Next Article in Journal
A Two-Stage Genetic Algorithm for Beam–Slab Structure Optimization
Next Article in Special Issue
Spatial Correlation Network of Construction and Demolition Waste Management Efficiency: A Study Based on an Improved Three-Stage SBM-DEA Model in China
Previous Article in Journal
Energy Monitoring and Analysis of a Residential House in China
 
 
Font Type:
Arial Georgia Verdana
Font Size:
Aa Aa Aa
Line Spacing:
Column Width:
Background:
Article

Bond-Slip Constitutive Relationship between Steel Rebar and Concrete Synthesized from Solid Waste Coal Gasification Slag

1
China Hebei Construction & Geotechnical Investigation Group Ltd., Shijiazhuang 050227, China
2
State Key Laboratory of Metastable Materials Science and Technology, Yanshan University, Qinhuangdao 066000, China
3
Hebei Province Engineering Research Center for Harmless Synergistic Treatment and Recycling of Municipal Solid Waste, Yanshan University, Qinhuangdao 066000, China
*
Author to whom correspondence should be addressed.
Buildings 2024, 14(9), 2931; https://doi.org/10.3390/buildings14092931
Submission received: 10 July 2024 / Revised: 11 September 2024 / Accepted: 14 September 2024 / Published: 16 September 2024
(This article belongs to the Special Issue Research and Utilization of Solid Waste and Construction Waste)

Abstract

Bond performance served as a crucial foundation for the collaboration between concrete and steel rebar. This study investigated the bond performance between coal gasification slag (CGS) concrete, an environmentally friendly construction material, and steel rebar. The effects of fine aggregate type, steel rebar diameter, and anchorage length on bond performance were examined through bond-slip tests conducted on 16 groups of reinforced concrete specimens with different parameters. By utilizing experimental data, a formula for the bond strength between steel rebar and CGS concrete was derived. Additionally, the BPE bond-slip constitutive model was modified by introducing a correction factor (k) to account for relative protective layer thickness. Findings indicated that substituting 25% of manufactured sand with coal gasification slag did not cause significant adverse effects on concrete strength or bond stress between concrete and steel rebar. The effect of steel rebar diameter on the ultimate bond stress was not obvious, whereas when the steel rebar diameter was fixed; the increase in anchorage length led to uneven distribution of bond stress and eventually reduced the ultimate bond stress. The modified bond-slip constitutive model agreed well with the experimental values and was able to more accurately reflect the bond-slip performance between CGS concrete and steel rebar. This study provided a theoretical basis for the conversion of CGS into a resource and for the application of CGS concrete.

1. Introduction

The bonding performance between steel rebar and concrete refers to their ability to bond at the interface. This property is a critical indicator of their cooperation and directly influences the stiffness, overall stability, and durability of the structure [1,2]. In recent studies, V. Romanazzi et al. [3] primarily prepared geopolymer concrete using granulated blast furnace slag (GBFS), limestone, and gypsum. They then investigated the effects of steel rebar type and anchorage length on the bond strength between geopolymer concrete and steel rebar through central pull-out tests. They also modified the bond strength formula to better predict the bond behavior. This work provides theoretical support for the engineering application of environment-friendly concrete. F.M.C. de Melo et al. [4] investigated the effects of various hybrid fibers and steel rebar diameters on the bond properties of reinforced concrete. Their results indicated that while the incorporation of hybrid fibers improved the ductility of concrete, it also reduced the maximum bond stress. This effect was more pronounced in specimens with larger steel rebar diameters. To address practical engineering challenges, Zheng et al. [5] used the accelerated corrosion method to obtain steel rebars in various corrosion states. They then studied the bond performance between corroded steel rebar and concrete, which is crucial for assessing the performance of reinforced concrete in existing buildings. Liang et al. [6] investigated the bond behavior between deformed rebars and ultra-high-performance concrete, establishing a bond-slip constitutive model that facilitates the assessment of the stability of ultra-high-performance concrete structures in engineering applications. The above studies provide a crucial foundation for understanding the bonding behavior of reinforced concrete. Currently, to accurately and efficiently assess the stability of concrete structures in engineering applications, several classical models have been developed to describe the bond-slip constitutive relation between ordinary concrete and steel rebar. The CEB-FIP MC90 [7], formulated by the International Federation for Structural Concrete, specified a four-segment bond-slip constitutive model for reinforced concrete that took into account damage modes, constraints, and bond states. Eligehausen et al. [8] proposed a bond-slip constitutive relationship (BPE model) for deformed rebar and concrete, dividing the bond-slip process into three sections: the rising section, the falling section, and the residual bond stress section. Additionally, Xu [9] provided formulas for calculating the splitting strength, ultimate strength, and residual strength of the bond-slip curves and the corresponding slip values, thereby defining a bond-slip constitutive model for reinforced concrete. These classical models provide a theoretical foundation for the design, construction, and maintenance of reinforced concrete structures.
Coal gasification is a process in which coal reacts with a gasifying agent—typically oxygen and water vapor—under conditions of high temperature and high pressure or high temperature and atmospheric pressure. This process generates gaseous products such as carbon monoxide and hydrogen, along with residues. Coal gasification slag (CGS) is a solid waste generated during this process [10,11,12]. Existing studies have demonstrated that the coal chemical industry in China produced over 30 million tons of CGS in 2023 [13,14]. Due to the lack of effective resource utilization methods, a significant amount of CGS is disposed of through landfilling or open-air stacking [15], which poses a serious threat to groundwater and the surrounding soil environment. In recent years, many efforts have been made to find potential applications for CGS to avoid environmental pollution [16,17,18]. Zhu et al. [19] used CGS with a maximum particle size of 2360 μm to partially replace river sand in the preparation of ultra-high-performance concrete. They investigated the impact of the CGS replacement rate on the workability and mechanical properties of the concrete and elucidated the microscopic mechanisms by which CGS, used as a fine aggregate, influences the properties of ultra-high-performance concrete. Tian et al. [20] prepared an environment-friendly mortar using alkali-activated GBFS cementitious material instead of cement and CGS as a replacement for river sand. They focused on the effects of the alkali activator and curing age on the interfacial transition zone between CGS and cementitious material. H. Ganesan et al. [21] developed environment-friendly concrete with a 28-day compressive strength of up to 60 MPa by using ultrafine GBFS and CGS as partial replacements for cement and manufactured sand, respectively. H. Hamada et al. [22] conducted a comprehensive analysis of the effects of different dosages of CGS as a fine aggregate on the mechanical properties and durability of concrete. This provides theoretical support for promoting the use of industrial solid wastes in construction materials. Additionally, Li et al. [23] investigated the durability of concrete containing CGS as a fine aggregate under multiple ion erosions. They also elucidated the deterioration mechanisms of CGS concrete under combined sulfate and chloride salt erosion.
From the above studies, it is evident that CGS, an industrial solid waste, has been successfully used as a partial substitute for natural aggregates in concrete preparation. However, research on the cooperation between CGS concrete and steel rebar is limited, and even fewer studies have investigated the bond-slip properties of reinforced CGS concrete. Therefore, in this paper, CGS concrete was prepared by replacing 25% of the manufactured sand with CGS, and its bond properties with steel rebar were investigated. The main objective of this study is to develop bond strength formulas and a bond-slip constitutive model for CGS concrete with steel rebar. This will aid in the rapid and accurate assessment of the stability of CGS concrete structures in practical engineering applications. This study was conducted in two phases. In the first phase, 16 groups of steel rebar bond specimens were prepared using both CGS concrete and ordinary concrete (without CGS), and bond-slip tests were performed. The results were analyzed to determine the damage modes of the specimens and to evaluate the effects of fine aggregate type, steel rebar diameter, and anchorage length on bond-slip behavior. In the second phase, a bond strength formula was developed based on the BPE constitutive model, considering the characteristics of CGS. Additionally, a modified bond-slip constitutive model for reinforced CGS concrete was proposed. This study facilitates the synergistic application of CGS concrete and steel rebar in engineering and provides more avenues for the utilization of CGS.

