Wind Tunnel Test Research on the Aerodynamic Behavior of Concrete-Filled Double-Skin Steel (CFDST) Wind Turbine Towers
Abstract
1. Introduction
2. Experimental Design and Tests
2.1. Experimental Model Design
2.1.1. Similarity Criteria
- (1)
- Geometric Similarity
- (2)
- Kinematic similarity
- (3)
- Dynamic Similarity
2.1.2. Experimental Design
2.1.3. Material Design
2.2. Experimental Setup and Design
2.2.1. Wind Tunnel Laboratory
2.2.2. Measurement
2.2.3. Typhoon Field
2.2.4. Test Cases
3. Results and Discussion
3.1. Acceleration Analysis
3.1.1. RMS Value Analysis
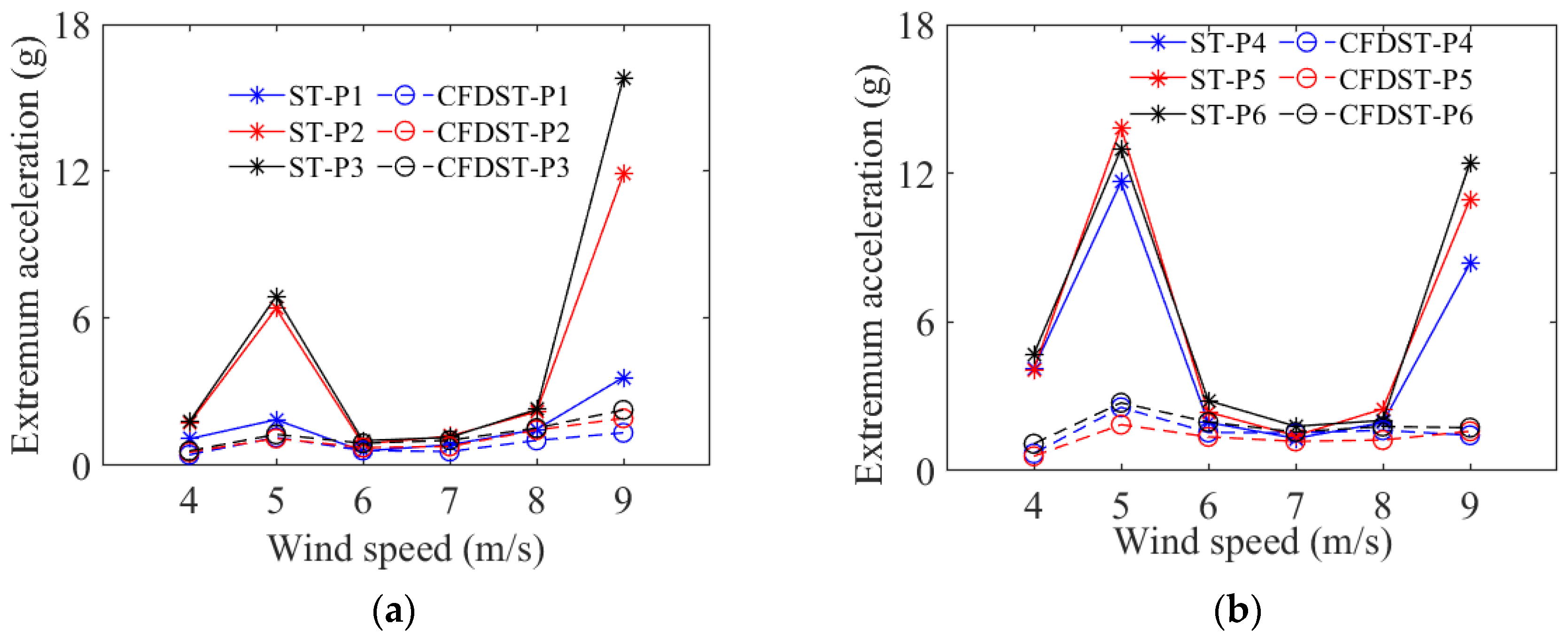
3.1.2. Extremum Acceleration Analysis
3.2. Displacement Analysis
3.2.1. Displacement Box Plot
3.2.2. Displacement Distribution Analysis
3.3. Trajectory Analysis
3.3.1. Displacement Trajectory Analysis
3.3.2. Phase Trajectory Analysis
3.4. Dynamic Characteristics
3.4.1. Frequency Analysis
3.4.2. Damping Ratio Analysis
4. Conclusions and Future Work
- Due to the increasing stiffness of the CFDST tower up to 20% compared with the traditional steel tower, the aerodynamic responses of the CFDST tower reduce significantly. Specifically, the reduction in the RMS value in the acceleration response can exceed 552.9% in resonance and can be up to 457.69% in non-resonance. The vibration spectrum analysis shows that the first mode plays a dominant role in vibration modes for the CFDST tower, whereas higher-order vibration modes exist and interact in the steel tower.
