Pathogen Detection via Quantitative PCR in Milk of Healthy Cows Collected Using Different Sampling Protocols
Abstract
1. Introduction
2. Materials and Methods
2.1. Rationale of the Study
2.2. Samples Collection
- quarter level—under sterile conditions (STER): 9 herds, 3288 quarter milk samples, 822 cows;
2.3. qPCR
2.4. Prevalence of Pathogens
3. Results
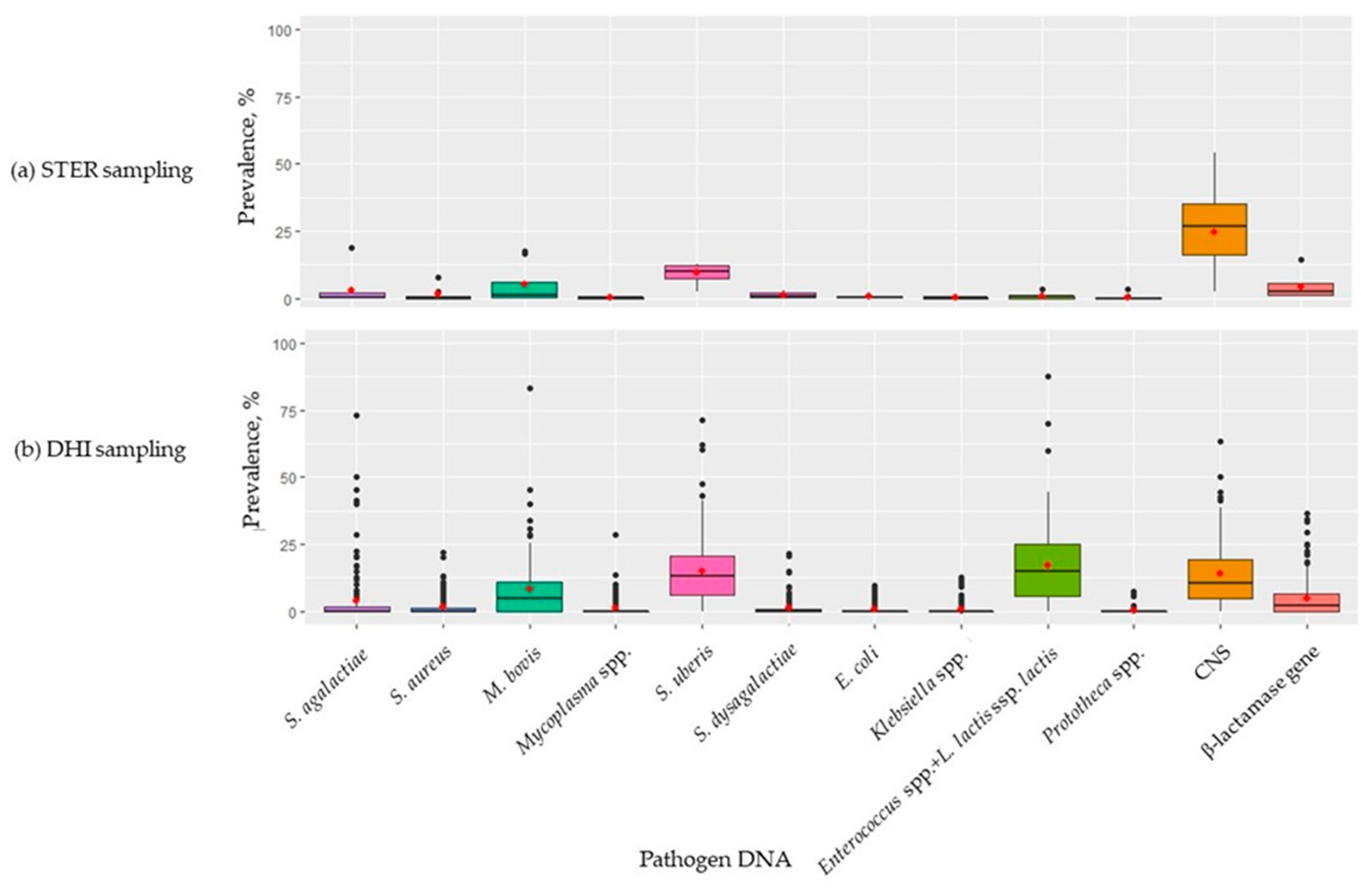
3.1. Presence of Pathogens
3.2. Pathogens across Herds
3.3. Pathogens and Udder Health
4. Discussion
4.1. Detected Pathogens
4.2. Milk Pathogens Detection via qPCR
4.3. Overview of Udder Health
5. Conclusions
Author Contributions
Funding
Institutional Review Board Statement
Informed Consent Statement
Data Availability Statement
Acknowledgments
Conflicts of Interest
References
- Bradley, A.J. Bovine mastitis: An evolving disease. Vet. J. 2022, 164, 116–128. [Google Scholar] [CrossRef] [PubMed]
- Winder, C.B.; Sargeant, J.M.; Kelton, D.F.; Leblanc, S.J.; Duffield, T.F.; Glanville, J.; Wood, H.; Churchill, K.J.; Dunn, J.; Bergevin, M.D.; et al. Comparative efficacy of blanket versus selective dry-cow therapy: A systematic review and pairwise meta-analysis. Anim. Health Res. Rev. 2019, 20, 217–228. [Google Scholar] [CrossRef] [PubMed]
- Pyörälä, S.; Taponen, S. Coagulase-negative staphylococci—Emerging mastitis pathogens. Vet. Microb. 2009, 134, 3–8. [Google Scholar] [CrossRef]
- Zadoks, R.N.; Middleton, J.R.; McDougall, S.; Katholm, J.; Schukken, Y.H. Molecular epidemiology of mastitis pathogens of dairy cattle and comparative relevance to humans. J. Mammary Gland Biol. Neoplasia 2011, 16, 357–372. [Google Scholar] [CrossRef]
- Vanderhaeghen, W.; Piepers, S.; Leroy, F.; Van Coillie, E.; Haesebrouck, F.; De Vliegher, S. Identification, typing, ecology and epidemiology of coagulase negative staphylococci associated with ruminants. Vet. J. 2015, 203, 44–51. [Google Scholar] [CrossRef]
- Suntinger, M.; Fuerst-Waltl, B.; Obritzhauser, W.; Firth, C.L.; Köck, A.; Egger-Danner, C. Usability of bacteriological milk analyses for genetic improvement of udder health in Austrian Fleckvieh cows. J. Dairy Sci. 2022, 105, 5167–5177. [Google Scholar] [CrossRef]
- Adkins, P.R.; Middleton, J.R. Methods for diagnosing mastitis. Vet. Clin. N. Am. Food Anim. Pract. 2018, 34, 479–491. [Google Scholar] [CrossRef] [PubMed]
- Timonen, A.A.; Katholm, J.; Petersen, A.; Mõtus, K.; Kalmus, P. Within-herd prevalence of intramammary infection caused by Mycoplasma bovis and associations between cow udder health, milk yield, and composition. J. Dairy Sci. 2017, 100, 6554–6561. [Google Scholar] [CrossRef]
