Next Article in Journal
Advancing AI-Powered BIM for Circularity in Construction in the UK and Turkiye: State-of-the-Art Review and Capability Maturity Modelling
Previous Article in Journal
A Conceptual Framework for Enhancing Construction Safety in Sri Lanka Through Digital Technology Implementation
 
 
Font Type:
Arial Georgia Verdana
Font Size:
Aa Aa Aa
Line Spacing:
Column Width:
Background:
Article

Vulnerability Assessment of Reinforced Concrete Piers Under Vehicle Collision Considering the Influence of Uncertainty

Guangxi Key Laboratory of Green Building Materials and Construction Industrialization, Guilin University of Technology, Guilin 541004, China
*
Author to whom correspondence should be addressed.
Buildings 2025, 15(8), 1222; https://doi.org/10.3390/buildings15081222
Submission received: 7 March 2025 / Revised: 3 April 2025 / Accepted: 5 April 2025 / Published: 8 April 2025
(This article belongs to the Topic Resilient Civil Infrastructure, 2nd Edition)

Abstract

In recent years, the serious damage and even collapse accidents of bridge under vehicle-to-pier collision occurred frequently and have attracted growing attention world widely. Numerous studies have been conducted to examine the structural resistance of bridge piers against vehicle-with-pier collisions. Nevertheless, most of those studies employed a deterministic approach without incorporating the inherent uncertainty in structural and loading parameters. This study proposes a probabilistic approach to investigate the vulnerability of reinforced concrete (RC) piers under collisions with trucks and tractors. To do this, a dynamic mass-spring numerical model was developed to simulate the pier–vehicle collision process, which was further validated through simulating experimental data. A total of four parameters, including concrete strength, pier diameter, stirrup yield strength, and stirrup spacing, were considered and regarded as uncertainty parameters with their probability distributions determined according to the available studies. The Monte Carlo simulation method was used to generate 1000 samples for each of the uncertainty parameters and these random samples were coupled in the simplified numerical model. Through probabilistic analysis, the collapse vulnerability of RC piers was estimated. The results revealed that a tractor with a higher mass can result in higher failure probabilities than a truck. The uncertainty of the pier diameter and concrete strength have a great impact on the vulnerability of RC piers under different damage states.

1. Introduction

Reinforced concrete (RC) piers play an important role in supporting and transmitting the loads of upper structures for bridges. During the service life of bridges, RC piers commonly face threats from accidental loads, e.g., earthquakes [1,2,3], collisions with vehicles and ships [4,5,6], and impacts due to rocks falling [7,8]. Amongst the above accidental loads, the impact actions, i.e., collisions and rocks falling, own a much shorter duration than earthquake excitations and therefore result in a much more significant dynamic response and even collapse. In recent years, vehicle-with-pier collisions have caused numerous collapse incidents of RC bridges, leading to serious economic loss and casualties. For example, a semi-trailer struck the middle pier of an Interstate 80 (I-80) bridge in 2004 in Nebraska, USA, leading to the collapse of the bridge with one fatality [9]. Moreover, in 2009, a tanker truck hit a bridge on the Beijing–Zhuhai highway, resulting in two deaths and one injury [10]. Therefore, growing attention has been paid to the damage mechanisms of RC piers under vehicle collision.
During the past years, the damage mechanisms of a RC pier under vehicle collision have been examined through numerous experimental studies [11,12,13,14,15,16,17,18]. For example, Buth et al. [15] submitted a real RC bridge pier to a collision with a real tractor-semitrailer and examined the effect of the collision force and its location on the pier’s damage mechanism. Chen et al. [16] performed a full-scale collision test on a RC pier with a diameter of 1 m under impact by a medium-sized truck weighing 7.76 tons and the pier’s deflection, acceleration, reinforcement strain, and peak impact force were obtained. Chen et al. [17] developed an equivalent truck frame surrogate model through simple steel elements and blocks, and this model was validated by three-drop-weight impact tests in a laboratory. Demartino et al. [18] carried out impact tests for different column types under a lateral rigid hammer and investigated the influence of different velocities and boundary conditions. Through the above experiments, the real responses of RC piers under vehicle collisions have been obtained, which provided valuable data for exploring the collision damage mechanisms of RC piers. However, real collision experiments involving RC piers are usually time-consuming and often cost a lot. Consequently, the available experimental data are limited and cannot cover all of the possible collision scenarios, including various impact loads and pier design features. Therefore, numerical simulation is required to comprehensively examine the structural performance of RC piers under vehicle collision.
Compared to experiments, numerical simulations commonly require a lower computation cost and exhibit high efficiency and they have been widely applied for evaluating the collision performance of RC piers [19,20,21]. In the available studies, commercial software, e.g., LS-DYNA and ABAQUS, are frequently used to develop Finite Element Models for simulating the vehicle-with-pier collision process. For example, El-Tawil et al. [10] adopted LS-DYNA software to simulate the damage process of RC piers under collisions with small and medium sized trucks, and found that the equivalent static force was more suitable than the maximum impact force for the pier collision resistance design. Sharma et al. [22] developed a performance-based dynamic response evaluation framework using LS-DYNA, which can be utilized for the optimal design of RC columns under different impact conditions. Zhao et al. [23] established a truck–pier collision model using a detailed finite element model and revealed the effect of the truck type, impact velocity and pier section. Wu et al. [24] performed a dynamic impact numerical simulation of a precast segment pier and analyzed the influences of concrete strength, vehicle velocity, pre-stressing level, and segments number. To summarize the above numerical studies, the adopted FEM methods mostly defined parameters in a deterministic way. However, this treatment actually ignores the strong uncertainties inherent in the pier’s structural and loading properties. It is thus urgent to adopt a probabilistic tool to evaluate the collision performance of RC piers by incorporating the multiple sources of uncertainty.
The concept of ‘vulnerability’ means the probability that a structure that may be damaged or fail under a specific external action [25,26,27,28]. As an effective probabilistic approach, vulnerability-based methods have been used for evaluating structural safety under earthquakes [29,30], wind [31,32], and impact loads [33,34], etc. Recently, vulnerability analysis has been conducted to evaluate the structural safety of RC piers under vehicle collision. For example, Guo et al. [35] evaluated the probability performance of RC bridges under dynamic collisions by considering the uncertainty influence of vehicle velocity. Sharma et al. [36] proposed a performance-based Bayesian probabilistic load-bearing capacity model, which can account for model error and statistical parameter uncertainties. Roy et al. [37] proposed a reliability calculation method for vehicular collision and investigated the parameters, with sensitivity ranking. Björnsson [38] calculated the probabilistic reliability of RC piers in resisting impacts from heavy vehicles, which indicated that the impact load value based method was more suitable than specification design. In spite of the above, there are still several main limitations in the available studies on the vulnerability of RC piers under vehicle collision. First, the degree of influence of different structural parameters on dynamic impact processes are still not clear, especially when accounting for different vehicle types. Secondly, there is still a lack of hybrid effect studies of vehicle parameters including velocity, height, and distance. Consequently, it is strongly desired to perform vulnerability research by incorporating the uncertainties driven by the external vehicle and the RC pier itself.
To bridge this knowledge gap, this study aimed to conduct a collision vulnerability analysis of RC piers by integrating with hybrid uncertainties inherent in vehicle and structural parameters. To do this, the vulnerability relationship of RC piers under vehicle collisions were established and the damage indexes are presented under different damage states. A coupled dynamic simplified pier-to-vehicle collision model was proposed by considering the different vehicle types, which was then validated by experimental data. A sensitivity analysis of the effects of key parameters on the structural dynamic impact response was conducted. Then, a vulnerability analysis of RC bridges was performed using a Monte Carlo simulation by considering the uncertainties of structures and loads. Finally, the influence of structural parameters and vehicle parameters on the vulnerability results were analyzed separately.