- In resonance, the range of the displacement trajectory of the CFDST tower is 303.0% smaller than that of the steel tower in the downwind direction, while the gap slightly expands to 308.9% in the downwind direction. The traditional steel tower has chaotic phase trajectories in the crosswind direction, indicating more unstable and complex dynamic responses. In contrast, the phase trajectories of the CFDST tower tend toward elliptical shapes with much more stability.
- Under external environmental and blade harmonic excitations, the 1P frequency dominates the acceleration power spectral density at low wind speeds (i.e., 4 m/s and 5 m/s). As wind speeds increase (i.e., 6–9 m/s), the 3P frequency energy becomes dominant, highlighting the significance of the coupling effects of blades and nacelles in the wind turbine system.
- The damping ratios of both of these towers follow a similar trend, varying with different wind speeds. The damping ratios of the CFDST tower are generally larger than those of the steel tower. It is demonstrated that the CFDST tower possesses superior energy dissipation capacity, with the improvement in the damping ratio being up to 40.98%.
Author Contributions
Funding
Data Availability Statement
Conflicts of Interest
References
- Zhang, M.; Liu, B.; Gao, C.Q.; Hossain, M.N.; Zhao, G.F. Wind-Induced Response Analysis and Fatigue Reliability Study of a Steel-Concrete Composite Wind Turbine Tower. Buildings 2024, 14, 1740. [Google Scholar] [CrossRef]
- You, F.; Shaik, S.; Rokonuzzaman, M.; Rahman, K.S.; Tan, W.S. Fire Risk Assessments and Fire Protection Measures for Wind Turbines: A Review. Heliyon 2023, 9, 19664. [Google Scholar] [CrossRef] [PubMed]
- Wang, J.H.; Qin, D.T.; Lim, T.C. Dynamic Analysis of Horizontal Axis Wind Turbine by Thin-Walled Beam Theory. J. Sound Vib. 2010, 329, 3565–3586. [Google Scholar] [CrossRef]
- Wei, R.; Zhou, X.H.; Gao, Y.; Deng, R.; Wang, Y.H.; Zhou, X.H.; Yu, J.; Chao, Y.Q. Compressive Behavior of Stiffened Steel Tubes for Wind turbine Towers. Thin Walled Struct. 2023, 183, 110372. [Google Scholar]
- Lee, H.; Moon, W.; Lee, M.; Song, K.; Shen, Z.R.; Kyoung, J.; Baquet, A.; Kim, J.; Han, I.K.; Park, S.; et al. Time-Domain Response-Based Structural Analysis on a Floating Offshore Wind Turbine. J. Mar. Sci. Appl. 2023, 22, 75–83. [Google Scholar] [CrossRef]
- Abhinav, K.A.; Saha, N. Dynamic Analysis of Monopile Supported Offshore Wind Turbines. Proc. Inst. Civ. Eng. Geotech. Eng. 2017, 170, 428–444. [Google Scholar] [CrossRef]
- Bottasso, C.L.; Bortolotti, P.; Croce, A.; Gualdoni, F. Integrated Aero-Structural Optimization of Wind Turbines. Multibody Syst. Dyn. 2016, 38, 317–344. [Google Scholar] [CrossRef]
- Jin, X.K.; Tan, W.; Zou, Y.R.; Wang, Z.J. Active Disturbance Rejection Control for Wind Turbine Fatigue Load. Energies 2022, 15, 6178. [Google Scholar] [CrossRef]
- Li, M.; Li, H.; Wen, Y. Design and Performance Study of a Six-Leg Lattice Tower for Wind Turbines. Buildings 2024, 14, 965. [Google Scholar] [CrossRef]
