Abstract
Ultra-high-performance concrete with steel fibers (UHPC) stands out for its exceptional mechanical properties and high ductility. The addition of steel fibers improves the tensile strength, allowing for its use in the design of structural elements subject to bending. The use of rice husk ash (RHA) as a natural mineral addition in the UHPC mixture offers significant advantages in terms of environmental impact and mechanical properties. Therefore, this work experimentally investigates the effect of RHA as a partial replacement for active silica fume on the flexural tensile strength and compressive behavior of UHPC. Additionally, a parametric study was conducted to examine the impact of varying prism geometries on the flexural tensile strength of UHPC with and without CCR in ABAQUS version 6.14. The experimental results made it possible to calibrate the UHPC parameters using RHA for numerical simulations of UHPC behavior based on the concrete damaged plasticity (CDP) model. The results indicated an increase of 4% in the compressive strength and 20% in the flexural tensile strength of UHPC with the addition of RHA. Furthermore, the numerical extrapolations of the flexural tensile strength test show that increasing the dimensions of the prisms reduces the strength by up to 30% of UHPC with RHA, evidencing the influence of geometry on the results.
1. Introduction
Ultra-high-performance concrete (UHPC) has garnered considerable attention due to its exceptional mechanical properties, including high tensile and compressive strengths and good ductility. This quality comes from including ultrafine granular components, with a maximum diameter of less than 2 mm, along with fibers in its composition. This provides superior performance compared to conventional concrete available on the market [1]. Its high resistance capacity makes it especially useful in large-scale projects, the production of precast elements, and the recovery of structures, as it is widely used as a material for structural repairs.
The typical UHPC mix comprises the following materials: cement, non-densified silica fume, quartz powder, fine sand, superplasticizer, water, and fibers, which can be made from various materials, including steel, polypropylene, or glass. However, it is essential to conduct experimental studies to evaluate how local materials affect the mechanical properties of UHPC, including their granulometry and mineralogical composition [1]. The use of fine aggregates, such as quartz sand or fine sand, reduces weaknesses in the interfacial transition zone (ITZ) between the cementitious matrix and the aggregates while also enabling a more uniform stress distribution. Silica fume, with finer particles and a spherical shape, improves the performance of UHPC by filling the voids between larger particles [2]. Additionally, the production of UHPC utilizes a low water-to-cement (w/c) ratio, which typically ranges from 0.15 to 0.25 [3,4]. This characteristic is essential for achieving high material density; however, it negatively impacts the mix’s workability and homogenization. The fluidity of the mix can be enhanced by incorporating superplasticizer additives, which help to reduce the water-to-binder ratio [1,5]. This careful adjustment is aimed at optimizing the mechanical properties of the concrete [6].
The proper combination of materials in UHPC contributes to a significant increase in compressive strength. However, this behavior results in a lack of deformation capacity, making the material more fragile and compromising its lifespan. To mitigate this limitation, it is essential to incorporate fibers of various materials and dimensions to control microcracks and prevent brittle failures [7,8]. Among the options, steel fiber is the most commonly used in the mixture, as it can improve the ductility properties of UHPC [9,10]. To reduce production costs, research has explored alternative fibers, such as polypropylene [11] and glass [12], which have also demonstrated satisfactory mechanical properties in the material.
UHPC has specific characteristics, such as low permeability and porosity, fewer associated materials, and reduced installation and labor costs [2,9,13]. Additionally, it can be a more sustainable option compared to conventional concrete due to its greater durability, which enables reduced maintenance [14,15,16]. According to this definition, concrete must achieve a minimum compressive strength of 150 MPa to be considered UHPC. However, other standards, such as ASTM C1856 [17], establish a lower limit of 120 MPa to categorize some concrete as ultra-high performance [18]. The Canadian Standard Association [19] specifies that the minimum design characteristic compressive strength for UHPC is 120 MPa, and the minimum design characteristic tensile strength is 5 MPa. Several studies on UHPC corroborate that the compressive strength of concrete has an average value of 130 MPa [15,20,21], the flexural tensile strength is greater than 20 MPa [15,22], and the direct tensile strength is greater than 5 MPa [23,24].
The mechanical properties of UHPC related to compression behavior are well established in the literature. However, the tensile strength results still show significant variations, both in direct tensile tests and in flexural tensile strength tests. It is known that the flexural tensile test is more common due to the ease of molding concrete prisms. However, variations in the geometry of the prisms can influence the tensile strength results, making this variable relevant for further studies. The flexural strength of the prisms decreases as the sample size increases, evidencing the influence of the specimen dimensions on the properties of the UHPC material. This effect should be taken into account when developing more accurate modeling approaches. The reduction in strength is attributed to the uneven distribution of fibers in thicker elements, while in thinner specimens, the fiber distribution is more uniform, resulting in greater flexural strength [25,26].
Even with this information, the use of UHPC remains restricted due to its high cement content, which can reach up to 1100 kg/m3, resulting in significant environmental impacts, including high carbon dioxide (CO2) emissions and high energy consumption, primarily associated with the production of Portland cement. In addition, the high initial cost represents a significant barrier [27]. The cost of high-strength steel fibers accounts for approximately 35% of the total cost of UHPC manufacturing [20]. However, reducing this percentage is challenging since it is difficult to maintain or improve tensile performance without an adequate amount of these fibers [27]. Another aspect is the extremely low water-to-cement ratio and the limited extent of hydrated cement, which ranges from 30% to 40% [28], resulting in a significant amount of non-hydrated cement in the matrix. Part of the non-hydrated cement reacts directly with the superplasticizer additive used in the mixture, and another part of its composition fills the voids. In order to economically optimize the UHPC mixture and minimize environmental impacts, it is recommended to partially replace the cement with mineral additives. Among these, we can mention ground granulated blast-furnace slag, fly ash, metakaolin, and rice husk ash [27].
Rice husk ash is produced by burning direct residues from rice production, specifically the rice husks discarded during the production process [29]. Controlled combustion of rice husks is of fundamental importance for producing RHA with silica concentrations above 90% [29,30]. When added to the concrete mix, it helps create hydrated calcium silicate, resulting from the reaction of calcium hydroxide from cement hydration with silica contained in pozzolan, thereby improving the mechanical properties and durability of the concrete [29,31]. Furthermore, the use of RHA not only increases compressive strength but also improves the water absorption of concrete by filling pores and voids within the concrete matrix. However, RHA negatively impacts the workability of the paste if the percentage of cement replacement by RHA exceeds 20%, accompanied by an increase in the brittleness of the mixtures [29,30,32].
