Extraction and Characterization of Fiber and Cellulose from Ethiopian Linseed Straw: Determination of Retting Period and Optimization of Multi-Step Alkaline Peroxide Process
Abstract
1. Introduction
2. Materials and Methods
2.1. Materials
2.2. Fiber Extraction and Characterization Methods
2.3. Cellulose Extraction and Characterization Methods
2.4. Fourier Transform Infrared (FTIR)
2.5. Thermogravimetric Analysis (TGA)
2.6. Statistical Method for Optimization
3. Results and Discussion
3.1. Retted Water pH, Stalk Water Absorption and Stalk Weight Loss Analysis
3.2. Effect of Retting Duration on Fiber Properties
3.2.1. Physical Properties
3.2.2. Tensile Properties
3.3. Chemical Composition Analysis
3.4. Cellulose Extraction, Characterization and Optimization
3.4.1. Statistical Analysis
3.4.2. Fourier Transform Infrared (FTIR) Analysis
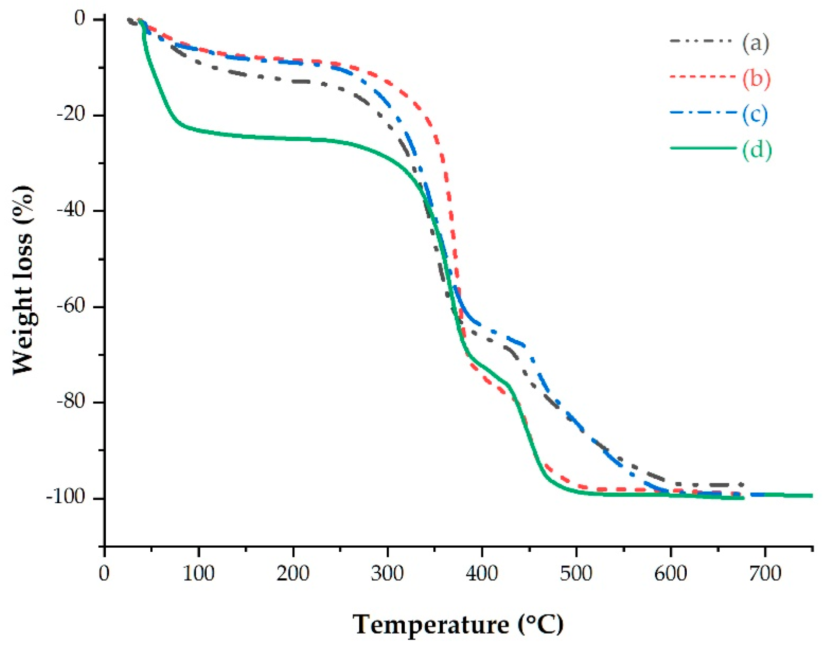
3.4.3. Thermogravimetric Analysis (TGA)
4. Conclusions
Supplementary Materials
Author Contributions
Funding
Institutional Review Board Statement
Acknowledgments
Conflicts of Interest
References
- Karthik, T.; Murugan, R. Characterization and analysis of ligno-cellulosic seed fiber from Pergularia daemia plant for textile applications. Fiber. Polym. 2013, 14, 465–472. [Google Scholar] [CrossRef]
- Saleem, M.H.; Ali, S.; Hussain, S.; Kamran, M.; Chattha, M.S.; Ahmad, S.; Aqeel, M.; Rizwan, M.; Aljarba, N.H.; Alkahtani, S. Flax (Linum usitatissimum L.): A potential candidate for phytoremediation? Biological and economical points of view. Plants 2020, 9, 496. [Google Scholar] [CrossRef] [PubMed]
- Jhala, A.J.; Hall, L.M. Flax (Linum usitatissimum L.): Current uses and future applications. Aust. J. Basic Appl. Sci 2010, 4, 4304–4312. [Google Scholar]
- Zuk, M.; Richter, D.; Matuła, J.; Szopa, J. Linseed, the multipurpose plant. Ind. Crops Prod. 2015, 75, 165–177. [Google Scholar] [CrossRef]
- Praczyk, M.; Wielgusz, K. Agronomic Assessment of Fibrous Flax and Linseed Advanced Breeding Lines as Potential New Varieties. Agronomy 2021, 11, 1917. [Google Scholar] [CrossRef]
- FAOSTAT. Linseed World Production. Available online: https://www.fao.org/faostat/en/#rankings/countries_by_commodity (accessed on 15 December 2020).
