Abstract
Self-compacting concrete (SCC), known for its excellent fluidity and self-compacting ability, is widely used in civil engineering. To enhance the comprehensive performance of SCC, dolomite powder (DP) is integrated as a substitute for cement. This study aims to analyze the impact of DP on the yield stress relationship between self-compacting mortar (SCM) and self-compacting paste (SCP) from a multi-scale perspective. A new predictive model for the yield stress relationship between SCM and SCP incorporating DP is established by improving the value in the existing model, which characterizes the sensitivity of the mortar yield stress relative to changes in the paste yield stress. By conducting mini-slump flow tests on nine sets of cement–DP mixtures, it is found that DP impacts the yield stress relationship between SCM and SCP mainly through changes in the inter-particle filling effect, and the value in the predictive model is roughly between 2.4 and 3.6. When the DP content is kept constant and the particle size is changed, the value shows a strong positive linear relationship with the packing density of the paste (). The relationship between and is derived using the linear fitting method, which improves the model’s predictive accuracy by 95.2%.
1. Introduction
Self-compacting concrete (SCC) is a type of high-performance concrete that can fill formworks, pass through gaps between reinforcing bars without the need for vibration compaction, and remain homogeneous without segregation or bleeding [1,2,3]. The workability of SCC depends on its mixture design method [4]. Thus far, numerous researchers have conducted in-depth studies on mixture design methods for SCC and have proposed a variety of such methods. The commonly used mixture design method for SCC is to adjust the proportions of materials based on engineering experience, followed by mixing and testing the SCC’s workability until the requirements are met [5]. Su et al. proposed a new approach based on the aggregate packing model by using the minimum amount of paste to fill the voids between the aggregate particles [6]. Sebaibi et al. proposed a method that controls packing voids, achieving dense packing between the aggregates and maximizing the strength based on the particle packing method [7]. Nepomuceno et al. proposed an approach based on simple procedures, and it assumes the SCC to be a two-phase material, consisting of the mortar phase and the coarse aggregate phase [8]. Gołaszewski et al. proposed a method for designing SCC from equivalent mortars [9]. However, each of these methods has a certain degree of blindness, which results in a huge experimental workload and a waste of materials and manpower [10]. In contrast, from the rheological perspective, predicting the workability of SCC from the rheological characteristics of the paste has the advantage of high efficiency in mixture design and the ability to explain the rheological mechanism of the SCC [11].
In the past few decades, numerous scientists have conducted research on the yield stress of self-compacting mortar (SCM) and paste (SCP), intending to predict the workability of SCC based on the rheological characteristics of the SCP [12,13,14,15,16,17,18,19]. Through their research, Hu et al. postulated that the plastic viscosity of SCC is correlated with the ratio of the maximum to minimum particle sizes of the aggregate, and they proposed the model based on the Krieger–Dougherty relation [12]. Furthermore, some researchers have extended the model to the correlation between the yield stress of paste and mortar, with very satisfactory outcomes [13,15,16]. However, the model only considers the maximum and minimum particle sizes of the aggregate and does not account for the impact of the aggregate particle size distribution on the yield stress relationship between mortar and paste [16]. To address this, Li et al. introduced , the packing density of mortar and paste, to further refine the yield stress relationship formula, taking into account the influence of the aggregate particle size distribution on the yield stress relationship between the mortar and paste, thereby enhancing the accuracy of this relationship [3].
Although the model takes into account the effect of the aggregate particle size distribution on the yield stress, the precision of the yield stress calculated using the model is not high because it does not optimize the mortar–paste yield stress relationship exponent , which is a parameter that measures the sensitivity of the mortar yield stress relative to changes in the paste yield stress. Instead, it continues to use the value of determined by Toutou et al. in their research [15] with the model, which is 4.2. Therefore, to enhance the predictive accuracy of the model, appropriate adjustment to the value is particularly necessary.
On the other hand, due to its excellent stability [20,21] and ability to enhance the density [22,23,24], mechanical properties [24,25,26,27,28,29], and durability of concrete [30,31], as well as promote hydration reactions [32,33], dolomite powder (DP) is gradually being used as a material to partially replace cement in order to improve the comprehensive performance of SCC. However, most current studies focus on exploring the impact of DP on the hydration reactions and mechanical properties of SCC, and studies on its influence on the rheological performance of SCC are relatively few. Existing research mainly focuses on the impact of DP on the fluidity of SCC [26,34,35,36], while in-depth discussions on the essential cause of changes in fluidity—yield stress—and the aforementioned establishment of relationships between the yield stress of SCP, SCM, and SCC to optimize the design of SCC mixtures are relatively limited. Therefore, conducting an in-depth study on the impact of DP on the yield stress of SCM and SCP and developing a predictive model for the mortar–paste yield stress relationship based on the model that is applicable to SCC containing DP are crucial. This effort will fill the gap in the existing models in this emerging field and advance the development of SCC.
This study aims to analyze DP’s impact on the yield stress relationship between SCM and SCP from a multi-scale perspective. By conducting mini-slump flow tests on nine sets of cement–DP mixtures, this study considers the effects of two feature parameters—DP content (0%, 15%, 30%, 45%, and 60%) and particle size (200 mesh, 325 mesh, 400 mesh, 800 mesh, and 1250 mesh)—on the specific surface area (the ratio of the surface area of the mixture to the volume), the packing density of both SCP and SCM (the percentage of the total volume occupied by solid particles in the paste or mortar), and the mortar–paste yield stress relationship exponent . This, in turn, reveals the interrelationships among these factors and allows for the optimization of the value. The goal is to establish a predictive model for the mortar–paste yield stress relationship based on the model that is applicable to SCC containing DP, laying the groundwork for predicting the workability of SCC based on the rheological characteristics of SCP.