- Kim, B.J.; Plodpradit, P.; Kim, K.D.; Kim, H.G. Three-dimensional Analysis of Prestressed Concrete Offshore Wind Turbine Structure Under Environmental and 5-MW Turbine Loads. J. Shipp. Ocean. Eng. 2018, 4, 625–637. [Google Scholar] [CrossRef]
- De Lana, J.A.; de Lana, J.A.; Magalha, P.A.A.; Magalhaes, C.A.; Magalhaes, A.; De Andrade, A.C.; Ribeiro, M.S.D. Behavior Study of Prestressed Concrete Wind-Turbine Tower in Circular Cross-Section. Eng. Struct. 2021, 17, 625–637. [Google Scholar] [CrossRef]
- Ma, H.W.; Meng, R. Optimization Design of Prestressed Concrete Wind-Turbine Tower. Sci. China Technol. Sci. 2014, 57, 414–422. [Google Scholar] [CrossRef]
- Yue, Y.C.; Tian, J.J.; Mu, Q.Y.; Chen, T.B.; Peng, L.; Lu, X.; Liu, J. Feasibility of Segmented Concrete in Wind Turbine Tower: Numerical Studies on its Mechanical Performance. Int. J. Damage Mech. 2021, 30, 518–536. [Google Scholar] [CrossRef]
- Kim, H.G.; Kim, B.J. Design Optimization of Conical Concrete Support Structure for Offshore Wind Turbine. Energies 2020, 13, 4876. [Google Scholar] [CrossRef]
- Zhang, Z.H.; Liu, Y.; Zhang, Y.; Zhou, M.; Chen, J. Time Interval of Multiple Crossings of the Wiener Process and a Fixed Threshold in Engineering. Mech. Syst. Signal Process. 2020, 135, 106389. [Google Scholar] [CrossRef]
- Yang, Y.F.; Bie, X.M.; Hou, C.; Han, L.H. Analytical Behaviour and Design of Square CFDST Subjected to Local Bearing Force. J. Constr. Steel Res. 2019, 159, 198–214. [Google Scholar] [CrossRef]
- Deng, R.; Zhou, X.H.; Deng, X.W.; Ke, K.; Bai, J.L.; Wang, Y.H. Compressive Behaviour of Tapered Concrete-Filled Double Skin Steel Tubular Stub Columns. J. Constr. Steel Res. 2021, 184, 106771. [Google Scholar] [CrossRef]
- Ci, J.C.; Ahmed, M.; Jia, H.; Chen, S.C.; Zhou, D.X.; Hou, L.Q. Testing and Strength Prediction of Eccentrically-Loaded Circular Concrete-Filled Double Steel Tubular Stub-Columns. J. Constr. Steel Res. 2021, 186, 106881. [Google Scholar] [CrossRef]
- Huang, H.; Han, L.H.; Zhao, X.L. Investigation on Concrete Filled Double Skin Steel Tubes (CFDSTs) under Pure Torsion. J. Constr. Steel Res. 2013, 90, 221–234. [Google Scholar] [CrossRef]
- Wang, Y.H.; Lu, G.B.; Zhou, X.H. Experimental Study of The Cyclic Behavior of Concrete-Filled Double Skin Steel Tube Columns Subjected to Pure Torsion. Thin Walled Struct. 2018, 122, 425–438. [Google Scholar] [CrossRef]
- Duan, L.X.; Wang, W.D.; Xian, W.; Shi, Y.L. Shear Response of Circular-In-Square CFDST Members: Experimental Investigation and Finite Element Analysis. J. Constr. Steel Res. 2022, 190, 107160. [Google Scholar] [CrossRef]
- Wang, J.T.; Liu, X.H.; Sun, Q.; Li, Y.W. Compressive-Flexural Failure Mechanism and Bearing Capacity Calculation of Over-Ranging Tapered CFDST Members for Support Structures of Offshore Wind Turbines. J. Mar. Sci. Eng. 2023, 11, 1621. [Google Scholar] [CrossRef]
- Zhang, Z.H.; Liu, Y.; Wang, L.; Li, W.B.; Ma, G. Probability Analysis of Duration of Stochastic Process Exceeding Fixed Threshold and its Application on Structural Cumulative Damage and Fatigue Reliability Evaluation. ASCE–ASME J. Risk Uncertain. Eng. Syst. Part A Civ. Eng. 2024, 10, 11081621. [Google Scholar] [CrossRef]