2. Materials and Methods

2.1. Raw Materials

P·O 42.5 Portland cement was utilized, with its performance index, chemical composition, and particle size distribution detailed in Table 1 and Table 2, and Figure 1, respectively. As shown in Figure 1, the specific surface area of the P·O 42.5 Portland cement used in this study is 389.2 m2/kg. The CGS was sourced from China Hebei Construction and Geotechnical Investigation Group LTD., with its appearance, chemical composition, physical indices, and particle grading curve depicted in Figure 2 and Figure 3, Table 2 and Table 3, and a loss on ignition of 3.50%. Manufactured sand, derived from tailings crushing, served as the fine aggregate, with its appearance, physical indices, and particle grading curve presented in Figure 2, Table 3, and Figure 3, respectively, featuring a fineness modulus of 2.6, classifying it as Zone 2 sand. Coarse aggregate consisted of crushed stone ranging in particle size from 5 mm to 20 mm, with its physical indices outlined in Table 4. Tap water was employed for mixing purposes. Steel rebars, HRB400 type, possessed diameters of 14 mm, 18 mm, and 22 mm, respectively. The properties of the steel rebars were tested according to “Metallic materials —Tensile testing—Part 1: Method of test at room temperature” (GB/T 228.1-2021) [24], and the results are presented in Table 5.

2.2. Mix Ratio and Preparation

The experiment involved testing two types of concrete specimens: CGS concrete, employing CGS and manufactured sand as composite fine aggregate at a 1:3 mass ratio, and ordinary concrete using only manufactured sand as fine aggregate, serving as the control group. Both mixtures utilized a water–cement ratio of 0.5, with detailed concrete mix ratios provided in Table 6. Testing followed the “Standard for Test Methods of Physical and Mechanical Properties of Concrete” (GB/T 50081-2019) [25], yielding 28 days cubic (150 mm) compressive strengths of 46.30 MPa and 45.94 MPa for ordinary concrete and CGS concrete, respectively. Following the guidelines outlined in the “Standard for Test Methods of Concrete Structures” (GB/T 50152-2012) [26], no hoop steel rebar was incorporated within the concrete. The concrete size was set as 200 mm × 200 mm × 200 mm and 200 mm × 200 mm × 250 mm according to the steel rebar anchorage length, as depicted in Figure 4. In Figure 4, d represented the diameter of the steel rebar, la denoted the anchorage length, and c signified the protective layer thickness. The steel rebar extended 30 mm from the left side of the specimen to measure the displacement change at its free end, while it extended 270 mm from the right side of the specimen to serve as the loading end. The steel rebar inside the specimen that was not bonded to the concrete was isolated with a rigid PVC tube. Sealing rings were used at both ends of the PVC pipes to close the gaps between the pipes and the steel rebar, preventing concrete from entering the pipes during the casting process. To investigate the effects of fine aggregate type, steel rebar diameter, and steel rebar anchorage length on bond performance, 16 groups of specimens were designed, with each group consisting of three specimens. The geometric parameters of the specimens are detailed in Table 7.
Steel rebar and PVC tubes were pre-threaded into the concrete mold as per Table 7 and securely affixed with adhesives to prevent any displacement. A HJW-60 type forced single-horizontal shaft mixer was used to mix the concrete. The freshly mixed concrete was poured into the mold immediately after mixing, and a vibrating rod was used to make it dense. The specimens were then transferred to a standard curing room (temperature 20 °C ± 2 °C, relative humidity 95%) and cured for 28 days.

2.3. Test Methods

Steel rebar bond tests were conducted using an MTS universal electronic testing machine. To prevent eccentric tension of the specimens during loading, the upper plate of the loading frame was securely fixed to the testing machine using a clevis and bolts equipped with a ball hinge, while the lower plate was slotted to facilitate insertion of the specimens into the loading device. The YWC-30 displacement meter was installed at the free end and loaded end of the steel rebar to measure the slip of the free end of the steel rebar and loaded end relative to the concrete, respectively. A preload of 2 kN was applied before initiating the formal loading process. Once the preload value was reached, formal loading commenced, concurrently activating the displacement data acquisition system. Force control was employed during loading, with a loading rate of 0.1 kN/s and a displacement and strain acquisition frequency of 10 Hz. The bond stress could be determined from the load values measured in the test using Equation (1).
τ = 1000 × F π d l a
where τ is the bond stress; d is the diameter of the steel rebar; la is the anchorage length; and F is the load value measured in the test.

3. Results and Discussion

3.1. Destruction Process and Characteristics

The bond-slip (τ-s) curves for the 16 groups of specimens are depicted in Figure 5, where the slip value (s) represents the average slip between the free end and the loaded end. By utilizing Equation (1), the ultimate bond stress (τu) was calculated by determining the maximum load value of the test (Fu), with the corresponding slip being the peak slip value (su). The bond stress corresponding to the start of the descending smooth section of the τ-s curve was taken as the residual bond stress (τr), and the corresponding slip was taken as the residual slip value (sr). The results of the bond-slip tests were summarized in Table 8, which could be classified into 2 types of damage modes based on the damage pattern: steel rebar pull-out damage and concrete splitting damage. Among them, the eight groups with anchorage lengths of 7 d and 10 d reached the yield strength of their respective steel rebars during testing. Subsequently, steel rebar pull-out or concrete splitting damage occurred before the ultimate tensile strength was reached. P. Jiradilok et al. [27] and M. Burdziński et al. [28] also reported these two damage modes in their respective studies on the bond performance between corroded rebar and concrete and on the effect of rebar diameter on bond-slip behavior.

3.1.1. Steel Rebar Pull-Out

The damage mode characterized by steel rebar pull-out was identified by the absence of obvious damage to both the concrete and the steel rebar, wherein the steel rebar was extracted from the concrete. This type of damage primarily occurred in specimens featuring a small bond area between the steel rebar and the concrete. Taking specimen R22-5d as an illustration, the specimen did not change significantly at the beginning of loading, and the slip increased with the increase in stress. When loaded to 132.2 kN, the specimen made a splitting sound, and the slip increased significantly, and then reached its ultimate load of 139.9 kN. Subsequently, as loading persisted, the load decreased rapidly with increasing slip until the free end slip reached approximately one transverse rib spacing, the rate of load decrease slowed, the reinforcement was pulled out of the concrete, and the test was stopped. The damage pattern of the specimen is depicted in Figure 6, wherein the concrete remained intact without splitting or generating surface cracks, and the free end of the steel rebar slipped into the concrete.

3.1.2. Concrete Splitting

The concrete splitting damage mode was characterized by the steel rebar not being pulled off, while the concrete longitudinally split into several pieces. This type of damage predominantly occurred in specimens where both the diameter of the steel rebar and the bond length were substantial. In this test, two groups of specimens exhibited concrete splitting damage, namely R18-10d and R22-10d. Taking R18-10d as an example, during the preloading phase, the test exhibited similarities to the steel rebar pull-out damage pattern, with no obvious occurrences and the load rising in tandem with displacement increase. However, when the load reached 145.4 kN, a distinct splitting sound emanated from the specimen, accompanied by a sharp decrease in load, leading to the termination of the test. The damaged morphology of the specimen is depicted in Figure 7, wherein the crack fully traverses from the surface of the steel rebar to the edge of the concrete, causing the concrete specimen to split into three parts. Cracks on the side of the concrete ran along the direction of the steel rebar throughout the specimen. This phenomenon arose due to the inadequate toroidal confinement provided by the concrete when the bond area between the steel rebar and the concrete was substantial, thereby failing to counteract the elevated stress induced by the bond-slip of the steel rebar, ultimately resulting in the splitting damage of the specimen.