2. Theoretical Research
2.1. Paste Yield Stress
According to the formulas proposed in a previous study [14], the yield stress of the paste can be calculated from the results of its mini-slump flow tests. The relationship is given in Equation (1):
where is the yield stress of the paste (Pa); is the density of the paste (kg/m3), which can be calculated using the weighted average of the apparent densities of the constituent materials of the paste; is the gravitational acceleration (m/s2); is the volume of the mini-slump cone (m3); and is the final slump flow value (m). The λ coefficient, which is a function of both the tested fluid surface tension and the contact angle, is equal to 0.0005. In a mini-slump flow test of water on our glass testing surface, the slump flow is found to be 480 mm. Therefore, the λ coefficient is calculated to be 0.0005, with Equation (1) being equal to 0.
2.2. Mortar Yield Stress
Similar to the paste yield stress, the mortar yield stress can also be calculated from the results of its mini-slump flow tests. The relationship is shown in Equation (2):
where is the yield stress of the mortar (Pa); is the density of the mortar (kg/m3), which can be calculated using the weighted average of the apparent densities of the constituent materials of the mortar; is the gravitational acceleration (m/s2); is the volume of the mini-slump cone (m3); and is the final slump flow value (m).
2.3. Relationship Models of Yield Stress between Mortar and Paste
The model has been shown to accurately represent the relationship between the plastic viscosity of paste and mortar [12]. It has also been extended to correlate the yield stress of paste and mortar, yielding very satisfactory outcomes [13,15,16]. The model and its derivatives are presented in Equation (3) and Equation (4), respectively.
where is the empirical coefficient, and and are the actual sand percentage by volume and the maximum sand percentage by volume, respectively. can be calculated using Equation (5):
where is the minimum particle size of the sand (m), and is the maximum particle size of the sand (m).
only considers the maximum and minimum particle sizes of the sand and does not consider the effect of the sand particle size distribution on the yield stress. Thus, Li et al. proposed using to replace , as shown in Equations (6) and (7):
where is the packing density of the mortar; is the volume of the cement (m3); is the volume of the stone powder (m3); is the volume of the sand (m3); and is the volume of the water (m3) when the mortar reaches the critical yield stress.
Although considers the effect of the sand particle size distribution on the yield stress, the yield stress of the mortar calculated using Equation (6) differs significantly from that calculated using Equation (2).
In this study, we initially designed nine sets of mixtures of cement and DP with varying contents and particle sizes, and we conducted a series of experiments. For each set of mixtures, under the condition of no plasticizer, three sets of mini-slump flow tests were conducted on both the paste and mortar with different ratios of water and powder by volume () to determine their basic water demand. Based on these data, the packing density of the paste and mortar was calculated using Equation (7). Subsequently, for each set of mixtures, an additional five sets of mini-slump flow tests were conducted on both the paste and mortar with different ratios and plasticizer contents to obtain the and , and the yield stress of the mortar and paste was calculated accordingly.
Based on the yield stress of the paste and mortar, the least squares function , shown in Equation (8), was defined as the sum of the squares of the difference between the measured value of the mortar yield stress , and the calculated value of the mortar yield stress obtained using Equation (6). The optimization of the mortar–paste yield stress relationship exponent in Equation (6) was achieved by identifying the value of that minimizes .
Finally, a linear analysis was conducted to explore the interrelationships among the specific surface area, the packing density of both the mortar and paste, and the refined value of . The flowchart of this study is shown in Figure 1.
Figure 1.
Flowchart of this study.
3. Experimental Research
3.1. Materials
Type 42.5 ordinary Portland cement with a density of 3.10 g/cm3 was used, and it was obtained from Anhui Conch Cement Co., Ltd., Wuhu, China. DP with a density of 2.85 g/cm3 and five different particle size distributions, i.e., 200 mesh, 325 mesh, 400 mesh, 800 mesh, and 1250 mesh, was provided by Tuoyi New Materials (Guangzhou) Co., Ltd., Guangzhou, China. The particle size distributions of the cement and five different DPs are shown in Figure 2, and their chemical compositions are listed in Table 1. River sand with an apparent density of 2.7 g/cm3 was used, and its particle size distribution is shown in Figure 3. A polycarboxylate superplasticizer (SP) with a solid content of 20% was used, and it was provided by Shanxi Feike New Materials Technology Co., Ltd., Xi’an, China. Tap water was also used.
Figure 2.
Particle size distribution curves of cement and DP.
Table 1.
Chemical compositions of cement and DP.
Figure 3.
Particle size distribution curve of sand.
3.2. Mixture Proportions
Nine basic pastes with different DP contents and fineness levels were designed to determine the yield stress relationship between the SCMs and SCPs. The cement was partly substituted with DP at different volume ratios (i.e., 0%, 15%, 30%, 45%, and 60%) when the particle size was fixed at 1250 mesh to obtain a better filling effect. Additionally, different particle sizes (i.e., 200 mesh, 325 mesh, 400 mesh, 800 mesh, 1250 mesh) were chosen when the substitution ratio was fixed at 30% to obtain a relatively higher substitution ratio, as shown in Table 2. The sand ratio, which is defined as the ratio of the sand volume to the total mortar volume, was fixed at 40% in this research.
