A Simple Explicit Formula for Evaluating the Total Capacity of Chilled-Water Cooling Coils under Wet Conditions
Abstract
1. Introduction
2. Proposed Calculation Formula
2.1. Mathematical Formulation
- (1)
- The energy flow due to the condensate draining from the coil is small compared to the other energy terms and is neglected.
- (2)
- The coil surface is assumed to be totally and evenly wet. It has been proven that the error caused by approximating a partially wet coil as totally wet is generally less than 5% [2].
- (3)
- The temperature gradients along the thickness of the coil surface and condensate film are neglected since they are thin. Thus, the surface and the film have an identical temperature.
2.2. Parameter Identification
3. Validation of the Formula
3.1. Data Source and Evaluation Indicators
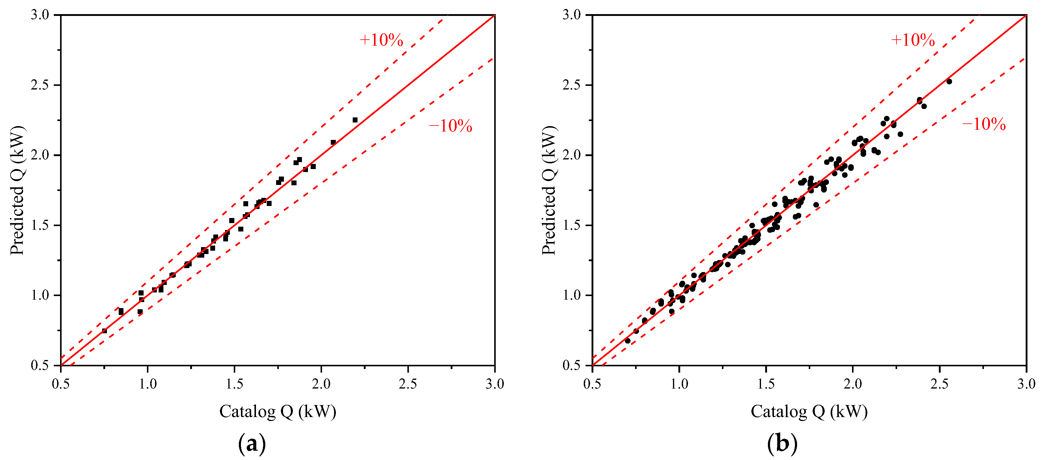
3.2. FCU Cooling Coils
3.3. AHU Cooling Coils
4. Discussion
5. Conclusions
Author Contributions
Funding
Data Availability Statement
Conflicts of Interest
Nomenclature
| total cooling capacity, in W; | sensible cooling capacity, in W; | ||
| air flow rate, in kg/s; | water flow rate, in kg/s; | ||
| moist air-specific heat, in J/kg-K; | water-specific heat, in J/kg-K; | ||
| air inlet dry-bulb temperature, in °C; | water inlet temperature, in °C; | ||
| air outlet dry-bulb temperature, in °C; | water outlet temperature, in °C; | ||
| air inlet enthalpy, in J/kg; | saturated air enthalpy at the water inlet temperature, in J/kg; | ||
| air outlet enthalpy, in J/kg; | |||
| air inlet humidity, in g/kg; | saturated air enthalpy at the water outlet temperature, in J/kg; | ||
| effective coil surface temperature, in °C; | |||
| saturated air enthalpy at the coil surface temperature, in J/kg; | overall fin surface efficiency; | ||
| air-side thermal conductance, in W/(K·m2); | water-side thermal conductance, in W/(K·m2); | ||
| air-side heat transfer area, in m2; | water-side heat transfer area, in m2; | ||
| overall effectiveness of the coil; | air-side effectiveness of the coil; | ||
| enthalpy-based overall thermal conductance, in W/(J/kg); | temperature-based overall thermal conductance, in W/K; | ||
| log mean enthalpy difference, in J/kg; | log mean temperature difference, in K; | ||
| fictitious specific heat; | moisture separation coefficient | ||
| coefficient of variation; | root mean squared error; | ||
| relative prediction error proportion of the number of points to all operating points smaller than 5%; | relative prediction error proportion of the number of points to all operating points smaller than 10%. |
References
- Elmahdy, A.H.; Mitalas, G.P. A Simple Model for Cooling and Dehumidifying Coils for Use in Calculating Energy Requirements for Buildings. ASHRAE Trans. 1977, 83, 103–117. [Google Scholar]
- Braun, J.E. Methodologies for the Design and Control of Central Cooling Plants. Ph.D. Thesis, University of Wisconsin-Madison, Madison, WI, USA, 1988. [Google Scholar]
