Cognitive Bias in Perceptions of Industrialized Housing
Abstract
1. Introduction
2. Methodology
2.1. Sample
2.2. Questionnaire
2.3. Stimulus
2.4. Data Analysis
3. Results
3.1. Phase I: Existence of Bias toward Industrialized Housing
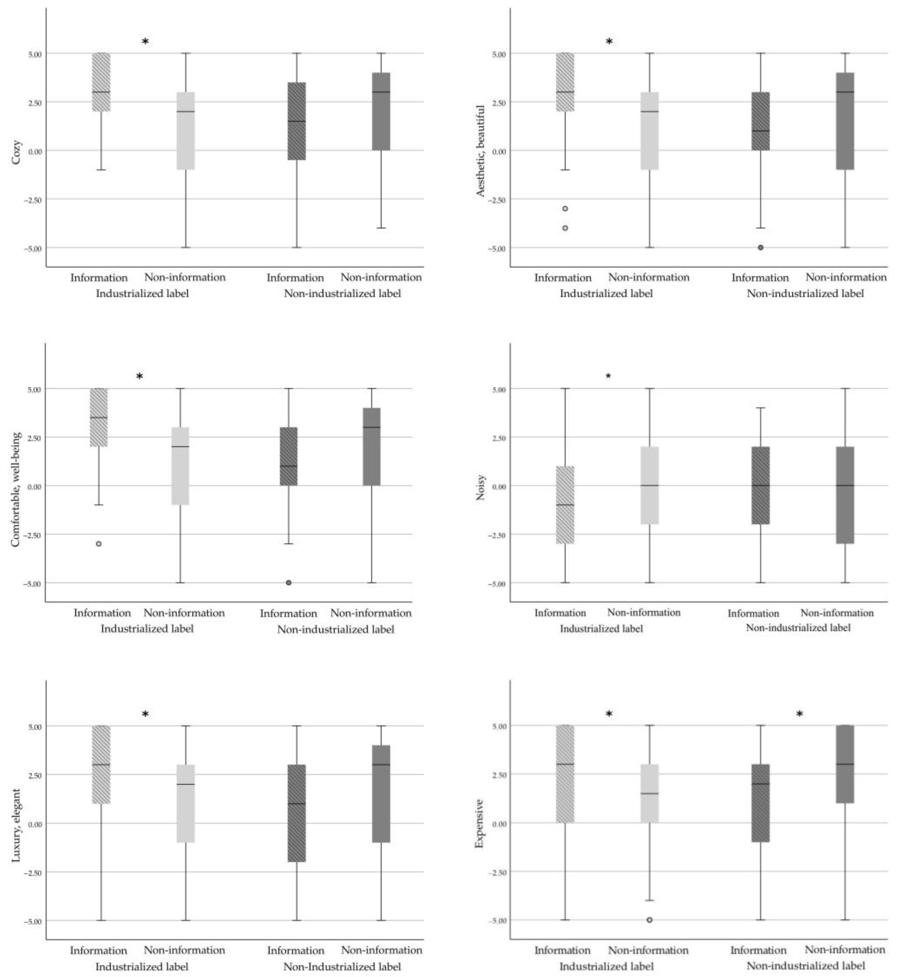
3.2. Phase II: Effect of Prior Information on Industrialized Housing Bias
4. Discussion
5. Conclusions
Author Contributions
Funding
Data Availability Statement
Conflicts of Interest
References
- Wuni, I.Y.; Shen, G.Q. Barriers to the adoption of modular integrated construction: Systematic review and meta-analysis, integrated conceptual framework, and strategies. J. Clean. Prod. 2020, 249, 119347. [Google Scholar] [CrossRef]
- Gibb, A.G. Off-Site Fabrication: Prefabrication, Pre-Assembly and Modularisation; John Wiley & Sons: Hoboken, NJ, USA, 1999. [Google Scholar]
- Wuni, I.Y.; Shen, G.Q. Critical success factors for modular integrated construction projects: A review. Build. Res. Inf. 2020, 48, 763–784. [Google Scholar] [CrossRef]
- Loizou, L.; Barati, K.; Shen, X.; Li, B. Quantifying advantages of modular construction: Waste generation. Buildings 2021, 11, 622. [Google Scholar] [CrossRef]
- Bertram, N.; Fuchs, S.; Mischke, J.; Palter, R.; Strube, G.; Woetzel, J. Modular construction: From projects to products. McKinsey Co. Cap. Proj. Infrastruct. 2019, 1, 1–34. [Google Scholar]
- Kamali, M.; Hewage, K. Life cycle performance of modular buildings: A critical review. Renew. Sustain. Energy Rev. 2016, 62, 1171–1183. [Google Scholar] [CrossRef]
- Hammad, A.W.; Akbarnezhad, A.; Wu, P.; Wang, X.; Haddad, A. Building information modelling-based framework to contrast conventional and modular construction methods through selected sustainability factors. J. Clean. Prod. 2019, 228, 1264–1281. [Google Scholar] [CrossRef]
- Lawson, R.M.; Ogden, R.G.; Bergin, R. Gibb Application of modular construction in high-rise buildings. J. Archit. Eng. 2012, 18, 148–154. [Google Scholar] [CrossRef]
- Margherita, L.; Carlos, M.; Urban, P. Challenges Facing Components Reuse in Industrialized Housing: A literature review. Environ. Sci. Sustain. Dev. 2021, 6, 73–82. [Google Scholar] [CrossRef]
- Monahan, J.; Powell, J.C. An embodied carbon and energy analysis of modern methods of construction in housing: A case study using a lifecycle assessment framework. Energy Build. 2011, 43, 179–188. [Google Scholar] [CrossRef]
- Al-Hussein, M.; Manrique, J.D.; Mah, D. North Ridge CO2 Analysis Report: Comparison between Modular and On-Site Construction; University of Alberta: Edmontom, AB, Canada, 2009. [Google Scholar]
- Kim, D. Preliminary Life Cycle Analysis of Modular and Conventional Housing in Benton Harbor, Michigan. Ph.D. Dissertation, University of Michigan, Ann Arbor, MI, USA, 2008. [Google Scholar]
- Kedir, F.; Hall, D.M. Resource efficiency in industrialized housing construction—A systematic review of current performance and future opportunities. J. Clean. Prod. 2021, 286, 125443. [Google Scholar] [CrossRef]