Table 2.
Basic proportions of pastes with different DP contents and fineness levels.
is defined as the ratio of water to powder by volume, as shown in Equation (9). The plasticizer content (SP%) is defined as the percentage of the mass of the plasticizer to the total mass of the powders. and SP% were adjusted to obtain pastes and mortars with different rheologies.
where is the volume of the water (m3); is the volume of the cement (m3); and is the volume of the stone powder (m3).
Three sets of paste mini-slump flow tests and mortar mini-slump flow tests with different ratios without the plasticizer were carried out on each mixture to determine the basic water demand of the paste and mortar. Five sets of paste mini-slump flow tests and mortar mini-slump flow tests with different ratios and SP% values were then carried out on each mixture to determine the yield stress of the mortar and paste. To increase the extensibility of the paste and mortar in order to reduce the experimental error, the selection of the ratio was adjusted according to the results of the mini-slump flow tests.
3.3. Test Methods
3.3.1. Test Method for Paste Yield Stress
To determine the yield stress of the paste, a mini-slump flow test was conducted. The mini-slump cone for the paste had a top diameter of 36 mm, a bottom diameter of 60 mm, and a height of 60 mm [37]. The measuring instrument used for the mini-slump flow test is shown in Figure 4.
Figure 4.
Mini-slump flow test setups for (a) paste and (b) mortar.
The specific steps of the mini-slump flow test of the paste are as follows:
- Adjust the smooth glass plate to be parallel to the horizontal plane. Then, use a damp cloth to uniformly wipe down the glass plate, mini-slump cone, blades of the paste mixer, and paste mixing pot to ensure that their surfaces are evenly moistened without excess water residue.
- According to the ratio, DP content, and SP% value, weigh the cement, DP, water, and plasticizer required for the test; pour the weighed cement and DP into the paste mixing pot; load and start the mixer; and add the water and plasticizer after 30 s of mixing. Complete the mixing according to the preset mixing program of the paste mixer.
- Pour the mixed paste quickly into the mini-slump cone, and scrape and smooth the upper surface with a spatula. Then, lift the mini-slump cone vertically upwards at a uniform speed within 2 s to let the paste flow freely.
- Use the smartphone platform with measurement software to measure the final slump flow value () and the time required for the paste diameter to reach 200 mm (). Use a ruler to measure diameters and in two perpendicular directions of the paste.
The yield stress of the paste can be calculated according to Equation (1), and the relative extensibility of the paste can be calculated using Equation (10):
where is the bottom diameter of the mini-slump cone (m).
3.3.2. Test Method for Mortar Yield Stress
The yield stress of the mortar is obtained in the same way as for the paste, but the size of the mini-slump cone for the mortar is different from that of the paste. The mini-slump cone for the mortar has a top diameter of 70 mm, a bottom diameter of 100 mm, and a height of 60 mm [38]. The specific steps of the mini-slump flow test of the mortar are as follows:
- Adjust the smooth glass plate to be parallel to the horizontal plane. Then, use a damp cloth to uniformly wipe down the glass plate, mini-slump cone, blades of the mortar mixer, and mortar mixing pot to ensure that their surfaces are evenly moistened without excess water residue.
- Weigh the sand needed for the test according to the sand percentage. Then, according to the ratio, DP content, and SP% value, weigh the cement, DP, water, and plasticizer required for the test.
- Pour the weighed cement, DP, and sand into the mortar mixing pot in sequence; load and start the mixer; and add the water and plasticizer after 30 s of mixing. Complete the mixing according to the preset mixing program of the mortar mixer.
- Pour the mixed mortar quickly into the mini-slump cone, and scrape and smooth the upper surface with a spatula. Then, lift the mini-slump cone vertically upwards at a uniform speed within 2 s to let the mortar flow freely.
- Use the smartphone platform with measurement software to measure the and . Use a ruler to measure diameters and in two perpendicular directions of the mortar.
The yield stress of the mortar can be calculated according to Equation (2), and the relative extensibility of the mortar can be calculated using Equation (10).
4. Results and Discussion
4.1. Basic Water Demand of Paste and Mortar
Studies have shown that the basic water demand is a critical water parameter that determines the fluidity of paste and mortar [3]. In this study, the relationship between the ratio and relative extensibility are determined through three sets of paste mini-slump flow tests and mortar mini-slump flow tests carried out on each mixture. Equation (11) is obtained by using Origin software for linear regression, with the relative extensibility as the horizontal coordinate and as the vertical coordinate, as shown in Figure 5. When the relative extensibility is 0, is the basic water demand of the paste or mortar, and the slope of the straight line is the water sensitivity coefficient of the paste or mortar. The basic water demand and water sensitivity coefficient of each mixture obtained from the linear regression are shown in Figure 6 and Figure 7.
where is the basic water demand, and is the water sensitivity coefficient.
Figure 5.
Linear regression used to obtain and .
Figure 6.
Results of mini-slump flow tests of paste: (a) 1250-mesh DP; (b) 30% DP content.
Figure 7.