The use of rice husk ash to produce UHPC was investigated. The results showed that the compressive strength of UHPC using RHA exceeded 150 MPa under normal curing conditions [33]. Furthermore, the samples with 10% RHA incorporated as a replacement for cement and silica showed better compressive strength than the control mix. The effect on compressive strength when replacing 30% of Portland cement with 15% ground blast furnace slag (GBFS) and 15% rice husk ash (RHA) was analyzed [2]. The mixture with mineral additions exhibited a compressive strength of 143.5 MPa, whereas the compressive strength of the reference mixture (i.e., without mineral additions) was 159.3 MPa. Furthermore, the mixtures with mineral additions showed a lower embodied CO2 emission index compared to the reference mixture. In [29], the authors analyzed the effect of replacing silica with rice husk ash (RHA) on the compressive strength, flexural strength, and permeability of ultra-high-performance concrete (UHPC) at different curing ages. The results obtained by the authors indicated that the addition of RHA to replace SF reduced the fluidity of the fresh UHPC mix, resulting in the trapping of more air bubbles. On the other hand, replacing 2/3 of the silica with rice husk ash increased the compressive strength from 119.3 to 136.6 MPa compared to UHPC without addition, i.e., a gain of 14%. With the addition of RHA, the flexural strength at 3 days was improved, while at 28 and 120 days, there were no significant changes, ranging from 20 to 23 MPa.
Vigneshwari et al. [34] reported an increase in the splitting tensile strength of approximately 15% to 46% and an increase in flexural strength of about 12% to 44% when using rice husk ash (RHA) compared to controlled concrete under normal curing conditions. Under steam curing conditions, the increases are approximately 10% to 36% for splitting tensile strength and 11% to 38% for flexural strength, depending on different replacement levels.
Based on the aforementioned studies, it is evident that replacing silica with RHA has a significant impact on the mechanical properties of UHPC, including compressive and tensile strengths, as well as the modulus of elasticity. Flexural strength is a critical parameter to study in the UHPC with rice husk ash, because, according to Silva [1], mineral additions can significantly influence this property. However, there are few studies in the literature examining the impact of rice husk ash (RHA) on flexural tensile strength. Regarding structural elements subjected to flexural tensile stresses, understanding the tensile strength behavior of UHPC allows for an increase in the load-bearing capacity of these structures. Furthermore, ductility analysis enables structures to operate under cracked conditions without compromising structural integrity. Therefore, this work seeks to fill the knowledge gap on the flexural tensile strength of UHPC with RHA, both experimentally, through tests, and numerically, with the calibration of parameters from flexural tests carried out on 40 × 40 × 160 mm prisms, seeking to obtain parameters of UHPC with RHA to design safer structures, reduce environmental impacts by reducing cement consumption in the UHPC mixture, and also analyze whether variations in the geometry of the prisms influence the flexural tensile strength based on parametric analyses of the numerical models.
2. Materials and Methods
2.1. Constituent Materials of Ultra-High Performance Concrete (UHPC)
The UHPC mixture used is composed of fine industrial sand (Jundu Mining, Descalvado, Brazil), quartz powder (Jundu Mining, Analandia, Brazil), steel fiber (Weixian Jinzhuwang Steel Fiber Manufacturing Co., Ltd., Nanjing, China), non-densified silica fume (Elkem Materials South America Ltda.~, São Paulo, Brazil), Portland cement (Nacional CPV, Brazil), and rice husk ash (RHA, Ekosil, Itaqui, Brazil). Burning rice husk ash occurs in a boiler specifically designed to generate energy using rice husk as a fuel for heat. The boiler’s average temperature reaches 800 °C. It features a horizontal design with a grid system and is automated to regulate the feeding mechanism and oxygen inlet. Table 1 provides a characterization of the chemicals present in the materials used. This analysis is crucial as it helps to understand the interactions among the components of the mixture, particularly the pozzolanic materials like rice husk ash and microsilica. Additionally, it verifies whether the waste materials used as additives possess effective pozzolanic or filler properties. These materials react with the calcium hydroxide released during cement hydration, forming additional cementing products, such as C-S-H, which contribute to the increase in strength and durability of the concrete. In addition, knowing the proportion of components such as silica, calcium, alumina, and metal oxides helps predict the formation of hydration products, which is essential to promote the densification of the microstructure, a key characteristic of UHPC. Another relevant aspect is that UHPC is highly sensitive to material variability. Therefore, chemical characterization ensures uniformity between production batches, which is crucial for high-performance structural applications. A semiquantitative analysis by X-ray fluorescence was performed to obtain the results, which allowed the determination of chemical elements from fluorine to uranium. In addition, the samples were prepared by fusion. The results indicate that SiO2 is the predominant chemical material in all samples.
Table 1.
Chemical composition of cementing materials.
The results of the crystallographic analysis by X-ray diffraction (XRD) are shown in Figure 1. The same indicates that both SF and RHA primarily consist of amorphous silicon dioxide. X-ray diffraction (XRD) analysis revealed the presence of a broad amorphous halo in the region between 10° and 40° (2θ) for both silica fume (Figure 1a) and rice husk ash (RHA) (Figure 1b). In the case of silica fumes, the amorphous halo was free of crystalline peaks, indicating a fully amorphous structure. On the other hand, RHA presented a diffracted peak within the same angular range, which is associated with the presence of crystalline silica in its composition. Using the method of calculating the area under the amorphous halo to estimate the degree of amorphicity (GA), as described in Equation (1), a GA of 100% was obtained for micro silica. At the same time, for RHA, the value was 80%, indicating that it is not fully amorphous. As for cement and quartz powder, Figure 1c,d show the absence of a wide amorphous halo, confirming that the silica present in these materials is predominantly crystalline.
where Aamorphous is the area under the amorphous hump (broad, non-sharp signal) and Acrystalline is area under the crystalline peaks (sharp diffraction peaks).
Figure 1.
Results of crystallographic analysis by X-ray diffraction (XRD) of cementing materials: (a) rice husk ash; (b) non-densified silica fume; (c) cement; (d) quartz filler.
A fine industrial sand with a maximum particle size of 0.42 mm and a fineness modulus of 0.8 was used in the mixture. The specific surface area and density of silica fume and rice husk ash were 1790 m2/kg and 2200 kg/m3, 2000 m2/kg and 2260 kg/m3, respectively. For the quartz filler, the specific surface area was 234 m2/kg, and the density was 2700 kg/m3. The mixture also included copper-coated steel fibers, which had a length of 13 mm, a diameter of 0.2 mm, and an ultimate strength of 2900 MPa. Figure 2 illustrates samples of materials used in the production of UHPC.
Figure 2.
Samples of materials used in the production of UHPC: (a) fine sand; (b) quartz filler; (c) steel fiber; (d) rice husk ash; (e) cement; (f) non-densified silica fume.