- Zhou, Z.; Shen, G.; Xue, J.; Sun, C.; Liu, Y.; Cong, W.; Yu, T.; Wang, Y. The formation of citizens’ intentions to purchase prefabricated housing in China: The integrating theory of planned behavior and norm activation model. Eng. Constr. Archit. Manag. 2023. ahead-of-print. [Google Scholar] [CrossRef]
- Koklic, M.K.; Vida, I. A Strategic Household Purchase: Consumer House Buying Behavior. Manag. Glob. Transit. Int. Res. J. 2011, 7, 74–96. [Google Scholar]
- Shen, K.; Li, X.; Cao, X.; Zhang, Z. Prefabricated housing subsidy analysis in China based on an evolutionary game model. J. Civ. Eng. Manag. 2021, 27, 553–570. [Google Scholar] [CrossRef]
- Kamar, K.M.; Alshawi, M.; Hamid, Z. Barriers to industrialized building system (IBS): The case of Malaysia. In Proceedings of the BuHu 9th International Postgraduate Research Conference (IPGRC), Salford, UK, 29 January 2009; Volume 30. [Google Scholar]
- Cheng, C.; Shen, K.; Li, X.; Zhang, Z. Major barriers to different kinds of prefabricated public housing in China: The developers’ perspective. In Proceedings of the ICCREM 2017—International Conference on Construction and Real Estate Management 2017, Guangzhou, China, 10–12 November 2017; pp. 79–88. [Google Scholar]
- Pasquire, C.L.; Gibb, A.G. Considerations for assessing the benefits of standardisation and pre-assembly in construction. J. Financ. Manag. Prop. Constr. 2002, 7, 151–161. [Google Scholar]
- Blismas, N.; Pasquire, C.; Gibb, A. Benefit evaluation for off-site production in construction. Constr. Manag. Econ. 2006, 24, 121–130. [Google Scholar] [CrossRef]
- Lovell, H.; Smith, S.J. Agencement in housing markets: The case of the UK construction industry. Geoforum 2010, 41, 457–468. [Google Scholar] [CrossRef]
- Shah, R.; O’Mahony, L.; Matipa, W.; Cotgrave, A. The public perception of prefabricated housing in the UK. EPiC Ser. Built Environ. 2020, 1, 266–273. [Google Scholar]
- Mao, C.; Shen, Q.; Pan, W.; Ye, K. Major barriers to off-site construction: The developer’s perspective in China. J. Manag. Eng. 2015, 31, 04014043. [Google Scholar] [CrossRef]
- Craig, A.; Laing, R.; Edge, M. 21st Century: Cities, social life and sustainable development. In Proceedings of the 16th IAPS Conference, Paris, France, 4–7 July 2000; pp. 161–169. [Google Scholar]
- Apaydin, F. Effectiveness of prefabricated house industry’s marketing activities and Turkish consumers’ buying intentions towards prefabricated houses. Asian Soc. Sci. 2011, 7, 267–276. [Google Scholar] [CrossRef]
- Mazursky, D.; Jacoby, J. Forming impressions of merchandise and service quality. In Perceived Quality; Jacoby, J., Olson, J., Eds.; Lexington Books: Lexington, MA, USA, 1985; pp. 13–54. [Google Scholar]
- Dou, Y.; Sun, X.; Ji, A.; Wang, Y.; Xue, X. Development strategy for prefabricated construction projects: A tripartite evolutionary game based on prospect theory. Eng. Constr. Archit. Manag. 2023, 30, 105–124. [Google Scholar] [CrossRef]
- Ekanayake, E.M.A.C.; Shen, G.; Kumaraswamy, M.; Owusu, E.K.; Xue, J. Capabilities to withstand vulnerabilities and boost resilience in industrialized construction supply chains: A Hong Kong study. Eng. Constr. Archit. Manag. 2022, 29, 3809–3829. [Google Scholar] [CrossRef]