3.2. Typical τ-s Curve

The typical τ-s curves of the specimens were investigated using R22-7d, which exhibited steel rebar pull-out damage, and R22-10d, where concrete splitting damage occurred, as examples. These curves are depicted in Figure 8. For R22-7d, the τ-s curve can be delineated into four stages:
(1)
Micro-slip stage (O–A): At the initial loading phase, the bond section at the free end experienced stress, resulting in a minor slip value. The slope of the τ-s curve was relatively steep and remained largely unchanged. During this phase, bond stresses were primarily provided by chemical bonding at the steel rebar-concrete interface;
(2)
Slip stage (A–B): Loading progressed, and as the bond stress approached approximately 8 MPa, the slip rate notably accelerated. The curve’s slope decreased, displaying nonlinear characteristics. When the bond stress reached 17.35 MPa, the slope of the curve was close to 0. The bond stress at this time was τu, and the corresponding su was 1.74 mm. During this stage, chemical bonding between steel rebar and concrete diminished, with bond stress mainly provided by mechanical occlusal and frictional forces. Concrete in front of the transverse rib experienced compression, accumulating damage and reducing bond stiffness, resulting in a nonlinear increase in the τ-s curve;
(3)
Decline stage (B–C): The post-peak load slip value continued to increase, causing progressive crushing of concrete around the steel rebar rib. This led to a decline in mechanical occlusion force, resulting in a steady decrease in bond stress;
(4)
Residual bond stress stage (C–D): Further loading led to a decrease in bond stress to 4.92 MPa, at which point concrete between the transverse ribs was sheared completely. The τ-s curve transitioned to the residual bond stress stage, where bond stress was solely provided by friction force. Bond stress stabilized at this point, with 4.92 MPa recorded as τr, corresponding to sr of 9.13 mm.
R22-10d, reaching τu of 14.24 MPa, corresponding to su of 1.38 mm, occurred after undergoing micro-slip and slip stages. Subsequently, concrete splitting ensued, causing a sudden load drop and test termination. Consequently, τr and sr were not captured in this scenario. Zhou et al. [29] also reported this situation in their study on the bond performance between coral aggregate concrete and GFRP reinforcement.
Figure 8. Typical τ-s curve: R22-7d and R22-10d.
Figure 8. Typical τ-s curve: R22-7d and R22-10d.
Buildings 14 02931 g008

4. Analysis of Influencing Factors

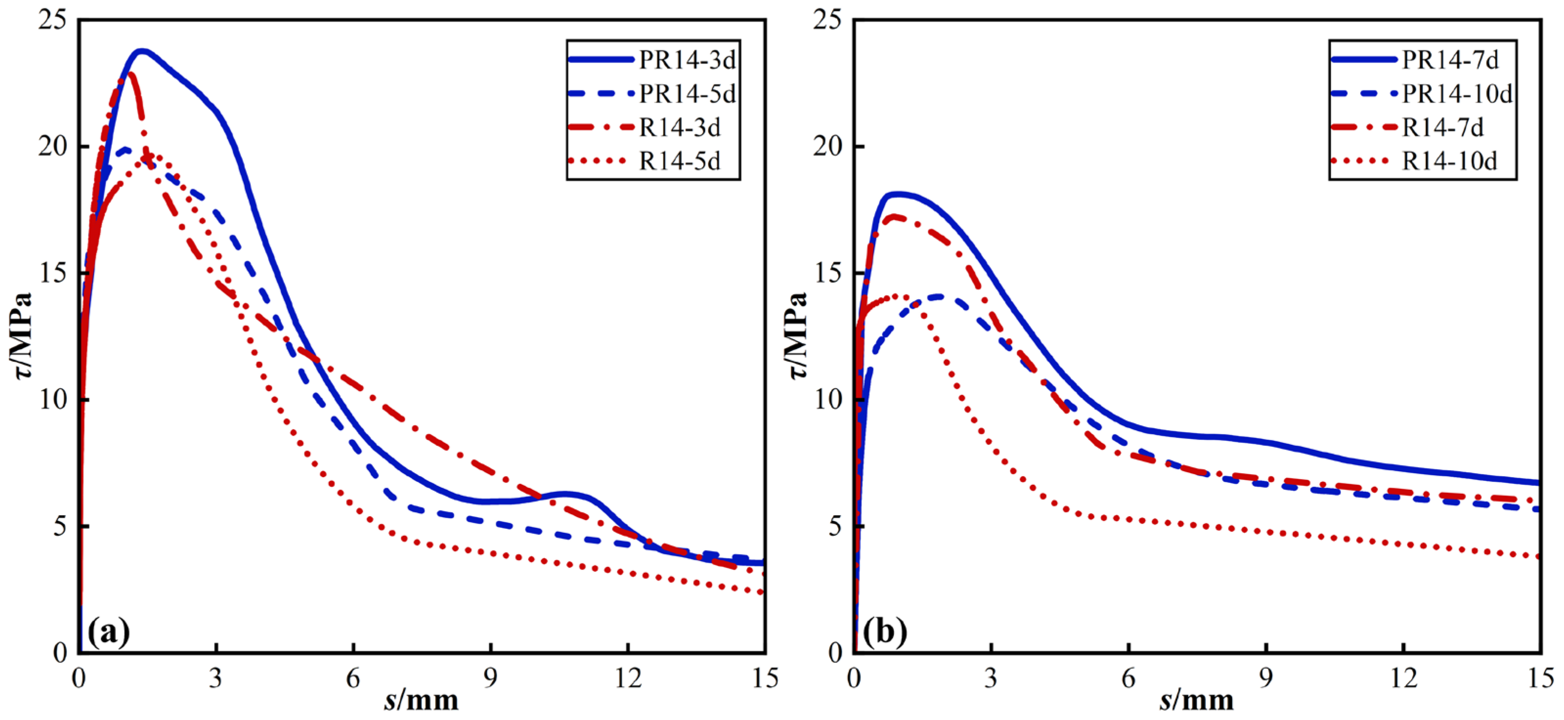
4.1. Effect of Fine Aggregate Type

The cubic compressive strength (fcu) of CGS concrete used in group R14 measured 45.94 MPa, while that of ordinary concrete used in group PR14 was 46.30 MPa, indicating similar strength levels between the two materials. Figure 9 presents a comparison of the τ-s curves from eight groups of specimens: R14-3d, R14-5d, R14-7d, R14-10d, PR14-3d, PR14-5d, PR14-7d, and PR14-10d. It is evident from Figure 9 that the τu of ordinary concrete is comparable to that of CGS concrete, with slightly higher τr in ordinary concrete compared to CGS concrete. However, the overall difference is not significant, indicating that the replacement of manufactured sand with CGS at a 25% replacement rate has no notable effect on the bond stress between concrete and steel rebar.