- Pillin, I.; Kervoelen, A.; Bourmaud, A.; Goimard, J.; Montrelay, N.; Baley, C. Could oleaginous flax fibers be used as reinforcement for polymers? Ind. Crops Prod. 2011, 34, 1556–1563. [Google Scholar] [CrossRef]
- Rennebaum, H.; Grimm, E.; Warnstorff, K.; Diepenbrock, W. Fibre quality of linseed (Linum usitatissimum L.) and the assessment of genotypes for use of fibres as a by-product. Ind. Crops Prod. 2002, 16, 201–215. [Google Scholar] [CrossRef]
- Tomljenović, A.; Erceg, M. Characterisation of Textile and Oleaginous Flax Fibrous and Shives Material as Potential Reinforcement for Polymer Composites. Tekstilec 2016, 59, 350–366. [Google Scholar] [CrossRef]
- Ouagne, P.; Barthod-Malat, B.; Evon, P.; Labonne, L.; Placet, V. Fibre Extraction from Oleaginous Flax for Technical Textile Applications: Influence of Pre-processing parameters on Fibre Extraction Yield, Size Distribution and Mechanical Properties. Procedia Eng. 2017, 200, 213–220. [Google Scholar] [CrossRef]
- Khan, S.U.; Labonne, L.; Ouagne, P.; Evon, P. Continuous mechanical extraction of fibres from linseed flax straw for subsequent geotextile applications. Coatings 2021, 11, 852. [Google Scholar] [CrossRef]
- Shaimerdenov, Z.N.; Dalabayev, A.B.; Temirova, I.Z.; Aldiyeva, A.B.; Sakenova, B.A.; Zhunussova, K.Z.; Iztayev, A. Fibre extraction from oilseed flax straw for various technical applications. EurAsian J. BioSci. 2020, 14, 7. [Google Scholar]
- Tahir, P.M.; Ahmed, A.; Saifulazry, S.; Ahmed, Z. Review of bast fiber retting. BioResources 2011, 6, 5260–5281. [Google Scholar]
- Easson, D.L.; Molloy, R. Retting—A key process in the production of high value fibre from flax. Outlook Agric. 1996, 25, 235–242. [Google Scholar] [CrossRef]
- Akin, D.E.; Foulk, J.A.; Dodd, R.B.; McAlister, D.D., III. Enzyme-retting of flax and characterization of processed fibers. J. Biotechnol. 2001, 89, 193–203. [Google Scholar] [CrossRef] [PubMed]
- Jayamani, E.; Heng, S.K.; Khui, P.L.N.; Bin Bakri, M.K. Comparative Study of Compressive Strength of Epoxy Based Bio-Composites. Key Eng. Mater. 2018, 775, 68–73. [Google Scholar] [CrossRef]
- Foulk, J.; Akin, D.; Dodd, R. Influence of pectinolytic enzymes on retting effectiveness and resultant fiber properties. Bio. Resour. 2008, 3, 155–169. [Google Scholar]
- Jonoobi, M.; Khazaeian, A.; Tahir, P.M.; Azry, S.S.; Oksman, K. Characteristics of cellulose nanofibers isolated from rubberwood and empty fruit bunches of oil palm using chemo-mechanical process. Cellulose 2011, 18, 1085–1095. [Google Scholar] [CrossRef]
- Adamsen, A.P.S.; Akin, D.E.; Rigsby, L.L. Chelating agents and enzyme retting of flax. Text. Res. J. 2002, 72, 296–302. [Google Scholar] [CrossRef]
- Gusovius, H.-J.; Lühr, C.; Hoffmann, T.; Pecenka, R.; Idler, C. An alternative to field retting: Fibrous materials based on wet preserved hemp for the manufacture of composites. Agriculture 2019, 9, 140. [Google Scholar] [CrossRef]
- Faruk, O.; Bledzki, A.K.; Fink, H.-P.; Sain, M. Biocomposites reinforced with natural fibers: 2000–2010. Prog. Polym. Sci. 2012, 37, 1552–1596. [Google Scholar] [CrossRef]
- Gurukarthik Babu, B.; Prince Winston, D.; SenthamaraiKannan, P.; Saravanakumar, S.; Sanjay, M. Study on characterization and physicochemical properties of new natural fiber from Phaseolus vulgaris. J. Nat. Fibers 2019, 16, 1035–1042. [Google Scholar] [CrossRef]
- Manzato, L.; Takeno, M.L.; Pessoa-Junior, W.A.G.; Mariuba, L.A.M.; Simonsen, J. Optimization of cellulose extraction from jute fiber by Box-Behnken design. Fiber. Polym. 2018, 19, 289–296. [Google Scholar] [CrossRef]