- Chow, T.T. Chilled water cooling coil models from empirical to fundamental. Numer. Heat Transf. Part A Appl. 1997, 32, 63–83. [Google Scholar] [CrossRef]
- Vardhan, A.; Dhar, P.L. A New Procedure for Performance Prediction of Air Conditioning Coils. Int. J. Refrig. 1998, 21, 77–83. [Google Scholar] [CrossRef]
- Zhou, X.; Braun, J.E. Transient Modeling of Chilled Water Cooling Coils. In Proceedings of the International Refrigeration and Air Conditioning Conference, West Lafayette, IN, USA, 12–15 July 2004. [Google Scholar]
- Yao, Y.; Lian, Z.; Hou, Z. Thermal Analysis of Cooling Coils Based on a Dynamic Model. Appl. Therm. Eng. 2004, 24, 1037–1050. [Google Scholar] [CrossRef]
- Wang, Y.-W.; Cai, W.-J.; Soh, Y.-C.; Li, S.-J.; Lu, L.; Xie, L. A Simplified Modeling of Cooling Coils for Control and Optimization of HVAC Systems. Energy Convers. Manag. 2004, 45, 2915–2930. [Google Scholar] [CrossRef]
- Khamis, M.; Hassab, M. Thermal Design of Cooling and Dehumidifying Coils. In Heat Exchangers—Basics Design Applications; Mitrovic, J., Ed.; InTech: Houston, TX, USA, 2012; ISBN 978-953-51-0278-6. [Google Scholar]
- Song, L.; Wang, G. Using a Hybrid Method to Construct a Computational Efficient Cooling Coil Model for an Automated Single-Duct Variable Air Volume System Fault Detection and Diagnosis. Energy Build. 2015, 92, 363–373. [Google Scholar] [CrossRef]
- Nazari, M.; Ghaffari, A. Modeling and Analysis of Cooling Coil for Control System Design Using Gray Box Approach. Mod. Appl. Sci. 2016, 10, 23. [Google Scholar] [CrossRef]
- Liao, H.; Cai, W.; Cheng, F.; Dubey, S.; Rajesh, P.B. An Online Data-Driven Fault Diagnosis Method for Air Handling Units by Rule and Convolutional Neural Networks. Sensors 2021, 21, 4358. [Google Scholar] [CrossRef] [PubMed]
- Yin, P.; Alam, T.; O’Neal, D. Empirical Modeling of Variable Air Variable Water Fan Coil Units in Cooling Mode for Building Energy Calculations (RP-1741). ASHRAE Trans. 2019, 125, 49–52. [Google Scholar]
- Morisot, O.; Marchio, D.; Stabat, P. Simplified Model for the Operation of Chilled Water Cooling Coils Under Nonnominal Conditions. HVAC&R Res. 2002, 8, 135–158. [Google Scholar] [CrossRef]
- Rabehl, R.; Mitchell, J.; Beckman, W. Parameter Estimation and the Use of Catalog Data in Modeling Heat Exchangers and Coils. HVAC&R Res. 1999, 5, 3–17. [Google Scholar] [CrossRef]
- Yan, C.; Yang, X.; Xu, Y. Mathematical Explanation and Fault Diagnosis of Low Delta-T Syndrome in Building Chilled Water Systems. Buildings 2018, 8, 84. [Google Scholar] [CrossRef]
- Wang, C.-C.; Chang, C.-T. Heat and Mass Transfer for Plate Fin-and-Tube Heat Exchangers, with and without Hydrophilic Coating. Int. J. Heat Mass Transf. 1998, 41, 3109–3120. [Google Scholar] [CrossRef]
- Wang, J.; Hihara, E. Prediction of Air Coil Performance under Partially Wet and Totally Wet Cooling Conditions Using Equivalent Dry-Bulb Temperature Method. Int. J. Refrig. 2003, 26, 293–301. [Google Scholar] [CrossRef]
- Yu, X.; Wen, J.; Smith, T.F. A Model for the Dynamic Response of a Cooling Coil. Energy Build. 2005, 37, 1278–1289. [Google Scholar] [CrossRef]