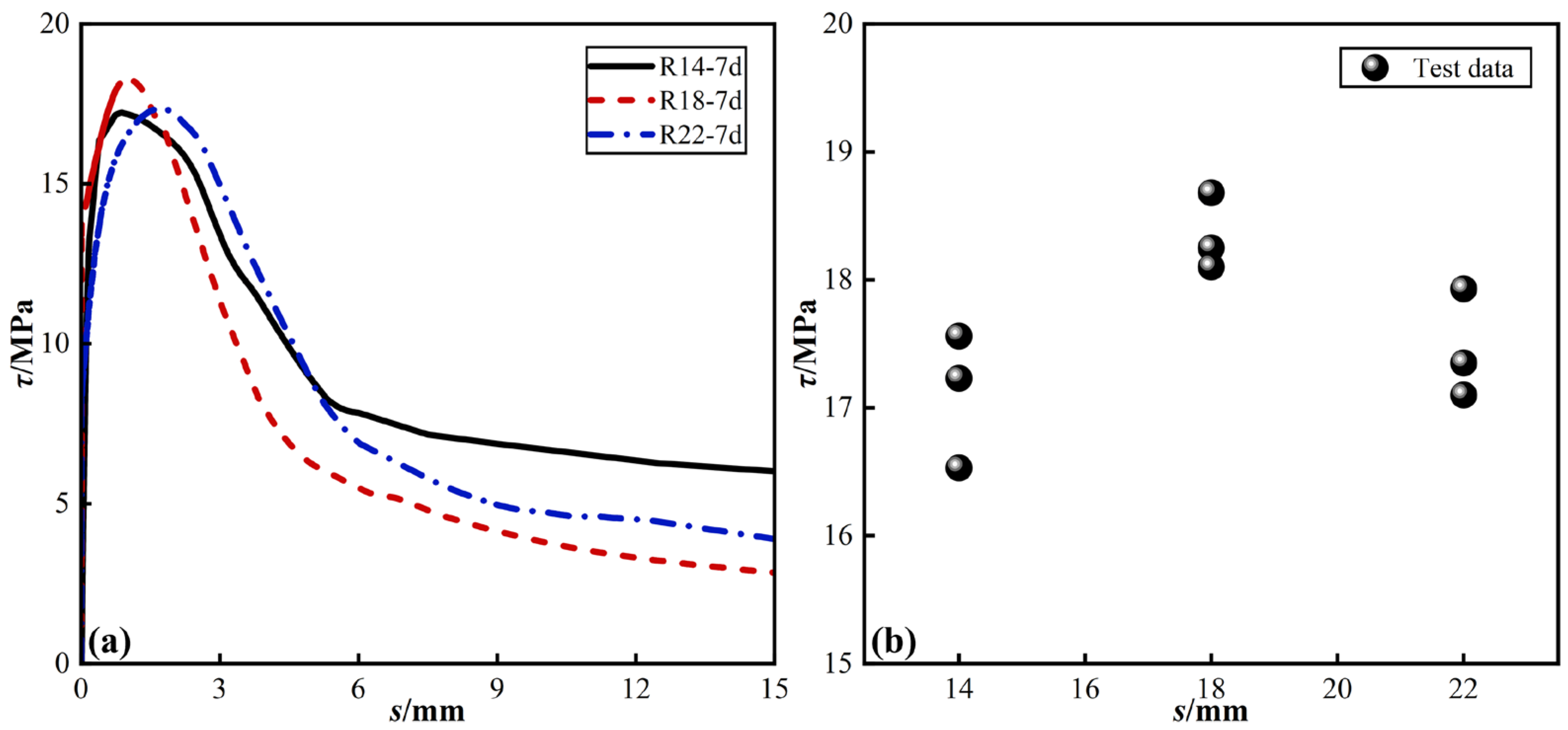
4.2. Effect of the Steel Rebar Diameter

The τ-s curves of three groups of specimens, namely R14-7d, R18-7d, and R22-7d, along with the correspondence between d and τu, are depicted in Figure 10. Observations from Figure 10 reveal the following:
(1)
There is no discernible pattern in the effect of d on τu;
(2)
The τu of R18-7d is the highest. Additionally, the τ-s curves of the R14-7d reach the stage of residual bond stress the earliest, implying that sr of R14-7d is the smallest. This can be attributed to the relatively small spacing of the transverse ribs of the C14 steel rebar, causing the concrete between the ribs to shear earlier. Zeng et al. [30], in their study on the shear performance of ultra-high performance concrete between transverse ribs of rebar, also reached this conclusion.
Figure 10. Effect of steel rebar diameter: (a) τ-s curves for different steel rebar diameters and (b) correspondence between τu and d.
Figure 10. Effect of steel rebar diameter: (a) τ-s curves for different steel rebar diameters and (b) correspondence between τu and d.
Buildings 14 02931 g010

4.3. Effect of the Anchorage Length

The effect of la on τu was investigated using four sets of specimens: R22-3d, R22-5d, R22-7d, and R22-10d. It is notably that concrete splitting damage occurred in R22-10d, resulting in test termination and failure to obtain τr. The results in Figure 5d and Table 8 show that
(1)
The τu of R22-5d, R22-7d, and R22-10d amounts to 80.8%, 76.1%, and 62.5% of that of R22-3d, respectively, indicating a decreasing trend. This decrease can be attributed to the increase in anchorage length of the steel rebar, leading to non-uniform distribution of bond stress and subsequently reducing the average bond stress. S. Khaksefidi et al. [31] and A. Das et al. [32] also reported similar findings in their respective studies;
(2)
The τr of R22-3d, R22-5d, and R22-7d measures 4.01 MPa, 4.05 MPa, and 4.92 MPa, respectively, displaying an increasing trend. This trend stems from the fact that the τr of specimens with longer anchorage lengths is derived from a combination of residual occlusal force and friction, whereas the τr of specimens with shorter anchorage lengths is solely provided by friction.

5. τ-s Constitutive Model

5.1. BPE Model

Based on the modified BPE constitutive model [8,33,34], the τ-s curve is simplified into three segments (Figure 11): the rising section, the falling section, and the residual bond stress section. That is, the micro-slip stage and slip stage are grouped into a rising section, which aligns with the characteristics of τ-s curves and enhances the simplicity of the constitutive model [35,36,37]. Given the similarity between the model curve division stages and the test curve of CGS concrete, the τ-s constitutive model of CGS concrete is established based on the modified BPE model. The model equation is presented as Equation (2).
τ = τ u s s u α 0 s < s u τ u τ u τ r s s u s r s u s u s < s r τ r s s r
where α is a shape parameter less than 1; τ is the bond stress; s is the slip value; τu is the ultimate bond stress; τr is the residual bond stress; su is the peak slip value; and sr is the residual slip value.

5.2. Modeling Amendments

5.2.1. Ultimate Bonding Stress τu

Based on the τu calculation formula for reinforced concrete established by Xu et al. [38], as shown in Equation (3), the results of the τu calculation for steel rebar-CGS concrete are summarized in Table 9. As shown in Table 9, the calculated τu of the R14 group is larger than the experimental value; the calculated τu of the R18 group is close to the experimental value and the calculated τu of the R22 group is smaller than the experimental value. This indicates that the model cannot comprehensively reflect the influence of the protective layer thickness of CGS concrete on τu. This discrepancy can be attributed to microstructural changes within the concrete matrix induced by water release from CGS. Zhang et al. [39] reached a similar conclusion in their study on the strength and durability of CGCS. They found that porous CGS has higher water absorption compared to manufactured sand, with the internal water slowly released during cement hydration. This process acted as an internal curing, thereby inducing changes in the microstructure of the concrete. In light of this, a relative protective layer thickness correction coefficient, denoted as k, was introduced to the original formula, as shown in Equation (4). Regression analysis of the test results yielded a value of k = 0.039.
τ u = ( 1.6 + 0.7 c d ) ( 0.82 + 0.9 d l a ) f t
τ u = { 1.6 + [ 0.7 + k ( d 18 ) ] c d } ( 0.82 + 0.9 d l a ) f t
where τu is the ultimate bond stress; c is the protective layer thickness; d is the diameter of the steel rebar; la is the anchorage length; k is the correction factor for the relative protective layer thickness of CGS concrete; and ft is the axial tensile strength of concrete, and its relationship with the cubic compressive strength of concrete (fcu) is shown in Equation (5) [40].
f t = 0.27 f c u 2 / 3

5.2.2. Residual Bonding Stress τr

The calculations of the ratio of τr to concrete splitting tensile strength fts acquired from the steel rebar bond-slip tests are compiled in Table 10. Regression analysis of the obtained τr/fts yields the τr of the τ-s constitutive model. Additionally, the relational equation between fts and τr is depicted in Equation (6), wherein the empirical equation for fts versus fcu is provided in Equation (7) [40].
τ r = 1.62 f t s
f t s = 0.19 f c u 3 / 4
where τr is the residual bond stress; fts is the splitting tensile strength of concrete; and fcu is the cubic compressive strength of concrete.

5.2.3. Characteristic Slip Value

To accurately depict the characteristic slip value, it was categorized into four groups based on the relative anchorage length of the steel rebar, denoted as la/d = 3, la/d = 5, la/d = 7, and la/d = 10, respectively. The corresponding characteristic slip values according to the test results are presented in Table 11.

5.2.4. Shape Parameter α

Considering the complexity of bond-slip behavior between steel rebar and concrete, the BPE constitutive model defined a shape parameter (α) to adjust the rising section of the bond-slip constitutive model, thereby reflecting its nonlinear characteristics. This parameter significantly influences the shape and slope of the rising section of the bond-slip constitutive model, thereby providing a more realistic reflection of the bond-slip behavior between steel rebar and concrete. The calculation formula for α is provided in Equation (8). Random points were selected from the rising section of each τ-s curve, and α was calculated according to Equation (8). The calculation results are summarized in Table 12. Subsequently, the obtained data underwent further fitting, resulting in a final α value for the rising section of the τ-s constitutive model of CGS concrete, which was determined to be 0.1479. This was achieved with a correlation coefficient of R2 = 0.75. The fitting results are depicted in Figure 12.
α = ln ( τ τ u ) / ln ( s s u )
where α is the shape parameter; τ is the bond stress; s is the slip value; τu is the ultimate bond stress; and su is the peak slip value.