- Ummartyotin, S.; Manuspiya, H. A critical review on cellulose: From fundamental to an approach on sensor technology. Renew. Sust. Energ. Rev. 2015, 41, 402–412. [Google Scholar] [CrossRef]
- Lavanya, D.; Kulkarni, P.; Dixit, M.; Raavi, P.K.; Krishna, L.N.V. Sources of cellulose and their applications—A review. IJDFR 2011, 2, 19–38. [Google Scholar]
- de Oliveira, J.P.; Bruni, G.P.; Lima, K.O.; El Halal, S.L.M.; da Rosa, G.S.; Dias, A.R.G.; da Rosa Zavareze, E. Cellulose fibers extracted from rice and oat husks and their application in hydrogel. Food Chem. 2017, 221, 153–160. [Google Scholar] [CrossRef]
- Rasheed, M.; Jawaid, M.; Parveez, B.; Zuriyati, A.; Khan, A. Morphological, chemical and thermal analysis of cellulose nanocrystals extracted from bamboo fibre. Int. J. Biol. Macromol. 2020, 160, 183–191. [Google Scholar] [CrossRef]
- Pandey, R. Fiber Extraction from Dual-Purpose Flax. J. Nat. Fibers 2016, 13, 565–577. [Google Scholar] [CrossRef]
- Ruan, P.; Raghavan, V.; Gariepy, Y.; Du, J. Characterization of flax water retting of different durations in laboratory condition and evaluation of its fiber properties. BioResources 2015, 10, 3553–3563. [Google Scholar] [CrossRef]
- Yu, H.; Yu, C. Influence of various retting methods on properties of kenaf fiber. J. Text. Inst. 2010, 101, 452–456. [Google Scholar] [CrossRef]
- Rosemberg, J.A.; De França, F.P. Importance of Galacturonic Acid in Controlling the Retting of Flax. Appl. Microbiol. 1967, 15, 484–486. [Google Scholar] [CrossRef]
- de Franca, F.; Rosemberg, J.; de Jesus, A. Retting of flax by Aspergillus niger. Appl. Microbiol. 1969, 17, 7–9. [Google Scholar] [CrossRef] [PubMed]
- Mittal, M.; Chaudhary, R. Experimental study on the water absorption and surface characteristics of alkali treated pineapple leaf fiber and coconut husk fiber. Int. J. Appl. Eng. Res. 2018, 13, 12237–12243. [Google Scholar]
- Baley, C.; Morvan, C.; Grohens, Y. Influence of the Absorbed Water on the Tensile Strength of Flax Fibers. Macromol. Symp. 2005, 222, 195–202. [Google Scholar] [CrossRef]
- Nair, G.; Singh, A.; Zimniewska, M.; Raghavan, V. Comparative Evaluation of Physical and Structural Properties of Water Retted and Non-retted Flax Fibers. Fibers 2013, 1, 59–69. [Google Scholar] [CrossRef]
- Dhanani, T.; Shah, S.; Gajbhiye, N.; Kumar, S. Effect of extraction methods on yield, phytochemical constituents and antioxidant activity of Withania somnifera. Arab. J. Chem. 2017, 10, S1193–S1199. [Google Scholar] [CrossRef]
- Rude, T.; Strait, L., Jr.; Ruhala, L. Measurement of fiber density by helium pycnometry. J. Compos. Mater. 2000, 34, 1948–1958. [Google Scholar] [CrossRef]
- Truong, M.; Zhong, W.; Boyko, S.; Alcock, M. A comparative study on natural fibre density measurement. J. Text. Inst. 2009, 100, 525–529. [Google Scholar] [CrossRef]
- Manimaran, P.; Sanjay, M.; Senthamaraikannan, P.; Yogesha, B.; Barile, C.; Siengchin, S. A new study on characterization of Pithecellobium dulce fiber as composite reinforcement for light-weight applications. J. Nat. Fibers 2018, 17, 359–370. [Google Scholar] [CrossRef]
- Widnyana, A.; Rian, I.G.; Surata, I.W.; Nindhia, T.G.T. Tensile Properties of coconut Coir single fiber with alkali treatment and reinforcement effect on unsaturated polyester polymer. Mater. Today Proc. 2020, 22, 300–305. [Google Scholar] [CrossRef]