- Han, L.H.; Li, Y.J.; Liao, F.Y. Concrete-Filled Double Skin Steel Tubular (CFDST) Columns Subjected to Long-Term Sustained Loading. Thin Walled Struct. 2011, 49, 1534–1543. [Google Scholar] [CrossRef]
- Zhao, H.; Wang, R.; Hou, C.C.; Lam, D. Performance of Circular CFDST Members with External Stainless Steel Tube under Transverse Impact Loading. Thin Walled Struct. 2019, 145, 106380. [Google Scholar] [CrossRef]
- Jin, K.Y.; Wang, Y.H.; Zhou, X.H.; Deng, R.; Hu, C.; Wen, H. Behavior of Super-Sized Thin-Walled CFDST Columns for Wind Turbine Towers Subjected to Combined Loads: Experiment. Eng. Struct. 2024, 303, 117458. [Google Scholar] [CrossRef]
- Duan, L.X.; Wang, W.D.; Zheng, L.; Shi, Y.L. Dynamic Response Analysis of Monopile CFDST Wind Turbine Tower System under Wind-Wave-Seismic Coupling Action. Thin Walled Struct. 2024, 202, 112089. [Google Scholar] [CrossRef]
- Jonkman, J.M.; Butterfield, S.; Musial, W.; Scott, G. Definition of a 5MW Reference Wind Turbine for Offshore System Development; Technical Reports NREL/TP-500-38060; Office of Energy Efficiency & Renewable Energy: Oak Ridge, TN, USA, 2009. [Google Scholar]
- Chen, C.; Zhou, J.W.; Li, F.M.; Gong, D.H. Nonlinear Vortex-Induced Vibration of Wind Turbine Towers: Theory and Experimental Validation. Mech. Syst. Signal Process. 2023, 204, 1100772. [Google Scholar] [CrossRef]
- Bayati, I.; Belloli, M.; Bernini, L.; Zasso, A. Aerodynamic Design Methodology for Wind Tunnel Tests of Wind Turbine Rotors. J. Wind. Eng. Ind. Aerodyn. 2017, 167, 217–227. [Google Scholar] [CrossRef]
- National Standards Committee. Load Code for the Design of Building Structures. In China National Standard (CNS); National Standards Committee: Beijing, China, 2012. [Google Scholar]
- He, J.Y.; He, Y.C.; Li, Q.S.; Chan, P.W.; Zhang, L.; Yang, H.L.; Li, L. Observational Study of Wind Characteristics, Wind Speed and Turbulence Profiles During Super Typhoon Mangkhut. J. Wind. Eng. Ind. Aerodyn. 2020, 206, 104362. [Google Scholar] [CrossRef]
- Chen, W.L.; Zhang, Q.Q.; Li, H.; Hu, H. An Experimental Investigation on Vortex Induced Vibration of a Flexible Inclined Cable under a Shear Flow. J. Fluids Struct. 2015, 54, 297–311. [Google Scholar] [CrossRef]
- Kheirkhah, S.; Yarusevych, S.; Narasimhan, S. Orbiting Response in Vortex-Induced Vibrations of a Two-Degree-Of-Freedom Pivoted Circular Cylinder. J. Fluids Struct. 2011, 28, 343–358. [Google Scholar] [CrossRef]














| Scale Parameter | Dimension | Similarity Factor | Value |
|---|---|---|---|
| Length l | L | 1/67 | |
| Area A | L2 | 1/4489 | |
| Volume V | L3 | 1/300,763 | |
| Velocity u | LT−1 | 1/2 | |
| Angular velocity ω | T−1 | 33.5 | |
| Acceleration a | LT−2 | 16.75 | |
| Time t | T | 1/33.5 | |
| Frequency f | T−1 | 33.5 | |
| Equivalent elastic modulus EI/L4 | L−1MT−2 | 1/4 | |
| Stiffness EI | L3MT−2 | 1/80,604,484 | |
| Thrust F | LMT−2 | 1/17,956 | |
| Bending moment M | L2MT−2 | 1/1,203,052 | |
| Power P | L2MT−3 | 1/35,912 | |
| Rotor speed Ω | T−1 | 33.5 |