2. Vulnerability Assessment of RC Piers Under Vehicle Collision

2.1. Vulnerability Relationship

This section primarily presents the theoretical vulnerability expressions for RC piers under vehicle collision. The vulnerability of RC piers under vehicle collision is defined as the conditional probability that a pier reaches or exceeds a specific limit state at a given velocity of the vehicle, which can be expressed by:
F R , imp x = P D imp C imp | v = x
where FR,imp(·) represents the vulnerability function of vehicle impact; Dimp denotes the impact response of RC piers under vehicle collision; Cimp denotes the resistance of RC piers against vehicle collision; and v denotes the vehicle impact velocity.
A lognormal vulnerability relationship is adopted herein, which is expressed by:
F R , imp v i = Φ ln v i ln m R β  
where mR and β denote the median and logarithmic standard deviation of the vulnerability relationship, respectively.

2.2. Limit State Definition

A total of three limit states are considered, including moderate damage (MD), extensive damage (ED), and collapse. According to Equation (3), a primary task for vulnerability analysis is adopting a proper index to measure both Dimp and Cimp. According to previous studies [23,37], the structural damage of RC piers under vehicle collision is closely related to its dynamic shear strengths. Therefore, a ratio, i.e., λ, between the force-based response and the dynamic shear strength is adopted herein to represent Dimp and Cimp, which is expressed by [39]:
λ   = I dyn V dyn  
where Idyn is the equivalent static force of a vehicle impact on a pier and Vdyn is the dynamic shear strength of the pier.
This ratio shown in Equation (3) has been widely used to define the damage degree of RC piers under vehicle collision [20,21,38,40]. According to [39], 0.2 < λ < 0.6, 0.6 < λ < 1.0, and λ > 1 are used as the criteria to quantify the considered three limit states of MD, ED and Collapse, respectively. It is noteworthy that the impact force of a vehicle varies strongly during a vehicle-with-pier collision process. Moreover, the pier commonly does not have enough time to respond to the collision-induced rapid change due to the short duration of the vehicle impact. Therefore, the peak response cannot really reflect the most unfavorable performance of a pier during the transient collision process. In light of this, an equivalent static load is used to define Idyn by the following equation [39]:
I dyn = t p 25 t p + 25 P sin ( π i t ) d i 50
where tp is the time when the peak impact force appears, P represents the peak impact force during the vehicle collision, and t is the response time of the vehicle impact.
As for Vdyn, it is calculated by:
V dyn = V n × DIF
where Vn is the shear resistance of the pier and DIF is a dynamic increase factor to account for the high-strain rate impact [41,42]. In this study, DIF is taken as 1.4 according to [43].
To calculate the value of Vn, the contributions from both concrete and transverse reinforcement are considered and expressed by
V n = V c + V s  
where Vc and Vs are the shear force provided by concrete and transverse reinforcement, respectively.
The value of Vc can be calculated by [44]
V c = v b 1 + 3 P / f c   A g A e  
v b = 0.0096 + 1.45 ρ × f c 0.03 f c  
where vb is the nominal concrete shear stress, fc is the compressive strength of the concrete, P is the axial load, Ae = 0.8 Ag, Ag is the cross-sectional area of a section; and ρ is the ratio of longitudinal reinforcement.
According to [45], the value of Vs can be calculated by
V s = π 2 × A h × f yh × D s  
where Ah is the area of a single hoop, fyh is the yield strength of the stirrup, D’ is the hoop diameter, and s is the stirrup spacing.

2.3. Monte Carlo Method to Account for Uncertainties

A direct analysis strategy by Monte Carlo simulation was adopted to account for the uncertainties inherent to both structural properties and impact loadings due to vehicle collision. To do this, six structural parameters of RC piers (pier diameter, concrete strength, stirrup yield strength, stirrup spacing, stirrup section diameter, and longitudinal bar diameter) were considered as uncertainty parameters. Moreover, two types of engine masses for both truck and tractor vehicles were also considered as uncertainty parameters. Those uncertainty parameters of both the priers and vehicles were sampled randomly by Monte Carlo sampling, and they were adopted in a two-degree vehicle-with-pier collision model to calculate the dynamic collision response. The corresponding damage index was statistically calculated to obtain the failure probability of the RC pier. The failure probability Pi of the RC pier under different limit states at different impact velocities can be calculated as follows:
P i = n i N  
where ni is the number of times exceeding the limit state (g(x) < 0) and N is the total number of simulations.
After obtaining the failure probability of the RC pier at different velocities, the least squares method was used to obtain the parameters mR and β by fitting a log-normal fragility function as follows:
min m R , β i = 1 N P i Φ ln v i ln m R β 2  

3. Numerical Modeling and Validation

3.1. Vehicle-with-Pier Collision Analysis Model

Previous research [46] showed that due to the low stiffness of the outer surface of the vehicle, the vehicle surface was squeezed and deformed quickly during the collision. However, the stiffness of the engine exposed during the collision is much greater, and its impact response to the bridge pier is more significant than that of other components. In this case, the engine can be approximated as a point load relative to the scale of the bridge pier. To balance computational efficiency with accuracy, this paper adopted a two-degrees-of-freedom (2-DOF) mass-spring model proposed in references [47,48] to simulate the collision process between the vehicle and the bridge pier. This 2-DOF model is a simplification of the three-DOF model, ignoring the mass of the cargo and the deformation stiffness between the cargo and the bridge pier. Figure 1 illustrates the simplification process, where Me, Mc, and Mp represent the equivalent mass of the engine, cargo, and bridge pier, respectively. The parameter c1 represents the damping between the engine and the vehicle due to deformation and compression, while c2 represents the damping between the vehicle and the bridge pier due to deformation and compression of the remaining vehicle components. k1 is the deformation stiffness between the engine and the bridge pier, and k2 is the deformation stiffness between the vehicle cargo and the bridge pier.

