Based Housing Models to Support Aging in Place: A Scoping Review. Gerontologist 2022, 62, E178–E192. [Google Scholar] [CrossRef]
  40. Xu, Y.X.; Liu, H.; Su, S.; Mao, P. Ageing Suitability Evaluation of Residential Districts Based on Active Ageing Theory. Buildings 2023, 13, 1041. [Google Scholar] [CrossRef]
  41. Chen, J.L.; Pellegrini, P.; Wang, H.Q. Comparative Residents’ Satisfaction Evaluation for Socially Sustainable Regenera-tion-The Case of Two High-Density Communities in Suzhou. Land 2022, 11, 1483. [Google Scholar] [CrossRef]
  42. Ide, K.; Jeong, S.; Tsuji, T.; Watanabe, R.; Miyaguni, Y.; Nakamura, H.; Kimura, M.; Kondo, K. Suggesting Indicators of Age-Friendly City: Social Participation and Happiness, an Ecological Study from the JAGES. Int. J. Environ. Res. Public Health 2022, 19, 5096. [Google Scholar] [CrossRef]
  43. Yadav, A.; Singh, R.K.; Mishra, R.; Bag, S. Perceived challenges affecting user engagement in online community: An analysis of interrelationships and interaction. Benchmarking 2023, 31, 1320–1349. [Google Scholar] [CrossRef]
  44. Sun, G.S.; Li, M.Z.; Dong, J.Y.; Wan, S.P.; Feng, J. Evaluation of Key Factors for Promoting Green Construction Practices Based on a Hybrid Decision-Making Framework: A Case Study on the Renovation of Old Residential Communities in China. Axioms 2023, 12, 971. [Google Scholar] [CrossRef]
  45. Tseng, M.L.; Lin, C.Y.; Lin, C.W.R.; Wu, K.J.; Sriphon, T. Ecotourism development in Thailand: Community participation leads to the value of attractions using linguistic preferences. J. Clean. Prod. 2019, 231, 1319–1329. [Google Scholar] [CrossRef]
  46. Sen, M.K.; Dutta, S.; Kabir, G. Evaluation of interaction between housing infrastructure resilience factors against flood hazard based on rough DEMATEL approach. Int. J. Disaster Resil. 2021, 12, 555–575. [Google Scholar] [CrossRef]
  47. Sun, G.S.; Tang, X.R.; Wan, S.P.; Feng, J. An Extended Fuzzy-DEMATEL System for Factor Analyses on Social Capital Selection in the Renovation of Old Residential Communities. CMES Comput. Model. Eng. Sci. 2022, 134, 1041–1067. [Google Scholar] [CrossRef]
  48. Polojaervi, D.; Palmer, E.; Dunford, C. A systematic literature review of sociotechnical systems in systems engineering. Syst. Eng. 2023, 26, 482–504. [Google Scholar] [CrossRef]
  49. Dell, N.A.; Maynard, B.R.; Murphy, A.M.; Stewart, M. Technology for Research Synthesis: An Application of Sociotechnical Systems Theory. J. Soc. Soc. Work. Res. 2021, 12, 201–222. [Google Scholar] [CrossRef]
  50. Rocha, J.; Malmborg, K.; Gordon, L.; Brauman, K.; DeClerck, F. Mapping social-ecological systems archetypes. Environ. Res. Lett. 2020, 15, 034017. [Google Scholar] [CrossRef]
  51. Herrmann, D.L.; Schwarz, K.; Allen, C.R.; Angeler, D.G.; Eason, T.; Garmestani, A. Iterative scenarios for social-ecological systems. Ecol. Soc. 2021, 26, 260408. [Google Scholar] [CrossRef] [PubMed]
  52. Branny, A.; Moller, M.S.; Korpilo, S.; McPhearson, T.; Gulsrud, N.; Olafsson, A.S.; Raymond, C.M.; Andersson, E. Smarter greener cities through a social-ecological-technological systems approach. Curr. Opin. Env. Sust. 2022, 55, 101168. [Google Scholar] [CrossRef]
  53. Sharifi, A. Resilience of urban social-ecological-technological systems (SETS): A review. Sustain. Cities Soc. 2023, 99, 104910. [Google Scholar] [CrossRef]
  54. Ferraro, F.R.; Muehlenkamp, J.J.; Paintner, A.; Wasson, K.; Hager, T.; Hoverson, F. Aging, Body Image, and Body Shape. J. Gen. Psychol. 2008, 135, 379–392. [Google Scholar] [CrossRef] [PubMed]
  55. Foody, G.M. Status of land cover classification accuracy assessment. Remote Sens. Environ. 2002, 80, 185–201. [Google Scholar] [CrossRef]
  56. Shemshadi, A.; Shirazi, H.; Toreihi, M.; Tarokh, M.J. A fuzzy VIKOR method for supplier selection based on entropy measure for objective weighting. Expert Syst. Appl. 2011, 38, 12160–12167. [Google Scholar] [CrossRef]