- Wang, G.; Liu, M.; Claridge, D.E. Decoupled Modeling of Chilled Water Cooling Coils Using a Finite Element Method. In Proceedings of the Fifth International Conference for Enhanced Building Operations, Pittsburgh, PA, USA, 11–13 October 2005. [Google Scholar]
- Zhou, X.; Braun, J. A Simplified Dynamic Model for Chilled-Water Cooling and Dehumidifying Coils—Part 1: Development (RP-1194). HVAC&R Res. 2007, 13, 785–804. [Google Scholar] [CrossRef]
- Li, P.; Li, Y.; Seem, J. Modelica-Based Dynamic Modeling of a Chilled-Water Cooling Coil. HVAC&R Res. 2010, 16, 35–58. [Google Scholar] [CrossRef]
- Stoecker, W.F. Procedures for Simulating the Performance of Components and Systems for Energy Calculations, 3rd ed.; U.S. Department of Energy Office of Scientific and Technical Information: Oak Ridge, TN, USA, 1975. [Google Scholar]
- De La Cruz-Loredo, I.; Zinsmeister, D.; Licklederer, T.; Ugalde-Loo, C.E.; Morales, D.A.; Bastida, H.; Perić, V.S.; Saleem, A. Experimental Validation of a Hybrid 1-D Multi-Node Model of a Hot Water Thermal Energy Storage Tank. Appl. Energy 2023, 332, 120556. [Google Scholar] [CrossRef]
- Bell, I.H.; Quoilin, S.; Georges, E.; Braun, J.E.; Groll, E.A.; Horton, W.T.; Lemort, V. A Generalized Moving-Boundary Algorithm to Predict the Heat Transfer Rate of Counterflow Heat Exchangers for Any Phase Configuration. Appl. Therm. Eng. 2015, 79, 192–201. [Google Scholar] [CrossRef]
- Heinz, A.; Lerch, W.; Heimrath, R. Heat Pump Condenser and Desuperheater Integrated into a Storage Tank: Model De-velopment and Comparison with Measurements. Appl. Therm. Eng. 2016, 102, 465–475. [Google Scholar] [CrossRef]
- Cadafalch, J.; Carbonell, D.; Consul, R.; Ruiz, R. Modelling of Storage Tanks with Immersed Heat Exchangers. Sol. Energy 2015, 112, 154–162. [Google Scholar] [CrossRef]
- Ren, C.; Yang, H. An Analytical Model for the Heat and Mass Transfer Processes in Indirect Evaporative Cooling with Parallel/Counter Flow Configurations. Int. J. Heat Mass Transf. 2006, 49, 617–627. [Google Scholar] [CrossRef]
- Xia, L.; Chan, M.Y.; Deng, S.M.; Xu, X.G. Analytical Solutions for Evaluating the Thermal Performances of Wet Air Cooling Coils under Both Unit and Non-Unit Lewis Factors. Energy Convers. Manag. 2010, 51, 2079–2086. [Google Scholar] [CrossRef]
- Xia, L.; Chan, M.Y.; Deng, S.M.; Xu, X.G. A Modified Logarithmic Mean Enthalpy Difference (LMED) Method for Evaluating the Total Heat Transfer Rate of a Wet Cooling Coil under Both Unit and Non-Unit Lewis Factors. Int. J. Therm. Sci. 2009, 48, 2159–2164. [Google Scholar] [CrossRef]
- Lee, C.K. A Simplified Explicit Model for Determining the Performance of a Chilled Water Cooling Coil. Int. J. Refrig. 2014, 43, 167–175. [Google Scholar] [CrossRef]
- Wetter, M. Simulation Model Finned Water-to-Air Coil without Condensation; Lawrence Berkeley National Laboratory: Berkeley, CA, USA, 1999. [Google Scholar]
- Lemort, V.; Lebrun, J.; Cuevas, C.; Teodorese, I.V. Development of Simple Cooling Coil Models for Simulation of HVAC Systems. ASHRAE Trans. 2008, 114, 319–328. [Google Scholar]