3.2. Vehicle Model

In this section, the vehicles in the mass-spring model are proposed to conduct the vehicle-with-pier collision analysis. Compared with small cars, trucks usually pose a greater threat to bridge piers due to their larger mass. Therefore, two typical types of heavy vehicles are considered herein for illustration, including the Ford F800 truck (hereinafter referred to as truck) and the semi-trailer tractor (hereinafter referred to as tractor), as shown in Figure 2. Table 1 provides the specific details of the two types of vehicles considered.
Xu [49] obtained k1 through finite element simulation of vehicles hitting bridge piers based on linear regression of an engine impact displacement diagram and assumed that the constant damping force generated by c2 was expressed as D2. Figure 3 shows the force–displacement relationships of the engines of the two vehicles.
Assume that the constant damping force generated by c1 is D1, which can be obtained by the momentum theorem:
D 1 = M e Δ s Δ t  
where Δs is the displacement difference and Δt is the time difference. According to [49], Table 2 gives the parameters of the adopted simplified vehicle model for the two types of vehicles considered.

3.3. Pier Model

In this section, the RC piers in the mass-spring model are proposed herein to conduct the vehicle-with-pier collision analysis. The RC pier can be transformed into a linear SDOF mass-spring system as follows [50]:
M p = m - φ z 2 d z
where Mp is the equivalent mass of the pier, m ¯   is the equivalent mass of the pier, and φ ( z ) is the static deflection shape divided by the deflection at the corresponding impact height under the unit load.
For piers with one end fixed, based on the linear elasticity theory, the relationship between deflection and curvature at the impact height can be written as
EI ϕ = M
δ = M L 2 3 EI  
ϕ = 3 L i 2 δ  
where ϕ is the curvature of the column at the impact height, δ is the deflection at the impact height, M is the moment at the impact height, and Li is the impact altitude.
A classical bilinear model is used for reinforced bars [51], and the Mander model [52] is used to describe the constitutive relationship of concrete. According to the analysis of the moment–curvature relationship, the section of concrete pier is divided into an N-fiber concrete element and an M-fiber reinforcement element. The axial load and bending moment acting on the section at any curvature can be obtained as follows [48]:
N = A f d A i = 1 n σ ci A ci + j = 1 m σ sj A sj
M = A f y d A = i = 1 n σ ci γ ci A ci + j = 1 m σ sj γ sj A sj
where σ i is the unit stress of concrete in the i layer, A ci   is the area of the concrete unit of the i floor, σ sj   is the stress of the steel bar element in the j layer, A sj   is the area of the steel reinforcement unit of the j layer, y ci is the distance from the concrete unit of layer i to the neutral axis, and y sj   is the distance from the j-level reinforcement element to the neutral axis. Finally, the central difference method was used for dynamic calculations.

3.4. Model Validation

This paper considered the ratio of impact intensity and impact demand as the scheme for evaluating the bridge pier damage. According to Section 2.2, the peak impact force of a vehicle hitting a bridge pier can be converted into an equivalent static force to further evaluate the damage to the bridge pier. In view of this, we used the impact force time history curves of trucks and tractors colliding with bridge piers given in [46,53] to verify the simplified model used in Section 3.1. The input parameters for model validation are given in Table 3. Figure 4 shows the validation results for the two vehicles. As shown in Figure 4, it is clear that, for both considered types of trucks, the peak impact force during the impact process can be accurately obtained using the simplified model. In particular, the prediction errors of peak force are 5% and 7.7% for the truck and tractor, respectively. Moreover, the prediction errors of time points tp at the maximum force are 9.1% and 18.4%, respectively, for the truck and tractor. The error in the peak impact force and tp simulated by the simplified model falls within the acceptable range. The above results show that the simplified model can simulate the peak impact force accurately, which can be further used to assess the structural damage. It should be noted that a comparison needs to be conducted including the shape of the force–time curve, displacements, and deformations obtained from other studies or experiments. This limitation of the simplified model may cause response prediction errors of vehicle-with-pier collisions in reality.

4. Uncertainty and Sensitivity Analysis for Vehicle-with-Pier Collision Response

4.1. Uncertainty Analysis

A total of 13 parameters, including both structure-related and vehicle-related parameters, are required to perform a collision-with-pier analysis using the simplified model given in Section 3. Amongst them, eight parameters are considered as uncertainty parameters, whose probabilistic distribution parameters are given in Table 4. The considered uncertainty parameters cover the randomness inherent in the proposed model. Moreover, the parameters, including L, Li1, Li2, fy, and Es, are considered as deterministic, which are taken as 7000 mm, 900 mm, 1800 mm, 400 Mpa, and 210 Gpa, respectively.
To ensure the statistical reliability of the Monte Carlo simulation results, a convergence study was performed. The damage indicators stabilized when the sample size reached 1000. Therefore, 1000 samples were used in this study to balance the accuracy and computational efficiency. Using the Monte Carlo methodology shown in Section 2.3, a complete event set including 1000 samples was generated. A highway environment is considered herein, and the maximum truck velocity is set as 27.78 m/s in accordance with the Road Traffic Safety Law of the People’s Republic of China [57]. The truck’s velocity was varied between 10 m/s and 30 m/s with an increment of 0.5 m/s. Figure 5 shows the calculated pier’s damage under different impact velocities, where the pier’s damage locates in a range at a given truck velocity due to the influence of uncertainty. As Figure 5 shows, at a given level of vehicle velocity, the structural uncertainty could lead to significant variability in the pier’s response. For example, at a given velocity of 26 m/s, the difference between the maximum and minimum pier’s damages are 0.87 and 1.35 for the truck and tractor, respectively. Moreover, the variability inherent in the pier’s damage under collision increases with an increase in vehicle impact velocity. This is because the high velocity of a vehicle would lead to high nonlinearity for the pier and the structural nonlinearity could couple with the structural uncertainty. This coupling effect would further magnify the influence of structural uncertainties on the pier’s response under collision. Consequently, it is crucial to incorporate the effect of structural uncertainty in the pier’s response under collision, especially for cases under a high-velocity collision.

4.2. Sensitivity Analysis

This section performed a sensitivity analysis to evaluate the importance of the considered uncertainty parameters and their influence on the piers’ response under collision. The impact of each random variable on the response was investigated by increasing or decreasing its standard deviation individually. The pier’s response under collision corresponding to the variability of each random variability was represented by the Tornado Diagram, as shown in Figure 6. As observed, the mass of the vehicle engine (M1 and M2) is the most sensitive variable. Even a small change in mass will lead to a large change in the final damage index, which dominates the uncertainty analysis. Among the random variables related to the pier, the section diameter (dc), concrete strength (fc), stirrup spacing (s) and stirrup yield strength (fyh) have a high to low influence on the vehicle impact with the RC pier. The longitudinal reinforcement diameter (dr) and stirrup diameter (d) are structural-related random variables, which showed minimal sensitivity in the analysis. In addition, dr and d have little effect on the vehicle impact with the RC pier.