- Koskinen, M.T.; Holopainen, J.; Pyörälä, S.; Bredbacka, P.; Pitkälä, A.; Barkema, H.W.; Bexiga, R.; Roberson, J.; Sølverød, L.; Piccinini, R.; et al. Analytical specificity and sensitivity of a real-time polymerase chain reaction assay for identification of bovine mastitis pathogens. J. Dairy Sci. 2009, 92, 952–959. [Google Scholar] [CrossRef]
- Keane, O.M.; Budd, K.E.; Flynn, J.; McCoy, F. Increased detection of mastitis pathogens by real-time PCR compared to bacterial culture. Vet. Rec. 2013, 173, 268. [Google Scholar] [CrossRef]
- Nyman, A.K.; Waller, K.P.; Emanuelson, U.; Frössling, J. Sensitivity and specificity of PCR analysis and bacteriological culture of milk samples for identification of intramammary infections in dairy cows using latent class analysis. Prev. Vet. Med. 2016, 135, 123–131. [Google Scholar] [CrossRef] [PubMed]
- Mahmmod, Y.S.; Mweu, M.M.; Nielsen, S.S.; Katholm, J.; Klaas, I.C. Effect of carryover and presampling procedures on the results of real-time PCR used for diagnosis of bovine intramammary infections with Streptococcus agalactiae at routine milk recordings. Prev. Vet. Med. 2014, 113, 512–521. [Google Scholar] [CrossRef] [PubMed]
- Mahmmod, Y.S.; Klaas, I.C.; Enevoldsen, C. DNA carryover in milk samples from routine milk recording used for PCR-based diagnosis of bovine Staphylococcus aureus mastitis. J. Dairy Sci. 2017, 100, 5709–5716. [Google Scholar] [CrossRef] [PubMed]
- ICAR (International Committee for Animal Recording). Section 11—Guidelines for Testing, Approval and Checking of Milk Recording Devices. 2020. Available online: https://www.icar.org/Guidelines/11-Milk-Recording-Devices.pdf (accessed on 15 January 2023).
- ICAR (International Committee for Animal Recording). Section 2—Guidelines for Dairy Cattle Milk Recording. 2022. Available online: https://www.icar.org/Guidelines/02-Overview-Cattle-Milk-Recording.pdf (accessed on 15 January 2023).
- Damm, M.; Holm, C.; Blaabjerg, M.; Bro, M.N.; Schwarz, D. Differential somatic cell count—A novel method for routine mastitis screening in the frame of Dairy Herd Improvement testing programs. J. Dairy Sci. 2017, 100, 4926–4940. [Google Scholar] [CrossRef]
- Kirkeby, C.; Toft, N.; Schwarz, D.; Farre, M.; Nielsen, S.S.; Zervens, L.; Hechinger, S.; Halasa, T. Differential somatic cell count as an additional indicator for intramammary infections in dairy cows. J. Dairy Sci. 2020, 103, 1759–1775. [Google Scholar] [CrossRef]