- Song, Y.; Wang, J.; Liu, D.; Huangfu, Y.; Guo, F.; Liu, Y. The influence of government’s economic management strategies on the prefabricated buildings promoting policies: Analysis of quadripartite evolutionary game. Buildings 2021, 11, 444. [Google Scholar] [CrossRef]
- Wu, G.; Yang, R.; Li, L.; Bi, X.; Liu, B.; Li, S.; Zhou, S. Factors influencing the application of prefabricated construction in China: From perspectives of technology promotion and cleaner production. J. Clean. Prod. 2019, 219, 753–762. [Google Scholar] [CrossRef]
- Groves, R.M.; Peytcheva, E. The impact of nonresponse rates on nonresponse bias: A meta-analysis. Public Opin. Q. 2008, 72, 167–189. [Google Scholar] [CrossRef]
- Tourangeau, R.; Rips, L.J.; Rasinski, K. The Psychology of Survey Response; Cambridge University Press: Cambridge, UK, 2000. [Google Scholar]
- Llinares, C.; Page, A. Application of product differential semantics to quantify purchaser perceptions in housing assessment. Build. Environ. 2007, 42, 2488–2497. [Google Scholar] [CrossRef]
- Llinares, C.; Page, A.F. Kano’s model in Kansei Engineering to evaluate subjective real estate consumer preferences. Int. J. Ind. Ergon. 2011, 41, 233–246. [Google Scholar] [CrossRef]
- McKnight, P.E.; Najab, J. Mann-Whitney U Test. Corsini Encycl. Psychol. 2010, 1. [Google Scholar] [CrossRef]
- MacFarland, T.W.; Yates, J.M.; MacFarland, T.W.; Yates, J.M. Mann–whitney u test. In Introduction to Nonparametric Statistics for the Biological Sciences Using R; Springer: Cham, Switzerland, 2016; pp. 103–132. [Google Scholar]
- Rosenthal, R. Effect sizes: Pearson’s correlation, its display via the BESD, and alternative indices. Am. Psychol. 1991, 46, 1086–1087. [Google Scholar] [CrossRef]
- Fritz, C.O.; Morris, P.E.; Richler, J.J. Effect size estimates: Current use, calculations, and interpretation. J. Exp. Psychol. Gen. 2012, 141, 2–18. [Google Scholar] [CrossRef]
- Fang, Y.; Zhu, L.; Cao, X.; Zhang, L.; Li, X. Visual Saliency: How Text Influences. In Social Computing and Social Media. Design, Ethics, User Behavior, and Social Network Analysis, Proceedings of the HCII 2020, Copenhagen, Denmark, 19–24 July 2020; Meiselwitz, G., Ed.; Lecture Notes in Computer Science; Springer: Cham, Switzerland, 2020; Volume 12194. [Google Scholar] [CrossRef]
- Claudy, M.C.; Garcia, R.; O’Driscoll, A. Consumer resistance to innovation—A behavioral reasoning perspective. J. Acad. Mark. Sci. 2015, 43, 528–544. [Google Scholar] [CrossRef]
- Joachim, V.; Spieth, P.; Heidenreich, S. Active innovation resistance: An empirical study on functional and psychological barriers to innovation adoption in different contexts. Ind. Mark. Manag. 2018, 71, 95–107. [Google Scholar] [CrossRef]
- Kleijnen, M.; Lee, N.; Wetzels, M. An exploration of consumer resistance to innovation and its antecedents. J. Econ. Psychol. 2009, 30, 344–357. [Google Scholar] [CrossRef]