2.2. Mixing and Molding of Ultra-High-Performance Concrete (UHPC)
A reference mixture of UHPC_R was prepared, with the proportions of materials determined according to the study by Prado [35], without any rice husk ash (RHA) replacement. Additionally, a second mixture (UHPC_RHA) was created, incorporating a 20% silica replacement with RHA. The percentage of RHA used in this mixture was established based on the results of optimization studies conducted by Huang [1,29] and preliminary tests that assessed its potential. Table 2 presents the proportions of materials used in the two analyzed mixtures.
Table 2.
Mixing ratio for ultra-high-performance concrete (UHPC) in kilograms per cubic meter (kg/m3).
The ultra-high-performance concrete (UHPC) was mixed in a properly sanitized mixer. The tank was moistened beforehand to prevent moisture absorption from the mixture. The materials were added in the following sequence: first, sand and 10% of the water were mixed for 1 min. Next, the cementitious materials—namely, cement, non-densified silica fume, rice husk ash, and quartz powder—along with the remaining water, were added, and the mixture was beaten for an additional 5 min. Subsequently, the superplasticizer was incorporated and mixed for 10 min. Finally, steel fibers were added, and the mixture was beaten for an additional 5 min, bringing the total mixing time to 26 min. The superplasticizer dosage with rice husk ash (RHA) did not need to be adjusted, as these mineral additives did not affect mixture fluidity.
To test the mechanical properties of UHPC, samples were molded in specific formats: 40 mm × 40 mm × 160 mm prisms for the flexural tensile strength test (ABNT NBR 13279:2005 [36]), three prisms for the reference UHPC and three for the UHPC with RHA; cylinders measuring 50 mm in diameter by 100 mm in height for the compressive strength test (ABNT NBR 5739: 2018 [37]), three cylinders for the reference UHPC and three for the UHPC with RHA. All mixtures were subjected to vibration for 1 min. After molding, the samples were wrapped in plastic film and stored at room temperature for 48 h to undergo initial curing. They were then demolded and submerged in a tank with normal water at a temperature of 24 °C, where they remained until the test was performed 28 days later.
2.3. Experimental Tests Conducted at Ultra-High-Performance Concrete (UHPC)
The flexural tensile strength test was performed on prismatic specimens with dimensions of 40 mm × 40 mm × 160 mm, using a loading speed of 100 mm/min in an Instron—EMIC type press (Figure 2). The adopted parameters followed the specifications of ABNT NBR 13279:2005 [36].
The prismatic specimens were prepared with 7 mm high by 3 mm thick notches in the center to induce crack formation. A clip gauge was also positioned in the central region of the notch to measure the crack opening during the application of the load. Figure 3 illustrates the loading application scheme and the geometry of the prism used in the three-point flexural tensile strength test. The same is calculated according to Equation (2) [36].
where fct,f is the flexure strength (MPa); Ffailure is the failure load (N); L is the span length (160 mm); b is the span width (40 mm); d is the span height at the interface (40 mm).
Figure 3.
Boundary conditions and geometry of the specimen used in the flexural tensile test. Unit (mm).
The compression strength test was performed according to ABNT NBR 5739:2018 [37] on 50 × 100 mm cylindrical test specimens with a load application speed of 100 mm/min on an Instron—EMIC type press.
3. Results and Discussion
The results of the compressive strength test of the reference UHPC (UHPC_R) and with 20% RHA (UHPC_RHA) (Figure 4a) at 28 days are presented in Table 3.
Figure 4.
Test configuration and cracking pattern for: (a) compressive strength; (b) flexural tensile strength.
Table 3.
Average compressive strength values of the studied ultra-high-performance concrete (UHPC).
Comparing the results obtained, an increase of approximately 4% in compressive strength is observed, representing a slight improvement for UHPC_RHA with 20% RHA (132.60 MPa) compared to UHPC_R without replacement (127.67 MPa). This result aligns with previous studies, confirming the potential of rice husk ash as a cementitious constituent in the production of UHPC [33,38,39]. Furthermore, this approach promotes the reuse of agricultural waste, such as RHA, thereby contributing to the mitigation of the inappropriate disposal of these materials in the environment.
The results of the flexural tensile strength test for the reference UHPC (UHPC_R) and the UHPC with 20% RHA (UHPC_RHA) are presented in Table 4 and Figure 4b.
Table 4.
Average flexure tensile strength values of the studied ultra-high-performance concrete (UHPC).
Comparing the results obtained, an increase in flexural tensile strength was observed with the addition of RHA to UHPC, from 26.05 MPa to 31.57 MPa, representing an approximately 20% increase. This increase was mainly due to the presence of amorphous silica in the RHA composition. The effect of RHA presence on UHPC was more significant on flexural tensile strength than on compressive strength. However, as already mentioned, research on flexural tensile strength in UHPC-RHA mixtures is still quite limited [29,34]. Therefore, this work also included a numerical investigation of this property through the numerical simulation of UHPC with RHA. The results of this analysis are presented in the next section to offer a more comprehensive understanding of flexural tensile strength.
To further investigate the environmental impact of incorporating rice husk ash (RHA) into UHPC formulations, a fundamental embodied CO2 analysis was conducted considering the quantities of materials used in the two mixtures and adopting average emission factors available in the [40,41,42,43] literature. The emission factors considered were: 0.84 kg CO2/kg for Portland cement, 0.0031 kg CO2/kg for silica fume, 0.065 kg CO2/kg for quartz powder, 0.0026 kg CO2/kg for fine sand, 2.68 kg CO2/kg for steel fibers, 0.75 kg CO2/kg for superplasticizer, 0.00015 kg CO2/kg for water, and 0.1032 kg CO2/kg for RHA. The embodied CO2 emissions were estimated by multiplying the mass of each constituent per cubic meter by its respective emission factor. For the reference UHPC mixture (UHPC_R), the total embodied CO2 was calculated as 1134.30 kg CO2/m3, resulting primarily from the high contributions of Portland cement and steel fibers. For the RHA-modified mixture (UHPC_RHA), incorporating 20% RHA in place of silica fume, the total embodied CO2 was calculated as 1138.09 kg CO2/m3. Thus, contrary to initial expectations, using RHA led to a slight increase of approximately 0.34% in CO2 emissions compared to the reference mix. This result is attributed to the relatively low emission factor of silica fume compared to the emission associated with the processing of RHA considered in this study. Nevertheless, it is important to highlight that, beyond the carbon footprint analysis, the valorization of agricultural waste and the promotion of a circular economy represent significant environmental benefits associated with using RHA in high-performance concrete mixtures.
4. Numerical Modeling of the Flexural Tensile Strength Test
The flexural tensile strength values may vary depending on the prism geometry. To investigate this influence, a set of analyses was performed using finite element simulations, varying the specimen geometry. Additionally, input parameters for the numerical model were proposed and calibrated to adequately represent the mechanical properties of UHPC with the addition of RHA (rice husk ash).