5.2.5. Validation of the Constitutive Model

The values of each parameter of the τ-s constitutive model of CGS concrete are compiled in Table 13 and are utilized in Equation (2) to derive the constitutive model curve. Figure 13 presents a comparison between the curves obtained from the test and the established constitutive model curves. It is evident from the comparison that the model curves closely align with the test curves, indicating that the τ-s constitutive model developed in this paper accurately predicts the bond-slip behavior of CGS concrete and steel rebar.
Specifically, as shown in Table 9 and Figure 13, with regard to the ultimate bond stress τu—the most critical parameter in the bond-slip behavior of steel rebar and concrete—the ratio of the τu predicted by the constitutive model developed in this study to the experimental value exhibits an increasing trend as the rebar anchorage length increases. In other words, when the anchorage length is relatively short (3d, 5d, and 7d), the τu from the constitutive model is slightly lower than the τu from the tests. Conversely, for longer anchorage lengths (10d), the τu from the model is slightly higher than the τu from the tests. Overall, the mean ratio of the calculated values to the test values is close to 1, with a small coefficient of variation. Liu et al. [41] and Lin et al. [42] also reached similar conclusions in their studies on the bond-slip behavior of steel rebar in lightweight aggregate concrete and on the pull-out tests of deformed rebars in normal-strength concrete, respectively. Regarding the shape of the curves, the rising sections of the curves predicted by the constitutive model developed in this study show a high degree of similarity to the rising sections of the test curves. This is crucial for accurately predicting the bond-slip behavior between steel rebar and concrete. Additionally, in the falling and residual bond stress sections, the constitutive model uses linear segments to represent the bond-slip behavior after reaching the ultimate bond stress, in order to simplify the calculations. Wang et al. [43] and Chang et al. [44] both employed similar representation methods for predicting the bond-slip behavior of reinforced concrete.

6. Conclusions

In pursuit of advancing the resource utilization of coal gasification slag (CGS), this paper investigated the bonding properties of steel rebar-CGS concrete. Through the execution of steel rebar bond-slip tests on 16 groups of specimens featuring diverse concrete types, varied steel rebar diameters, and different anchorage lengths, the bond-slip (τ-s) constitutive model for steel rebar-CGS concrete was ultimately formulated. The primary conclusions drawn from this comprehensive study are as follows:
(1)
Two distinct damage modes were observed in the bond-slip tests: steel rebar pull-out and concrete splitting. Steel rebar pull-out predominantly occurred in specimens with smaller bond areas between the steel rebar and concrete, while concrete splitting typically manifested in specimens featuring larger steel rebar diameters and bond lengths;
(2)
The substitution of manufactured sand with CGS at a 25% replacement rate exhibited negligible impact on the concrete strength and did not significantly alter the bond stress between concrete and steel rebar;
(3)
An increase in the anchorage length of the steel rebar resulted in an uneven distribution of bond stress, consequently leading to a decrease in the ultimate bond stress (τu). Moreover, the effect of steel rebar diameter on τu was found to be insignificant;
(4)
This paper proposed a bond stress calculation formula for CGS concrete that incorporated a correction factor for relative protective layer thickness. The calculated values obtained using this formula align well with the experimental values;
(5)
Based on the bond-slip test results of specimens with different types of fine aggregates, steel rebar diameters, and anchorage lengths, the bond-slip curves were simplified into three segments: the rising section, the falling section, and the residual bond stress section. Based on the BPE constitutive model, the calculated values of ultimate bond stress, residual bond stress, characteristic slip values, and shape parameters were obtained. After comparing the modified constitutive model with the test curves, it was found that they aligned well. The establishment of this bond-slip constitutive model has advanced the resource utilization of solid waste CGS in reinforced concrete structures.

Author Contributions

Methodology, J.Y.; investigation, Q.N. and Q.W.; data curation, H.L.; writing—original draft preparation, H.C.; writing—review and editing, H.L. and H.C.; visualization, Q.W.; supervision, J.Y. and L.Z.; funding acquisition, H.L.; formal analysis, Q.N.; validation, L.Z. All authors have read and agreed to the published version of the manuscript.

Funding

This research was funded by the 2021 Hebei Province Construction Science and Technology Research Guidance Plan Project under grant number 2021–2058.

Data Availability Statement

Data are contained within the article.

Conflicts of Interest

Authors Huawei Li, Qingke Nie, Junchao Yu, Liang Zhang and Qingjun Wang were employed by the company China Hebei Construction & Geotechnical Investigation Group Ltd. The remaining author declares that the research was conducted in the absence of any commercial or financial relationships that could be construed as a potential conflict of interest.