- Kalmus, P.; Simojoki, H.; Pyörälä, S.; Taponen, S.; Holopainen, J.; Orro, T. Milk haptoglobin, milk amyloid A, and N-acetyl-β-d-glucosaminidase activity in bovines with naturally occurring clinical mastitis diagnosed with a quantitative PCR test. J. Dairy Sci. 2013, 96, 3662–3670. [Google Scholar] [CrossRef]
- Lee, S.I.; Kim, S.D.; Park, J.H.; Yang, S.J. Species distribution, antimicrobial resistance, and enterotoxigenicity of non-aureus staphylococci in retail chicken meat. Antibiotics 2020, 9, 809. [Google Scholar] [CrossRef]
- Rocha, G.D.; Nogueira, J.F.; Dos Santos, M.V.G.; Boaventura, J.A.; Soares, R.A.N.; de Simoni Gouveia, J.J.; da Costa, M.M.; Gouveia, G.V. Impact of polymorphisms in blaZ, blaR1 and blaI genes and their relationship with β-lactam resistance in S. aureus strains isolated from bovine mastitis. Microb. Pathog. 2022, 165, 105453. [Google Scholar] [CrossRef]
- Narayana, S.G.; Schenkel, F.; Miglior, F.; Chud, T.; Abdalla, E.A.; Naqvi, S.A.; Malchiodi, F.; Barkema, H.W. Genetic analysis of pathogen-specific intramammary infections in dairy cows. J. Dairy Sci. 2021, 104, 1982–1992. [Google Scholar] [CrossRef]
- Ali, A.K.A.; Shook, G.E. An optimum transformation for somatic cell concentration in milk. J. Dairy Sci. 1980, 63, 487–490. [Google Scholar] [CrossRef]
- Schwarz, D.; Kleinhans, S.; Reimann, G.; Stückler, P.; Reith, F.; Ilves, K.; Fouz, V. Investigation of dairy cow performance in different udder health groups defined based on a combination of somatic cell count and differential somatic cell count. Prev. Vet. Med. 2020, 183, 105123. [Google Scholar] [CrossRef] [PubMed]
- R Core Team. R: A Language and Environment for Statistical Computing; R Foundation for Statistical Computing: Vienna, Austria, 2022. [Google Scholar]
- Timonen, A.A.; Katholm, J.; Petersen, A.; Orro, T.; Mõtus, K.; Kalmus, P. Elimination of selected mastitis pathogens during the dry period. J. Dairy Sci. 2018, 101, 9332–9338. [Google Scholar] [CrossRef]
- Vakkamäki, J.; Taponen, S.; Heikkilä, A.M.; Pyörälä, S. Bacteriological etiology and treatment of mastitis in Finnish dairy herds. Acta Vet. Scand. 2017, 59, 33. [Google Scholar] [CrossRef]
- Abureema, S.; Smooker, P.; Malmo, J.; Deighton, M. Molecular epidemiology of recurrent clinical mastitis due to Streptococcus uberis: Evidence of both an environmental source and recurring infection with the same strain. J. Dairy Sci. 2014, 97, 285–290. [Google Scholar] [CrossRef]
- Unnerstad, H.E.; Lindberg, A.; Waller, K.P.; Ekman, T.; Artursson, K.; Nilsson-Öst, M.; Bengtsson, B. Microbial aetiology of acute clinical mastitis and agent-specific risk factors. Vet. Microb. 2009, 137, 90–97. [Google Scholar] [CrossRef]