- Frewer, L.J. Consumer acceptance and rejection of emerging agrifood technologies and their applications. Eur. Rev. Agric. Econ. 2017, 44, 683–704. [Google Scholar] [CrossRef]
- Chen, S.; Granitz, N. Adoption, rejection, or convergence: Consumer attitudes toward book digitization. J. Bus. Res. 2012, 65, 1219–1225. [Google Scholar] [CrossRef]
- Laukkanen, T. Consumer adoption versus rejection decisions in seemingly similar service innovations: The case of the Internet and mobile banking. J. Bus. Res. 2016, 69, 2432–2439. [Google Scholar] [CrossRef]
- Mehra, A.; Rajput, S.; Paul, J. Determinants of adoption of latest version smartphones: Theory and evidence. Technol. Forecast. Soc. Chang. 2022, 175, 121410. [Google Scholar] [CrossRef]
- Richetin, J.; Demartini, E.; Gaviglio, A.; Ricci, E.C.; Stranieri, S.; Banterle, A.; Perugini, M. The biasing effect of evocative attributes at the implicit and explicit level: The tradition halo and the industrial horn in food products evaluations. J. Retail. Consum. Serv. 2021, 61, 101890. [Google Scholar] [CrossRef]
- Shapira, B.; Shoval, P.; Hanani, U. Stereotypes in information filtering systems. Inf. Process. Manag. 1997, 33, 273–287. [Google Scholar] [CrossRef]
- Shapira, B.; Shoval, P.; Hanani, U. Experimentation with an information filtering system that combines cognitive and sociological filtering integrated with user stereotypes. Decis. Support Syst. 1999, 27, 5–24. [Google Scholar] [CrossRef]
- Devine, P.G. Stereotypes and prejudice: Their automatic and controlled components. J. Personal. Soc. Psychol. 1989, 56, 5. [Google Scholar] [CrossRef]
- Fazio, R.H.; Jackson, J.R.; Dunton, B.C.; Williams, C.J. Variability in automatic activation as an unobtrusive measure of racial attitudes: A bona fide pipeline? J. Personal. Soc. Psychol. 1995, 69, 1013–1027. [Google Scholar] [CrossRef] [PubMed]
- Duboz, A.; Mourtzouchou, A.; Grosso, M.; Kolarova, V.; Cordera, R.; Nägele, S.; Raposo, M.A.; Krause, J.; Garus, A.; Eisenmann, C. Exploring the acceptance of connected and automated vehicles: Focus group discussions with experts and non-experts in transport. Transp. Res. Part F Traffic Psychol. Behav. 2022, 89, 200–221. [Google Scholar] [CrossRef]
- Montañana, A.; Nolé, M.L.; Llinares, C. Strategic Design Approaches for Eliciting the Perception of ‘Prestige’ in Housing Consumers. Buildings 2024, 14, 853. [Google Scholar] [CrossRef]
- Cohen, J. A power primer. In Methodological Issues and Strategies in Clinical Research, 4th ed.; Kazdin, A.E., Ed.; American Psychological Association: Worcester, MA, USA, 2016; pp. 279–284. [Google Scholar] [CrossRef]
- Lee, S.; Ha, S.; Widdows, R. Consumer responses to high-technology products: Product attributes, cognition, and emotions. J. Bus. Res. 2011, 64, 1195–1200. [Google Scholar] [CrossRef]
- Sweller, J. Cognitive load theory. In Psychology of Learning and Motivation; Academic Press: Cambridge, MA, USA, 2011; Volume 55, pp. 37–76. [Google Scholar]
- Ericsson, K.A.; Smith, J. (Eds.) Toward a General Theory of Expertise: Prospects and Limits; Cambridge University Press: Cambridge, UK, 1991. [Google Scholar]