References

  1. Fayed, S.; Madenci, E.; Özkiliç, Y.O.; Mansour, W. Improving bond performance of ribbed steel bars embedded in recycled aggregate concrete using steel mesh fabric confinement. Constr. Build. Mater. 2023, 369, 130452. [Google Scholar] [CrossRef]
  2. Zhao, D.; Pan, J.; Zhou, Y.; Sui, L.; Ye, Z. New types of steel-FRP composite bar with round steel bar inner core: Mechanical properties and bonding performances in concrete. Constr. Build. Mater. 2020, 242, 118062. [Google Scholar] [CrossRef]
  3. Romanazzi, V.; Leone, M.; Aiello, M.; Pecce, M. Bond behavior of geopolymer concrete with steel and GFRP bars. Compos. Struct. 2022, 300, 116150. [Google Scholar] [CrossRef]
  4. de Melo, F.M.C.; Cruz, A.C.A.d.J.; Netto, L.D.d.S.; Simplício, M.A.d.S. Experimental study of bond between steel bars and hybrid fibers reinforced concrete. Constr. Build. Mater. 2021, 275, 122176. [Google Scholar] [CrossRef]
  5. Zheng, Y.; Zheng, S.-S.; Yang, L.; Dong, L.-G.; Zhang, Y.-B. Experimental study and analytical model of the bond behavior of corroded reinforcing steel bars in concrete. Constr. Build. Mater. 2022, 327, 126991. [Google Scholar] [CrossRef]
  6. Liang, R.; Huang, Y.; Xu, Z. Experimental and Analytical Investigation of Bond Behavior of Deformed Steel Bar and Ultra-High Performance Concrete. Buildings 2022, 12, 460. [Google Scholar] [CrossRef]
  7. CEB FIB MC90. Model Code for Concrete Structures; International Federation for Structural Concrete: Lausanne, Switzerland, 2010. [Google Scholar]
  8. Eligehausen, R.; Popov, E.P.; Berteor, V.V. Local Bond Stress-Slip Relationships of Deformed Bars under Generalized Excitations; University of California: Alexandria, VA, USA, 1983. [Google Scholar]
  9. Xu, Y. A simplified model for the constitutive relationship of reinforced concrete. Eng. Mech. 1997, 14, 34–38. [Google Scholar]
  10. Guo, F.; Chen, L.; Li, Y.; Zhu, Y.; Jia, W.; Guo, Y.; Guo, S.; Zhang, Y.; Wu, J. Review on the attribute cognition and carbon-ash-water separation of coal gasification fine slag. Sep. Purif. Technol. 2023, 320, 124121. [Google Scholar] [CrossRef]
  11. Dobiszewska, M.; Bagcal, O.; Beycioğlu, A.; Goulias, D.; Köksal, F.; Płomiński, B.; Ürünveren, H. Utilization of rock dust as cement replacement in cement composites: An alternative approach to sustainable mortar and concrete productions. J. Build. Eng. 2023, 69, 106180. [Google Scholar] [CrossRef]
  12. Wu, F.; Li, H.; Yang, K. Effects of Mechanical Activation on Physical and Chemical Characteristics of Coal-Gasification Slag. Coatings 2021, 11, 902. [Google Scholar] [CrossRef]
  13. Dai, G.; Zheng, S.; Wang, X.; Bai, Y.; Dong, Y.; Du, J.; Sun, X.; Tan, H. Combustibility analysis of high-carbon fine slags from an entrained flow gasifier. J. Environ. Manag. 2020, 271, 111009. [Google Scholar] [CrossRef] [PubMed]
  14. Ren, L.; Ding, L.; Guo, Q.; Gong, Y.; Yu, G.; Wang, F. Characterization, carbon-ash separation and resource utilization of coal gasification fine slag: A comprehensive review. J. Clean. Prod. 2023, 398, 136554. [Google Scholar] [CrossRef]
  15. Li, J.; Fan, S.; Zhang, X.; Chen, Z.; Qiao, Y.; Yuan, Z.; Li, Z. Investigation on co-combustion of coal gasification fine ash and raw coal blends: Thermal conversion, gas pollutant emission and kinetic analyses. Energy 2022, 246, 123368. [Google Scholar] [CrossRef]
  16. Fang, K.; Zhang, D.; Wang, D.; Liu, Z.; Zhang, M.; Zhang, S. The impact of coal gasification slag powder on fluidity, rheology and viscoelasticity properties of fresh cement paste. J. Build. Eng. 2023, 69, 106237. [Google Scholar] [CrossRef]
  17. Fu, B.; Cheng, Z.; Wang, D.; Li, N. Investigation on the utilization of coal gasification slag in Portland cement: Reaction kinetics and microstructure. Constr. Build. Mater. 2022, 323, 126587. [Google Scholar] [CrossRef]
  18. Guo, F.; Guo, Y.; Chen, L.; Jia, W.; Zhu, Y.; Li, Y.; Wang, H.; Yao, X.; Zhang, Y.; Wu, J. Multitudinous components recovery, heavy metals evolution and environmental impact of coal gasification slag: A review. Chemosphere 2023, 338, 139473. [Google Scholar] [CrossRef]
  19. Zhu, Z.; Lian, X.; Zhai, X.; Li, X.; Guan, M.; Wang, X. Mechanical Properties of Ultra-High Performance Concrete with Coal Gasi-fication Coarse Slag as River Sand Replacement. Materials 2022, 15, 7552. [Google Scholar] [CrossRef]
  20. Tian, Y.; Wang, Y.; Chai, H.; Zhao, L.; Sun, H.; Zhang, H. Study on the properties and interfacial transition zone of coal gasification slag aggregate and mineral powder geopolymer mortar. Constr. Build. Mater. 2024, 414, 134864. [Google Scholar] [CrossRef]
  21. Ganesan, H.; Sachdeva, A.; Petrounias, P.; Lampropoulou, P.; Sharma, P.K.; Kumar, A. Impact of Fine Slag Aggregates on the Final Durability of Coal Bottom Ash to Produce Sustainable Concrete. Sustainability 2023, 15, 6076. [Google Scholar] [CrossRef]
  22. Hamada, H.; Alattar, A.; Tayeh, B.; Yahaya, F.; Adesina, A. Sustainable application of coal bottom ash as fine aggregates in concrete: A comprehensive review. Case Stud. Constr. Mater. 2022, 16, e01109. [Google Scholar] [CrossRef]
  23. Li, H.; Nie, Q.; Wang, C.; Wang, G.; Zhang, L.; Yuan, L. Durability investigation of fractured coal-gasified ash slag concrete eroded by sulfate and chlorine salts. Case Stud. Constr. Mater. 2024, 20, e02745. [Google Scholar] [CrossRef]
  24. GB/T 228.1; Metallic Materials-Tensile Testing-Part 1: Method of Test at Room Temperature. Standards Press of China: Bejing, China, 2021.
  25. GB/T 50081; Standard for Test Methods of Concrete Physical and Mechanical Properties. Standards Press of China: Bejing, China, 2019.
  26. GB/T 50152; Standard for Test Method of Concrete Structures. Standards Press of China: Bejing, China, 2012.
  27. Jiradilok, P.; Wang, Y.; Nagai, K.; Matsumoto, K. Development of discrete meso-scale bond model for corrosion damage at steel-concrete interface based on tests with/without concrete damage. Constr. Build. Mater. 2020, 236, 117615. [Google Scholar] [CrossRef]
  28. Burdziński, M.; Niedostatkiewicz, M. Experimental-Numerical Analysis of the Effect of Bar Diameter on Bond in Pull-Out Test. Buildings 2022, 12, 1392. [Google Scholar] [CrossRef]
  29. Zhou, W.; Feng, P.; Lin, H.; Zhou, P. Bond behavior between GFRP bars and coral aggregate concrete. Compos. Struct. 2023, 306, 116567. [Google Scholar] [CrossRef]
  30. Zeng, X.; Wang, P.; You, X. Shear performance of interface between ultra-high performance concrete and normal concrete treated with ribs. Structures 2024, 60, 105867. [Google Scholar] [CrossRef]
  31. Khaksefidi, S.; Ghalehnovi, M.; de Brito, J. Bond behaviour of high-strength steel rebars in normal (NSC) and ultra-high per-formance concrete (UHPC). J. Build. Eng. 2021, 33, 101592. [Google Scholar] [CrossRef]
  32. Das, A.; Bošnjak, J.; Sharma, A. Post-fire bond behaviour of reinforcement in concrete considering different bonded lengths and position of rebars. Eng. Struct. 2023, 296, 116908. [Google Scholar] [CrossRef]
  33. Harajli, M. Bond stress–slip model for steel bars in unconfined or steel, FRC, or FRP confined concrete under cyclic loading. J. Struct. Eng. 2009, 135, 509–518. [Google Scholar] [CrossRef]
  34. Cosenza, E.; Manfredi, G.; Realfonzo, R. Behavior and Modeling of Bond of FRP Rebars to Concrete. J. Compos. Constr. 1997, 1, 40–51. [Google Scholar] [CrossRef]
  35. Yan, F.; Lin, Z. Bond behavior of GFRP bar-concrete interface: Damage evolution assessment and FE simulation imple-men-tations. Compos. Struct. 2016, 155, 63–76. [Google Scholar] [CrossRef]
  36. Bhanugoban, M.; Yapa, H.D.; Dirar, S. Efficient shear retrofitting of reinforced concrete beams using prestressed deep embedded bars. Eng. Struct. 2021, 246, 113053. [Google Scholar] [CrossRef]
  37. Shen, D.; Li, C.; Feng, Z.; Wen, C.; Ojha, B. Influence of strain rate on bond behavior of concrete members reinforced with basalt fiber-reinforced polymer rebars. Constr. Build. Mater. 2019, 228, 116755. [Google Scholar] [CrossRef]
  38. Xu, Y.; Shao, Z.; Shen, W. Bond strength berween steel rebars and concrete. Build. Sci. 1988, 4, 8–14. [Google Scholar]
  39. Zhang, H.; Pan, H.; Shi, Y.; Zhou, M.; Wang, D. Influence of fly ash slag substitution of fine aggregate on strength and frost re-sistance of mortar concrete. Bull. Chin. Ceram. Soc. 2022, 41, 433–449. [Google Scholar]
  40. GB/T 50010; Code for Design of Concrete Structures. Standards Press of China: Bejing, China, 2010.
  41. Liu, X.; Liu, Y.; Wu, T.; Wei, H. Bond-slip properties between lightweight aggregate concrete and rebar. Constr. Build. Mater. 2020, 255, 119355. [Google Scholar] [CrossRef]
  42. Lin, H.; Zhao, Y.; Ozbolt, J.; Feng, P.; Jiang, C.; Eligehausen, R. Analytical model for the bond stress-slip relationship of de-formed bars in normal strength concrete. Constr. Build. Mater. 2019, 198, 570–586. [Google Scholar] [CrossRef]
  43. Wang, B.; Zhu, E.; Zhang, Z.; Zhu, C. Bond-slip behaviour of lightweight aggregate concrete based on virtual crack model with exponential softening characteristics. Constr. Build. Mater. 2022, 345, 128349. [Google Scholar] [CrossRef]
  44. Chang, Y.; Qin, S.; Huang, M.; Hu, D.; Yang, H.; Li, S. Analytical model of the bond stress-slip relationship for reinforced concrete due to splitting failure. Constr. Build. Mater. 2021, 287, 123025. [Google Scholar] [CrossRef]
Figure 1. Particle size distribution of cement.
Figure 1. Particle size distribution of cement.
Buildings 14 02931 g001
Figure 2. Fine aggregate: (a) CGS and (b) manufactured sand.
Figure 2. Fine aggregate: (a) CGS and (b) manufactured sand.
Buildings 14 02931 g002
Figure 3. Particle grading curves of fine aggregate.
Figure 3. Particle grading curves of fine aggregate.
Buildings 14 02931 g003
Figure 4. Dimensional design of specimens (mm).
Figure 4. Dimensional design of specimens (mm).
Buildings 14 02931 g004
Figure 5. τ-s curves of specimens: (a) PR14 group; (b) R14 group; (c) R18 group and (d) R22 group.
Figure 5. τ-s curves of specimens: (a) PR14 group; (b) R14 group; (c) R18 group and (d) R22 group.
Buildings 14 02931 g005
Figure 6. Steel rebar pull-out damage of R22-5d.
Figure 6. Steel rebar pull-out damage of R22-5d.