- Arul Marcel Moshi, A.; Ravindran, D.; Sundara Bharathi, S.R.; Suganthan, V.; Kennady Shaju Singh, G. Characterization of New Natural Cellulosic Fibers—A Comprehensive Review. IOP Conf. Ser. Mater. Sci. Eng. 2019, 574, 012013. [Google Scholar] [CrossRef]
- Morán, J.I.; Alvarez, V.A.; Cyras, V.P.; Vázquez, A. Extraction of cellulose and preparation of nanocellulose from sisal fibers. Cellulose 2008, 15, 149–159. [Google Scholar] [CrossRef]
- Borchani, K.E.; Carrot, C.; Jaziri, M. Untreated and alkali treated fibers from Alfa stem: Effect of alkali treatment on structural, morphological and thermal features. Cellulose 2015, 22, 1577–1589. [Google Scholar] [CrossRef]
- Teli, M.; Pandit, P. Novel method of ecofriendly single bath dyeing and functional finishing of wool protein with coconut shell extract biomolecules. ACS Sustain. Chem. Eng. 2017, 5, 8323–8333. [Google Scholar] [CrossRef]
- D’Auria, M.; Mecca, M.; Bruno, M.R.; Todaro, L. Extraction Methods and Their Influence on Yield When Extracting Thermo-Vacuum-Modified Chestnut Wood. Forests 2021, 12, 73. [Google Scholar] [CrossRef]
- Zhu, Z.; Hao, M.; Zhang, N. Influence of contents of chemical compositions on the mechanical property of sisal fibers and sisal fibers reinforced PLA composites. J. Nat. Fibers 2018, 17, 101–112. [Google Scholar] [CrossRef]
- Kang, L.Y.; Haslija, A.A. Optimization of Alkaline Pulp Extraction from Napier Grass Using Response Surface Methodology. In Proceedings of the IOP Conference Series: Earth and Environmental Science, Kuala Lumpur, Malaysia, 11–14 December 2018; p. 012051. [Google Scholar]
- Kale, R.D.; Taye, M.; Chaudhary, B. Extraction and characterization of cellulose single fiber from native Ethiopian Serte (Dracaena steudneri Egler) plant leaf. J. Macromol. Sci. 2019, 56, 837–844. [Google Scholar] [CrossRef]
- Manimaran, P.; Saravanan, S.P.; Sanjay, M.R.; Siengchin, S.; Jawaid, M.; Khan, A. Characterization of new cellulosic fiber: Dracaena reflexa as a reinforcement for polymer composite structures. J. Mater. Res. Technol. 2019, 8, 1952–1963. [Google Scholar] [CrossRef]
- McCleary, B.V. Total dietary fiber (CODEX definition) in foods and food ingredients by a rapid enzymatic-gravimetric method and liquid chromatography: Collaborative study, first action 2017.16. J. AOAC Int. 2019, 102, 196–207. [Google Scholar] [CrossRef]
- Huang, J.; Yu, C. Determination of cellulose, hemicellulose and lignin content using near-infrared spectroscopy in flax fiber. Text. Res. J. 2019, 89, 4875–4883. [Google Scholar] [CrossRef]
- Lin, L.; Yan, R.; Liu, Y.; Jiang, W. In-depth investigation of enzymatic hydrolysis of biomass wastes based on three major components: Cellulose, hemicellulose and lignin. Bioresour. Technol. 2010, 101, 8217–8223. [Google Scholar] [CrossRef]
- Adeeyo, O.; Oresegun, O.M.; Oladimeji, T.E. Compositional analysis of lignocellulosic materials: Evaluation of an economically viable method suitable for woody and non-woody biomass. Am. J. Eng. Res. 2015, 4, 14–19. [Google Scholar]
- Li, S.; Xu, S.; Liu, S.; Yang, C.; Lu, Q. Fast pyrolysis of biomass in free-fall reactor for hydrogen-rich gas. Fuel Process. Technol. 2004, 85, 1201–1211. [Google Scholar] [CrossRef]
- Alix, S.; Philippe, E.; Bessadok, A.; Lebrun, L.; Morvan, C.; Marais, S. Effect of chemical treatments on water sorption and mechanical properties of flax fibres. Bioresour. Technol. 2009, 100, 4742–4749. [Google Scholar] [CrossRef] [PubMed]
- Suaniti, N.M.; Adnyana, I.W.B. Biodiesel Synthesis from Used frying Oil through Phosphoric Acid Refined and CaO Catalyzed Transesterification. In Proceedings of the IOP Conference Series: Materials Science and Engineering, Jakarta, Indonesia, 22–23 November 2018; p. 012098. [Google Scholar]
