Evolutionary Mechanism of Trust for Public–Private Partnership Projects with Public Participation
Abstract
1. Introduction
2. Literature Review
3. Methodology
3.1. Problem Description
3.2. Evolutionary Game Model Construction
3.2.1. Analysis of Participant Behavior Characteristics
3.2.2. Basic Assumptions
3.2.3. Model Construction
- (I)
- The expected benefits of the government when choosing trust U11 are:
- (II)
- The expected benefits of the private sector when it adopts cooperation are:
- (III)
- The expected benefits of the public’s participation strategy are:
3.3. The Stability Analysis of the Equilibrium Strategy
4. Numerical Simulation and Discussion
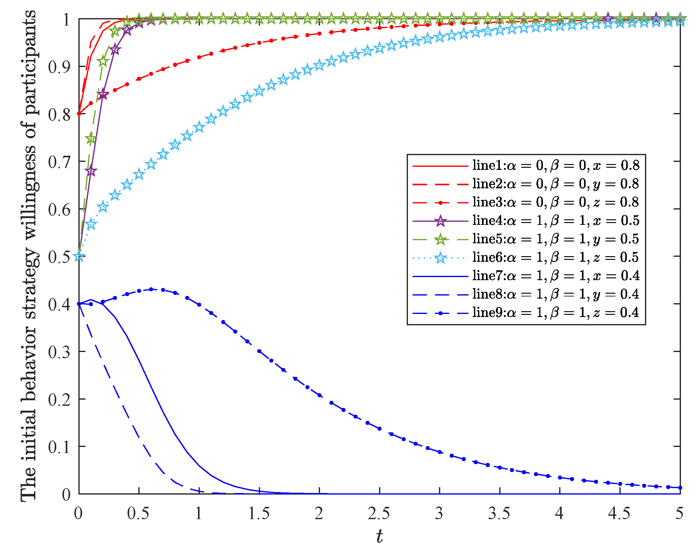
4.1. Evolutionary Paths Simulation
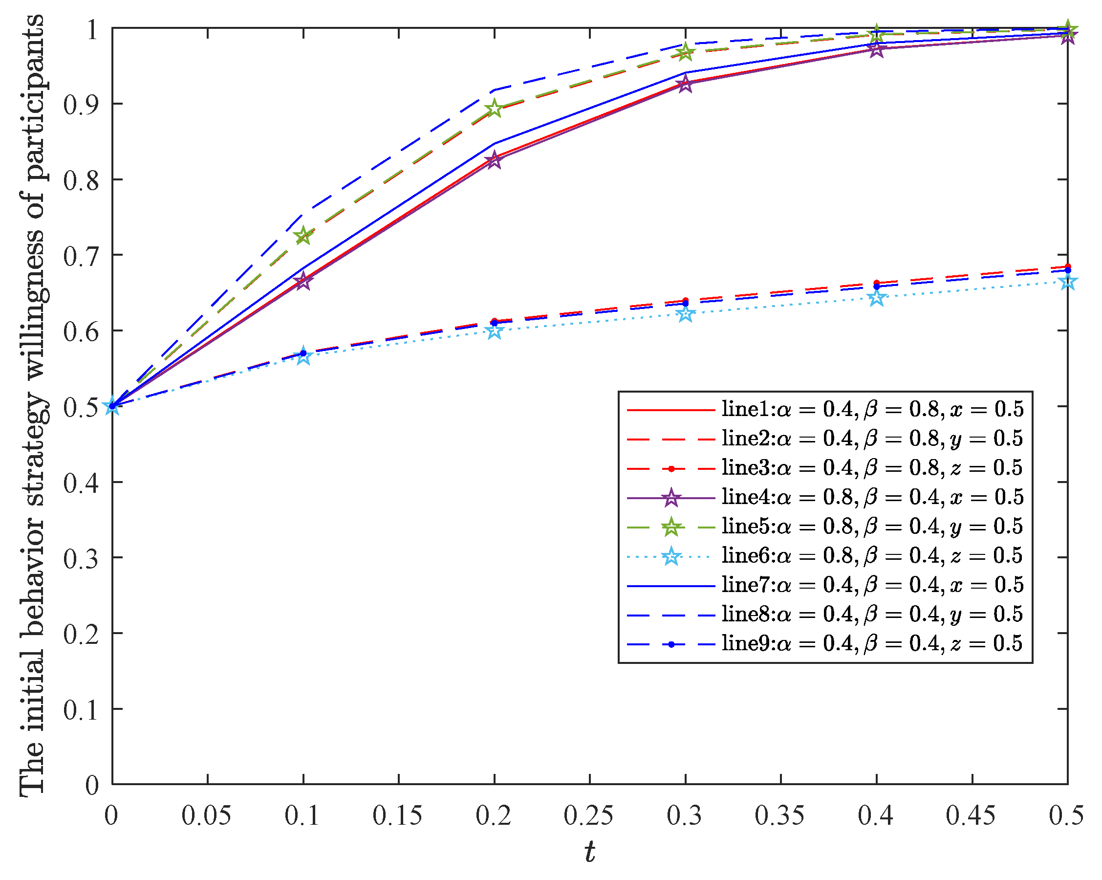
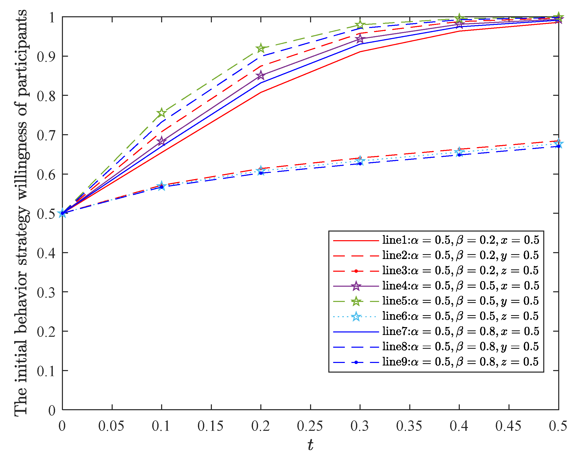
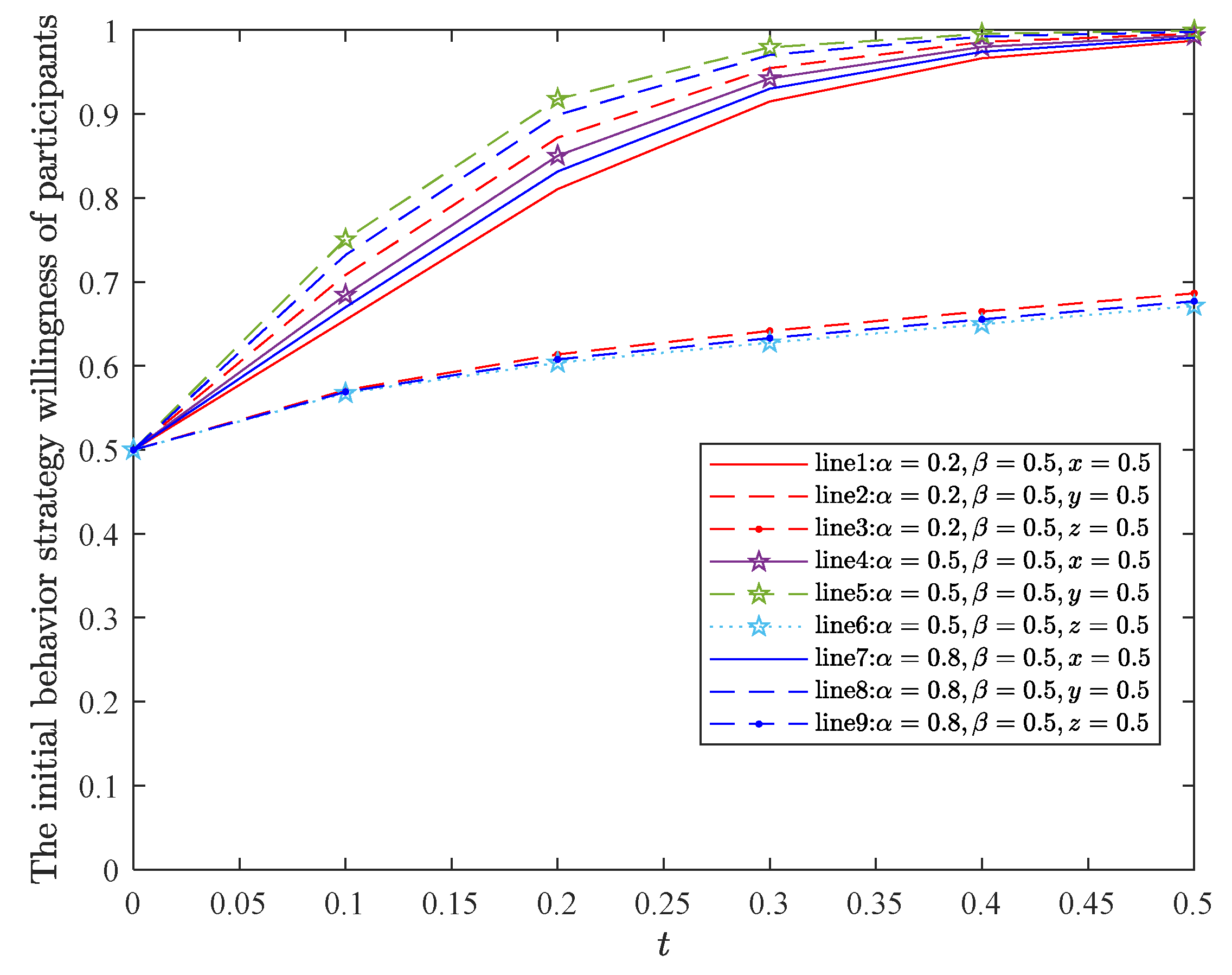
4.2. The Influence of Trust Level on Evolutionary Strategies
4.3. The Influence of Public Participation on Evolutionary Strategies
5. Discussion
6. Conclusions
Author Contributions
Funding
Data Availability Statement
Acknowledgments
Conflicts of Interest
References
- Ma, L.; Hu, Y.; Zhu, L.; Ke, Y. Are public—Private partnerships still an answer for social infrastructure? A systematic literature review. Front. Eng. Manag. 2023, 10, 467–482. [Google Scholar] [CrossRef]
- Li, H.; Dai, B.; Cao, Y.; Su, L.; Li, F. Configuration analysis of asymmetric trust between infrastructure PPP project participants. Kybernetes 2024. [Google Scholar] [CrossRef]
- Zheng, X.; Liu, Y.; Jiang, J.; Su, N. Quantitative Assessment of the Likelihood of Disputes in PPP Projects Using Fault Tree Analysis. Buildings 2022, 12, 384. [Google Scholar] [CrossRef]
- Zhang, L.; Fu, Y.; Lu, W. Contract Enforcement for Claimants’ Satisfaction with Construction Dispute Resolution: Moderating Role of Shadow of the Future, Fairness Perception, and Trust. J. Constr. Eng. Manag. 2021, 147, 04020168. [Google Scholar] [CrossRef]
- Van Der Vegt, G.S.; De Jong, S.B.; Bunderson, J.S.; Molleman, E. Power asymmetry and learning in teams: The moderating role of performance feedback. Organ. Sci. 2010, 21, 347–361. [Google Scholar] [CrossRef]
- Xiong, W.; Chen, B.; Wang, H.M.; Zhu, D. Governing public-private partnerships: A systematic review of case study literature. Aust. J. Public Adm. 2019, 78, 95–112. [Google Scholar] [CrossRef]