4.1. Finite Element Modeling
The prism models used in the numerical simulations were developed in the ABAQUS software version 6.14. To calibrate the numerical results with the experimental data, two model configurations were considered: two-dimensional and three-dimensional. In the two-dimensional model, the CPS4R finite element was utilized, whereas in the three-dimensional model, the C3D8R finite element was employed. For both models, the mesh size was set at 5 mm. After a mesh sensitivity study varying the finite element size between 2.5 mm, 5 mm, and 10 mm, the element size of 5 mm was chosen as it provides a reasonable time processing with adequate representation of the cracking pattern. Two types of support were adopted: pinned support, restricting displacements on the x, y, and z axes; and roller support, allowing displacements only on the y and z axes, simulating a support base with less restriction on movement. The displacement was applied at the center of the span. These configurations were identical to those used in the experimental tests (Figure 3).
The material behavior of UHPC_R and UHPC_RHA was simulated using the concrete damage plasticity (CDP) model available on the ABAQUS software version 6.14 [44]. This model was selected because it effectively captures the damage evolution under both tension and compression and the inelastic behavior of concrete [45].
Regarding the elastic properties, the same values were considered for both UHPC_R and UHPC_RHA. Young’s modulus adopted was 47,846.542 MPa, determined experimentally by ABNT NBR 8522:2018 [46]. Poisson’s ratio adopted was 0.2, based on values found in the literature [47,48].
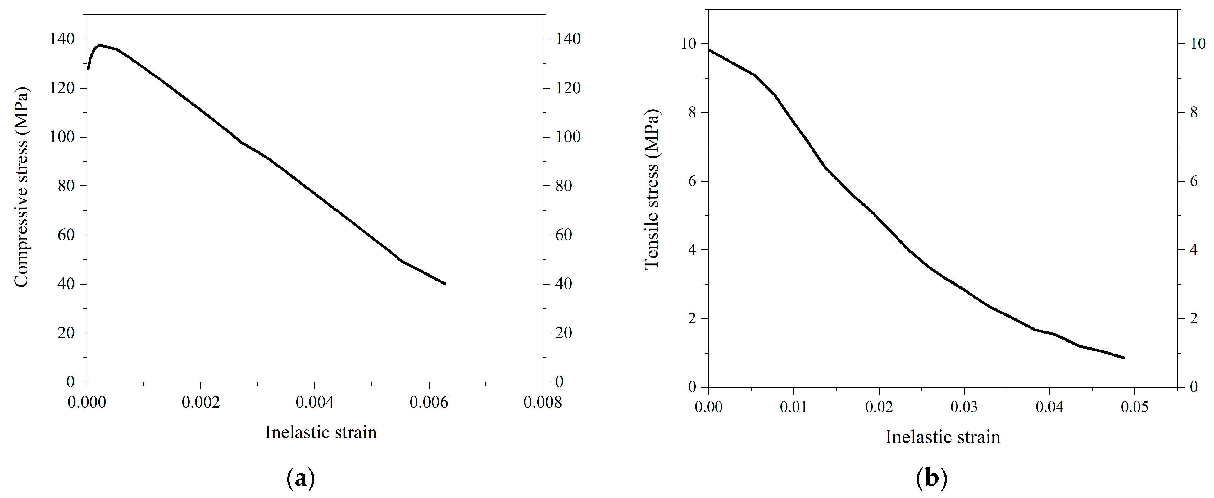
Regarding the stress–strain behavior of UHPC_R in the CDP model, the input parameters are the compression stress versus inelastic strains (σc × εcin) and tensile stress versus cracking strain curves (σt × εtin), as determined from experimental tests and shown in Figure 5. For UHPC-RHA, the same experimental curves as UHPC_R were considered. The inelastic strains in compression and tensile were calculated as follows:
where and are the total compression and tensile strains, respectively; and are the compressive and tensile stresses at the evaluated point and is the elasticity modulus.
Figure 5.
Mechanical properties of UHPC-R derived from the test results and imputed in the numerical models: (a) compressive stress versus inelastic strain; (b) tensile stress versus inelastic strain.
The input parameters in the CDP depend on several factors, including the dilatancy angle (ψ), the eccentricity (e), the fbo/fco ratio, the shape factor Kc, in addition to the viscosity parameter (μ). Table 5 displays the values adopted for the UHPC_R and UHPC_RHA, calibrated according to the experimental results from Krahl et al. [8]. To match the experimentally obtained rupture strength of UHPC with RHA, adjustments were made to the Concrete Damage Plasticity (CDP) parameters, specifically the dilatancy angle ψ and viscosity μ.
Table 5.
Parameters of the concrete damage plasticity (CDP) model in the Abaqus® software used for the UHPC-R and UHPC-RHA.
Figure 6 shows the force versus horizontal displacement curves (crack opening) at the notch, obtained from the experimental and numerical models, referring to the flexural tensile strength test of UHPC_R and UHPC_RHA, for both the 2D and 3D models. Both models presented similar behavior up to the flexural tensile strength. However, concerning the post-peak behavior, the curve of the 3D model demonstrated a better approximation to the experimental results when compared to the 2D model for both concretes. This indicates that the adopted values of the viscosity and dilatancy angle parameters for UHPC_R and UHPC_RHA in the CDP exhibit good representativeness and can be utilized in numerical simulations for this material.
Figure 6.
Comparison between experimental and numerical (2D and 3D) results of flexure tensile tests for (a) UHPC-R and (b) UHPC-RHA.
Table 6 presents the flexural tensile strength results obtained from the 2D and 3D numerical models in comparison with the experimental results. The flexural tensile strength results from the numerical simulations indicated that there was no difference in values with those obtained experimentally. This suggests that two-dimensional modeling may be a valid alternative for analyses where speed and economy of computational resources are priorities.
Table 6.
Comparison between experimental and numerical results of flexural tensile strength for UHPC-R and UHPC-RHA using 2D and 3D finite elements.
4.2. Parametric Analyses: Influence of the Geometry of the Tests
After validating the numerical models to simulate material behavior, parametric analyses were conducted to investigate the influence of increased geometry on flexural tensile strength. The 3D model was adopted for numerical extrapolation as it provides a better representation of post-peak behavior. Table 7 presents the variations in the dimensions of the specimens used in the numerical model’s extrapolation, as well as the test spans were the same as per ABNT NBR 12142:2010 [49].
Table 7.
Geometry of the specimens and finite elements in the parameter analysis.
The three-dimensional element C3D8R was employed to analyze the variations in the geometry of the prisms in the numerical model of Abaqus. The same support conditions and CDP input parameters adopted in validating the numerical simulations were maintained for the prismatic model 40 × 40 × 160 mm. Due to the larger dimensions of the prisms considered in the numerical extrapolation, a sensitivity analysis and mesh refinement were essential. After conducting several tests, it was determined that a variable mesh size, set at 10% of the height of each prism’s cross-section, was necessary. The mesh size was considered uniform throughout the prism. This strategy aims to optimize computational performance by reducing the number of elements while maintaining the accuracy of the results. Table 7 presents the specific dimensions of the meshes used for each model, illustrating the adaptation of mesh size to the dimensions of the prisms. This approach not only ensured accurate results but also significantly reduced processing time—a crucial factor for executing multiple simulations within a reasonable time interval. Thus, the choice of the mesh size for each model represented a balance between the fidelity of the results and the computational efficiency.