- Prabhu, P.; Fernandes, T.; Chaubey, P.; Kaur, P.; Narayanan, S.; Ramya, V.; Sawarkar, S.P. Mannose-conjugated chitosan nanoparticles for delivery of rifampicin to osteoarticular tuberculosis. Drug Deliv. Transl. Res. 2021, 11, 1509–1519. [Google Scholar] [CrossRef] [PubMed]
- George, M.; Mussone, P.G.; Bressler, D.C. Surface and thermal characterization of natural fibres treated with enzymes. Ind. Crops Prod. 2014, 53, 365–373. [Google Scholar] [CrossRef]
- Hossain, M.K.; Karim, M.R.; Chowdhury, M.R.; Imam, M.A.; Hosur, M.; Jeelani, S.; Farag, R. Comparative mechanical and thermal study of chemically treated and untreated single sugarcane fiber bundle. Ind. Crops Prod. 2014, 58, 78–90. [Google Scholar] [CrossRef]
- Syafri, E.; Kasim, A.; Abral, H.; Sulungbudi, G.T.; Sanjay, M.; Sari, N.H. Synthesis and characterization of cellulose nanofibers (CNF) ramie reinforced cassava starch hybrid composites. Int. J. Biol. Macromol. 2018, 120, 578–586. [Google Scholar] [CrossRef]
- Ray, D.P.; Banerjee, P.; Ghosh, R.K.; Nag, D. Accelerated retting of jute for economic fibre yield. Econ. Aff. 2015, 60, 693. [Google Scholar] [CrossRef]
- Ramesh, M. Kenaf (Hibiscus cannabinus L.) fibre based bio-materials: A review on processing and properties. Prog. Mater Sci. 2016, 78, 1–92. [Google Scholar] [CrossRef]
- Duchemin, B.; Thuault, A.; Vicente, A.; Rigaud, B.; Fernandez, C.; Eve, S. Ultrastructure of cellulose crystallites in flax textile fibres. Cellulose 2012, 19, 1837–1854. [Google Scholar] [CrossRef]
- Meijer, W.; Vertregt, N.; Rutgers, B.; van de Waart, M. The pectin content as a measure of the retting and rettability of flax. Ind. Crops Prod. 1995, 4, 273–284. [Google Scholar] [CrossRef]
- Sain, M.; Panthapulakkal, S. Bioprocess preparation of wheat straw fibers and their characterization. Ind. Crops Prod. 2006, 23, 1–8. [Google Scholar] [CrossRef]
- Mazian, B.; Bergeret, A.; Benezet, J.-C.; Malhautier, L. Influence of field retting duration on the biochemical, microstructural, thermal and mechanical properties of hemp fibres harvested at the beginning of flowering. Ind. Crops Prod. 2018, 116, 170–181. [Google Scholar] [CrossRef]
- Nayak, S.Y.; Heckadka, S.S.; Seth, A.; Prabhu, S.; Sharma, R.; Shenoy, K.R. Effect of chemical treatment on the physical and mechanical properties of flax fibers: A comparative assessment. Mater. Today Proc. 2021, 38, 2406–2410. [Google Scholar] [CrossRef]
- Abbass, A.; Paiva, M.C.; Oliveira, D.V.; Lourenço, P.B.; Fangueiro, R. Insight into the effects of solvent treatment of natural fibers prior to structural composite casting: Chemical, physical and mechanical evaluation. Fibers 2021, 9, 54. [Google Scholar] [CrossRef]
- Amel, B.A.; Paridah, M.T.; Sudin, R.; Anwar, U.; Hussein, A.S. Effect of fiber extraction methods on some properties of kenaf bast fiber. Ind. Crops Prod. 2013, 46, 117–123. [Google Scholar] [CrossRef]
- Kandemir, A.; Pozegic, T.R.; Hamerton, I.; Eichhorn, S.J.; Longana, M.L. Characterisation of natural fibres for sustainable discontinuous fibre composite materials. Materials 2020, 13, 2129. [Google Scholar] [CrossRef]
- Stamboulis, A.; Baillie, C.; Peijs, T. Effects of environmental conditions on mechanical and physical properties of flax fibers. Compos. Part Appl. Sci. Manuf. 2001, 32, 1105–1115. [Google Scholar] [CrossRef]