  57. Chen, P.Y. Effects of the entropy weight on TOPSIS. Remote Sens. Environ. 2021, 168, 114186. [Google Scholar] [CrossRef]
  58. Zhou, M.; Liu, X.B.; Yang, J.B.; Chen, Y.W.; Wu, J. Evidential reasoning approach with multiple kinds of attributes and en-tropy-based weight assignment. Knowl. -Based Syst. 2019, 163, 358–375. [Google Scholar] [CrossRef]
  59. Hori, S.; Shimizu, Y. Designing methods of human interface for supervisory control systems. Control Eng. Pract. 1999, 7, 1413–1419. [Google Scholar] [CrossRef]
  60. Si, S.L.; You, X.Y.; Liu, H.C.; Zhang, P. DEMATEL Technique: A Systematic Review of the State-of-the-Art Literature on Methodologies and Applications. Math. Probl. Eng. 2018, 2018, 3696457. [Google Scholar] [CrossRef]
  61. Zhou, Q.; Huang, W.L.; Zhang, Y. Identifying critical success factors in emergency management using a fuzzy DEMATEL method. Saf. Sci. 2011, 49, 243–252. [Google Scholar] [CrossRef]
  62. Zhang, W.Q.; Deng, Y. Combining conflicting evidence using the DEMATEL method. Soft Comput. 2019, 23, 8207–8216. [Google Scholar] [CrossRef]
  63. Wu, H.H.; Chang, S.Y. A case study of using DEMATEL method to identify critical factors in green supply chain management. Appl. Math. Comput. 2015, 256, 394–403. [Google Scholar] [CrossRef]
  64. Kwartnik-Pruc, A.; Ginda, G.; Trembecka, A. Using the DEMATEL Method to Identify Impediments to the Process of Deter-mining Compensation for Expropriated Properties. Land 2022, 11, 693. [Google Scholar] [CrossRef]
  65. Matzler, K.; Hinterhuber, H.H. How to make product development projects more successful by integrating Kano’s model of customer satisfaction into quality function deployment. Technovation 1998, 18, 25–38. [Google Scholar] [CrossRef]
  66. Xu, Q.L.; Jiao, R.J.; Yang, X.; Helander, M.; Khalid, H.M.; Opperud, A. An analytical Kano model for customer need analysis. Design Stud. 2009, 30, 87–110. [Google Scholar] [CrossRef]
  67. Liu, Y.; Wang, W.W. Research on Quality Evaluation of Product Interactive Aging Design Based on Kano Model. Comput. Intell. Neurosci. 2022, 2022, 3869087. [Google Scholar] [CrossRef]
  68. Geng, X.L.; Chu, X.N. A new importance-performance analysis approach for customer satisfaction evaluation supporting PSS design. Expert Syst. Appl. 2012, 39, 1492–1502. [Google Scholar] [CrossRef]
  69. Deng, L.J.; Romainoor, N.H.; Zhang, B.L. Evaluation of the Usage Requirements of Hospital Signage Systems Based on the Kano Model. Sustainability 2023, 15, 4972. [Google Scholar] [CrossRef]
  70. Behzadian, M.; Otaghsara, S.K.; Yazdani, M.; Ignatius, J. A state-of the-art survey of TOPSIS applications. Expert Syst. Appl. 2012, 39, 13051–13069. [Google Scholar] [CrossRef]
  71. Du, S. Hybrid Kano-DEMATEL-TOPSIS model based benefit distribution of multiple logistics service providers considering consumer service evaluation of segmented task. Expert Syst. Appl. 2023, 213, 119292. [Google Scholar] [CrossRef]
  72. Kovacs, N.; Liska, O.; Idara-Umoren, E.O.; Mahrouseh, N.; Varga, O. Trends in dental care utilisation among the elderly using longitudinal data from 14 European countries: A multilevel analysis. PLoS ONE 2023, 38, e0286192. [Google Scholar] [CrossRef] [PubMed]
  73. Wang, W.J.; Durst, N.J. Planning for active aging: Exploring housing preferences of elderly populations in the United States. J. Hous. Built Environ. 2022, 38, 795–809. [Google Scholar] [CrossRef]
  74. Sallnow, L.; Paul, S. Understanding community engagement in end-of-life care: Developing conceptual clarity. J. Crit. Public Health 2015, 25, 231–238. [Google Scholar] [CrossRef]
  75. Zhou, Y.R.; Zhang, X. The Experience and Enlightenment of the Community-Based Long-Term Care in Japan. Healthcare 2022, 10, 1599. [Google Scholar] [CrossRef]