- Bertagnolio, S.; Lebrun, J. Simulation of a Building and Its HVAC System with an Equation Solver: Application to Benchmarking. Build. Simul. 2008, 1, 234–250. [Google Scholar] [CrossRef]
- Xia, L.; Yang, T.; Chan, Y.; Tang, L.; Chen, Y.-T. Optimisation of Direct Expansion (DX) Cooling Coils Aiming to Building Energy Efficiency. J. Build. Constr. Plan. Res. 2015, 03, 47–59. [Google Scholar] [CrossRef]
- Mansour, M.K.; Fath, H.E. A New and Practical ε-NTU Correlation for the Humidification Process under Different Lewis Number. Desalination 2016, 395, 72–78. [Google Scholar] [CrossRef]
- Mansour, M.K.; Hassab, M.A. Simplified Approach of Predictions of Thermal Performance for Counterflow Fully-Wet Cooling Coil. Heat Mass Transf. 2017, 53, 2211–2217. [Google Scholar] [CrossRef]
- Ruivo, C.R.; Dominguez-Muñoz, F.; Costa, J.J. Simplified Model of Finned-Tube Heat Exchangers Based on the Effectiveness Method and Calibrated with Manufacturer and Experimental Data. Appl. Therm. Eng. 2017, 111, 340–352. [Google Scholar] [CrossRef]
- Mitchell, J.W.; Braun, J.E. Principles of Heating, Ventilation, and Air Conditioning in Buildings, 1st ed.; Wiley: Hoboken, NJ, USA, 2012; ISBN 978-0-470-62457-9. [Google Scholar]
- Yan, D.; Xia, J.; Tang, W.; Song, F.; Zhang, X.; Jiang, Y. DeST—An Integrated Building Simulation Toolkit Part I: Fundamentals. Build. Simul. 2008, 1, 95–110. [Google Scholar] [CrossRef]
- U.S. Department of Energy. EnergyPlus Version 23.1: Engineering Reference; U.S. Department of Energy: Washington, DC, USA, 2023. [Google Scholar]
- Thermal Energy System Specialists, LLC. TRNSYS 18: Mathematical Reference; Thermal Energy System Specialists, LLC.: Madison, WI, USA, 2019. [Google Scholar]
- Zendehboudi, A. Experimental Analysis of a Tri-Partite Brazed Plate Gas Cooler for CO2 Heat Pump Water Heaters. Appl. Therm. Eng. 2024, 241, 122376. [Google Scholar] [CrossRef]
- Lian, Z.; Chen, B. Fundamentals & Equipment of Heat & Mass Transfer, 4th ed.; China Architecture & Building Press: Beijing, China, 2018. [Google Scholar]
- Zhao, R.; Fan, C.; Xue, D.; Qian, Y. Air Conditioning, 4th ed.; China Architecture & Building Press: Beijing, China, 2009. [Google Scholar]
- Jin, G.-Y.; Cai, W.-J.; Wang, Y.-W.; Yao, Y. A Simple Dynamic Model of Cooling Coil Unit. Energy Convers. Manag. 2006, 47, 2659–2672. [Google Scholar] [CrossRef]
- Virtanen, P.; Gommers, R.; Oliphant, T.E.; Haberland, M.; Reddy, T.; Cournapeau, D.; Burovski, E.; Peterson, P.; Weckesser, W.; Bright, J.; et al. SciPy 1.0: Fundamental Algorithms for Scientific Computing in Python. Nat. Methods 2020, 17, 261–272. [Google Scholar] [CrossRef] [PubMed]
- Gao, F.; Han, L. Implementing the Nelder-Mead Simplex Algorithm with Adaptive Parameters. Comput. Optim. Appl. 2012, 51, 259–277. [Google Scholar] [CrossRef]
- GB/T 19232-2003; Ministry of Construction of P.R. China. National Standard: Fan Coil Units. China Architecture & Building Press: Beijing, China, 2003.