- Le Gall, M.; Davies, P.; Martin, N.; Baley, C. Recommended flax fibre density values for composite property predictions. Ind. Crops Prod. 2018, 114, 52–58. [Google Scholar] [CrossRef]
- Sawsen, C.; Fouzia, K.; Mohamed, B.; Moussa, G. Optimizing the formulation of flax fiber-reinforced cement composites. Constr. Build Mater. 2014, 54, 659–664. [Google Scholar] [CrossRef]
- Amiri, A.; Triplett, Z.; Moreira, A.; Brezinka, N.; Alcock, M.; Ulven, C.A. Standard density measurement method development for flax fiber. Ind. Crops Prod. 2017, 96, 196–202. [Google Scholar] [CrossRef]
- Kharine, A.; Manohar, S.; Seeton, R.; Kolkman, R.G.; Bolt, R.A.; Steenbergen, W.; de Mul, F.F. Poly (vinyl alcohol) gels for use as tissue phantoms in photoacoustic mammography. Phys. Med. Biol. 2003, 48, 357. [Google Scholar] [CrossRef] [PubMed]
- Alix, S.; Colasse, L.; Morvan, C.; Lebrun, L.; Marais, S. Pressure impact of autoclave treatment on water sorption and pectin composition of flax cellulosic-fibres. Carbohydr. Polym. 2014, 102, 21–29. [Google Scholar] [CrossRef] [PubMed]
- Martin, N.; Mouret, N.; Davies, P.; Baley, C. Influence of the degree of retting of flax fibers on the tensile properties of single fibers and short fiber/polypropylene composites. Ind. Crops Prod. 2013, 49, 755–767. [Google Scholar] [CrossRef]
- Marrot, L.; Lefeuvre, A.; Pontoire, B.; Bourmaud, A.; Baley, C. Analysis of the hemp fiber mechanical properties and their scattering (Fedora 17). Ind. Crops Prod. 2013, 51, 317–327. [Google Scholar] [CrossRef]
- Reddy, N.; Yang, Y. Properties and potential applications of natural cellulose fibers from cornhusks. Green Chem. 2005, 7, 190–195. [Google Scholar] [CrossRef]
- Sun, J.X.; Xu, F.; Sun, X.F.; Sun, R.C.; Wu, S.B. Comparative study of lignins from ultrasonic irradiated sugar-cane bagasse. Polym. Int. 2004, 53, 1711–1721. [Google Scholar] [CrossRef]
- Xu, Q.-Q.; Zhao, M.-J.; Yu, Z.-Z.; Yin, J.-Z.; Li, G.-M.; Zhen, M.-Y.; Zhang, Q.-Z. Enhancing enzymatic hydrolysis of corn cob, corn stover and sorghum stalk by dilute aqueous ammonia combined with ultrasonic pretreatment. Ind. Crops Prod. 2017, 109, 220–226. [Google Scholar] [CrossRef]
- Khandanlou, R.; Ahmad, M.B.; Shameli, K.; Hussein, M.Z.; Zainuddin, N.; Kalantari, K. Mechanical and thermal stability properties of modified rice straw fiber blend with polycaprolactone composite. J. Nanomater. 2014, 2014, 675258. [Google Scholar] [CrossRef]
- Komuraiah, A.; Kumar, N.S.; Prasad, B.D. Chemical composition of natural fibers and its influence on their mechanical properties. Mech. Compos. Mater. 2014, 50, 359–376. [Google Scholar] [CrossRef]
- Arnata, I.W.; Suprihatin, S.; Fahma, F.; Richana, N.; Sunarti, T.C. Cationic modification of nanocrystalline cellulose from sago fronds. Cellulose 2020, 27, 3121–3141. [Google Scholar] [CrossRef]
- Herlina Sari, N.; Wardana, I.N.G.; Irawan, Y.S.; Siswanto, E. Characterization of the Chemical, Physical, and Mechanical Properties of NaOH-treated Natural Cellulosic Fibers from Corn Husks. J. Nat. Fibers 2017, 15, 545–558. [Google Scholar] [CrossRef]
- Horikawa, Y.; Hirano, S.; Mihashi, A.; Kobayashi, Y.; Zhai, S.; Sugiyama, J. Prediction of lignin contents from infrared spectroscopy: Chemical digestion and lignin/biomass ratios of Cryptomeria japonica. Appl. Biochem. Biotechnol. 2019, 188, 1066–1076. [Google Scholar] [CrossRef]
- Boudjellal, A.; Trache, D.; Bekhouche, S.; Khimeche, K.; Razali, M.S.; Guettiche, D. Preparation and characterization of Alfa fibers/graphene nanoplatelets hybrid for advanced applications. Mater. Lett. 2021, 289, 129379. [Google Scholar] [CrossRef]