Buildings 14 02931 g006
Figure 7. Concrete splitting damage of R18-10d.
Figure 7. Concrete splitting damage of R18-10d.
Buildings 14 02931 g007
Figure 9. τ-s curves for specimens of different concrete types: (a) comparison of PR14 and R14 at anchorage lengths of 3d and 5d and (b) comparison of PR14 and R14 at anchorage lengths of 7d and 10d.
Figure 9. τ-s curves for specimens of different concrete types: (a) comparison of PR14 and R14 at anchorage lengths of 3d and 5d and (b) comparison of PR14 and R14 at anchorage lengths of 7d and 10d.
Buildings 14 02931 g009
Figure 11. Modified BPE constitutive model.
Figure 11. Modified BPE constitutive model.
Buildings 14 02931 g011
Figure 12. Fitting of the shape parameter α.
Figure 12. Fitting of the shape parameter α.
Buildings 14 02931 g012
Figure 13. Validation of the τ-s constitutive model.
Figure 13. Validation of the τ-s constitutive model.
Buildings 14 02931 g013aBuildings 14 02931 g013b
Table 1. P·O 42.5 cement performance indexes.
Table 1. P·O 42.5 cement performance indexes.
MaterialSpecific GravitySetting Time/minCompressive Strength/MPaFlexural Strength/MPa
InitialFinal3 days28 days3 days28 days
Cement3.220325032.556.45.98.4
Table 2. Chemical composition of raw materials.
Table 2. Chemical composition of raw materials.
MaterialsChemical Composition/Mass%
CaOSiO2Al2O3MgOSO3Fe2O3K2OTiO2Na2OCl-SrOMnOP2O5LOI *
Cement54.0322.416.115.293.532.721.190.330.290.090.060.090.043.82
CGS21.1038.3416.031.323.0112.920.920.741.270.150.300.220.183.50
* LOI = Loss on ignition.
Table 3. Physical indicators of fine aggregates.
Table 3. Physical indicators of fine aggregates.
Fine AggregatesApparent Density/kg·m−3Bulk Density/kg·m−3Clay Content/%24-h Water Absorption/%
manufactured sand265217961.12.3
CGS20831135-4.2
Table 4. Physical indicators of coarse aggregates.
Table 4. Physical indicators of coarse aggregates.
Coarse AggregateCrush Index/%Apparent Density/kg·m−3Clay Content/%24-h Water Absorption/%
crushed stone8.327760.81.1
Table 5. Properties of steel rebars.
Table 5. Properties of steel rebars.
Nominal Diameter/mmYield Strength/MPaUltimate Tensile Strength/MPaElastic Modulus/MPa
144615751.95 × 105
184535821.94 × 105
224796311.95 × 105
Table 6. Concrete mixing ratios.
Table 6. Concrete mixing ratios.
Concrete TypeRaw Materials/kg·m−3
CementCGSManufactured SandCrushed StoneWater
PR *486.30601.71024.9243.2
R486.3150.6451.41024.9243.2
* PR = ordinary concrete specimen, R = CGS concrete specimen with a 1:3 mass ratio of CGS to manufactured sand.
Table 7. Parameters of bond-slip specimens.
Table 7. Parameters of bond-slip specimens.
Specimen NO.d/mmla/mmSpecimen Size
R14-3d *1442a **
R14-5d1470a
R14-7d1498a
R14-10d14140a
R18-3d1854a
R18-5d1890a
R18-7d18126a
R18-10d18180a
R22-3d2266a
R22-5d22110a
R22-7d22154a
R22-10d22220b
PR14-3d1442a
PR14-5d1470a
PR14-7d1498a
PR14-10d14140a
* R14-3d means that the concrete type is R, the diameter of the HRB400 bar d is 14 mm, and the anchorage length la is 3 times the diameter of the bar. ** a denotes specimen size of 200 mm × 200 mm × 200 mm, b denotes specimen size of 200 mm × 200 mm × 250 mm.
Table 8. Results of bond-slip tests.
Table 8. Results of bond-slip tests.
Specimen NO.fcu/MPaFu/kNτu/MPasu/mmτr/MPasr/mmDamage Mode *
R14-3d45.9442.2522.871.114.5512.25P
R14-5d45.9460.4419.631.624.347.47P
R14-7d45.9474.2717.230.887.167.50P
R14-10d45.9486.7514.090.995.297.13P
R18-3d45.9471.0623.270.699.306.51P
R18-5d45.9495.9318.851.744.3310.78P
R18-7d45.94130.0318.250.983.5610.90P
R18-10d45.94145.4514.290.46--S
R22-3d45.94103.9222.790.814.0111.74P
R22-5d45.94139.9918.421.064.0512.51P
R22-7d45.94184.6017.351.744.929.13P
R22-10d45.94216.4514.241.38--S
PR14-3d46.3043.9123.771.386.038.58P
PR14-5d46.3060.9019.781.166.597.67P
PR14-7d46.3078.0618.110.968.726.63P
PR14-10d46.3086.5714.061.896.599.32P
* P indicates that the damage mode is steel rebar pull-out damage, and S indicates that the damage mode is concrete splitting damage.
Table 9. Comparison of experimental and calculated values of τu.
Table 9. Comparison of experimental and calculated values of τu.
Specimen NO.fcu/MPac/mmd/mmla/mmft/MPaτu,pred1*/MPaτu,exp**/MPaτu,pred1/τu,expτu,pred2***/MPaτu,pred2/τu,exp
R14-3d45.949314423.4624.2222.871.0620.200.88
R14-5d45.949314703.4621.6319.631.1018.040.92
R14-7d45.949314983.4620.5117.231.1917.110.99
R14-10d45.9493141403.4619.6814.091.4016.421.17
R18-3d45.949118543.4619.9123.270.8619.910.86
R18-5d45.949118903.4617.7818.850.9417.780.94
R18-7d45.9491181263.4616.8718.250.9216.870.92
R18-10d45.9491181803.4616.1814.291.1316.181.13
R22-3d45.948922663.4617.1722.790.7519.620.86
R22-5d45.9489221103.4615.3318.420.8317.520.95
R22-7d45.9489221543.4614.5517.350.8416.620.96
R22-10d45.9489222203.4613.9514.240.9815.941.12
Average value-------1.001-0.975
Variance-------0.034-0.010
COV ****-------0.183-0.109
* τu,pred1 denotes the ultimate bond stress calculated according to Equation (3). ** τu,exp denotes the actual ultimate bond stress calculated from the maximum test load value Fu. *** τu,pred2 denotes the modified ultimate bond stress calculated from Equation (4). **** COV = coefficient of variation.
Table 10. Residual bonding stress τr.
Table 10. Residual bonding stress τr.
Specimen NO.fcu/MPafts/MPaτu/MPasu/mmτr/MPasr/mm
R14-3d45.943.3522.871.114.5512.25
R14-5d45.943.3519.631.624.347.47
R14-7d45.943.3517.230.887.167.50
R14-10d45.943.3514.090.995.297.13
R18-3d45.943.3523.270.699.306.51
R18-5d45.943.3518.851.744.3310.78
R18-7d45.943.3518.250.983.5610.90
R18-10d45.943.3514.290.46--
R22-3d45.943.3522.790.814.0111.74
R22-5d45.943.3518.421.064.0512.51
R22-7d45.943.3517.351.744.929.13
R22-10d45.943.3514.241.38--
PR14-3d46.303.3723.771.386.038.58
PR14-5d46.303.3719.781.166.597.67
PR14-7d46.303.3718.110.968.726.63
PR14-10d46.303.3714.061.896.599.32
Table 11. Characteristic slip value.
Table 11. Characteristic slip value.
la/dPeak Displacement suResidual Displacement sr
Average ValueStandard DeviationAverage ValueStandard Deviation
30.0515d0.0241d0.5901d0.2613d
50.0869d0.0348d0.5670d0.0327d
70.0655d0.0125d0.5188d0.0964d
100.0530d0.0241d0.5093d-
Table 12. Shape parameters of the τ-s constitutive model.
Table 12. Shape parameters of the τ-s constitutive model.
Specimen NO.τ/MPaτu/MPas/mmsu/mmln(τ/τu)ln(s/su)α
R14-3d7.2322.870.001321.11−1.15159−6.734480.17100
R14-3d11.4322.870.011921.11−0.69359−4.533900.15298
R14-3d14.5522.870.209281.11−0.45224−1.668440.27105
R14-3d19.5422.870.455641.11−0.15736−0.890410.17673
R14-3d22.5122.870.891421.11−0.01587−0.219300.07235
R14-5d9.6619.630.007951.62−0.70907−5.317010.13336
R14-5d12.6019.630.015891.62−0.44336−4.624490.09587
R14-5d16.0519.630.325851.62−0.20135−1.603740.12555
R14-5d18.4519.630.855661.62−0.06200−0.638310.09712
R14-5d19.4719.631.376211.62−0.00818−0.163090.05018
R14-7d7.9117.230.003970.88−0.77852−5.401160.14414
R14-7d10.4317.230.109970.88−0.50197−2.079710.24136
R14-7d11.7717.230.135140.88−0.38110−1.873610.20340
R14-7d13.2917.230.178850.88−0.25964−1.593370.16295
R14-7d16.3617.230.384150.88−0.05181−0.828890.06251
R14-10d8.2114.090.007950.99−0.54011−4.824530.11195
R14-10d9.7114.090.011920.99−0.37231−4.419490.08424
R14-10d13.1914.090.164240.99−0.06601−1.796380.03674
R14-10d13.4414.090.231800.99−0.04723−1.451830.03253
R14-10d13.9214.090.603990.99−0.01214−0.494150.02456
R18-3d13.1223.270.051890.69−0.57303−2.587570.22145
R18-3d15.8823.270.221590.69−0.38211−1.135860.33640
R18-3d18.7423.270.127620.69−0.21651−1.687630.12829
R18-3d21.0823.270.220190.69−0.09884−1.142200.08653
R18-3d22.8423.270.426350.69−0.01865−0.481430.03874
R18-5d7.0418.850.007011.74−0.98491−5.514300.17861
R18-5d9.2818.850.011221.74−0.70865−5.043940.14050
R18-5d12.5118.850.300001.74−0.40999−1.757860.23323
R18-5d16.1218.850.670381.74−0.15645−0.953800.16403
R18-5d18.3618.851.124771.74−0.02634−0.436310.06037
R18-7d12.6718.250.039270.98−0.36493−3.217090.11343
R18-7d14.7118.250.152640.98−0.21564−1.859470.11597
R18-7d15.7918.250.319540.98−0.14479−1.120670.12920
R18-7d16.8218.250.474030.98−0.08160−0.726280.11235
R18-7d17.7418.250.693060.98−0.02834−0.346440.08181
R18-10d9.0614.290.014020.46−0.45569−3.490740.13054
R18-10d10.2514.290.025240.46−0.33228−2.902800.11447
R18-10d11.4414.290.063110.46−0.22244−1.986350.11199
R18-10d12.6514.290.112200.46−0.12190−1.410940.08640
R18-10d13.8714.290.287500.46−0.02983−0.470000.06347
R22-3d9.6222.790.077160.81−0.86248−2.351150.36683
R22-3d13.4022.790.075010.81−0.53107−2.379410.22319
R22-3d15.5622.790.127250.81−0.38162−1.850880.20618
R22-3d17.5622.790.190200.81−0.26070−1.448960.17992
R22-3d21.7722.790.476840.81−0.04579−0.529850.08642
R22-5d9.0718.420.046701.06−0.70847−3.122280.22691
R22-5d10.7118.420.140741.06−0.54226−2.019110.26856
R22-5d12.0918.420.240081.06−0.42106−1.485050.28353
R22-5d13.1218.420.182801.06−0.33930−1.757630.19304
R22-5d16.0718.420.358961.06−0.13648−1.082810.12604
R22-7d12.0617.350.237431.74−0.36370−1.991770.18260
R22-7d13.6717.350.385781.74−0.23839−1.506370.15825
R22-7d14.8717.350.550031.74−0.15425−1.151670.13393
R22-7d16.0117.350.805671.74−0.08038−0.769970.10439
R22-7d16.8617.351.158001.74−0.02865−0.407190.07036
R22-10d9.9014.240.238421.38−0.36352−1.755800.20704
R22-10d10.9614.240.328491.38−0.26180−1.435330.18240
R22-10d12.0314.240.445051.38−0.16865−1.131650.14903
R22-10d12.7914.240.582801.38−0.10739−0.861990.12458
R22-10d13.1814.240.676841.38−0.07735−0.712400.10858
Table 13. Bond-slip characteristic values.
Table 13. Bond-slip characteristic values.
Specimen NO.τu/MPaτr/MPasu/mmsr/mmα
R14-3d20.205.430.728.260.1479
R14-5d18.045.431.217.940.1479
R14-7d17.115.430.927.260.1479
R14-10d16.425.430.747.130.1479
R18-3d19.915.430.9310.620.1479
R18-5d17.785.431.5610.210.1479
R18-7d16.875.431.189.340.1479
R18-10d16.185.430.959.170.1479
R22-3d19.625.431.1312.980.1479
R22-5d17.525.431.9212.470.1479
R22-7d16.625.431.4411.410.1479
R22-10d15.945.431.1711.200.1479
Disclaimer/Publisher’s Note: The statements, opinions and data contained in all publications are solely those of the individual author(s) and contributor(s) and not of MDPI and/or the editor(s). MDPI and/or the editor(s) disclaim responsibility for any injury to people or property resulting from any ideas, methods, instructions or products referred to in the content.