- Lu, Y. Practical Design Handbook for Heating and Air-Conditioning, 2nd ed.; China Architecture & Building Press: Beijing, China, 2008. [Google Scholar]
- Zhang, B.; You, S.; Wang, S.; Ding, X.; Wang, C.; Gao, Y. From Laboratory to On-Site Operation: Reevaluation of Empirically Based Electric Water Chiller Models. Build. Simul. 2022, 15, 213–232. [Google Scholar] [CrossRef]
- Palaić, D.; Štajduhar, I.; Ljubic, S.; Wolf, I. Development, Calibration, and Validation of a Simulation Model for Indoor Temperature Prediction and HVAC System Fault Detection. Buildings 2023, 13, 1388. [Google Scholar] [CrossRef]
- Talib, R.; Nabil, N.; Choi, W. Optimization-Based Data-Enabled Modeling Technique for HVAC Systems Components. Buildings 2020, 10, 163. [Google Scholar] [CrossRef]
- Shanghai SINKO Co. Ltd. SINKO Fan Coil Unit—SGCR2006A Series Catalog (Following GB/T19232-2003). 2015, p. 490. Available online: https://wenku.baidu.com/view/f4f98a03ec3a87c24128c47e.html (accessed on 11 July 2024).
- Tsinghua DeST Group. DeST—Designer’s Simulation Toolkit. 2024. Available online: https://www.dest.net.cn/ (accessed on 11 July 2024).
- Wang, C.; Li, X.; Sun, W.; An, J.; Gao, S. Occupant Behavior, Thermal Environment, and Appliance Electricity Use of a Single-Family Apartment in China. Sci. Data 2024, 11, 65. [Google Scholar] [CrossRef]
- Zhang, Y.; Xue, D. Enthalpy efficiency method for air cooling coils on wet conditions. Chinese Journal of Refrigeration. 1984, 4, 33–42. (In Chinese) [Google Scholar]









| Equation Type | Enthalpy-Based ε-NTU Method | Temperature-Based ε-NTU Method |
|---|---|---|
| Total capacity | ||
| Sensible capacity | ||
| Overall effectiveness | ||
For wet conditions, . | ||
| (e.g., for counterflow cooling coils) | ||
| Air-side effectiveness (or contact effectiveness [32,43,44]) | ||
| Parameter | All Operation Conditions | Training Set |
|---|---|---|
| Inlet water temperature (°C) | Five levels: 5, 6, 7, 8, 9 | Two levels: 6, 8 |
| Water flow rate (L/min) | Four levels that differ with model number, i.e., 2.4, 4.8, 6, 7.2 for model no. 200; 3.6, 4.8, 7.2, 9.6 for model no. 300; 4.8, 7.2, 9.6, 12 for model no. 400; 6.0, 9.6, 13.2, 15.6 for model no. 500; 7.2, 12, 15, 18 for model no. 600; 12, 15.6, 19.2, 24 for model no. 800; 14.4, 18, 24, 30 for model no. 1000; 18, 24, 30, 33 for model no. 1200; 18, 24, 30, 39 for model no. 1400. | All four levels |
| Inlet air dry and wet bulb temperature (°C) | Four levels: (24, 17), (25, 17.8), (26, 18.7), (27, 19.5) | Two levels: (24, 17), (26, 18.7) |