Figure 7 and Table 8 present the results obtained from the numerical simulations of the flexural tensile strength test, which vary according to the geometry of the prisms.
Figure 7.
Influence of prism size on the flexural tensile strength of (a) UHPC reference specimens and (b) UHPC-RHA specimens.
Table 8.
Flexural tensile strength according to the prism geometry of the numerical model.
The results presented in Table 8 indicate a slight increase in the flexural tensile strength of the UHPC specimens with the addition of RHA, as shown in the experimental results. Both UHPC_R and UHPC_RHA presented high flexural tensile strength values in the 40 × 40 × 160 mm prisms. As the geometry of the specimens increased to 100 × 100 × 350 mm, reductions of approximately 10% and 17% in flexural tensile strength were observed for the UHPC_R and UHPC_RHA models, respectively, compared to the 40 × 40 × 160 mm prisms.
In the case of UHPC_R, the flexural tensile strength values did not show significant variations with the subsequent increase in the prism dimensions. On the other hand, for the UHPC_RHA prisms, the variation in strength was more expressive, especially in the transitions from smaller to larger dimensions. These results corroborate those obtained by [26,50], which found that the flexural tensile strength varies according to the size of the prismatic concrete specimens. As the size of the prism increases, the flexural tensile strength decreases. This result was also obtained by Lampropoulos [25], which confirmed that the flexural strength of the examined prisms is reduced as the depth of the specimens is increased, confirming the so-called “size effect”. Nguyen [26] also concluded that as the size of the specimen decreased, the flexural strength of UHPFRC increased significantly, while the average crack spacing on the bottom surface of the specimen noticeably decreased.
There was a 20% reduction in the flexural tensile strength of the UHPC-R from the smallest prismatic model compared to the prism with the largest geometry. While in the UHPC-RHA, this reduction in strength was 30% from the smallest prismatic model (40 × 40 × 160 mm) to the largest prismatic model (450 × 450 × 1400 mm). A decrease in flexural tensile strength of approximately 6% was observed with the increase in the geometry of the cross-section specimens from 100 × 100 mm to 150 × 150 mm, 250 × 250 mm, and 540 × 450 mm. This behavior indicates that the presence of RHA (rice husk ash) in the mixture contributed positively to maintaining the flexural tensile strength of the UHPC, even as the specimens’ dimensions increased.
In UHPC prisms, the size effect on flexural tensile strength arises from changes in stress distribution during crack propagation. Larger specimens have a more nonuniform stress field near cracks, leading to stress concentrations that accelerate unstable crack growth. Unlike small specimens, which can redistribute stress more effectively around microcracks, larger ones experience more localized failure. This results in a systematic decrease in nominal strength with increasing size, as formalized by Bažant’s Size Effect Law [45]. In addition, these findings agree with previous publications in this field [51,52].
The curves presented in Figure 7b indicate a smaller displacement (crack opening) of UHPC_RHA at the maximum load compared to UHPC_R (Figure 7a). This behavior suggests that the addition of rice husk ash (RHA) increased the stiffness of UHPC. This effect can be attributed to the high degree of amorphicity of the RHA used in the mixture. The silica present in the ash reacts with the calcium hydroxide released during cement hydration, thereby promoting a stronger bond within the cementitious matrix, which contributes to increasing the strength and stiffness of the concrete. Additionally, the fine particles of RHA enhance the density of the cementitious matrix, thereby further reinforcing its stiffness [53,54].
Another way to explain these results is that the denser (less porous) matrix of UHPC_RHA improves the pre-cracking elastic stiffness and delays microcracking, contributing to the overall flexural stiffness. Additionally, a stronger interfacial transition zone (ITZ) between the matrix and fibers or aggregates reduces stress concentrations around fibers, resulting in better stress transfer and higher stiffness during flexural loading [29,55].
Figure 8 illustrates the stress distribution in the UHPC-R prisms as a function of geometry variation. In the smaller prisms (40 × 40 × 160 mm), it is observed that the maximum tensile stress in bending is concentrated more widely in the central region of the lower edge compared to the larger prisms. In the larger prisms, it is noted that the maximum tensile stress in the central region gradually decreases as it moves away from the lower edge, reaching minimum values at the upper edge. Furthermore, in the smaller prisms, it is possible to perceive the influence of tensile stresses along the entire height of the section, extending from the lower edge to the upper edge, especially in the central region, until the moment of rupture. This indicates that, in the smaller prisms, tensile stresses are more evenly distributed vertically, whereas in the larger prisms, rupture occurs predominantly with minimum tensile stresses at the upper edge, with tensile stresses concentrated mainly in the lower region of the section. According to Figure 4, a central crack has formed and propagated towards the upper region. In the larger prisms, it is observed that the maximum tensile stress in the central area gradually decreases as it moves away from the lower edge, reaching minimum values at the upper edge. Nguyen [26] noted that as the size of the specimen decreases, the flexural strength of ultra-high-performance fiber-reinforced concrete (UHPFRC) increases significantly, while the average crack spacing on the bottom surface of the specimen decreases noticeably. Conversely, the average crack spacing tends to be wider as the specimen size increases. According to Weibull’s theory regarding the size effect, specimens can be modeled as chains with multiple elements. As a result, larger specimens, which consist of more elements in the chain, have a higher probability of failure compared to smaller specimens. This phenomenon is known as the size effect on strength [56].

Figure 8.
Tensile stress distribution in prismatic models: (a) 40 × 40 × 160 (mm); (b) 100 × 100 × 300 mm; (c) 150 × 150 × 500 mm; (d) 250 × 250 × 800 mm; (e) 450 × 450 × 1400 mm.
5. Conclusions
This study analyzed the effect of adding rice husk ash (RHA) on the flexural tensile strength of fiber-reinforced ultra-high-performance concrete (UHPC) prisms. In addition, the calibration of UHPC parameters with RHA was proposed for numerical simulations based on the CDP model. In the end, parametric analyses were conducted to investigate the impact of prism size on flexural tensile strength for UHPC specimens both with and without RHA addition. The main conclusions obtained in this work are listed below:
- Comparing the results obtained, an increase of approximately 4% in compressive strength is observed, representing a small improvement for UHPC with 20% RHA (132.60 MPa) compared to UHPC without replacement (127.67 MPa).
- Comparing the results obtained, an increase in flexural tensile strength is observed with the addition of RHA to UHPC (from 26.05 MPa to 31.57 MPa), which represents an increase of approximately 20%.