- Steinhardt, D.A.; Manley, K. Adoption of prefabricated housing–the role of country context. Sustain. Cities Soc. 2016, 22, 126–135. [Google Scholar] [CrossRef]
- Larson, R.B. Controlling social desirability bias. Int. J. Mark. Res. 2019, 61, 534–547. [Google Scholar] [CrossRef]




| Non-Sector Related | Sector Related | |||||
|---|---|---|---|---|---|---|
| Condition | Label | Image | Female | Male | Female | Male |
| Information | Industrialized | Industrialized | 14 | 13 | - | - |
| Non-industrialized | 15 | 16 | - | - | ||
| Non-industrialized | Industrialized | 16 | 11 | - | - | |
| Non-industrialized | 17 | 12 | - | - | ||
| Non-information | Industrialized | Industrialized | 13 | 14 | 6 | 4 |
| Non-industrialized | 12 | 15 | 3 | 5 | ||
| Non-industrialized | Industrialized | 13 | 13 | 6 | 7 | |
| Non-industrialized | 14 | 14 | 6 | 8 | ||
| Phase and Purpose | Hypothesis Proposed | Dependent Variable | Independent Variables |
|---|---|---|---|
| I. To know if there is a bias toward industrialized housing | Q1: (h1) There is a bias based on the term “industrialized” | Like Rating |
|
| Q2: (h2) The bias is specific to people who are not experts in the sector | Like Rating |
| |
| II. To know if the provision of prior information on industrialized homes influences their valuation | Q3: (h3) The bias toward industrialized housing is influenced by prior information. | Like Rating of non-experts |
|
| Q4: (h4) Prior information affects the set of assessments of industrialized housing | Set of assessments of non-experts |
|
Disclaimer/Publisher’s Note: The statements, opinions and data contained in all publications are solely those of the individual author(s) and contributor(s) and not of MDPI and/or the editor(s). MDPI and/or the editor(s) disclaim responsibility for any injury to people or property resulting from any ideas, methods, instructions or products referred to in the content. |
© 2024 by the authors. Licensee MDPI, Basel, Switzerland. This article is an open access article distributed under the terms and conditions of the Creative Commons Attribution (CC BY) license (https://creativecommons.org/licenses/by/4.0/).
Share and Cite
Nolé, M.L.; Montañana, A.; Barranco-Merino, R.; Higuera-Trujillo, J.L.; Llinares, C. Cognitive Bias in Perceptions of Industrialized Housing. Buildings 2024, 14, 2665. https://doi.org/10.3390/buildings14092665
Nolé ML, Montañana A, Barranco-Merino R, Higuera-Trujillo JL, Llinares C. Cognitive Bias in Perceptions of Industrialized Housing. Buildings. 2024; 14(9):2665. https://doi.org/10.3390/buildings14092665
Chicago/Turabian StyleNolé, María Luisa, Antoni Montañana, Robi Barranco-Merino, Juan Luis Higuera-Trujillo, and Carmen Llinares. 2024. "Cognitive Bias in Perceptions of Industrialized Housing" Buildings 14, no. 9: 2665. https://doi.org/10.3390/buildings14092665
APA StyleNolé, M. L., Montañana, A., Barranco-Merino, R., Higuera-Trujillo, J. L., & Llinares, C. (2024). Cognitive Bias in Perceptions of Industrialized Housing. Buildings, 14(9), 2665. https://doi.org/10.3390/buildings14092665