5. Vulnerability Analysis Considering Uncertainty Parameters

5.1. Influence of Vehicle Type

Figure 7 shows the vulnerability results for the considered truck and tractor. As observed, the failure probability of the pier tended to increase rapidly overall with the increase in vehicle velocity. Through a comparison between the vulnerability results for the truck and tractor, it is clear that, at a given level of vehicle velocity, the failure probability of the tractor is always larger than that of the truck, showing more significant damage potential. Specifically, for the vulnerability results at an MD limit state, the maximum difference between the failure probability of the tractor and truck could reach 0.488 at v = 16 m/s. As for the ED limit state, this maximum difference could reach 0.571 at v = 22 m/s. Under the collapse limit state, the maximum difference in fragility results between the truck and the tractor is 0.532. This indicates that a tractor can cause damage to bridge piers at lower velocities, whereas a truck requires a higher velocity range to cause damage. This is primarily due to the fact that, compared with a truck, a tractor is a heavier vehicle with a larger engine mass and higher spring stiffness (k1) between the tractor engine and the bridge pier. As a result, at the same velocity, the tractor tends to cause greater damage to the bridge pier upon impact.

5.2. Influence of Structural Design Parameters

According to Section 4.2, four structural design parameters have a significant influence on the vulnerability results, which includes concrete strength (fc), stirrup yield strength (fyv), pier diameter (dc) and stirrup spacing (s). It is worth noting that, referring to most design specifications [58], the stirrup spacing in this paper was considered to be 100–200 mm, with a spacing of 50 mm. For each of the four parameters, it was varied across three levels (low, middle, and high) and the corresponding vulnerability results were compared to examine its influence. These four parameters are considered the uncertainty parameters (see Table 4), and their probability distributions corresponding to different cases are given in Table 5.
Figure 8 shows the vulnerability results with different values of fc. It is clear that the vulnerability curves for both the truck and the tractor become flatter as the concrete strength increases. To quantify the effect of the concrete strength, the maximum differences amongst the vulnerability results corresponding to different concrete strengths were calculated for different limit states. For the truck, the maximum difference in fragility curves at the MD limit state was 0.227, while the maximum difference in fragility results at the ED limit state was 0.135. Under the collapsed state, this maximum difference increased to 0.289. For the tractor, the maximum difference at the MD limit state was 0.052, the maximum difference in fragility results at the ED limit state was 0.157, and under the collapsed state, the maximum difference was 0.149. The above results show that the concrete strength has a great impact on the vulnerability results for both the truck and tractor, especially in the collapsed state.
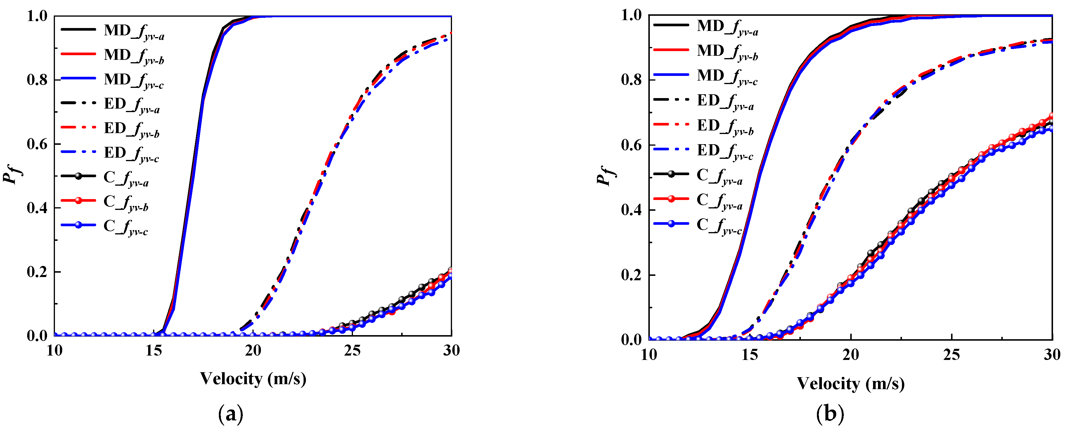
Figure 9 shows the vulnerability results considering varying levels of fyv. It is clear that the vulnerability curves for both the truck and the tractor vary slightly as the value of fyv increases. This result revealed that the yield strength plays a relatively unimportant role in failure probability. In addition, comparing Figure 8 and Figure 9, it is clear that the concrete strength shows a more significant effect than the stirrup yield strength on the collision vulnerability of RC piers. The primary reason is that the volume of concrete in the pier is significantly larger than that of the stirrups. As the primary load-bearing material, the compressive strength of concrete directly influences the pier’s load-bearing capacity and failure mode during a vehicle collision.
Figure 10 shows the vulnerability results incorporating the effects of varying levels of dc. It is found that the vulnerability curves for both the truck and the tractor become flatter with an increase of dc. Moreover, the maximum differences amongst the vulnerability results corresponding to different levels of dc were calculated for different limit states. For the truck cases, when dc = 1400 mm, the failure probability is almost reduced to zero at the ED limit state. When dc = 1200 mm, the failure probability is close to zero at the collapsed state. As for the tractor cases, the maximum difference of the vulnerability results can reach 0.655 at the ED limit state, and this difference would reach 0.661 at the collapsed state. The above results reveal that the influence of dc on the vulnerability results is more sensitive to the truck than the tractor.
Figure 11 shows the vulnerability results considering varying levels of s. It is clear that the vulnerability curves for both the truck and the tractor become sharper with the increase in s. Moreover, the maximum differences amongst the vulnerability results corresponding to different levels of s were calculated for different limit states. For the truck cases, the maximum difference between the vulnerability results reached 0.112 at the ED limit state, whereas this maximum difference was 0.066 at the collapsed state. As for the tractor cases, the maximum difference between the vulnerability curves reached 0.055 under extensive damage, while the maximum difference was 0.073 under the collapsed state. The above results show that stirrup spacing has a certain influence on the failure probability of the RC pier.