Results of mini-slump flow tests of mortar: (a) 1250-mesh DP; (b) 30% DP content.
An in-depth study of Figure 6 and Figure 7 reveals that the basic water demand and water sensitivity coefficient of the mortar are increased by 30% and 1.9 times, respectively, compared with those of the paste. The main reason for this difference is that the addition of sand leads to the necessity for the paste to fill the voids between the sand particles and form a coating around them to facilitate their flow. Consequently, for the mortar to reach the critical yield stress, a higher degree of fluidity is required for the paste, which naturally increases the volume of water needed. Furthermore, to achieve the same increase in relative extensibility, the amount of water required for the mortar also increases; i.e., the water sensitivity coefficient increases.
Additionally, it is observed that the basic water demand of the paste increases with the incorporation of 1250-mesh DP. This may be due to the fact that the average particle size of the 1250-mesh DP is smaller than that of the cement, resulting in a higher specific surface area. As the proportion of DP increases, the mixture’s average particle size decreases, and the specific surface area expands. This expansion necessitates a greater volume of water to effectively wet and coat the particles, ensuring that the paste retains its fluidity.
4.2. Packing Density of Paste and Mortar
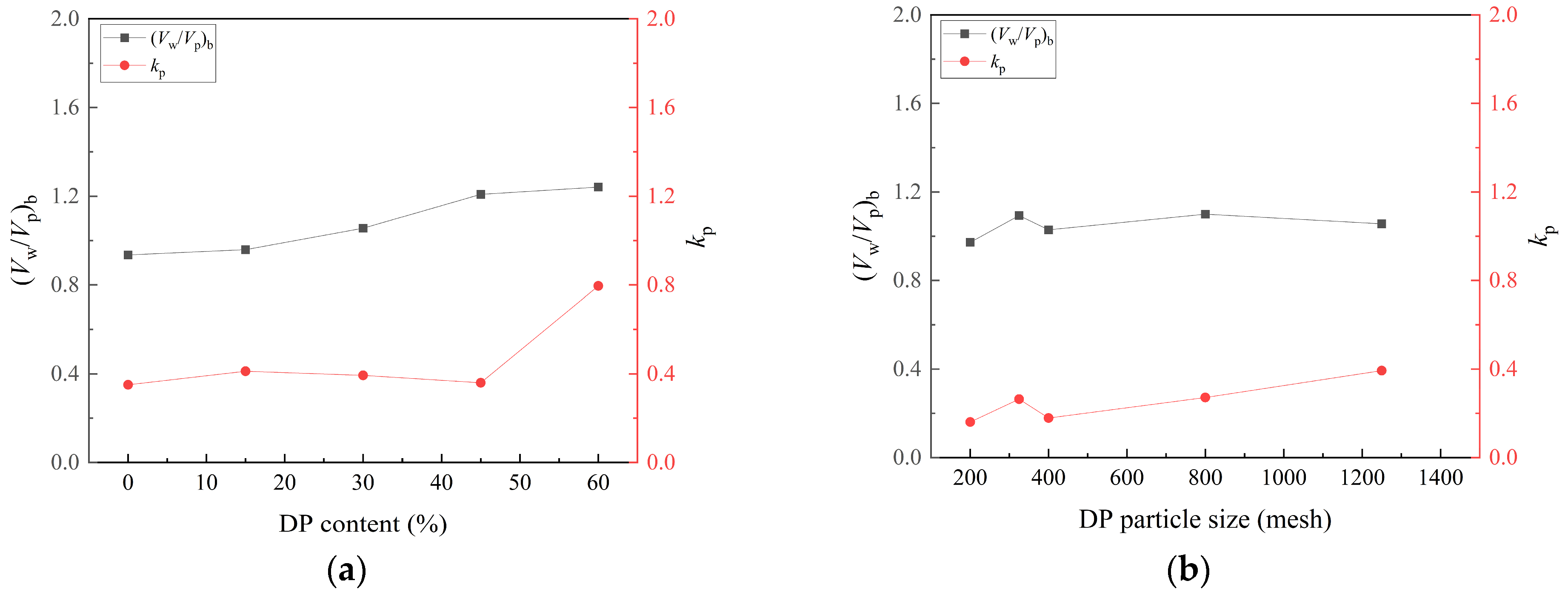
According to the basic water demand in Figure 6 and Figure 7, the cement, DP, sand, and water volumes used when 1 cubic meter of paste or mortar reaches the critical yield stress are calculated, and the packing density of the paste or mortar is calculated according to Equation (7). The calculation results are shown in Figure 8.
Figure 8.
The packing density of paste and mortar: (a) 1250-mesh DP; (b) 30% DP content.
Upon a meticulous analysis of the data in Figure 8, it is observed that the packing density of the mortar has increased by 34.9% compared with that of the paste. This increased packing density can be attributed to the significant size difference between the sand particles and the finer particles of the cement and DP. The larger sand particles in the mortar create large voids within the mixture. These voids offer ample room to accommodate the smaller cement and DP particles. Due to the smaller particle size, the cement and DP can more effectively fill these voids, reducing the total porosity of the mixture; thus, the packing density of the mortar increases.
Furthermore, the packing density of both the paste and mortar decreases with an increase in the addition of 1250-mesh DP. This is because as the proportion of DP increases, the average particle size of the mixture decreases, the specific surface area increases, and the porosity increases.