- The adjustments of the viscosity and dilatancy angle parameters for the UHPC-RHA in the CDP, considering the UHPC-R input data, showed good representativeness and can be used for numerical simulation.
- Numerical extrapolations of the flexural tensile strength test indicate that the size of the concrete prism geometry affects the final results; specifically, as the geometry of the prisms increases, the resistance decreases.
- There was a 20% reduction in the tensile strength of UHPC-R from the smallest prismatic model compared to the prism with the largest geometry. While in the UHPC-RHA, this reduction in strength was 30% from the smallest prismatic model to the largest prismatic model.
- The tensile strength curves obtained from the numerical model showed that UHPC_RHA exhibited a smaller displacement before reaching rupture compared to UHPC_R, confirming that the presence of RHA enhances the stiffness of UHPC due to its high pozzolanic activity and its filler effect on the microstructure.
The conclusions demonstrate that the inclusion of rice husk ash (RHA) in the UHPC mixture yields satisfactory performance in terms of mechanical strength, particularly in flexural tensile strength. However, this topic has not been fully explored, and further experimental studies are needed to investigate the behavior of RHA in UHPC compositions. In addition, the variation in the geometry of the prisms should be considered in the calculation of the flexural tensile strength, especially in mixtures containing RHA, in which this influence was shown to be more significant. Smaller prisms can be used in the tests; however, the force obtained should be corrected to consider the influence of the smaller geometry of the specimen.
As a suggestion for future work, it is recommended that experimental analyses of the mechanical behavior of UHPC be performed with the addition of rice husk ash (RRA) and different types of fibers, such as polypropylene and glass microfibers. The focus should be on evaluating the tensile strength in bending, considering the variations in the geometries of the prisms used in the tests, to verify whether such variations significantly influence the results.
Author Contributions
Conceptualization, L.P.P.; methodology, G.H.H.M. and V.H.C.X.; software, A.M.d.S.L.d.M.S. and E.M.M.; validation, A.M.d.S.L.d.M.S. and E.M.M.; investigation and resources, L.P.P., A.M.d.S.L.d.M.S., E.M.M., G.H.H.M., V.H.C.X., E.F.F. and A.M.D.d.S.; writing—review and editing, L.P.P., A.M.d.S.L.d.M.S., E.M.M., G.H.H.M., V.H.C.X., E.F.F. and A.M.D.d.S.; visualization, L.P.P., E.F.F. and A.M.D.d.S.; supervision, L.P.P. and A.M.D.d.S.; project administration, L.P.P. All authors have read and agreed to the published version of the manuscript.
Funding
This research was funded by the São Paulo Research Foundation (FAPESP) (Grant #2023/04403-4 and #2024/13561-5), São Paulo State University (UNESP) EDITAL 17/2025 PROPG, and the Brazilian Coordination for the Improvement of Higher Education Personnel (CAPES).
Data Availability Statement
The authors will make the raw data supporting this article’s conclusions available upon request. More information can be found in Prado, L.P. Estudo Da Interface Do Concreto Pré-Moldado e Concreto de Altíssimo Desempenho Reforçado Com Fibras, Universidade de São Paulo: São Carlos, 2020.
Acknowledgments
The authors would like to thank Elkem Materials South America Ltda. for donating microsilica, Ekosil for donating rice husk ash (Green Silica), and MC-Bauchemie for contributing the superplasticizer additive.
Conflicts of Interest
The authors declare that they have no conflicts of interest.
References
- Silva, M.L.D.; Prado, L.P.; Félix, E.F.; Sousa, D.; Aquino, D.P.; Lage Da Silva, M.; Pereira Prado, L.; Félix, E.F.; Dantas De Sousa, A.M.; Aquino, D.P. The Influence of Materials on the Mechanical Properties of Ultra-High-Performance Concrete (UHPC): A Literature Review. Materials 2024, 17, 1801. [Google Scholar] [CrossRef] [PubMed]
- Ha, N.S.; Marundrury, S.S.; Pham, T.M.; Pournasiri, E.; Shi, F.; Hao, H. Effect of Grounded Blast Furnace Slag and Rice Husk Ash on Performance of Ultra-High-Performance Concrete (UHPC) Subjected to Impact Loading. Constr. Build. Mater. 2022, 329, 127213. [Google Scholar] [CrossRef]
- Shi, C.; Wu, Z.; Xiao, J.; Wang, D.; Huang, Z.; Fang, Z. A Review on Ultra High Performance Concrete: Part I. Raw Materials and Mixture Design. Constr. Build. Mater. 2015, 101, 741–751. [Google Scholar] [CrossRef]
- Richard, P.; Cheyrezy, M. Composition of Reactive Powder Concretes. Cem. Concr. Res. 1995, 25, 1501–1511. [Google Scholar] [CrossRef]
- Pereira Prado, L.; Carrazedo, R.; Khalil El Debs, M. Interface Strength of High-Strength Concrete to Ultra-High-Performance Concrete. Eng. Struct. 2022, 252, 113591. [Google Scholar] [CrossRef]
- HIRSCHI, T.; WOMBACHER, F. Influence of Different Superplasticizers on UHPC. In Proceedings of the Second International Symposium on Ultra High Performance Concrete, Kassel, Germany, 5–7 March 2008; Kassel University Press: Kassel, Germany, 2008; pp. 77–84. [Google Scholar]
- Safdar, M.; Matsumoto, T.; Kakuma, K. Flexural Behavior of Reinforced Concrete Beams Repaired with Ultra-High Performance Fiber Reinforced Concrete (UHPFRC). Compos. Struct. 2016, 157, 448–460. [Google Scholar] [CrossRef]
- Krahl, P.A.; Carrazedo, R.; El Debs, M.K. Mechanical Damage Evolution in UHPFRC: Experimental and Numerical Investigation. Eng. Struct. 2018, 170, 63–77. [Google Scholar] [CrossRef]
- Wang, S.; Xu, L.; Chi, Y.; Cui, K.; Yin, C.; Li, B. Cyclic Tensile Behavior of Ultra-High Performance Concrete with Hybrid Steel-Polypropylene Fiber: Experimental Study and Analytical Model. Compos. Struct. 2023, 321, 117255. [Google Scholar] [CrossRef]
- Zhang, S.S.; Wang, J.J.; Lin, G.; Yu, T.; Fernando, D. Stress-Strain Models for Ultra-High Performance Concrete (UHPC) and Ultra-High Performance Fiber-Reinforced Concrete (UHPFRC) under Triaxial Compression. Constr. Build. Mater. 2023, 370, 130658. [Google Scholar] [CrossRef]
- Smarzewski, P. Effect of Curing Period on Properties of Steel and Polypropylene Fibre Reinforced Ultra-High Performance Concrete. IOP Conf. Ser. Mater. Sci. Eng. 2017, 245, 032059. [Google Scholar] [CrossRef]
- Muhyaddin, G.F. Mechanical and Fracture Characteristics of Ultra-High Performance Concretes Reinforced with Hybridization of Steel and Glass Fibers. Heliyon 2023, 9, e17926. [Google Scholar] [CrossRef] [PubMed]
- Sohail, M.G.; Kahraman, R.; Al Nuaimi, N.; Gencturk, B.; Alnahhal, W. Durability Characteristics of High and Ultra-High Performance Concretes. J. Build. Eng. 2021, 33, 101669. [Google Scholar] [CrossRef]
- Yang, R.; Yu, R.; Shui, Z.; Gao, X.; Xiao, X.; Zhang, X.; Wang, Y.; He, Y. Low Carbon Design of an Ultra-High Performance Concrete (UHPC) Incorporating Phosphorous Slag. J. Clean. Prod. 2019, 240, 118157. [Google Scholar] [CrossRef]
- Guo, P.; Meng, W.; Du, J.; Han, B.; Bao, Y. Lightweight Ultra-High-Performance Concrete (UHPC) with Expanded Glass Aggregate: Development, Characterization, and Life-Cycle Assessment. Constr. Build. Mater. 2023, 371, 130441. [Google Scholar] [CrossRef]
- Lázaro, C.; Castro-Bugallo, C.; Navarro-Gregori, J.; Priego-de-los-Santos, E.; Serna, P. Design and Production of an Experimental UHPFRC Bending-Active Footbridge. Eng. Struct. 2023, 294, 116742. [Google Scholar] [CrossRef]
- ASTM C1856/C1856M-24; Standard Practice for Fabricating and Testing Specimens of Ultra-High Performance Concrete. ASTM International: West Conshohocken, PA, USA, 2024.