| Component | Parameter (Unit) | Model | Prototype | Similar Ratio |
|---|---|---|---|---|
| Tower | Diameter (m) | 0.075 | 5 | 1/67 |
| Frequency (Hz) | 11.40 | 0.32 | 33.6 | |
| Wind turbine | Wheel height (m) | 1.34 | 90 | 1/67 |
| Number of leaves | 3 | 3 | 1 | |
| Blade diameter (m) | 1.8 | 126 | 1/50 | |
| Rated power (W) | 100 | 5 × 106 | 1/20,000 | |
| Rotor speed (RPM) | 690 | 13 | 53.16 | |
| Cut-in air speed (m/s) | 1.5 | 3 | 1/2 | |
| Cut-out air speed (m/s) | 12.5 | 25 | 1/2 |
| Tower Type | Do × to (mm × m) | Di × ti (mm × mm) | fcu (MPa) | fyo (MPa) | fyi (MPa) | L (mm) | χ | Do/to |
|---|---|---|---|---|---|---|---|---|
| ST | 75 × 1.2 | - | - | 355 | - | 1100 | - | 62.5 |
| CFDST | 75 × 1.2 | 48 × 1.2 | 40 | 355 | 355 | 1100 | 0.66 | 62.5 |
| Water–Cement Ratio | Cement (kg) | Water (kg) | Fly Ash (kg) | Silica Fume (kg) | S95 Slag Powder (kg) | Water Reducer Admixtures (kg) | PVA Fiber (%) |
|---|---|---|---|---|---|---|---|
| 0.28 | 661 | 370 | 331 | 766 | 331 | 2.8 | 2 |
| No. | Tower Type | Wind Speed u (m/s) | Rotor Speed Ω (Hz) | Reynolds Number Re (×104) |
|---|---|---|---|---|
| 1 | CFDST | 4 | 8.67 | 2.0 |
| 2 | ST | 4 | 8.67 | 2.0 |
| 3 | CFDST | 5 | 11.56 | 2.5 |
| 4 | ST | 5 | 11.56 | 2.5 |
| 5 | CFDST | 6 | 13.55 | 3.0 |
| 6 | ST | 6 | 13.55 | 3.0 |
| 7 | CFDST | 7 | 16.42 | 3.5 |
| 8 | ST | 7 | 16.42 | 3.5 |
| 9 | CFDST | 8 | 19.56 | 4.0 |
| 10 | ST | 8 | 19.56 | 4.0 |
| 11 | CFDST | 9 | 22.78 | 4.5 |
| 12 | ST | 9 | 22.78 | 4.5 |
Disclaimer/Publisher’s Note: The statements, opinions and data contained in all publications are solely those of the individual author(s) and contributor(s) and not of MDPI and/or the editor(s). MDPI and/or the editor(s) disclaim responsibility for any injury to people or property resulting from any ideas, methods, instructions or products referred to in the content. |
© 2024 by the authors. Licensee MDPI, Basel, Switzerland. This article is an open access article distributed under the terms and conditions of the Creative Commons Attribution (CC BY) license (https://creativecommons.org/licenses/by/4.0/).
Share and Cite
Li, D.; Sang, Y.; Fang, S.; Sun, C.; Wang, H. Wind Tunnel Test Research on the Aerodynamic Behavior of Concrete-Filled Double-Skin Steel (CFDST) Wind Turbine Towers. Buildings 2024, 14, 2372. https://doi.org/10.3390/buildings14082372
Li D, Sang Y, Fang S, Sun C, Wang H. Wind Tunnel Test Research on the Aerodynamic Behavior of Concrete-Filled Double-Skin Steel (CFDST) Wind Turbine Towers. Buildings. 2024; 14(8):2372. https://doi.org/10.3390/buildings14082372
Chicago/Turabian StyleLi, Dong, Yuan Sang, Shijing Fang, Chuang Sun, and Haicui Wang. 2024. "Wind Tunnel Test Research on the Aerodynamic Behavior of Concrete-Filled Double-Skin Steel (CFDST) Wind Turbine Towers" Buildings 14, no. 8: 2372. https://doi.org/10.3390/buildings14082372
APA StyleLi, D., Sang, Y., Fang, S., Sun, C., & Wang, H. (2024). Wind Tunnel Test Research on the Aerodynamic Behavior of Concrete-Filled Double-Skin Steel (CFDST) Wind Turbine Towers. Buildings, 14(8), 2372. https://doi.org/10.3390/buildings14082372