- Abdullah, A.; Khadaroo, I. The trust-control nexus in public private partnership (PPP) contracts. J. Account. Public Policy 2020, 39, 106768. [Google Scholar] [CrossRef]
- Wang, L.; Tao, M.; An, X.; Dong, G.; Huang, Y.; Wang, H. Regulatory strategies of water environment treatment PPP projects operation. Eng. Constr. Archit. Manag. 2023. [Google Scholar] [CrossRef]
- Song, D.R.; Sun, Y.; Fan, Y. An Evolutionary Game Model on Public Participation in Public-Private Partnerships. Adv. Civ. Eng. 2020, 2020, 8870757. [Google Scholar] [CrossRef]
- Tam, C.M.; Zeng, S.X.; Tong, T.K. Conflict Analysis in Public Engagement Program of Urban Planning in Hong Kong. J. Urban Plan. Dev. 2009, 135, 51–55. [Google Scholar] [CrossRef]
- Xie, L.L.; Xia, B.; Hu, Y.; Shan, M.; Le, Y.; Chan, A.P. Public participation performance in public construction projects of South China: A case study of the Guangzhou Games venues construction. Int. J. Proj. Manag. 2017, 35, 1391–1401. [Google Scholar] [CrossRef]
- Pardo-Bosch, F.; Aguado, A. Sustainability as the key to prioritize investments in public infrastructures. Environ. Impact Assess. Rev. 2016, 60, 40–51. [Google Scholar] [CrossRef]
- Wang, H.; Xiong, W.; Wu, G.; Zhu, D. Public-private partnership in public administration discipline: A literature review. Public Manag. Rev. 2018, 20, 293–316. [Google Scholar] [CrossRef]
- Jiang, W.; Zhao, X.; Zuo, J. (Dis)Trust, control, and project success: From a Chinese project owner’s perspective. Sustainability 2017, 9, 1936. [Google Scholar] [CrossRef]
- Yuen, K.F.; Wang, X.; Wong, Y.D.; Zhou, Q. The effect of sustainable shipping practices on shippers’ loyalty: The mediating role of perceived value, trust and transaction cost. Transp. Res. Part E Logist. Transp. Rev. 2018, 116, 123–135. [Google Scholar] [CrossRef]
- Brinkhoff, A.; Oezer, O.; Sargut, G. All You Need Is Trust? An Examination of Inter-organizational Supply Chain Projects. Prod. Oper. Manag. 2015, 24, 181–200. [Google Scholar] [CrossRef]
- Cheung, S.O.; Yiu, T.W.; Lam, M.C. Interweaving Trust and Communication with Project Performance. J. Constr. Eng. Manag. 2013, 139, 941–950. [Google Scholar] [CrossRef]
- Connelly, B.L.; Crook, T.R.; Combs, J.G.; Ketchen, D.J., Jr.; Aguinis, H. Competence- and integrity-based trust in interorganizational relationships: Which matters more? J. Manag. 2018, 44, 919–945. [Google Scholar] [CrossRef]