Figure 1. Urban community age-friendly retrofit evaluation model.
Figure 1. Urban community age-friendly retrofit evaluation model.
Buildings 14 02074 g001
Figure 2. Sample positioning for age friendliness in urban community.
Figure 2. Sample positioning for age friendliness in urban community.
Buildings 14 02074 g002
Figure 3. Social–ecological–technical system theoretical framework.
Figure 3. Social–ecological–technical system theoretical framework.
Buildings 14 02074 g003
Figure 4. Indicator relationships directional chart (letters represent the evaluation indicators, and numbers represent the strength values of the impact between indicators).
Figure 4. Indicator relationships directional chart (letters represent the evaluation indicators, and numbers represent the strength values of the impact between indicators).
Buildings 14 02074 g004
Figure 5. Correlation coefficient of indicator elements chart.
Figure 5. Correlation coefficient of indicator elements chart.
Buildings 14 02074 g005aBuildings 14 02074 g005b
Figure 6. Kano model [65].
Figure 6. Kano model [65].
Buildings 14 02074 g006
Figure 7. Comparison of different empowerment methods’ relative proximity (dashed lines and solid lines are used solely to enhance distinguishability and have no other implications).
Figure 7. Comparison of different empowerment methods’ relative proximity (dashed lines and solid lines are used solely to enhance distinguishability and have no other implications).
Buildings 14 02074 g007
Figure 8. Comparison of different weighting methods in empowerment (dashed lines and solid lines are used solely to enhance distinguishability and have no other implications).
Figure 8. Comparison of different weighting methods in empowerment (dashed lines and solid lines are used solely to enhance distinguishability and have no other implications).
Buildings 14 02074 g008
Figure 9. Urban community age-friendly program.
Figure 9. Urban community age-friendly program.
Buildings 14 02074 g009
Table 1. Evaluation indicator system.
Table 1. Evaluation indicator system.
Goal OrientedDoctrineDimensionExtension IndicatorCronbach’s α Reference
Validation of the Urban Community Age-Friendly Renewal ProgramSocial SystemPeoplePublic Participation Level (A)0.736Jones et al. [18]
Bovaird [19]
StructurePublic Ancillary Facilities (B)0.758Bennett et al. [20]
Baek et al. [21]
Ecological SystemNatural
Resource
Green Space Layout (C)0.731Douglas et al. [22]
Chen et al. [23]
EnvironmentLiving Environment
Building (D)
0.745Frost et al. [24]
Yu et al. [25]
Technical SystemTaskHealth Service Support (E)0.713Mancini [26]
Sen et al. [27]
TechnologyAccessible Design (F)0.769Ma et al. [28]
Guo et al. [29]
Table 2. Community samples and research contents.
Table 2. Community samples and research contents.
SamplePeopleStructureNatural
Resource
EnvironmentTaskTechnology
Sincerity Community
(C1)
Buildings 14 02074 i001Buildings 14 02074 i002Buildings 14 02074 i003Buildings 14 02074 i004Buildings 14 02074 i005Buildings 14 02074 i006
Red Plum Community
(C2)
Buildings 14 02074 i007Buildings 14 02074 i008Buildings 14 02074 i009Buildings 14 02074 i010Buildings 14 02074 i011Buildings 14 02074 i012
Red Light Community
(C3)
Buildings 14 02074 i013Buildings 14 02074 i014Buildings 14 02074 i015Buildings 14 02074 i016Buildings 14 02074 i017Buildings 14 02074 i018
Promoting Community
(C4)
Buildings 14 02074 i019Buildings 14 02074 i020Buildings 14 02074 i021Buildings 14 02074 i022Buildings 14 02074 i023Buildings 14 02074 i024
Round
Mountain Community
(C5)
Buildings 14 02074 i025Buildings 14 02074 i026Buildings 14 02074 i027Buildings 14 02074 i028Buildings 14 02074 i029Buildings 14 02074 i030
Seaview
Garden
Community
(C6)
Buildings 14 02074 i031Buildings 14 02074 i032Buildings 14 02074 i033Buildings 14 02074 i034Buildings 14 02074 i035Buildings 14 02074 i036