- Abellan-Garcia, J.; Martinez, D.M.; Khan, M.I.; Abbas, Y.M.; Pellicer-Martínez, F. Environmentally Friendly Use of Rice Husk Ash and Recycled Glass Waste to Produce Ultra-High-Performance Concrete. J. Mater. Res. Technol. 2023, 25, 1869–1881. [Google Scholar] [CrossRef]
- CSA A23.1-14/A23.2-2014; Concrete Materials and Methods of Concrete Construction/Test Methods and Standard Practices for Concrete. Canadian Standards Association: Toronto, ON, Canada, 2014.
- Yoo, D.Y.; Kim, S.; Park, G.J.; Park, J.J.; Kim, S.W. Effects of Fiber Shape, Aspect Ratio, and Volume Fraction on Flexural Behavior of Ultra-High-Performance Fiber-Reinforced Cement Composites. Compos. Struct. 2017, 174, 375–388. [Google Scholar] [CrossRef]
- Li, S.; Mejlhede Jensen, O.; Yu, Q. Influence of Steel Fiber Content on the Rate-Dependent Flexural Performance of Ultra-High Performance Concrete with Coarse Aggregates. Constr. Build. Mater. 2022, 318, 125935. [Google Scholar] [CrossRef]
- Liu, Y.; Shi, C.; Zhang, Z.; Li, N.; Shi, D. Mechanical and Fracture Properties of Ultra-High Performance Geopolymer Concrete: Effects of Steel Fiber and Silica Fume. Cem. Concr. Compos. 2020, 112, 103665. [Google Scholar] [CrossRef]
- Fang, H.; Gu, M.; Zhang, S.; Jiang, H.; Fang, Z.; Hu, J. Effects of Steel Fiber and Specimen Geometric Dimensions on the Mechanical Properties of Ultra-High-Performance Concrete. Materials 2022, 15, 3027. [Google Scholar] [CrossRef]
- Wu, Z.; Khayat, K.H.; Shi, C. Changes in Rheology and Mechanical Properties of Ultra-High Performance Concrete with Silica Fume Content. Cem. Concr. Res. 2019, 123, 105786. [Google Scholar] [CrossRef]
- Lampropoulos, A.; Nicolaides, D.; Paschalis, S.; Tsioulou, O. Experimental and Numerical Investigation on the Size Effect of Ultrahigh-Performance Fibre-Reinforced Concrete (UHFRC). Materials 2021, 14, 5714. [Google Scholar] [CrossRef] [PubMed]
- Nguyen, D.L.; Kim, D.J.; Ryu, G.S.; Koh, K.T. Size Effect on Flexural Behavior of Ultra-High-Performance Hybrid Fiber-Reinforced Concrete. Compos. B Eng. 2013, 45, 1104–1116. [Google Scholar] [CrossRef]
- Amran, M.; Huang, S.S.; Onaizi, A.M.; Makul, N.; Abdelgader, H.S.; Ozbakkaloglu, T. Recent Trends in Ultra-High Performance Concrete (UHPC): Current Status, Challenges, and Future Prospects. Constr. Build. Mater. 2022, 352, 129029. [Google Scholar] [CrossRef]
- Korpa, A.; Kowald, T.; Trettin, R. Phase Development in Normal and Ultra High Performance Cementitious Systems by Quantitative X-Ray Analysis and Thermoanalytical Methods. Cem. Concr. Res. 2009, 39, 69–76. [Google Scholar] [CrossRef]
- Huang, H.; Gao, X.; Wang, H.; Ye, H. Influence of Rice Husk Ash on Strength and Permeability of Ultra-High Performance Concrete. Constr. Build. Mater. 2017, 149, 621–628. [Google Scholar] [CrossRef]
- Kang, S.H.; Hong, S.G.; Moon, J. The Use of Rice Husk Ash as Reactive Filler in Ultra-High Performance Concrete. Cem. Concr. Res. 2019, 115, 389–400. [Google Scholar] [CrossRef]
- Tashima, M.M.; Fioriti, C.F.; Akasaki, J.L.; Bernabeu, J.P.; Sousa, L.C.; Melges, J.L.P. Cinza de Casca de Arroz (CCA) Altamente Reativa: Método de Produção e Atividade Pozolânica. Ambiente Construído 2012, 12, 151–163. [Google Scholar] [CrossRef]
- Gursel, A.P.; Maryman, H.; Ostertag, C. A Life-Cycle Approach to Environmental, Mechanical, and Durability Properties of “Green” Concrete Mixes with Rice Husk Ash. J. Clean. Prod. 2016, 112, 823–836. [Google Scholar] [CrossRef]
- Van, V.T.A.; Rößler, C.; Bui, D.D.; Ludwig, H.M. Rice Husk Ash as Both Pozzolanic Admixture and Internal Curing Agent in Ultra-High Performance Concrete. Cem. Concr. Compos. 2014, 53, 270–278. [Google Scholar] [CrossRef]
- Vigneshwari, M.; Arunachalam, K.; Angayarkanni, A. Replacement of Silica Fume with Thermally Treated Rice Husk Ash in Reactive Powder Concrete. J. Clean. Prod. 2018, 188, 264–277. [Google Scholar] [CrossRef]
- Prado, L.P. Estudo da Interface do Concreto Pré-Moldado e Concreto de Altíssimo Desempenho Reforçado com Fibras. Ph.D. Thesis, Universidade de São Paulo, São Carlos, Brazil, 2020. [Google Scholar]
- ABNT NBR 13279:2005; Argamassa para Assentamento e Revestimento de Paredes e Tetos—Determinação da Resistência à Tração na Flexão e à Compressão. Associação Brasileira de Normas Técnicas: Rio de Janeiro, Brazil, 2005.