Additionally, it is not difficult to discern from Figure 8 that regardless of whether the content or particle size of the DP is changed, the packing densities of the paste and mortar exhibit similar trends. This indicates that the influence of variations in DP on the packing density of the paste and mortar is consistent.
4.3. Paste and Mortar Yield Stress Test Results
For each mixture, five sets of paste mini-slump flow tests and mortar mini-slump flow tests with different ratios and SP% values were conducted. The final slump flow value for each test was obtained. Using Equations (1) and (2), the yield stress values of both the paste and mortar were calculated, as shown in Table 3.
Table 3.
The yield stress of paste and mortar.
Under the condition of maintaining a constant ratio and SP% value, the yield stress of the paste and mortar, as presented in Table 3, did not show a clear pattern when the content and particle size of the DP were varied. This may be attributed to the relatively low yield stress of SCM and SCP, which results in insufficient differences in fluidity to be significantly distinguished, thereby masking the potential impact of the changes in the content and particle size of the DP on the yield stress of the paste and mortar.
Furthermore, changes in the ratio and SP% value play a controlling role in the yield stress of the paste and mortar. Minor errors in these factors could lead to fluctuations in the yield stress of the paste and mortar, thus masking the impact of the changes in the content and particle size of the DP on their yield stress. Therefore, to accurately assess the impact of the changes in the content and particle size of the DP on the yield stress of the paste and mortar, it is necessary to go beyond the comparison of a single sample and compare the differences between different groups.
4.4. Optimization of the Mortar–Paste Yield Stress Relationship Exponent
The value of , derived from Table 3, is integrated into Equation (6) to obtain the calculated value of the mortar yield stress . Subsequently, after removing the measured values of the mortar yield stress with large errors, obtained from Table 3, the remaining measured values of the mortar yield stress are substituted, along with the calculated value of the mortar yield stress , into Equation (8). By solving the value of , which minimizes , the refined mortar–paste yield stress relationship exponent for each mixture is obtained, as shown in Table 4.
Table 4.
The refined mortar–paste yield stress relationship exponent .
The data presented in Table 4 reveal that the mortar–paste yield stress relationship exponent in the model ranges from 2.4 to 3.6. This is notably different from the value of 4.2 that was established by Toutou et al. [15]. in their research on the model. The variance between these values could be responsible for the significant divergence observed between the yield stress of the mortar calculated using the model and the yield stress measured through the mini-slump flow tests. By adopting the refined mortar–paste yield stress relationship exponent , the model is further refined, thus allowing it to better predict the yield stress relationship between SCM and SCP.
4.5. Effect of DP Particle Size on Yield Stress Relationship between Self-Compacting Mortar and Paste
In Equation (6), the mortar–paste yield stress relationship exponent measures the sensitivity of the mortar yield stress relative to changes in the paste yield stress. The smaller the , the closer the yield stress of the mortar to that of the paste with the addition of sand; that is, the fluidity attenuation of the mortar decreases, and the stability of the mortar increases. As shown in Figure 9, under the condition of maintaining a constant DP content and only changing its particle size, there is a significant positive linear correlation between the mortar–paste yield stress relationship exponent and the packing density of the paste.
Figure 9.
The relationship between specific surface area, packing density, and with different DP particle sizes: (a) the relationship between specific surface area and packing density of paste; (b) the relationship between packing density of paste and packing density of mortar; (c) the relationship between packing density of paste and ; (d) the relationship between packing density of mortar and .
This may be due to the change in the particle size distribution of the DP, resulting in differences in the inter-particle filling effect between the DP and cement and between the powder mixture and sand. The better the filling effect, the larger the packing density of the paste and mortar, the fewer the inter-particle pores, the less water and plasticizer embedded in them, the worse the mortar stability, and the larger the . By using linear regression, the relationship between and the packing density of the paste is obtained, as shown in Equation (12):
By substituting the refined value of into Equation (6), the relationship curves between the mortar and paste yield stress for each mixture with different DP particle sizes are obtained, shown as black curves in Figure 10. Concurrently, corresponding relationship curves for an value of 4.2 are plotted, depicted as red curves in Figure 10. Additionally, the yield stress data points of the mortar for each mixture with different DP particle sizes, obtained from the mini-slump flow test results presented in Table 3, are plotted in the same chart. An observation of the results indicates that, compared with the relationship curve with an value of 4.2, the relationship curve between the mortar and paste yield stress plotted with the refined value of more closely aligns with the experimental data. This outcome indicates that Equation (12), derived from the fitting process, effectively refines the model, enabling a more precise prediction of the relationship between the yield stress of the SCM and SCP, even when incorporating DP. Furthermore, calculations reveal that the predictive accuracy of the mortar–paste yield stress relationship is enhanced by 95.2%, thanks to the optimized value obtained from the fitting.
Figure 10.
Model validation: (a) DP200-30%; (b) DP325-30%; (c) DP400-30%; (d) DP800-30%; (e) DP1250-30%.
Additionally, as shown in Figure 9, there is no obvious linear correlation between the packing density of the paste, the packing density of the mortar, or the specific surface area of the mixture, which may be due to the difference in the distribution of the particle size of the DP, leading to a difference in the inter-particle filling effect between the DP and the cement, powder mixture, and sand. The specific surface area of the mixture is the same, but the particle size distribution is different, in which the larger particles and smaller particles fill each other better, and the packing density of the paste and mortar is larger, as shown in Figure 11.