5.3. Influence of Vehicle Parameters

This section discusses the influence of vehicle-related parameters, which mainly include the vehicle impact velocity (v), impact height of the vehicle (Li1,2) and the distance from the engine to the front of the vehicle (xen1,2). As shown in Table 6, Li1 and Li2 are the impact heights of the truck and the tractor, respectively. xen,1 and xen,2 are the distances from the engine to the front of the truck and the tractor, respectively. The four parameters are considered to have three levels of variation: low, medium, and high, and are considered as deterministic parameters for vulnerability analysis.
The radar chart effectively illustrates the impact of varying parameter levels on the failure probability of bridge piers. Figure 12 presents the radar charts depicting the failure probabilities of the truck and tractor at different velocities and impact heights across various limit states. As the velocity increases, the curvature of the curves for different limit states becomes more pronounced, particularly near the central area (representing a lower failure probability). This indicates that, with an increasing velocity, the failure probability of the bridge pier increases. In comparison to the tractor, changes in the truck’s impact height have a minimal effect on the failure probability of the bridge pier. Specifically, at the same velocity, when the truck’s impact height increases from 500 mm to 900 mm, the maximum difference in failure probability is only 0.006. For the tractor, the failure probability of the bridge pier varies with different impact heights. At a constant velocity, a higher impact height results in a lower failure probability. In the limit state of moderate damage, for instance, at a velocity of 14.5 m/s, the maximum difference in failure probability reaches 0.067. The maximum difference is 0.045 at 17.5 m/s in the extensive state, and 0.032 at 22.5 m/s in the collapsed state. Overall, increasing the impact height slightly reduces the failure probability of a reinforced concrete pier, with a more noticeable reduction observed when the impact height of the tractor is increased.
Figure 13 presents radar plots illustrating the failure probability of the bridge pier for the truck and tractor as a function of the vehicle velocity and the distance between the engine and the front of the vehicle (referred to as ’distance’). The effect of varying the distance on the failure probability was more pronounced than the impact height of the vehicle. Overall, the failure probability increased sharply as the vehicle velocity increased. Similarly, at the same velocity, an increase in distance led to a notable increase in the failure probability. The combined effect of higher velocity and greater distance significantly amplified the failure probability. For the truck, the maximum difference in failure probability was 0.18 for moderate damage, 0.099 for extensive damage at 26 m/s, and 0.07 for collapse. For the tractor, there was a clear trend of increasing failure probability with a greater distance, with the maximum difference reaching 0.106 for moderate damage at 15 m/s and 0.022 for extensive damage at 30 m/s. For collapse, the difference was 0.078 at 27 m/s. In summary, as the distance increases, the failure probability of a reinforced concrete bridge pier increases significantly, and as the velocity increases, the failure probability also tends to rise considerably.

6. Conclusions

This paper studied the collapse vulnerability of RC piers under truck and tractor collisions. A vehicle collision risk theoretical formula that considers the different limit states was proposed. A physical driven vehicle–bridge collision model was established using a dynamic mass-spring simplification method. Monte Carlo simulations were conducted to account for the structural and load uncertainties of key structural parameters. A joint vulnerability analysis was performed by considering both structure-related and vehicle-related parameters. The main conclusions are as follows:
(1)
The parameter sensitivity analyses indicated that the engine mass is the most important factor. The effect of variability on the shock response sensitivity analysis showed that the velocity has a great influence. Tractors often caused higher failure probabilities than trucks at the same velocity, and the maximum differences in failure probability were 0.488 (moderate damage), 0.571 (extensive damage), and 0.532 (collapse).
(2)
The influence of important structural parameters for failure probability ranked as: pier diameter > concrete strength > stirrup spacing > stirrup yield strength. The influence of pier diameter on failure probability was more sensitive for trucks than tractors. Moreover, the concrete strength had a great impact on both trucks and tractors, especially for collapsed states.
(3)
The failure probability of a RC bridge pier decreased marginally as the vehicle impact height increased. When compared to trucks, tractors exhibited a slightly lower failure probability, with the maximum difference reaching only 0.067. At a constant velocity, increasing the distance from the engine to the front of the vehicle significantly increased the failure probability of a bridge pier. Specifically, for trucks, the maximum differences in failure probabilities for moderate damage, extensive damage, and collapse were 0.18, 0.099, and 0.07, respectively. For tractors, the maximum differences in failure probabilities were 0.106, 0.022, and 0.078, respectively.
This study conducted a fragility analysis of bridge piers under two types of vehicle impacts, focusing on the influence of structural and vehicle parameters. Moreover, other factors need to be considered such as cargo type, road conditions, driver qualifications, etc. In addition, more reliable experimental data should be adopted to validate the proposed simplified vehicle-with-pier collision model. A more comprehensive validation needs to be conducted, comparing not only peak values, but also the shape of the force curve over time, as well as support displacements and deformations. Furthermore, vehicle collisions have a certain probability of occurrence and may cause significant losses of life and property, with adverse social impacts. This includes collision probability, vulnerability and consequence assessment. Developing a comprehensive risk analysis framework is essential for addressing the risks associated with vehicle–pier collisions effectively.

Author Contributions

Conceptualization, X.Y. and Y.H.; methodology, X.Y. and Y.C.; software, X.Y. and Y.C.; validation, X.Y., Y.C. and Y.H.; formal analysis, X.Y. and Y.H.; investigation, Y.H. and Y.C.; resources, X.Y. and Y.C.; data curation, X.Y. and Y.C.; writing—original draft preparation, Y.C. and Y.H.; writing—review and editing, X.Y. and Y.H.; visualization, Y.C. and Y.H.; supervision, X.Y. and Y.H.; project administration, X.Y. and Y.H.; funding acquisition, X.Y. and Y.H. All authors have read and agreed to the published version of the manuscript.

Funding

This research was funded by [Guangxi Science and Technology Program] grant number [AD25069101] and [Open Fund of Key Laboratory of Safety Control of Bridge Engineering, Ministry of Education] grant number [24KB01].

Data Availability Statement

No data were created and available in this article.

Acknowledgments

This work was conducted with financial support from the Guangxi Science and Technology Program (Project No. AD25069101) and the Open Fund of Key Laboratory of Safety Control of Bridge Engineering, Ministry of Education (24KB01). Their support is gratefully acknowledged.

Conflicts of Interest

The authors declare no conflict of interest.