- Wu, G.; Li, H.; Wu, C.; Hu, Z. How different strengths of ties impact project performance in megaprojects: The mediating role of trust. Int. J. Manag. Proj. Bus. 2020, 13, 889–912. [Google Scholar] [CrossRef]
- Pavlou, P.A. Institution-based trust in interorganizational exchange relationships: The role of online B2B marketplaces on trust formation. J. Strateg. Inf. Syst. 2002, 11, 215–243. [Google Scholar] [CrossRef]
- Shi, X.P.; Liao, Z.Q. Inter-firm dependence, inter-firm trust, and operational performance: The mediating effect of e-business integration. Inf. Manag. 2015, 52, 943–950. [Google Scholar] [CrossRef]
- Padma, P.; Rosa, Á.; António, N. Antecedents and consequences of mutual trust in PPPs. J. Relatsh. Mark. 2017, 16, 163–178. [Google Scholar] [CrossRef]
- Li, H.; Bari, A.; Yue, A. Mechanistic Analysis of the Evolution of Trust Level Between Owner and PMC Contractor Based on Dynamic Bayesian Network. Buildings 2024, 14, 3373. [Google Scholar] [CrossRef]
- Wang, H.L.; Wu, K.J.; Liu, X.L. Configural of Trust: The Positive Effect of Trust asymmetry on Working Team. Adv. Psychol. Sci. 2015, 23, 1886–1893. [Google Scholar] [CrossRef]
- Le, Y.; Jiang, W. Research on the Relationship between Trust and Cost, Trust and Legal Supervision in Construction Projects. J. Eng. Manag. 2010, 24, 420–423. [Google Scholar]
- Fu, Z.; Gu, H. Optimal Trust: A Study on Dynamic Evolution of Interfirm Relations in SME Clusters. Rev. Ind. Econ. 2011, 10, 1–22. [Google Scholar]
- Xiao, D.; Gu, X. Research on inter-organizational trust formation mechanism in knowledge networks—Based on the perspective of game theory. Sci. Technol. Manag. Res. 2009, 29, 208–210. [Google Scholar]
- Friedman, D. On economic application of evolutionary game theory. J. Evol. Econ. 1998, 8, 15–43. [Google Scholar] [CrossRef]
- Sun, R.; He, D.; Su, H. Evolutionary Game Analysis of Blockchain Technology Preventing Supply Chain Financial Risks. J. Theor. Appl. Electron. Commer. Res. 2021, 16, 2824–2842. [Google Scholar] [CrossRef]
- Zhang, Y.; Chen, X.; Gao, L.; Dong, Y.; Pedryczc, W. Consensus reaching with trust evolution in social network group decision making. Expert Syst. Appl. 2022, 188, 116022. [Google Scholar] [CrossRef]
- Li, H.; Wang, F.; Wang, L.; Su, L.; Zhang, C. The Stochastic Evolution Game of Knowledge Sharing in the Infrastructure PPP Supply Chain Network. Complexity 2020, 2020, 8858845. [Google Scholar] [CrossRef]