| Air flow rate (m3/h) | Three levels that differ with model number, i.e., 195, 280, 360 for model no. 200; 290, 415, 550 for model no. 300; 380, 560, 720 for model no. 400; 450, 675, 900 for model no. 500; 545, 765, 1040 for model no. 600; 755, 1090, 1450 for model no. 800; 910, 1355, 1800 for model no. 1000; 1095, 1650, 2180 for model no. 1200; 1550, 2050, 2600 for model no. 1400. | All three levels |
| Number of operation states | (20%) |
| FCU No. | Training Set | Test Set | |||||||||
| CV | CV | ||||||||||
| 200 | 0.499 | −0.502 | 1.152 | 27.766 | 0.032 | 2.7% | 91% | 100% | 3.2% | 85% | 100% |
| 300 | 0.606 | −0.707 | 1.157 | 28.510 | 0.098 | 2.5% | 95% | 100% | 3.1% | 92% | 100% |
| 400 | 1.294 | −0.551 | 0.967 | 36.633 | 0.031 | 2.2% | 100% | 100% | 2.8% | 95% | 100% |
| 500 | 1.061 | −0.529 | 0.981 | 38.931 | 0.044 | 2.2% | 100% | 100% | 2.9% | 95% | 100% |
| 600 | 1.552 | −0.490 | 0.911 | 49.894 | −0.026 | 2.5% | 98% | 100% | 2.8% | 96% | 100% |
| 800 | 2.335 | −0.602 | 0.892 | 41.253 | 0.122 | 2.1% | 98% | 100% | 2.6% | 97% | 100% |
| 1000 | 2.138 | −0.527 | 0.887 | 47.094 | 0.046 | 1.7% | 100% | 100% | 3.0% | 92% | 100% |
| 1200 | 3.088 | −0.507 | 0.825 | 53.254 | 0.028 | 2.3% | 100% | 100% | 3.3% | 92% | 100% |
| 1400 | 0.166 | −0.492 | 1.200 | 54.231 | 0.018 | 3.1% | 93% | 100% | 2.3% | 98% | 100% |
| Information | Value |
|---|---|
| Tube-fin surface area of each row (m2) | 24.05 |
| Airflow windward area (m2) | 1.87 |
| Waterflow crossing area (m2) | 0.00407 |
| Overall thermal conductance (W/m2-K) | |
| Air-side effectiveness |
| Parameter | Training Dataset | Test Dataset | ||
|---|---|---|---|---|
| Number of Levels | Values | Number of Levels | Values | |
| Inlet water temperature (°C) | 3 | 5, 7, 9 | 5 | 5, 6, 7, 8, 9 |
| Water velocity (m/s) | 3 | 0.6, 1.2, 1.8 | 7 | 0.6, 0.8, 1, 1.2, 1.4, 1.6, 1.8 |
| Air velocity (m/s) | 4 | 1.5, 2, 2.5, 3 | 4 | 1.8, 2.1, 2.4, 2.7 |
| Inlet air dry-bulb temperature (°C) | 3 | 28, 30, 32 | 815 | Beijing TMY weather data in summer [54] (>26 °C, >40%) |
| Inlet air relative humidity (%) | 2 | 40, 80 | ||
| Number of operation states | 216 (<0.2%) | 114,100 | ||
| AHU No. | Training Set | Test Set | |||||||||
| CV | CV | ||||||||||
| JW10_4R | 0.615 | 0.172 | 0.718 | 2.323 | −0.304 | 2.1% | 99.5% | 100.0% | 2.4% | 99.9% | 100.0% |
| JW10_6R | 0.965 | 0.047 | 0.806 | 2.993 | −0.237 | 2.0% | 99.1% | 100.0% | 1.8% | 100.0% | 100.0% |
| JW10_8R | 0.967 | 0.042 | 0.849 | 4.085 | −0.248 | 2.1% | 98.6% | 100.0% | 1.8% | 99.9% | 100.0% |