- Draman, S.F.S.; Daik, R.; Latif, F.A.; El-Sheikh, S.M. Characterization and thermal decomposition kinetics of kapok (Ceiba pentandra L.)–based cellulose. BioResources 2014, 9, 8–23. [Google Scholar] [CrossRef]
- Saravanakumar, S.; Kumaravel, A.; Nagarajan, T.; Moorthy, I.G. Effect of chemical treatments on physicochemical properties of Prosopis juliflora fibers. Int. J. Polym. Anal. Charact. 2014, 19, 383–390. [Google Scholar] [CrossRef]
- Begum, H.A.; Tanni, T.R.; Shahid, M.A. Analysis of Water Absorption of Different Natural Fibers. J. Text. Sci. Technol. 2021, 7, 152–160. [Google Scholar] [CrossRef]
- Poletto, M.; Júnior, H.L.O.; Zattera, A.J. Thermal decomposition of natural fibers: Kinetics and degradation mechanisms. React. Mech. Therm. Anal. Adv. Mater. 2015, 1, 515–545. [Google Scholar] [CrossRef]
- Angelini, L.G.; Scalabrelli, M.; Tavarini, S.; Cinelli, P.; Anguillesi, I.; Lazzeri, A. Ramie fibers in a comparison between chemical and microbiological retting proposed for application in biocomposites. Ind. Crops Prod. 2015, 75, 178–184. [Google Scholar] [CrossRef]
- Jankauskienė, Z.; Butkutė, B.; Gruzdevienė, E.; Cesevičienė, J.; Fernando, A.L. Chemical composition and physical properties of dew-and water-retted hemp fibers. Ind. Crops Prod. 2015, 75, 206–211. [Google Scholar] [CrossRef]







| Sample | RT0 | RT1 | RT2 | RT3 | RT4 | RT5 | RT6 | RT7 | RT8 |
|---|---|---|---|---|---|---|---|---|---|
| Retting Time (h) | 0 | 48 | 96 | 144 | 168 | 192 | 216 | 240 | 264 |
| Solvent | Factors (Parameters) | ||||||||
|---|---|---|---|---|---|---|---|---|---|
| Concentration (%) | Temp. (°C) | Time (h) | |||||||
| Level | Level | Level | |||||||
| −1 | 0 | +1 | −1 | 0 | +1 | −1 | 0 | +1 | |
| C2H5OH:C7H8 | 50 | 75 | 100 | 78 | 88 | 98 | 4 | 6 | 8 |
| NaOH | 2 | 6 | 10 | 50 | 62.5 | 75 | 1/2 | 1 | 1 & 1/2 |
| H2O2 | 2 | 6 | 10 | 80 | 90 | 100 | 1 | 1 & 1/2 | 2 |
| Sample | Tensile Properties | Physical Properties | ||||
|---|---|---|---|---|---|---|
| Breaking Force (cN) | Breaking Elongation (%) | Tenacity (cN/tex) | Diameter (µm) | Density (g/cm3) | Moisture (%) | |
| R0 | - | - | - | - | 1.33 | 9.34 |
| R1 | 219.9 | 2.17 | 41.7 | 128.22 | 1.43 | 8.57 |
| R2 | 278.4 | 2.06 | 59.1 | 104.65 | 1.52 | 8.32 |
| R3 | 193.4 | 1.73 | 54.6 | 90.36 | 1.41 | 7.72 |
| Lignocellulose Biomass | Cellulose (%) | Hemicellulose (%) | Lignin (%) | Extractives (%) | References |
|---|---|---|---|---|---|
| Linseed Straw | 68 | 20 | 5 | 4 | This study |
| Oleaginous Flax | 47 | 24 | 21 | - | [9] |
| Sugar Bagasse | 43.6 | 33.5 | 18.1 | 3.1 | [80] |
| Corn Cob | 45 | 35 | 15 | 5 | [81] |
| Corn Stover | 40 | 25 | 17 | 18 | [81] |
| Rice Straw | 38.3 | 31.6 | 18.8 | 11.3 | [82] |
| Run | Variables | Response (%) | ||||||||||
|---|---|---|---|---|---|---|---|---|---|---|---|---|
| C (%) | T (°C) | t (h) | Extractive Removal | Hemicellulose Removal | Lignin Removal | |||||||
| EXP | PRED | ERR | EXP | PRED | ERR | EXP | PRED | ERR | ||||
| 1 | −1 | −1 | −1 | 2.52 | 2.40 | 0.12 | 10.0 | 9.81 | 0.19 | 1.6 | 1.45 | 0.15 |
| 2 | −1 | 0 | 0 | 2.67 | 3.88 | −1.21 | 11.9 | 13.72 | −1.82 | 2.0 | 2.46 | −0.46 |
| 3 | −1 | +1 | +1 | 2.85 | 2.73 | 0.12 | 13.7 | 13.42 | 0.28 | 2.6 | 2.63 | −0.03 |
| 4 | 0 | −1 | 0 | 4.54 | 3.98 | 0.56 | 14.5 | 13.40 | 1.10 | 3.0 | 3.12 | −0.12 |
| 5 | 0 | 0 | +1 | 4.69 | 4.15 | 0.54 | 16.2 | 15.46 | 0.74 | 4.0 | 3.40 | 0.60 |
| 6 | 0 | +1 | −1 | 4.90 | 4.35 | 0.55 | 18.1 | 17.18 | 0.92 | 3.2 | 2.96 | 0.24 |