- Kagkli, D.M.; Vancanneyt, M.; Hill, C.; Vandamme, P.; Cogan, T.M. Enterococcus and Lactobacillus contamination of raw milk in a farm dairy environment. Int. J. Food Microbiol. 2007, 114, 243–251. [Google Scholar] [CrossRef] [PubMed]
- Pieper, L.; Godkin, A.; Roesler, U.; Polleichtner, A.; Slavic, D.; Leslie, K.E.; Kelton, D.F. Herd characteristics and cow-level factors associated with Prototheca mastitis on dairy farms in Ontario, Canada. J. Dairy Sci. 2012, 95, 5635–5644. [Google Scholar] [CrossRef] [PubMed]
- Holmøy, I.H.; Toft, N.; Jørgensen, H.J.; Mørk, T.; Sølverød, L.; Nødtvedt, A. Latent class analysis of real time qPCR and bacteriological culturing for the diagnosis of Streptococcus agalactiae in cow composite milk samples. Prev. Vet. Med. 2018, 154, 119–123. [Google Scholar] [CrossRef] [PubMed]
- Svennesen, L.; Mahmmod, Y.S.; Skjølstrup, N.K.; Mathiasen, L.R.; Katholm, J.; Pedersen, K.; Klaas, I.C.; Nielsen, S.S. Accuracy of qPCR and bacterial culture for the diagnosis of bovine intramammary infections and teat skin colonisation with Streptococcus agalactiae and Staphylococcus aureus using Bayesian analysis. Prev. Vet. Med. 2018, 161, 69–74. [Google Scholar] [CrossRef]
- Mahmmod, Y. The future of PCR technologies in diagnosis of bovine mastitis pathogens. Adv. Dairy Res. 2013, 2, 106. [Google Scholar] [CrossRef]
- Fessia, A.S.; Odierno, L.M. Potential factors involved in the early pathogenesis of Streptococcus uberis mastitis: A review. Folia Microbiol. 2021, 66, 509–523. [Google Scholar] [CrossRef] [PubMed]
- Casalta, E.; Montel, M.C. Safety assessment of dairy microorganisms: The Lactococcus genus. Int. J. Food Microbiol. 2008, 126, 271–273. [Google Scholar] [CrossRef] [PubMed]
- Plumed-Ferrer, C.; Uusikylä, K.; Korhonen, J.; von Wright, A. Characterization of Lactococcus lactis isolates from bovine mastitis. Vet. Microbiol. 2013, 167, 592–599. [Google Scholar] [CrossRef] [PubMed]
- Postollec, F.; Falentin, H.; Pavan, S.; Combrisson, J.; Sohier, D. Recent advances in quantitative PCR (qPCR) applications in food microbiology. Food Microbiol. 2011, 28, 848–861. [Google Scholar] [CrossRef] [PubMed]
- Leitner, G.; Shoshani, E.; Krifucks, O.; Chaffer, M.; Saran, A. Milk leucocyte population patterns in bovine udder infection of different aetiology. J. Vet. Med. 2000, 47, 581–589. [Google Scholar] [CrossRef]
- Leitner, G.; Eligulashvily, R.; Krifucks, O.; Perl, S.; Saran, A. Immune cell differentiation in mammary gland tissues and milk of cows chronically infected with Staphylococcus aureus. J. Vet. Med. 2003, 50, 45–52. [Google Scholar] [CrossRef] [PubMed]