Figure 11.
The difference in the inter-particle filling effect between the DP and the cement with various DP particle sizes.
4.6. Effect of DP Content on Yield Stress Relationship between Self-Compacting Mortar and Paste
As can be seen in Figure 12, under the condition of maintaining a constant DP particle size and only changing the DP content, there is no strong linear correlation between the mortar–paste yield stress relationship exponent and the packing density of either the paste or mortar.
Figure 12.
The relationship between specific surface area, packing density, and with different DP contents: (a) the relationship between specific surface area and packing density of paste; (b) the relationship between packing density of paste and packing density of mortar; (c) the relationship between packing density of paste and ; (d) the relationship between packing density of mortar and .
This may be due to the fact that, in this group of tests, the packing density of the paste and mortar is changed by changing the relative content of the large particles of the cement and the small particles of the DP, without changing the particle size distribution of the DP. The inter-particle filling effect between the DP particles and cement particles is relatively fixed, as shown in Figure 13, and the grain composition of the mixture is not good or bad, resulting in no obvious regular change in stability; i.e., there is no obvious regular change in .
Figure 13.
The fixed inter-particle filling effect between the DP and cement with various DP contents.
Additionally, as shown in Figure 12, there is a significant negative linear correlation between the packing density of the paste and the specific surface area of the mixture, and there is a significant positive linear correlation between the packing density of the mortar and that of the paste. As the DP content increases, the specific surface area of the mixture increases by 68.4%, while and decrease by 13.6% and 5.6%, respectively. The underlying reason for this relationship is that the average particle size of the 1250-mesh DP is smaller than that of the cement. As more DP is incorporated, the average particle size of the mixture decreases, which, in turn, increases the specific surface area. With a higher specific surface area, there are more inter-particle pores within the mixture. These additional pores reduce the efficiency of particle packing, thereby resulting in smaller packing densities for both the paste and the mortar.
5. Conclusions
In this study, the impact of dolomite powder (DP) on the yield stress relationship between self-compacting mortar (SCM) and paste (SCP) was examined through mini-slump flow tests conducted on both paste and mortar. Based on the experimental results, this study refined the value of in the model, which characterizes the sensitivity of the mortar yield stress relative to changes in the paste yield stress. A predictive model for the yield stress relationship between SCM and SCP incorporating DP was established, and the mechanism by which DP affects this relationship was revealed. The main conclusions of this study are as follows:
- The approximate range of : The value in the predictive model for the yield stress relationship between SCM and SCP incorporating DP was roughly between 2.4 and 3.6.
- A positive linear correlation between and the packing density of the paste (): When the DP content was held constant and the particle size varied, exhibited a strong positive linear relationship with . A linear fit was applied to derive the relationship between and , and the introduction of this expression significantly optimized the model, improving the model’s predictive accuracy by 95.2%.
- The mechanism of the impact of DP on the yield stress relationship between SCM and SCP: The influence of DP on the relationship between SCM and SCP yield stress was mainly attributed to changes in the inter-particle filling effect. The inter-particle filling effect between the DP particles and cement particles was enhanced, leading to an increase in and . This subsequently reduced the amount of water and plasticizers embedded in the particles, decreased the stability of the mortar, and increased the ratio of the yield stress of SCM to SCP; i.e., it increased the value of . Changes in the particle size of the DP had a significant impact on this inter-particle filling effect, while changes in the content mainly altered the relative amounts of the two components, resulting in no strong linear relationship between and with varying contents.
- The impact of DP content on : Although changes in the content of DP did not significantly alter the inter-particle filling effect, they indirectly affected by changing the relative content of the powder. With variations in the DP content, significantly negatively correlated with the specific surface area of the mixture, while significantly positively correlated with . As the DP content increased, the specific surface area of the mixture increased by 68.4%, while and decreased by 13.6% and 5.6%, respectively.
- Differences in the properties of mortar and paste: Compared with the paste, the mortar incorporating DP showed an average increase in basic water demand of 30%, a 1.9-fold increase in the water sensitivity coefficient, and a 34.9% increase in .
While the predictive model proposed in this study successfully established the yield stress relationship between SCM and SCP incorporating DP, it has not yet been extended to the workability of SCC. Additionally, the limited number of experimental samples may impact the broad applicability of the research findings.
Therefore, future research should expand the sample size and adjust the inter-particle filling effect from multiple dimensions to verify the broader applicability of the predictive model proposed in this study. Moreover, future research should also focus on closely integrating the model with the workability of SCC to apply it in engineering practice and provide guidance for SCC mixture design. By conducting small-scale experiments such as mini-slump flow tests on SCP, the workability of SCC can be directly predicted, thereby simplifying the prediction process and reducing the labor and material waste caused by repeated mix adjustments.
Author Contributions
Conceptualization, J.Z., H.C. and Y.J.; Data curation, M.L.; Formal analysis, H.C. and P.Z.; Funding acquisition, J.Z.; Investigation, J.Z. and M.L.; Methodology, J.Z. and H.C.; Project administration, J.Z.; Resources, Y.J. and P.Z.; Software, P.Z. and M.L.; Supervision, Y.J., P.Z. and M.L.; Validation, J.Z. and H.C.; Visualization, J.Z. and H.C.; Writing—original draft, H.C.; Writing—review and editing, J.Z. and H.C. All authors have read and agreed to the published version of the manuscript.