References

  1. Yoshida, N.; Tazoh, T.; Wakamatsu, K.; Yasuda, S.; Towhata, I.; Nakazawa, H.; Kiku, H. Causes of Showa Bridge collapse in the 1964 Niigata earthquake based on eyewitness testimony. Soils Found. 2007, 47, 1075–1087. [Google Scholar] [CrossRef]
  2. Hsu, Y.T.; Fu, C.C. Seismic effect on highway bridges in Chi Chi earthquake. J. Perform. Constr. Facil. 2004, 18, 47–53. [Google Scholar] [CrossRef]
  3. Han, Q.; Du, X.; Liu, J.; Li, Z.; Li, L.; Zhao, J. Seismic damage of highway bridges during the 2008 Wenchuan earthquake. Earthq. Eng. Eng. Vib. 2009, 8, 263–273. [Google Scholar] [CrossRef]
  4. Sun, W.; Fan, W.; Yang, C.; Peng, W. Lessons learned from vehicle collision accident of Dongguofenli Bridge: FE modeling and analysis. Eng. Struct. 2021, 244, 112813. [Google Scholar] [CrossRef]
  5. Choudhury, J.R.; Hasnat, A. Bridge collapses around the world: Causes and mechanisms. In Proceedings of the IABSE-JSCE Joint Conference on Advances in Bridge Engineering-III, Dhaka, Bangladesh, 21–22 August 2015; pp. 26–34. [Google Scholar]
  6. Buth, C.E.; Williams, W.F.; Brackin, M.S.; Lord, D.; Geedipally, S.R.; Abu-Odeh, A.Y. Analysis of Large Truck Collisions with Bridge Piers: Phase 1, Report of Guidelines for Designing Bridge Piers and Abutments for Vehicle Collisions; Texas Transportation Institute: College Station, TX, USA, 2010. [Google Scholar]
  7. Turner, J.P.; Ge, D.; Axtell, P.J. Rockfall Hazard Mitigation at the TH-53 Bridge, Virginia, Minnesota. 2016. Available online: https://www.semanticscholar.org/paper/Rockfall-Hazard-Mitigation-at-the-TH-53-Bridge%2C-Graham-Turner/681cb07b76a81e2b7a6731b7e8f02d203b59ef94 (accessed on 7 April 2025).
  8. Zhong, H.; Hao, C.; Yu, Z.; Lyu, L.; Wu, A. Damage assessment of RC bridge piers under rockfall impact and evaluation of a steel-sand protective structure. Structures 2023, 47, 607–624. [Google Scholar] [CrossRef]
  9. Do, T.V.; Pham, T.M.; Hao, H. Dynamic responses and failure modes of bridge columns under vehicle collision. Eng. Struct. 2018, 156, 243–259. [Google Scholar] [CrossRef]
  10. El-Tawil, S.; Severino, E.; Fonseca, P. Vehicle collision with bridge piers. J. Bridge Eng. 2005, 10, 345–353. [Google Scholar] [CrossRef]
  11. Bullard, D.L., Jr.; Buth, C.; Williams, W.F.; Menges, W.L.; Haug, R.R. Crash Testing and Evaluation of The Modified T77 Bridge Rail. 2003. Available online: https://trid.trb.org/View/697096 (accessed on 7 April 2025).
  12. Beason, W.L.; Hirsch, T.J. Measurement of Heavy Vehicle Impact Forces and Inertia Properties. United States. Federal Highway Administration. Office of Safety and Traffic Operations. 1989. Available online: https://trid.trb.org/View/299135 (accessed on 7 April 2025).
  13. Alberson, D.; Menges, W.; Haug, R. Testing and Evaluation of the Adler Anti-Ram Wall™. Texas Transporation Institute: College Station, TX, USA, 2004. [Google Scholar]
  14. Ivory, M. Crash Test Report for Perimeter Barriers and Gates Tested to SD-STD-02.01, Revision A. Rep TR-P25039-01-NC; KARCO Engineering, LLC: Adelanto, CA, USA, 2005. [Google Scholar]
  15. Buth, C.E.; Brackin, M.S.; Williams, W.F.; Fry, G.T. Collision Loads on Bridge Piers: Phase 2, Report of Guidelines for Designing Bridge Piers and Abutments for Vehicle Collisions; Texas Transportation Institute: College Station, TX, USA, 2011. [Google Scholar]
  16. Chen, L.; Wu, H.; Fang, Q.; Li, R. Full-scale experimental study of a reinforced concrete bridge pier under truck collision. J. Bridge Eng. 2021, 26, 05021008. [Google Scholar] [CrossRef]
  17. Chen, L.; Xiao, Y.; El-Tawil, S. Impact tests of model RC columns by an equivalent truck frame. J. Struct. Eng. 2016, 142, 04016002. [Google Scholar] [CrossRef]
  18. Demartino, C.; Wu, J.; Xiao, Y. Response of shear-deficient reinforced circular RC columns under lateral impact loading. Int. J. Impact Eng. 2017, 109, 196–213. [Google Scholar] [CrossRef]
  19. Do, T.V.; Pham, T.M.; Hao, H. Impact force profile and failure classification of reinforced concrete bridge columns against vehicle impact. Eng. Struct. 2019, 183, 443–458. [Google Scholar] [CrossRef]
  20. Heng, K.; Li, R.; Wu, H. Damage assessment of simply supported double-pier bent bridge under heavy truck collision. J. Bridge Eng. 2022, 27, 04022021. [Google Scholar] [CrossRef]
  21. Li, R.; Cao, D.; Wu, H.; Wang, D. Collapse analysis and damage evaluation of typical simply supported double-pier RC bridge under truck collision. Structures 2021, 33, 3222–3238. [Google Scholar] [CrossRef]
  22. Opiela, K.; Kan, S.; Marzougui, D. Accomplishments of the FHWA/NHTSA National Crash Analysis Center (NCAC) 1993–2008; US National Crash Analysis Center: Washington, DC, USA, 2009. [Google Scholar]
  23. Sharma, H.; Hurlebaus, S.; Gardoni, P. Performance-based response evaluation of reinforced concrete columns subject to vehicle impact. Int. J. Impact Eng. 2012, 43, 52–62. [Google Scholar] [CrossRef]
  24. Zhao, W.; Ye, J. Impact force characteristic and mechanical behavior of trucks in collisions against bridge piers. Structures 2021, 34, 1489–1506. [Google Scholar] [CrossRef]
  25. Wu, M.; Jin, L.; Du, X. Dynamic response analysis of bridge precast segment piers under vehicle collision. Eng. Fail. Anal. 2021, 124, 105363. [Google Scholar] [CrossRef]
  26. Al-Thairy, H.; Wang, Y. Simplified FE vehicle model for assessing the vulnerability of axially compressed steel columns against vehicle frontal impact. J. Constr. Steel Res. 2014, 102, 190–203. [Google Scholar] [CrossRef]
  27. Cao, X.-Y.; Feng, D.-C.; Li, Y. Assessment of various seismic fragility analysis approaches for structures excited by non-stationary stochastic ground motions. Mech. Syst. Signal Process. 2023, 186, 109838. [Google Scholar] [CrossRef]
  28. Guo, X.; Chen, W.; Chen, Z. Probabilistic impact fragility analysis of bridges under Barge collision and local scour. Appl. Ocean Res. 2023, 134, 103495. [Google Scholar] [CrossRef]