Table 3. Initial evaluation matrix.
Table 3. Initial evaluation matrix.
Indicator LevelAge-Friendly Community Sample
C1C2C3C4C5C6
A7.47.67.87.88.07.2
B8.27.67.67.87.48.0
C7.88.07.87.48.27.8
D8.27.47.28.07.88.0
E7.67.88.07.47.28.2
F8.07.87.68.07.68.0
Table 4. Standardized evaluation matrix.
Table 4. Standardized evaluation matrix.
Indicator LevelAge-Friendly Community Sample
C1C2C3C4C5C6
A0.3960.4060.4170.4170.4280.385
B0.4310.3990.3990.4100.3890.420
C0.4060.4170.4060.3850.4270.406
D0.4310.3890.3780.4200.4100.420
E0.4030.4130.4240.3920.3810.434
F0.4170.4060.3960.4170.3960.417
Table 5. Initial indicator weights.
Table 5. Initial indicator weights.
Index-Level IndicatorsABCDEF
Information Entropy Value0.85110.81960.87360.84490.83160.7548
Weight Value0.14890.18040.12640.15510.16840.2452
Table 6. Initial direct impact matrix.
Table 6. Initial direct impact matrix.
Evaluation IndicatorsABCDEF
A000120
B301211
C120210
D112000
E100102
F223120
Table 7. DEMATEL indicator weight results.
Table 7. DEMATEL indicator weight results.
Evaluation IndicatorsMiNiCiRiDi
A0.5781.6372.215−1.0580.152
B1.5751.0222.5970.5530.178
C1.2421.2002.4420.0410.167
D0.8641.5022.366−0.6380.162
E0.9611.2812.242−0.3210.154
F2.0820.6582.741.4230.188
Table 8. Urban community aging-friendly renovation needs and preferences classification.
Table 8. Urban community aging-friendly renovation needs and preferences classification.
Evaluation IndicatorsAOMITotalKano Category
A12216618579552M
B13721511981552O
C14515019859552M
D11214922665552M
E12917120448552M
F23315810754552A
Table 9. Indicator weight adjustment.
Table 9. Indicator weight adjustment.
Indicator-Level IndicatorsABCDEF
Weight value0.10.20.10.10.10.4
Table 10. Composite indicator weights.
Table 10. Composite indicator weights.
Indicator-Level IndicatorsABCDEF
Weight value0.06590.18700.06150.07320.07550.5370
Table 11. Weighted evaluation matrix.
Table 11. Weighted evaluation matrix.
Evaluation IndicatorsAge-Friendly Community Sample
C1C2C3C4C5C6
A0.0260.0270.0270.0270.0280.025
B0.0810.0750.0750.0770.0730.079
C0.0250.0260.0250.0240.0260.025
D0.0310.0280.0280.0310.0300.031
E0.0300.0310.0320.0300.0290.033
F0.2240.2180.2130.2240.2130.224
Table 12. Closeness degree.
Table 12. Closeness degree.
Euclidean Distance and Nearness DegreeAge-Friendly Community Sample
C1C2C3C4C5C6
O i + 0.0030.0090.0130.0060.0140.004
O i 0.0140.0070.0040.0120.0040.014
X i 0.8070.4340.2520.6830.2370.785
Rank145362
Table 13. Comparison of ranking results for each weighting method.
Table 13. Comparison of ranking results for each weighting method.
Nearness DegreeEmpowerment MethodsAge-Friendly Community Sample
C1C2C3C4C5C6
Sample Collection S i ScoreM10.6850.4580.3670.5960.3800.675
M20.6550.4360.4160.5230.4080.664
M30.780.4330.280.6620.2610.764
M40.8210.4380.2850.6980.2780.807
M50.8070.4340.2520.6830.2370.785
X i   NormalizationM10.220.140.120.190.120.21
M20.210.140.130.170.130.21
M30.250.140.090.210.080.24
M40.250.130.090.210.080.24
M50.250.140.080.210.070.25
Preferred Ranking of OptionsM1146352
M2145362
M3145362
M4145362
M5145362
Table 14. Comparison of weight values of M1–M4 empowerment methods.
Table 14. Comparison of weight values of M1–M4 empowerment methods.
Empowerment MethodsABCDEF
M10.14530.17610.12340.15140.16430.2394
M20.13080.18560.12200.14520.14990.2665
M30.07670.18590.06510.07990.08680.5055
M40.06590.18700.06150.07320.07550.5370
Disclaimer/Publisher’s Note: The statements, opinions and data contained in all publications are solely those of the individual author(s) and contributor(s) and not of MDPI and/or the editor(s). MDPI and/or the editor(s) disclaim responsibility for any injury to people or property resulting from any ideas, methods, instructions or products referred to in the content.