- Kurban, D.; Roy, J.P.; Kabera, F.; Fréchette, A.; Um, M.M.; Albaaj, A.; Rowe, S.; Godden, S.; Adkins, P.R.F.; Middleton, J.R.; et al. Diagnosing Intramammary Infection: Meta-Analysis and Mapping Review on Frequency and Udder Health Relevance of Microorganism Species Isolated from Bovine Milk Samples. Animals 2022, 12, 3288. [Google Scholar] [CrossRef]
- Schukken, Y.H.; Günther, J.; Fitzpatrick, J.; Fontaine, M.C.; Goetze, L.; Holst, O.; Leigh, J.; Petzl, W.; Schuberth, H.J.; Sipka, A.; et al. Host-response patterns of intramammary infections in dairy cows. Vet. Immunol. Immunopathol. 2011, 144, 270–289. [Google Scholar] [CrossRef]
- Schwarz, D.; Santschi, D.E.; Durocher, J.; Lefebvre, D.M. Evaluation of the new differential somatic cell count parameter as a rapid and inexpensive supplementary tool for udder health management through regular milk recording. Prev. Vet. Med. 2020, 181, 105079. [Google Scholar] [CrossRef]




| Item | STER Sampling | DHI Sampling |
|---|---|---|
| Initial database | 3288 (822 cows) | 9471 (5999 cows) |
| Edited database | 3239 (822 cows) | 5464 (5464 cows) |
| Holstein Friesian | 1589 | 4876 |
| Simmental | 625 | 252 |
| Rendena | 559 | 271 |
| Jersey | 466 | 65 |
| Item | STER Sampling | DHI Sampling |
|---|---|---|
| Parity, n | 2.57 (1.77) | 2.58 (1.47) |
| Days in milk, d | 226 (138) | 205 (155) |
| Milk yield, kg/d | 26.41 (9.74) | 30.40 (11.53) |
| SCS 1 | 2.95 (2.01) | 2.88 (1.99) |
| Differential SCC, % | 61.89 (15.16) | 62.59 (15.78) |
| Fat, % | 3.91 (0.83) | 4.31 (0.97) |
| Protein, % | 3.58 (0.44) | 3.55 (0.44) |
| Lactose, % | 4.72 (0.29) | 4.76 (0.24) |
| Detected Pathogens | STER Sampling | DHI Sampling | ||
|---|---|---|---|---|
| n | % | n | % | |
| 0 | 1929 | 58.70 | 2858 | 49.30 |
| 1 | 1034 | 31.40 | 1839 | 31.70 |
| 2 | 276 | 8.40 | 767 | 13.20 |
| ≥3 3 | 49 | 1.50 | 335 | 5.80 |
| Pathogen DNA | Prevalence (%) | Chi-Square | p | |
|---|---|---|---|---|
| STER Sampling | DHI Sampling | |||
| Contagious | ||||
| S. agalactiae | 3.09 | 3.13 | 0 | 0.964 |
| S. aureus | 0.99 | 1.45 | 3.03 | 0.082 |
| M. bovis | 5.19 | 8.47 | 32.18 | <0.001 |
| Mycoplasma spp. | 0.19 | 0.93 | 16.36 | <0.001 |
| Environmental | ||||
| S. uberis | 9.60 | 16.53 | 80.66 | <0.001 |
| S. dysagalactiae | 1.02 | 1.41 | 2.18 | 0.140 |
| E. coli | 0.48 | 0.68 | 0.85 | 0.358 |
| Klebsiella spp. | 0.28 | 0.77 | 7.59 | 0.006 |
| Enterococcus + L. lactis ssp. lactis | 1.02 | 14.17 | 417.77 | <0.001 |