- Li, H.; Zhang, Y.; Liang, M.; Cao, Y.; Zhang, W.; Su, L. Evolution Mechanism of Public-Private Partnership Project Trust from the Perspective of the Supply Chain. Systems 2023, 11, 379. [Google Scholar] [CrossRef]
- Li, C.; Li, X.; Wang, Y. Evolutionary Game Analysis of the Supervision Behavior for Public-Private Partnership Projects with Public Participation. Math. Probl. Eng. 2016, 2016, 1760837. [Google Scholar] [CrossRef]
- Luo, Z.; Li, J.; Wu, Z.; Li, S.; Bi, G. Investigating the Driving Factors of Public Participation in Public-Private Partnership (PPP) Projects-A Case Study of China. Int. J. Environ. Res. Public Health 2022, 19, 5192. [Google Scholar] [CrossRef]
- Binmore, K. Modeling Rational Players: Part I. Econ. Philos. 1987, 3, 179–214. [Google Scholar] [CrossRef]
- Gaudeul, A.; Keser, C.; Müller, S. The Evolution of Morals under Indirect Reciprocity. Games Econ. Behav. 2021, 126, 251–277. [Google Scholar] [CrossRef]
- Friedman, D. Evolutionary Game in Economics. Econometrica 1991, 59, 637–666. [Google Scholar] [CrossRef]
- Lv, L.; Wang, Z. Co-Evolution Simulation Analysis of Transaction Behavior Supervision for Major Construction Projects under Digital Construction Situation. J. Syst. Manag. 2022, 31, 440–452. [Google Scholar]
- Kadefors, A. Trust in project relationships—Inside the black box. Int. J. Proj. Manag. 2004, 22, 175–182. [Google Scholar] [CrossRef]
- Li, H.; Feng, J.; Zhang, K.; Xu, C.; Ruijia, Y. An empirical study on the formation mechanism of trust between the owner and the PMC contractor under the PMC model. Ain Shams Eng. J. 2023, 14, 101974. [Google Scholar]
- Vaez-Alaei, M.; Deniaud, I.; Marmier, F.; Cowan, R.; Gourc, D. How partners’ knowledge base and complexity are related to innovative project success: The roles of trust and trust capability of partners. Int. J. Proj. Manag. 2024, 42, 102557. [Google Scholar] [CrossRef]
- Graebner, M.E. Caveat Venditor: Trust Asymmetries in Acquisitions of Entrepreneurial Firms. Acad. Manag. J. 2009, 52, 435–472. [Google Scholar] [CrossRef]
- Wang, M.; Zhang, Q.; Zhou, K. The Origins of Trust Asymmetry in International Relationships: An Institutional View. J. Int. Mark. 2020, 28, 81–101. [Google Scholar] [CrossRef]
- Meng, X. The effect of relationship management on project performance in construction. Int. J. Proj. Manag. 2012, 30, 188–198. [Google Scholar] [CrossRef]