Share and Cite

MDPI and ACS Style

Zeng, H.; Zhu, J.; Lin, H.; Fan, P.; Qiu, T. Evaluation of Age-Friendly Retrofits for Urban Communities in China Using a Social–Ecological–Technological Systems Framework. Buildings 2024, 14, 2074. https://doi.org/10.3390/buildings14072074

AMA Style

Zeng H, Zhu J, Lin H, Fan P, Qiu T. Evaluation of Age-Friendly Retrofits for Urban Communities in China Using a Social–Ecological–Technological Systems Framework. Buildings. 2024; 14(7):2074. https://doi.org/10.3390/buildings14072074

Chicago/Turabian Style

Zeng, Hui, Jinwei Zhu, Hanxi Lin, Peiyi Fan, and Ting Qiu. 2024. "Evaluation of Age-Friendly Retrofits for Urban Communities in China Using a Social–Ecological–Technological Systems Framework" Buildings 14, no. 7: 2074. https://doi.org/10.3390/buildings14072074

APA Style

Zeng, H., Zhu, J., Lin, H., Fan, P., & Qiu, T. (2024). Evaluation of Age-Friendly Retrofits for Urban Communities in China Using a Social–Ecological–Technological Systems Framework. Buildings, 14(7), 2074. https://doi.org/10.3390/buildings14072074

Note that from the first issue of 2016, this journal uses article numbers instead of page numbers. See further details here.

Article Metrics

Back to TopTop