| JW20_4R | 0.841 | 0.148 | 0.727 | 2.832 | −0.240 | 2.5% | 97.5% | 100.0% | 2.7% | 99.5% | 100.0% |
| JW20_6R | 1.416 | −0.014 | 0.812 | 3.331 | −0.184 | 3.0% | 93.8% | 100.0% | 2.6% | 99.4% | 100.0% |
| JW20_8R | 1.422 | −0.027 | 0.857 | 3.945 | −0.178 | 3.6% | 90.6% | 98.6% | 2.8% | 98.9% | 99.9% |
| JW30_4R | 0.948 | 0.136 | 0.732 | 3.021 | −0.235 | 2.5% | 97.5% | 100.0% | 2.6% | 99.7% | 100.0% |
| JW30_6R | 1.539 | −0.022 | 0.816 | 3.552 | −0.181 | 3.1% | 92.9% | 100.0% | 2.6% | 99.4% | 100.0% |
| JW30_8R | 1.519 | −0.034 | 0.860 | 4.194 | −0.175 | 3.6% | 89.7% | 98.6% | 2.8% | 98.8% | 99.9% |
| JW40_4R | 1.145 | 0.112 | 0.740 | 3.113 | −0.212 | 2.8% | 95.9% | 100.0% | 2.9% | 98.3% | 100.0% |
| JW40_6R | 2.097 | −0.090 | 0.826 | 3.493 | −0.164 | 3.8% | 86.4% | 99.0% | 3.2% | 98.0% | 99.9% |
| JW40_8R | 2.126 | −0.116 | 0.876 | 3.920 | −0.158 | 4.6% | 78.1% | 96.7% | 3.6% | 95.4% | 99.7% |
Disclaimer/Publisher’s Note: The statements, opinions and data contained in all publications are solely those of the individual author(s) and contributor(s) and not of MDPI and/or the editor(s). MDPI and/or the editor(s) disclaim responsibility for any injury to people or property resulting from any ideas, methods, instructions or products referred to in the content. |
© 2024 by the authors. Licensee MDPI, Basel, Switzerland. This article is an open access article distributed under the terms and conditions of the Creative Commons Attribution (CC BY) license (https://creativecommons.org/licenses/by/4.0/).
Share and Cite
Wang, C.; Wang, S.; Ding, X.; An, J.; Fu, X. A Simple Explicit Formula for Evaluating the Total Capacity of Chilled-Water Cooling Coils under Wet Conditions. Buildings 2024, 14, 2630. https://doi.org/10.3390/buildings14092630
Wang C, Wang S, Ding X, An J, Fu X. A Simple Explicit Formula for Evaluating the Total Capacity of Chilled-Water Cooling Coils under Wet Conditions. Buildings. 2024; 14(9):2630. https://doi.org/10.3390/buildings14092630
Chicago/Turabian StyleWang, Chuang, Shan Wang, Xiaoxiao Ding, Jingjing An, and Xiao Fu. 2024. "A Simple Explicit Formula for Evaluating the Total Capacity of Chilled-Water Cooling Coils under Wet Conditions" Buildings 14, no. 9: 2630. https://doi.org/10.3390/buildings14092630
APA StyleWang, C., Wang, S., Ding, X., An, J., & Fu, X. (2024). A Simple Explicit Formula for Evaluating the Total Capacity of Chilled-Water Cooling Coils under Wet Conditions. Buildings, 14(9), 2630. https://doi.org/10.3390/buildings14092630