- Pinto, J.K.; Slevin, D.P.; English, B. Trust in projects: An empirical assessment of owner/contractor relationships. Int. J. Proj. Manag. 2009, 27, 638–648. [Google Scholar] [CrossRef]
- Brogaard, L. Business Value in Public-Private Partnerships: The Positive Impact of Trust and Task-Relevant Competencies on Business Outcomes in PPPs. Int. Public Manag. J. 2019, 22, 617–642. [Google Scholar] [CrossRef]
- Joslin, R.; Muller, R. The relationship between project governance and project success. Int. J. Proj. Manag. 2016, 34, 613–626. [Google Scholar] [CrossRef]
- Nie, X.; Feng, K.; Zhao, G.; Fan, T.; Wang, S. The Evolutionary Game of Trust in Public-Private Partnership Project Networks. Math. Probl. Eng. 2021, 2021, 5514708. [Google Scholar] [CrossRef]
- Boyer, E.J.; Van Slyke, D.M.; Rogers, J.D. An Empirical Examination of Public Involvement in Public-Private Partnerships: Qualifying the Benefits of Public Involvement in PPPs. J. Public Adm. Res. Theory 2016, 26, 45–61. [Google Scholar] [CrossRef]







| Parameters | Meaning |
|---|---|
| The benefits of government and private sector choosing passive strategies, i = 1, 2 | |
| The costs of active cooperation, i = 1, 2 | |
| The performance rewards of active cooperation, i = 1, 2 | |
| The moral hazard benefits of government and private sector, i = 1, 2 | |
| The reward given by the government for participating in regulation | |
| The cost of public participation in regulation | |
| The penalty to be paid by the government due to distrusting behavior | |
| The penalty to be paid by the private sector due to the opportunistic behavior | |
| The compensation given by the private sector to the public | |
| The loss to the public due to the opportunistic behavior of the private sector | |
| The trust level of the government in PPP projects | |
| The trust level of the private sector in PPP projects |
| The Public, Participation, z | ||
| The Government, Trust, x | The Government, Distrust, 1 − x | |
| private sector, cooperation, | ||
| private sector, opportunism, | ||
| The Public, Non-Participation, 1 − z | ||
| The Government, Trust, x | The Government, Distrust, 1 − x | |
| private sector, cooperation, | 0 | 0 |
| private sector, opportunism, | ||
| Equilibrium Point | Eigenvalues of the Jacobian Matrix | Stability | ||
|---|---|---|---|---|
| Uncertain | ||||
| Unstable | ||||
| Unstable | ||||
| Unstable | ||||