Funding
This research was financed by the National Natural Science Foundation of China, China (No. 52109153); the Jiangsu Planned Projects for Postdoctoral Research Funds (2021K055A); and the Doctor of Entrepreneurship and Innovation in Jiangsu Province (JSSCBS20210261).
Data Availability Statement
The data presented in this study are available on request from the corresponding author. The data are proprietary or confidential in nature and may only be provided with restrictions.
Conflicts of Interest
Author Yan Jia was employed by the company Power China Beijing Engineering Corporation Limited. The remaining authors declare that the research was conducted in the absence of any commercial or financial relationships that could be construed as a potential conflict of interest.
References
- Okamura, H.; Ouchi, M. Self-compacting concrete. J. Adv. Concr. Technol. 2003, 1, 5–15. [Google Scholar] [CrossRef]
- An, X.; Wu, Q.; Jin, F.; Huang, M.; Zhou, H.; Chen, C.; Liu, C. Rock-filled concrete, the new norm of SCC in hydraulic engineering in China. Cem. Concr. Compos. 2014, 54, 89–99. [Google Scholar] [CrossRef]
- Li, P.; Zhang, T.; An, X.; Zhang, J. An enhanced mix design method of self-compacting concrete with fly ash content based on paste rheological threshold theory and material packing characteristics. Constr. Build. Mater. 2020, 234, 117380. [Google Scholar] [CrossRef]
- Shi, C.; Wu, Z.; Lv, K.; Wu, L. A review on mixture design methods for self-compacting concrete. Constr. Build. Mater. 2015, 84, 387–398. [Google Scholar] [CrossRef]
- Okamura, H.; Ouchi, M. Self-compacting high performance concrete. Prog. Struct. Eng. Mater. 1998, 1, 378–383. [Google Scholar] [CrossRef]
- Su, N.; Hsu, K.-C.; Chai, H.-W. A simple mix design method for self-compacting concrete. Cem. Concr. Res. 2001, 31, 1799–1807. [Google Scholar] [CrossRef]
- Sebaibi, N.; Benzerzour, M.; Sebaibi, Y.; Abriak, N.-E. Composition of self compacting concrete (SCC) using the compressible packing model, the Chinese method and the European standard. Constr. Build. Mater. 2013, 43, 382–388. [Google Scholar] [CrossRef]
- Nepomuceno, M.C.; Pereira-de-Oliveira, L.; Lopes, S. Methodology for the mix design of self-compacting concrete using different mineral additions in binary blends of powders. Constr. Build. Mater. 2014, 64, 82–94. [Google Scholar] [CrossRef]
- Gołaszewski, J.; Kostrzanowska-Siedlarz, A.; Cygan, G.; Drewniok, M. Mortar as a model to predict self-compacting concrete rheological properties as a function of time and temperature. Constr. Build. Mater. 2016, 124, 1100–1108. [Google Scholar] [CrossRef]
- Nie, D.; An, X. Optimization of SCC mix at paste level by using numerical method based on a paste rheological threshold theory. Constr. Build. Mater. 2016, 102, 428–434. [Google Scholar] [CrossRef]
- Wu, Q.; An, X. Development of a mix design method for SCC based on the rheological characteristics of paste. Constr. Build. Mater. 2014, 53, 642–651. [Google Scholar] [CrossRef]
- Hu, C.; de Larrard, F. The rheology of fresh high-performance concrete. Cem. Concr. Res. 1996, 26, 283–294. [Google Scholar] [CrossRef]
- Banfill, P.F.G. The rheology of fresh cement and concrete-a review. In Proceedings of the 11th International Congress on the Chemistry of Cement (ICCC) Cement’s Contribution to Development in the 21st Century, Durban, South Africa, 11–16 May 2003; Available online: https://www.researchgate.net/publication/255652324_The_rheology_of_fresh_cement_and_concrete-a_review (accessed on 10 June 2024).