  29. Lv, C.; Yan, Q.; Li, L.; Li, S. Field test and probabilistic vulnerability assessment of a reinforced concrete bridge pier subjected to blast loads. Eng. Fail. Anal. 2023, 143, 106802. [Google Scholar] [CrossRef]
  30. Guo, X.; Wang, Y.; Zhao, W.; Li, Z. Impact-fragility analysis of bridges under Vehicle collision with soil–structure Interaction effects. J. Perform. Constr. Facil. 2023, 37, 04023042. [Google Scholar] [CrossRef]
  31. Sharma, H.; Gardoni, P.; Hurlebaus, S. Probabilistic demand model and performance-based fragility estimates for RC column subject to vehicle collision. Eng. Struct. 2014, 74, 86–95. [Google Scholar] [CrossRef]
  32. Roy, S.; Unobe, I.D.; Sorensen, A.D. Reliability assessment and sensitivity analysis of vehicle impacted reinforced concrete circular bridge piers. Structures 2022, 37, 600–612. [Google Scholar] [CrossRef]
  33. Björnsson, I. Reliability of RC Bridge Supports Designed to Resist Heavy Goods Vehicle Collisions. Struct. Eng. Int. 2015, 25, 395–404. [Google Scholar] [CrossRef]
  34. Lu, D.; Yu, X.; Jia, M.; Wang, G. Seismic risk assessment for a reinforced concrete frame designed according to Chinese codes. Struct. Infrastruct. Eng. 2014, 10, 1295–1310. [Google Scholar] [CrossRef]
  35. Yu, X.; Lu, D.; Jia, M.M. Two analytical formulas for seismic fragility evaluation considering collapse case. In Proceedings of the International Symposium on Reliability Engineering and Risk Management (ISRERM’2012), Yokohama, Japan, 5–8 August 2012. [Google Scholar]
  36. Padmanabhan, D.; Agarwal, H.; Renaud, J.E.; Batill, S.M. A study using Monte Carlo simulation for failure probability calculation in reliability-based optimization. Optim. Eng. 2006, 7, 297–316. [Google Scholar] [CrossRef]
  37. Fujikake, K.; Li, B.; Soeun, S. Impact response of reinforced concrete beam and its analytical evaluation. J. Struct. Eng. 2009, 135, 938–950. [Google Scholar] [CrossRef]
  38. Hu, B.; Liu, Y.-Y.; Li, Y.; Wang, H.-B. Residual Deformation-Based Performance Evaluation Method for CFST Piers Subjected to Vehicle Collision. J. Perform. Constr. Facil. 2023, 37, 04023007. [Google Scholar] [CrossRef]
  39. Zhou, D.; Li, R. Damage assessment of bridge piers subjected to vehicle collision. Adv. Struct. Eng. 2018, 21, 2270–2281. [Google Scholar] [CrossRef]
  40. Chen, L.; Liu, T. Damage analysis of reinforced concrete piers under vehicle collision. Struct. Congr. 2019, 2019, 1–11. [Google Scholar]
  41. Hao, Y.; Hao, H. Influence of the concrete DIF model on the numerical predictions of RC wall responses to blast loadings. Eng. Struct. 2014, 73, 24–38. [Google Scholar] [CrossRef]
  42. Malvar, L.J. Review of static and dynamic properties of steel reinforcing bars. Mater. J. 1998, 95, 609–616. [Google Scholar]
  43. Sierakowski, R.L.; Chaturvedi, S.K. Dynamic Loading and Characterization of Fiber-Reinforced Composites; Wiley-VCH: Weinheim, Germany, 1997. [Google Scholar]
  44. Loads, M.D. Minimum Design Loads and Associated Criteria for Buildings and Other Structures; American Society of Civil Engineers: Reston, VT, USA, 2017. [Google Scholar]
  45. Priestley, M.N.; Verma, R.; Xiao, Y. Seismic shear strength of reinforced concrete columns. J. Struct. Eng. 1994, 120, 2310–2329. [Google Scholar] [CrossRef]
  46. Cao, R.; Agrawal, A.K.; El-Tawil, S.; Xu, X.; Wong, W. Heavy truck collision with bridge piers: Computational simulation study. J. Bridge Eng. 2019, 24, 04019052. [Google Scholar] [CrossRef]
  47. Xiao, Y.; Li, B.; Fujikake, K. Predicting response of reinforced concrete slabs under low-velocity impact. Mag. Concr. Res. 2017, 69, 996–1010. [Google Scholar] [CrossRef]
  48. Chen, L.; Xiao, Y.; Xiao, G.; Liu, C.; Agrawal, A.K. Test and numerical simulation of truck collision with anti-ram bollards. Int. J. Impact Eng. 2015, 75, 30–39. [Google Scholar] [CrossRef]
  49. Xu, C. Impact Load Model Analysis on the Vehicle-to-Pier Collision. Ph.D. Thesis, University of Maryland, College Park, MD, USA, 2019. [Google Scholar]
  50. Humar, J. Dynamics of Structures; CRC Press: Boca Raton, FL, USA, 2012. [Google Scholar]
  51. Li, D.; Xiong, C.; Huang, T.; Wei, R.; Han, N.; Xing, F. A simplified constitutive model for corroded steel bars. Constr. Build. Mater. 2018, 186, 11–19. [Google Scholar] [CrossRef]
  52. Mander, J.B.; Priestley, M.J.; Park, R. Theoretical stress-strain model for confined concrete. J. Struct. Eng. 1988, 114, 1804–1826. [Google Scholar] [CrossRef]
  53. Liu, F.; Luo, Q.Z.; Jiang, Z.G.; Yan, B. The impact response model of bridge piers considering subsoil and axial load. Earthq. Eng. Eng. Dyn. 2017, 37, 112–120. [Google Scholar]
  54. Chen, L.; Qian, J.; Tu, B.; Frangopol, D.M.; Dong, Y. Performance-based risk assessment of reinforced concrete bridge piers subjected to vehicle collision. Eng. Struct. 2021, 229, 111640. [Google Scholar] [CrossRef]
  55. Mestrovic, D.; Cizmar, D.; Miculinic, L. Reliability of concrete columns under vehicle impact. J. WIT Trans. Built Environ. 2008, 98, 157–165. [Google Scholar]
  56. Zhao, W.; Ye, J.; Qian, J.; Guo, X. Safety assessment of existing RC bridge piers subjected to vehicle impact. Structures 2022, 45, 1062–1075. [Google Scholar] [CrossRef]
  57. National People’s Congress (NPC). Road Traffic Safety Law of the People’s Republic of China; National People’s Congress: Beijing, China, 2011. [Google Scholar]
  58. GB 50010-2010; Ministry of Housing and Urban-Rural Development of the People’s Republic of China (MOHURD). China Architecture & Building Press: Beijing, China, 2010. (In Chinese)
Figure 1. Simplified model of vehicle impact with pier.
Figure 1. Simplified model of vehicle impact with pier.
Buildings 15 01222 g001
Figure 2. Two models: (a) truck; (b) tractor.
Figure 2. Two models: (a) truck; (b) tractor.