| 7 | +1 | −1 | +1 | 3.50 | 3.86 | −0.36 | 14.4 | 14.85 | −0.45 | 3.6 | 3.71 | −0.11 |
| 8 | +1 | 0 | −1 | 3.65 | 4.00 | −0.35 | 15.3 | 15.84 | −0.54 | 3.8 | 3.73 | 0.07 |
| 9 | +1 | +1 | 0 | 3.83 | 4.18 | −0.35 | 17.8 | 18.16 | −0.36 | 3.4 | 3.69 | −0.29 |
| Wavenumber (cm−1) | Bond | Vibration | Sources |
|---|---|---|---|
| 3425 | O-H | Stretching | Cellulose, hemicellulose, lignin, and pectin |
| 2917 | C-H, C-H2 | Stretching | Cellulose, hemicellulose, lignin, pectin, wax, and fat |
| 2853 | C-H2 | Symmetric Stretching | Wax |
| 1731 | C=O | Unconjugated | Hemicellulose and lignin |
| 1636 | O-H | Stretching | Absorbed water |
| 1426 | O-H, C-H | Bending | Cellulose, hemicellulose, and lignin |
| 1383 | COO- | Stretching | Hemicellulose |
| 1157 | C-O-C | Asymmetric Stretching | Cellulose, hemicellulose, and lignin |
| 1114 | C-O | Stretching | Cellulose, hemicellulose, and pectin |
| 1032 | C-O-C | Bending | Cellulose, hemicellulose, pectin, wax, and fat |
| 901 | C-O-C | Stretching | Cellulose and hemicellulose |
| 617 | C-OH | Out-of-Plane Bending | Cellulose |
| Sample | 1st Stage | 2nd Stage | 3rd Stage | Ash (%) | |||
|---|---|---|---|---|---|---|---|
| Wt. Loss (%) | T (°C) | Wt. Loss (%) | T (°C) | Wt. Loss (%) | T (°C) | ||
| Raw Fiber | 11.36 | 26–145 | 56.26 | 179–426 | 28.46 | 426–609 | 3.00 |
| Extracted Fiber | 7.51 | 37–139 | 70.45 | 205–438 | 18.79 | 430–510 | 2.25 |
| Alkalized Fiber | 7.44 | 38–121 | 57.20 | 250–440 | 30.69 | 440–591 | 1.72 |
| Bleached Fiber | 23.50 | 37–110 | 49.89 | 269–427 | 22.55 | 427–510 | 1.13 |
Disclaimer/Publisher’s Note: The statements, opinions and data contained in all publications are solely those of the individual author(s) and contributor(s) and not of MDPI and/or the editor(s). MDPI and/or the editor(s) disclaim responsibility for any injury to people or property resulting from any ideas, methods, instructions or products referred to in the content. |
© 2023 by the authors. Licensee MDPI, Basel, Switzerland. This article is an open access article distributed under the terms and conditions of the Creative Commons Attribution (CC BY) license (https://creativecommons.org/licenses/by/4.0/).
Share and Cite
Feleke, K.; Thothadri, G.; Beri Tufa, H.; Rajhi, A.A.; Ahmed, G.M.S. Extraction and Characterization of Fiber and Cellulose from Ethiopian Linseed Straw: Determination of Retting Period and Optimization of Multi-Step Alkaline Peroxide Process. Polymers 2023, 15, 469. https://doi.org/10.3390/polym15020469
Feleke K, Thothadri G, Beri Tufa H, Rajhi AA, Ahmed GMS. Extraction and Characterization of Fiber and Cellulose from Ethiopian Linseed Straw: Determination of Retting Period and Optimization of Multi-Step Alkaline Peroxide Process. Polymers. 2023; 15(2):469. https://doi.org/10.3390/polym15020469
Chicago/Turabian StyleFeleke, Kibrom, Ganesh Thothadri, Habtamu Beri Tufa, Ali A. Rajhi, and Gulam Mohammed Sayeed Ahmed. 2023. "Extraction and Characterization of Fiber and Cellulose from Ethiopian Linseed Straw: Determination of Retting Period and Optimization of Multi-Step Alkaline Peroxide Process" Polymers 15, no. 2: 469. https://doi.org/10.3390/polym15020469
APA StyleFeleke, K., Thothadri, G., Beri Tufa, H., Rajhi, A. A., & Ahmed, G. M. S. (2023). Extraction and Characterization of Fiber and Cellulose from Ethiopian Linseed Straw: Determination of Retting Period and Optimization of Multi-Step Alkaline Peroxide Process. Polymers, 15(2), 469. https://doi.org/10.3390/polym15020469