- Roussel, N.; Stéfani, C.; Leroy, R. From mini-cone test to Abrams cone test: Measurement of cement-based materials yield stress using slump tests. Cem. Concr. Res. 2005, 35, 817–822. [Google Scholar] [CrossRef]
- Toutou, Z.; Roussel, N. Multi scale experimental study of concrete rheology: From water scale to gravel scale. Mater. Struct. 2006, 39, 189–199. [Google Scholar] [CrossRef]
- Chidiac, S.; Mahmoodzadeh, F. Plastic viscosity of fresh concrete–A critical review of predictions methods. Cem. Concr. Compos. 2009, 31, 535–544. [Google Scholar] [CrossRef]
- Saak, A.W.; Jennings, H.M.; Shah, S.P. New methodology for designing self-compacting concrete. Mater. J. 2001, 98, 429–439. [Google Scholar]
- Bui, V.K.; Akkaya, Y.; Shah, S.P. Rheological model for self-consolidating concrete. Mater. J. 2002, 99, 549–559. [Google Scholar]
- Wallevik, O.H.; Wallevik, J.E. Rheology as a tool in concrete science: The use of rheographs and workability boxes. Cem. Concr. Res. 2011, 41, 1279–1288. [Google Scholar] [CrossRef]
- Machner, A.; Zajac, M.; Haha, M.B.; Kjellsen, K.O.; Geiker, M.R.; De Weerdt, K. Limitations of the hydrotalcite formation in Portland composite cement pastes containing dolomite and metakaolin. Cem. Concr. Res. 2018, 105, 1–17. [Google Scholar] [CrossRef]
- Hu, H.; Yao, W.; Wei, Y. Recycling waste dolomite powder in cement paste: Early hydration process, microscale characteristics, and life-cycle assessment. Sci. Total Environ. 2023, 902, 166008. [Google Scholar] [CrossRef] [PubMed]
- Guo, H.; Wang, Z.; Zhao, X.; Liu, J.; Ji, X.; Shi, W. Effects of dolomite powder on properties of environment-friendly cement asphalt emulsion composites. J. Clean. Prod. 2022, 369, 133321. [Google Scholar] [CrossRef]
- Barbhuiya, S. Effects of fly ash and dolomite powder on the properties of self-compacting concrete. Constr. Build. Mater. 2011, 25, 3301–3305. [Google Scholar] [CrossRef]
- Xu, J.; Lu, D.; Zhang, S.; Xu, Z.; Hooton, R. Reaction mechanism of dolomite powder in Portland-dolomite cement. Constr. Build. Mater. 2021, 270, 121375. [Google Scholar] [CrossRef]
- Zhang, X.; Luo, Y.; Yao, W. Effects of Dolomite Powder on the Properties of C30 and C50 Concretes. Full-Nanotub. Carbon Nanostruct. 2022, 30, 896–905. [Google Scholar] [CrossRef]
- Nguyen, H.-A.; Chang, T.-P.; Shih, J.-Y.; Djayaprabha, H.S. Enhancement of low-cement self-compacting concrete with dolomite powder. Constr. Build. Mater. 2018, 161, 539–546. [Google Scholar] [CrossRef]
- Chandel, R.; Singh, N. Dolomite-Based Concrete: A comprehensive review on mechanical properties. Mater. Today Proc. 2024; in press. [Google Scholar] [CrossRef]
- Tangadagi, R.B.; Ravichandran, P.J. Performance Evaluation of Cement Mortar Prepared with Waste Foundry Sand as an Alternative for Fine Aggregate: A Sustainable Approach. Iran. J. Sci. Technol. Trans. Civ. Eng. 2024, 1–15. [Google Scholar] [CrossRef]
- Li, T.; Nogueira, R.; Pereira, M.F.C.; de Brito, J.; Liu, J. Effect of the incorporation ratio of recycled concrete aggregate on the properties of self-compacting mortar. Cem. Concr. Compos. 2024, 147, 105429. [Google Scholar] [CrossRef]
- Zhang, X.; Luo, Y.; Yao, W. Influences of the dosage of dolomite powder on the fracture properties and volume stability of cement-based materials. Full-Nanotub. Carbon Nanostruct. 2021, 29, 868–875. [Google Scholar] [CrossRef]
- Zhang, X.; Luo, Y.; Yao, W. An Innovative Material with Strong Frost Resistance—Concrete Containing Dolomite Powder. Materials 2022, 15, 1721. [Google Scholar] [CrossRef] [PubMed]
- Hu, H.; Yao, W.; Wei, Y.; She, A. Evolution of early hydration in mortar by using waste dolomite powder as a micro-aggregate. Constr. Build. Mater. 2024, 438, 137158. [Google Scholar] [CrossRef]
- Xu, J.; Lu, D.; Xu, Z. Reaction Behaviour of Dolomite Powder in Portland Cement Pastes Cured at Different Conditions. Available online: https://icaarconcrete.org/wp-content/uploads/2024/05/16ICAAR-XuJ-1.pdf (accessed on 10 June 2024).
- Jelčić Rukavina, M.; Gabrijel, I.; Bjegović, D. Modifications of dolomite-based self-compacting concrete properties using mineral additives. Teh. Vjesn.-Tech. Gaz. 2015, 22, 233–240. [Google Scholar] [CrossRef]
- Abdalqader, A.; Sonebi, M. Dolomitic filler in self-compacting concrete: A review. RILEM Tech. Lett. 2020, 5, 75–83. [Google Scholar] [CrossRef]
- Agrawal, Y.; Gupta, T.; Siddique, S.; Sharma, R.K. Potential of dolomite industrial waste as construction material: A review. Innov. Infrastruct. Solut. 2021, 6, 205. [Google Scholar] [CrossRef]
- GB/T 8077-2023; State Administration for Market Regulation. Methods for Testing Uniformity of Concrete Mixtures. Stands Press of China: Beijing, China, 2023. (In Chinese)
- GB/T 2419-2005; State Administration for Market Regulation. Test Method for Fluidity of Cement Mortar. Stands Press of China: Beijing, China, 2005. (In Chinese)
Disclaimer/Publisher’s Note: The statements, opinions and data contained in all publications are solely those of the individual author(s) and contributor(s) and not of MDPI and/or the editor(s). MDPI and/or the editor(s) disclaim responsibility for any injury to people or property resulting from any ideas, methods, instructions or products referred to in the content. |
© 2024 by the authors. Licensee MDPI, Basel, Switzerland. This article is an open access article distributed under the terms and conditions of the Creative Commons Attribution (CC BY) license (https://creativecommons.org/licenses/by/4.0/).