Share and Cite

MDPI and ACS Style

Li, H.; Chen, H.; Nie, Q.; Yu, J.; Zhang, L.; Wang, Q. Bond-Slip Constitutive Relationship between Steel Rebar and Concrete Synthesized from Solid Waste Coal Gasification Slag. Buildings 2024, 14, 2931. https://doi.org/10.3390/buildings14092931

AMA Style

Li H, Chen H, Nie Q, Yu J, Zhang L, Wang Q. Bond-Slip Constitutive Relationship between Steel Rebar and Concrete Synthesized from Solid Waste Coal Gasification Slag. Buildings. 2024; 14(9):2931. https://doi.org/10.3390/buildings14092931

Chicago/Turabian Style

Li, Huawei, Haozhe Chen, Qingke Nie, Junchao Yu, Liang Zhang, and Qingjun Wang. 2024. "Bond-Slip Constitutive Relationship between Steel Rebar and Concrete Synthesized from Solid Waste Coal Gasification Slag" Buildings 14, no. 9: 2931. https://doi.org/10.3390/buildings14092931

APA Style

Li, H., Chen, H., Nie, Q., Yu, J., Zhang, L., & Wang, Q. (2024). Bond-Slip Constitutive Relationship between Steel Rebar and Concrete Synthesized from Solid Waste Coal Gasification Slag. Buildings, 14(9), 2931. https://doi.org/10.3390/buildings14092931

Note that from the first issue of 2016, this journal uses article numbers instead of page numbers. See further details here.

Article Metrics

Back to TopTop