- ABNT NBR 5739:2018; Concreto—Ensaio de Compressão de Corpos de Prova Cilíndricos. Associação Brasileira de Normas Técnicas: Rio de Janeiro, Brazil, 2018.
- Giaccio, G.; de Sensale, G.R.; Zerbino, R. Failure Mechanism of Normal and High-Strength Concrete with Rice-Husk Ash. Cem. Concr. Compos. 2007, 29, 566–574. [Google Scholar] [CrossRef]
- He, Z.; Li, L.; Du, S. Creep Analysis of Concrete Containing Rice Husk Ash. Cem. Concr. Compos. 2017, 80, 190–199. [Google Scholar] [CrossRef]
- Huang, W.; Kazemi-Kamyab, H.; Sun, W.; Scrivener, K. Effect of Replacement of Silica Fume with Calcined Clay on the Hydration and Microstructural Development of Eco-UHPFRC. Mater. Des. 2017, 121, 36–46. [Google Scholar] [CrossRef]
- Wang, Y.-S.; Cho, H.-K.; Wang, X.-Y. Mixture Optimization of Sustainable Concrete with Silica Fume Considering CO2 Emissions and Cost. Buildings 2022, 12, 1580. [Google Scholar] [CrossRef]
- Habert, G.; Denarié, E.; Šajna, A.; Rossi, P. Lowering the Global Warming Impact of Bridge Rehabilitations by Using Ultra High Performance Fibre Reinforced Concretes. Cem. Concr. Compos. 2013, 38, 1–11. [Google Scholar] [CrossRef]
- Alnahhal, M.F.; Alengaram, U.J.; Jumaat, M.Z.; Abutaha, F.; Alqedra, M.A.; Nayaka, R.R. Assessment on Engineering Properties and CO2 Emissions of Recycled Aggregate Concrete Incorporating Waste Products as Supplements to Portland Cement. J. Clean. Prod. 2018, 203, 822–835. [Google Scholar] [CrossRef]
- Dassault Systems Simulia Corp. Abaqus Analysis User’s Manual 6.14; Dassault Systems Simulia Corp.: Providence, RI, USA, 2014. [Google Scholar]
- Jang, H.O.; Lee, H.S.; Cho, K.; Kim, J. Numerical and Experimental Analysis of the Shear Behavior of Ultrahigh-Performance Concrete Construction Joints. Adv. Mater. Sci. Eng. 2018, 2018, 6429767. [Google Scholar] [CrossRef]
- ABNT NBR 8522; Concreto—Determinação dos Módulos Estáticos de Elasticidade e de Deformação à Compressão. Associação Brasileira de Normas Técnicas: Rio de Janeiro, Brazil, 2018.
- de Sousa, A.M.D.; Lantsoght, E.O.L.; Genikomsou, A.S.; Prado, L.P.; El Debs, M.K. NLFEA of One-Way Slabs in Transition between Shear and Punching: Recommendations for Modeling. Eng. Struct. 2023, 293, 116617. [Google Scholar] [CrossRef]
- de Sousa, A.M.D.; Lantsoght, E.O.L.; Genikomsou, A.S.; Krahl, P.A.; El Debs, M.K. Behavior and Punching Capacity of Flat Slabs with the Rational Use of UHPFRC: NLFEA and Analytical Predictions. Eng. Struct. 2021, 244, 112774. [Google Scholar] [CrossRef]
- ABNT NBR 12142:2010; Concreto—Determinação da Resistência à Tração na Flexão de Corpos de Prova Prismáticos. Associação Brasileira de Normas Técnicas: Rio de Janeiro, Brazil, 2010.
- Fehling, E.; Schmidt, M.; Walraven, J.C.; Leutbecher, T.; Fróhlich, S. Ultra-High Performance Concrete UHPC: Fundamentals, Design, Examples; Ernst & Sohn: Berlin, Germany, 2014; ISBN 9783433604151. [Google Scholar]
- Graybeal, B.A. Material Property Characterization of Ultra-High Performance Concrete; PSI, Inc.: Fairfax, VA, USA, 2006; 186p. [Google Scholar]
- Cao, X.; Ren, Y.-C.; Qian, K.; Fu, F.; Deng, X.-F.; Zhang, W.-J. Size Effect on Flexural Behavior of Ultra-High-Performance Concrete Beams with Different Reinforcement. Structures 2022, 41, 969–981. [Google Scholar] [CrossRef]
- Rasoul, B.I.; Günzel, F.K.; Rafiq, M.I. Effect of Rice Husk Ash Properties on the Early Age and Long Term Strength of Mortar. In Proceedings of the High Tech Concrete: Where Technology and Engineering Meet, Maastricht, The Netherlands, 12–14 June 2017; Springer: Berlin/Heidelberg, Germany, 2018; pp. 207–214. [Google Scholar]
- Mosaberpanah, M.A.; Umar, S.A. Utilizing Rice Husk Ash as Supplement to Cementitious Materials on Performance of Ultra High Performance Concrete—A Review. Mater. Today Sustain. 2020, 7–8, 100030. [Google Scholar] [CrossRef]
- Zhang, W.; Liu, H.; Liu, C. Impact of Rice Husk Ash on the Mechanical Characteristics and Freeze–Thaw Resistance of Recycled Aggregate Concrete. Appl. Sci. 2022, 12, 12238. [Google Scholar] [CrossRef]
- Bažant, Z.P.; Planas, J. Fracture and Size Effect in Concrete and Other Quasibrittle Materials; Routledge: London, UK, 1989; ISBN 9780203756799. [Google Scholar]
Disclaimer/Publisher’s Note: The statements, opinions and data contained in all publications are solely those of the individual author(s) and contributor(s) and not of MDPI and/or the editor(s). MDPI and/or the editor(s) disclaim responsibility for any injury to people or property resulting from any ideas, methods, instructions or products referred to in the content. |
© 2025 by the authors. Licensee MDPI, Basel, Switzerland. This article is an open access article distributed under the terms and conditions of the Creative Commons Attribution (CC BY) license (https://creativecommons.org/licenses/by/4.0/).