Buildings 15 01222 g002
Figure 3. Force–displacement relationships of vehicle engines [49]: (a) truck; (b) tractor.
Figure 3. Force–displacement relationships of vehicle engines [49]: (a) truck; (b) tractor.
Buildings 15 01222 g003
Figure 4. Comparison between the simulated results from the simplified model and the finite element model in the literature: (a) truck; (b) tractor.
Figure 4. Comparison between the simulated results from the simplified model and the finite element model in the literature: (a) truck; (b) tractor.
Buildings 15 01222 g004
Figure 5. Damage indexes of two types of vehicles change with vehicle impact velocity: (a) truck; (b) tractor.
Figure 5. Damage indexes of two types of vehicles change with vehicle impact velocity: (a) truck; (b) tractor.
Buildings 15 01222 g005
Figure 6. Tornado diagram of random variables: (a) truck; (b) tractor.
Figure 6. Tornado diagram of random variables: (a) truck; (b) tractor.
Buildings 15 01222 g006
Figure 7. Analysis of vulnerability results under different vehicles.
Figure 7. Analysis of vulnerability results under different vehicles.
Buildings 15 01222 g007
Figure 8. Influence of concrete strength: (a) truck; (b) tractor.
Figure 8. Influence of concrete strength: (a) truck; (b) tractor.
Buildings 15 01222 g008
Figure 9. Influence of stirrup yield strength: (a) truck; (b) tractor.
Figure 9. Influence of stirrup yield strength: (a) truck; (b) tractor.
Buildings 15 01222 g009
Figure 10. Influence of pier diameter: (a) truck; (b) tractor.
Figure 10. Influence of pier diameter: (a) truck; (b) tractor.
Buildings 15 01222 g010
Figure 11. Influence of stirrup spacing: (a) truck; (b) tractor.
Figure 11. Influence of stirrup spacing: (a) truck; (b) tractor.
Buildings 15 01222 g011
Figure 12. Influence of impact height and velocity: (a) truck; (b) tractor.
Figure 12. Influence of impact height and velocity: (a) truck; (b) tractor.
Buildings 15 01222 g012
Figure 13. Influence of distance and velocity: (a) truck; (b) tractor.
Figure 13. Influence of distance and velocity: (a) truck; (b) tractor.
Buildings 15 01222 g013
Table 1. Details of the two types of vehicles.
Table 1. Details of the two types of vehicles.
Vehicle TypeEngine Mass
(Me)
Maximum Load
(Mc)
Impact Height
(Li)
Distance
(xen)
Truck0.607 t4.88 t1000 mm493 mm
Tractor1.287 t24.60 t1500 mm422 mm
Note: xen refers to the distance from the engine to the front.
Table 2. Simplified vehicle model parameters.
Table 2. Simplified vehicle model parameters.
ParameterTruckTractorUnit
Me0.841.287ton
Δs0.72 × 1040.625 × 104mm
Δt0.01740.0228s
D13.480 × 1053.530 × 105N
D21.3423 × 1061.9190 × 106N
k11.9031 × 1051.8710 × 105N/mm
xen493422mm
Table 3. The input parameters for model validation.
Table 3. The input parameters for model validation.
ParameterDefinition[53][46]
vImpact velocity80 km/h113 km/h
fcCompressive strength of concrete30 Mpa27.58 Mpa
fyvStirrup yield strength235 Mpa275.79 Mpa
fyLongitudinal bar yield strength335 Mpa300 Mpa
sStirrup spacing200 mm150 mm
dStirrup diameter10 mm10 mm
drLongitudinal bar diameter25 mm29 mm
nNumber of longitudinal bars248
dcPier section diameter1300 mm900 mm
LPier height8540 mm4900 mm
Table 4. Specific input parameters.
Table 4. Specific input parameters.
ParameterDefinitionMean ValueCOVDistributionSource
M1Truck engine quality0.84 t0.1Normal[54]
M2Tractor engine quality1.287 t0.25Normal[55]
fcCompressive strength of concrete35 Mpa0.11Normal[56]
fyvYield strength of stirrup335 Mpa0.08Lognormal[56]
sStirrup spacing2000.1Normal[54]
dStirrup section diameter8 mm0.35Normal[54]
drLongitudinal bar diameter 20 mm0.035Normal[54]
dcPier section diameter1000 mm0.007Normal[54]
Table 5. Parameters considered in the cases.
Table 5. Parameters considered in the cases.
ParameterMean ValueCOVDistribution
fc-a21 Mpa0.1773Normal
fc-b35 Mpa0.18Normal
fc-c41.36 Mpa0.11Normal
fyv-a240 Mpa0.1211Lognormal
fyv-b270 Mpa0.1Lognormal
fyv-c335 Mpa0.08Lognormal
dc-a1000 mm0.07Normal
dc-b1200 mm0.07Normal
dc-c1400 mm0.07Normal
s-a100 mm0.1Normal
s-b150 mm0.1Normal
s-c200 mm0.1Normal
Table 6. Parameter selection for joint vulnerability analysis.
Table 6. Parameter selection for joint vulnerability analysis.
ParameterValueParameterValue
Li1-a500 mmxen,1-a481 mm
Li1-b700 mmxen,1-b493 mm
Li1-c900 mmxen,1-c505 mm
Li2-a1100 mmxen,2-a410 mm
Li2-b1400 mmxen,2-b422 mm
Li2-c1800 mmxen,2-c434 mm
Disclaimer/Publisher’s Note: The statements, opinions and data contained in all publications are solely those of the individual author(s) and contributor(s) and not of MDPI and/or the editor(s). MDPI and/or the editor(s) disclaim responsibility for any injury to people or property resulting from any ideas, methods, instructions or products referred to in the content.

Share and Cite

MDPI and ACS Style

Yu, X.; Chen, Y.; He, Y. Vulnerability Assessment of Reinforced Concrete Piers Under Vehicle Collision Considering the Influence of Uncertainty. Buildings 2025, 15, 1222. https://doi.org/10.3390/buildings15081222

AMA Style

Yu X, Chen Y, He Y. Vulnerability Assessment of Reinforced Concrete Piers Under Vehicle Collision Considering the Influence of Uncertainty. Buildings. 2025; 15(8):1222. https://doi.org/10.3390/buildings15081222

Chicago/Turabian Style

Yu, Xiaohui, Yihang Chen, and Yu He. 2025. "Vulnerability Assessment of Reinforced Concrete Piers Under Vehicle Collision Considering the Influence of Uncertainty" Buildings 15, no. 8: 1222. https://doi.org/10.3390/buildings15081222

APA Style

Yu, X., Chen, Y., & He, Y. (2025). Vulnerability Assessment of Reinforced Concrete Piers Under Vehicle Collision Considering the Influence of Uncertainty. Buildings, 15(8), 1222. https://doi.org/10.3390/buildings15081222

Note that from the first issue of 2016, this journal uses article numbers instead of page numbers. See further details here.

Article Metrics

Back to TopTop