| Unstable | ||||
| Unstable | ||||
| Unstable | ||||
| ESS | ||||
| Equilibrium Point | Scenario 1 | Scenario 2 | ||||||
|---|---|---|---|---|---|---|---|---|
| Stability | Stability | |||||||
| Unstable | ESS | |||||||
| Unstable | Unstable | |||||||
| Unstable | Unstable | |||||||
| Unstable | Unstable | |||||||
| Unstable | Unstable | |||||||
| Unstable | Unstable | |||||||
| Unstable | Unstable | |||||||
| ESS | ESS | |||||||
| Parameter | ||||||||||||||
|---|---|---|---|---|---|---|---|---|---|---|---|---|---|---|
| Array 1 | 4 | 6 | 8 | 7 | 2 | 3 | 4 | 3 | 9 | 8 | 9 | 4 | 0.5 | 0.5 |
| Array 2 | 4 | 6 | 8 | 7 | 2 | 3 | 4 | 3 | 9 | 8 | 2 | 8 | 0.5 | 0.5 |
| Parameter | ||||||||||||
|---|---|---|---|---|---|---|---|---|---|---|---|---|
| Value | 2 | 4 | 8 | 7 | 2 | 3 | 4 | 3 | 11 | 8 | 9 | 4 |
Disclaimer/Publisher’s Note: The statements, opinions and data contained in all publications are solely those of the individual author(s) and contributor(s) and not of MDPI and/or the editor(s). MDPI and/or the editor(s) disclaim responsibility for any injury to people or property resulting from any ideas, methods, instructions or products referred to in the content. |
© 2025 by the authors. Licensee MDPI, Basel, Switzerland. This article is an open access article distributed under the terms and conditions of the Creative Commons Attribution (CC BY) license (https://creativecommons.org/licenses/by/4.0/).
Share and Cite
Zhang, W.; Wang, Y.; Li, E.; Zhang, C.; Li, H.; Hada, S. Evolutionary Mechanism of Trust for Public–Private Partnership Projects with Public Participation. Buildings 2025, 15, 391. https://doi.org/10.3390/buildings15030391
Zhang W, Wang Y, Li E, Zhang C, Li H, Hada S. Evolutionary Mechanism of Trust for Public–Private Partnership Projects with Public Participation. Buildings. 2025; 15(3):391. https://doi.org/10.3390/buildings15030391
Chicago/Turabian StyleZhang, Wenjuan, Yuanming Wang, Enzhong Li, Chengyi Zhang, Huimin Li, and Srishti Hada. 2025. "Evolutionary Mechanism of Trust for Public–Private Partnership Projects with Public Participation" Buildings 15, no. 3: 391. https://doi.org/10.3390/buildings15030391
APA StyleZhang, W., Wang, Y., Li, E., Zhang, C., Li, H., & Hada, S. (2025). Evolutionary Mechanism of Trust for Public–Private Partnership Projects with Public Participation. Buildings, 15(3), 391. https://doi.org/10.3390/buildings15030391