| Prototheca spp. | 0.56 | 0.33 | 2.53 | 0.112 |
| Opportunistic | ||||
| CNS | 26.55 | 13.87 | 215.15 | <0.001 |
| Other | ||||
| β-lactamase gene 3 | 4.45 | 5.34 | 3.26 | 0.071 |
| Pathogen DNA | STER Sampling | DHI Sampling |
|---|---|---|
| Contagious | ||
| S. agalactiae | 66.67 | 26.21 |
| S. aureus | 77.78 | 27.59 |
| M. bovis | 88.89 | 64.14 |
| Mycoplasma spp. | 55.56 | 20.69 |
| Environmental | ||
| S. uberis | 100 | 83.45 |
| S. dysagalactiae | 100 | 26.21 |
| E. coli | 88.89 | 13.79 |
| Klebsiella spp. | 66.67 | 17.24 |
| Enterococcus + L. lactis ssp. lactis | 66.67 | 86.21 |
| Prototheca spp. | 44.44 | 6.90 |
| Opportunistic | ||
| CNS | 100 | 83.45 |
| Other | ||
| β-lactamase gene 3 | 100 | 53.86 |
Disclaimer/Publisher’s Note: The statements, opinions and data contained in all publications are solely those of the individual author(s) and contributor(s) and not of MDPI and/or the editor(s). MDPI and/or the editor(s) disclaim responsibility for any injury to people or property resulting from any ideas, methods, instructions or products referred to in the content. |
© 2023 by the authors. Licensee MDPI, Basel, Switzerland. This article is an open access article distributed under the terms and conditions of the Creative Commons Attribution (CC BY) license (https://creativecommons.org/licenses/by/4.0/).
Share and Cite
Magro, S.; Visentin, E.; Chiarin, E.; Cendron, F.; Penasa, M.; Costa, A.; Cassandro, M.; De Marchi, M. Pathogen Detection via Quantitative PCR in Milk of Healthy Cows Collected Using Different Sampling Protocols. Pathogens 2023, 12, 935. https://doi.org/10.3390/pathogens12070935
Magro S, Visentin E, Chiarin E, Cendron F, Penasa M, Costa A, Cassandro M, De Marchi M. Pathogen Detection via Quantitative PCR in Milk of Healthy Cows Collected Using Different Sampling Protocols. Pathogens. 2023; 12(7):935. https://doi.org/10.3390/pathogens12070935
Chicago/Turabian StyleMagro, Silvia, Elena Visentin, Elena Chiarin, Filippo Cendron, Mauro Penasa, Angela Costa, Martino Cassandro, and Massimo De Marchi. 2023. "Pathogen Detection via Quantitative PCR in Milk of Healthy Cows Collected Using Different Sampling Protocols" Pathogens 12, no. 7: 935. https://doi.org/10.3390/pathogens12070935
APA StyleMagro, S., Visentin, E., Chiarin, E., Cendron, F., Penasa, M., Costa, A., Cassandro, M., & De Marchi, M. (2023). Pathogen Detection via Quantitative PCR in Milk of Healthy Cows Collected Using Different Sampling Protocols. Pathogens, 12(7), 935. https://doi.org/10.3390/pathogens12070935

